SECTION I - CLASS DEFINITION
STATEMENT OF CLASS SUBJECT MATTER
This class includes the following subject matter, not provided
for elsewhere, when a utility set forth below is either (a) claimed
or (b) solely disclosed.
A. DRUG AND BIO-AFFECTING COMPOSITIONS which are generally
capable of:
1. Preventing, alleviating, treating, or curing abnormal and
pathological conditions of the living body by such means as: (a)
destroying a parasitic organism; (b) limiting the affect of the
disease or abnormality by chemically altering the physiology of
the host or parasite.
2. Maintaining, increasing, decreasing, limiting, or destroying
a physiologic body function; e.g., vitamin compositions, sex sterilants,
fertility inhibitors, growth promotors, etc.
3. Diagnosing a physiological condition or state by an in
vivo test; e.g., X-ray contrast, etc.
4. Controlling or protecting an environment or living body
by attracting, disabling, inhibiting, killing, modifying, repelling
or retarding an animal or micro-organism. For example: (a) Nonfood
baits, attractants, and lures; (b) Biocides including antibiotics
of undetermined structure; (c) Warfare gases such as lachrymators,
sternutators, etc.; (d) Chemical pest repellents and adhesive trapping
agents.
B. BODY TREATING COMPOSITIONS generally intended for deodorizing,
protecting, adorning, or grooming a body; e.g., cosmetics, dentifrices,
embalming fluids, etc.
C. FERMENTATES (e.g., antibiotics, etc.), PLANT AND ANIMAL
EXTRACTS, OR BODY FLUIDS OR MATERIAL CONTAINING PLANT OR ANIMAL CELLULAR
STRUCTURE, PER SE, intended to be used for the purposes set forth
in A and B above, and whose chemical structure is not sufficiently
known to be classified elsewhere.
D. COMPOSITIONS OF THIS CLASS DEFINED IN TERMS OF SPECIFIC
STRUCTURE; E.G., LAYERED TABLET, CAPSULE, ETC.
The lines generally prevailing between the composition classes
and the article classes are applicable to Class 424, unless otherwise
indicated, with the exception that Class 424 provides for a composition,
per se, defined in terms of specific structure having a utility
for Class 424 (see subclasses 400+).
E. PROCESSES OF USING the subject matter of the Class Definition,
A through C above, and in Lines With Other Classes or Within This
Class, Compositions Of This Class Defined In Terms Of Specific Structure;
e.g., Layered Tablet, Capsule, Etc., A, above, or compounds, per
se, for the purposes set forth in A and B of the Class Definition
(See References to Other Classes, below, for those classes that
that concern "processes." Note particularly the
Search Notes for Use Processes involving Class 424 subject matter
classified elsewhere.)
F. PROCESSES OF PREPARING subject matter of the Class Definition,
A through C, and of Lines With Other Classes and Within This Class,
Compositions Of This Class Defined In Terms Of Specific Structure;
e.g., Layered Tablet, Capsule, Etc., part A.
G. ADJUVANT OR CARRIER COMPOSITIONS, PER SE, for perfecting
compositions for this class.
| | (1)
Note. This class is the generic home for compositions for
treating a living body and for controlling a pest. |
| | (2)
Note. The terms "mere use" or "mere application" as
employed in the definitions of Class 424 and the search notes in
other classes which refer to Class 424 are defined to encompass
only a single step process and include expressions such as applying,
contacting, dipping, spraying, injecting, combusting, administering
orally, etc., recited either along or with recitations such as dosage
amount or the treatment of a specific environment, organism, or
body part. Examples of expressions considered mere use or mere application
are "injecting 3 cc. of compound x into a vein" and "burning 20
grams of a sulfur fumigant in a room". |
SECTION II - LINES WITH OTHER CLASSES AND WITHIN THIS CLASS
CLASSIFICATION GUIDELINES FOR THIS CLASS
A. In this class the chemical structure of
the ingredient disclosed as having a utility set forth in the Class
Definition above, is used as the primary basis of classification.
Processes of using compositions or compounds, per se, and processes
of making compositions, not provided for elsewhere, are classified
in the first appearing subclass providing for the particular active
ingredient being employed or prepared.
Compositions containing a biologically or pharmacologically
active ingredient which generally, for example, control, cure, disable,
inhibit, kill, modify, protect, repel, retard, sterilize or stimulate
a living animal body; or inhibit or kill micro-organisms other than
algae, etc., are provided for primarily in subclasses 85.1 and Class 514
appropriate subclasses. Compositions, intended for topical application,
containing ingredients having other utilities under the class definition;
e.g., grooming, enhancing, etc., which are not provided for in the
Special subclasses 1.1-84, 125 and 126 have been classified in Class
514, appropriate subclasses.
B. The rule followed in classifying a patent having separate
claims to several species of the active ingredient which fall into
different subclasses is that the patent is placed as an original
in the first appearing subclass, providing for the claimed subject
matter and cross-referenced to the appropriate lower subclass, except
where there is a compulsory search note between the subclasses.
Where there are one or more indents under the generic subclass
and one of the claimed species is not provided for specifically
by any of these indents, the patent is placed as original in the
generic subclass, since this is the first appearing subclass providing
for said individually claimed species. In classifying a patent containing
Markush type claims; i.e., "group consisting of X and Y" and
no species claims, the original patent is placed in the first appearing
subclass providing for the species (members) in the Markush group.
If in addition to the Markush group, there are species claims, the
first cited rule, governing a patent having separate specie claims,
is followed.
C. A patent claiming a composition wherein the active compound or ingredient has not
been specified, has been classified as original in the first appearing
subclass providing for any one of the claimed ingredients and cross-referenced
to appropriate lower subclasses providing for the remaining compounds
or ingredients.
D. A patent claiming a composition resulting from a chemical
reaction, wherein the chemical structure of the compounds or ingredients
which make up the final composition are unknown or undetermined,
is classified as original in the first appearing subclass providing
for anyone of the reactants and cross-referenced to the lower subclasses
providing for the other reactants.
E. Patents claiming synergistic or potentiated compositions
have been classified as originals in the first appearing subclass
providing for either the synergist, potentiator or active ingredient
and cross-referenced to appropriate lower subclasses.
F. Patents claiming subject matter coming within the Special Subclasses 1.1-84, 125 and 126
have been classified on the basis of the disclosed or claimed function, or
the particular subject matter provided for, in the first appearing
subclass providing the same; e.g., Dentrifices, Embalming compositions,
Solid synthetic organic polymer containing, etc., and no distinction
has been made between the Class 424 active ingredients and nonactive ingredients
with the one exception being applied to solid synthetic organic
polymers, namely subclasses 78.01, 78.02+, and 78.08+.
These subclasses consider only those polymers which are bioactive
as defined therein.
G. Patents to adjuvant or carrier compositions, per se, which
are claimed or solely disclosed for perfecting a composition for
this class are classified as original in the first appearing appropriate
subclass providing for any one of the ingredients in Class 514,
appropriate subclasses, except where the claimed composition possesses
a functional property or other feature which has been provided for
in the Special subclasses 1.1-84, 125 and 126; e.g., Free carbon
containing, Corrosion inhibitor containing, etc.
H. A patent claiming a Class 424 active ingredient broadly
in terms of its function in combination with a specific adjuvant
or carrier; e.g., "A tranquilizer and as a carrier therefore
sugar and gelatin" has been classified as original in the
first appearing subclass providing for any one of the disclosed specific active ingredients
and cross-referenced to all other
subclasses providing for the remaining disclosed active ingredients.
CLASSIFICATION LINES WITH OTHER CLASSES
A. General class lines
1.Compound Classes
a. Where a patent claims a composition in nominal terminology
only; e.g., "A composition comprising a therapeutic amount
of compound X", and there are no claims to a method of
use, or true mixture, the original has been placed with the compound
claimed. Some examples of nominal terminology are: "comprising
as an active ingredient", "containing an effective
amount of", "containing a lethal amount of, etc.
b. Where a patent claims dosage units (in the absence of more
comprehensive or controlling claims as indicated below); e.g., "a
tablet comprising (or containing) 15 grains of compound X" and
in the absence of any structural limitations, definite shape, surface
deformation, etc., the original has been placed with the compound.
c. Where a patent claims a composition wherein (1) another
ingredient is recited, however broadly, or (2) proportions are recited,
the original has been placed in Class 424. Some examples of claims
reciting the following types of terminology are included herewith:
"with a carrier", "with a solvent", "with
an adjuvant", "with an emulsifier", "wetting
agent", "solubilizer", "surface
active agent", "extending agent", "buffering agent", "from
5% to 90%", "at least .05%", "minor
proportion of compound X and major portions of carrier", etc.
d. Where a patent contains at least one claim to a method
of use, even if only nominally recited; e.g., "a method
of killing insects by applying compound X", the original
has been placed in Class 424 (except when another use is also claimed
which is superior to Class 424).
e. Where the patent claims an animal or plant extract of undetermined
constitution, which is solely disclosed as being suitable for a
Class 424 utility, the original will go to Class 424. Processes
for obtaining such extracts will also be classified in Class 424
unless specifically provided for elsewhere.
1a. Cross References From Compound Classes
In most instances, cross-referencing from the compound classes
into Class 424 has been limited to those disclosures which provide
(1) a specific composition; e.g., numerical values setting forth
definite amounts for all ingredients of the composition having Class
424 properties, and (2) processes of using a compound for a Class 424
purpose wherein the process is significant in that it sets forth
the administration of the active ingredient in more than just nominal
terminology, i.e., it recites administering a specific amount of
a compound to treat a specific condition in a specified host. Patents
containing a mere recitation that a compound may be administered;
e.g., orally, in association with an unspecified pharmaceutical
carrier will be excluded as cross-references.
2. Composition Classes
The following general lines exist between Class 424 and the
other composition classes or with classes containing patents wherein
the claims recite a composition limited to an art use provided for
in that class.
a. Compositions which are disclosed as having a plurality
of uses, properties, or functions provided for in different main
classes and only a single use, property, or function is claimed, are placed in the composition
providing for such claimed use,
property, or function and cross-referenced to other classes for
disclosed uses, properties, or functions when desirable.
b. A list of superiority of composition classes appears in the
main class definition of Class 252 Compositions (5) Note. This
note in Class 252 explains classification of a generic composition
with several disclosed uses.
504, Plant Protecting and Regulating Compositions
424, Drug, Bio-Affecting and Body Treating Compositions
71, Chemistry: Fertilizers,
149, Explosive and Thermic Compositions or Charges
508, Solid Antifriction Devices, Materials Therefor, Lubricant
and Separant Compositions for Moving Solid Surfaces, and Miscellaneous
Mineral Oil Compositions
44, Fuel and Related Compositions
148, Metal Treatment
252, Compositions, (special uses and functions) through subclass
88.2.
510, Cleaning Compositions for Solid Surfaces, Auxiliary
Compositions Therefor, or Processes of Preparing the Compositions.
252, Compositions, (special uses and functions) through subclass
194.
106, Compositions: Coating or Plastic
51, Abrasive Tool Making Process, Material, or Composition
520, Synthetic Resins or Natural Rubbers, subclasses 1+
260, Chemistry of Carbon Compounds
585, Chemistry of Hydrocarbon Compounds
252, Compositions, (nonspecial uses or functions).
426, Food or Edible Material: Processes, Compositions, and
Products.
This superiority list is not intended as a complete list and
will be expanded or added to as the relationship between other classes
containing compositions and the above listed classes are determined.
B. Lines With Related Composition Classes
CLASS 504
1. Class 504 PLANT PROTECTING AND REGULATING COMPOSITIONS,
provides for compositions having a stimulating, inhibiting (herbicides),
or regulating action on plant growth and methods of using such compositions.
Class 504 specifically provides for algicidal compositions and
fertilizer compositions which contain an insecticide, fungicide,
or deodorant. Class 504 is superior to Class 424. (See above for
a list of superiority of composition classes).
2. If claims are drawn to a "pesticide" composition
or method without specifically reciting the nature of the "pest" to
be controlled or eradicated, the patent is placed as original in
Class 424 when only a Class 424 type of "pest" (e.g.,
fungi, insect, rodent, etc.) is revealed in the patent disclosure.
However, if both Class 504 and Class 424 types of "pest" are
specifically disclosed or if no disclosure is made as to the specific
type of pest, the patent is placed in Class 504 as original and
cross-referenced to Class 424.
CLASS 8
1. Class 8, BLEACHING AND DYEING; FLUID TREATMENT AND CHEMICAL
MODIFICATION OF TEXTILES AND FIBERS, provides for processes of dyeing
hair on a living animal, not provided for elsewhere, processes of
depilating (i.e., removing hair, fur, or feathers) a living animal
and for processes of chemical modification of hair not on a living
body. Class 8 also provides for compositions used in these processes.
2. Class 424 provides for a composition for treating hair (e.g.,
waving etc.) on a living body, and methods of use which are no more
than the mere application of the composition. To be placed in Class
424, a patent must either specifically disclose or claim that the
hair is on a living body; e.g., living hair, etc., or contain other
disclosure which definitely indicates an intent to use the composition
or process on a living body; e.g., not injurious to the person,
etc. Recitation that the hair is on the body; e.g., scalp, etc.,
will be presumed to indicate that the body is living in the absence
of disclosure to the contrary. The mere recitation "human
hair" by itself is not enough to indicate that the hair
is on a living body.
CLASS 71
1. Class 71, CHEMISTRY: FERTILIZERS, provides for compositions
having a nutrient action on plant growth and methods of using such
compositions.
CLASS 426
1. Class 426, FOOD OR EDIBLE MATERIAL: PROCESSES, COMPOSITIONS,
AND PRODUCTS, provides for compositions intended to nourish an animal
by natural oral ingestion, which may contain an additive necessary
to maintain the normal metabolism of the animal; e.g., vitamins,
minerals, amino acids, etc.
2. Class 424 provides for compositions intended to nourish
an animal when such compositions are designed to be administered
to the animal by routes other than the oral cavity; e.g., by rectal
or parenteral injection, or via a tube through the alimentary tract
or stomach wall.
3. Class 424 provides for compositions containing a food
or beverage when said compositions are claimed or solely disclosed
as having a utility set forth in I above. However, a food or beverage
containing a biocide as a preservative therefore will be classified
as original in Class 426. Class 424 also provides for methods of
preserving Class 426 products when said methods are no more than
the mere use of biocides.
4. Class 424 further provides for food or beverage compositions
containing an animal growth regulator or other anabolic agents.
For purposes of classification, an animal growth regulator or anabolic
agent is defined to include the following illustrative causative
effects:
a. increase feed efficiency or weight gain
b. enhance color of egg yolks, combs, skin, or legs of chickens
c. enhance the hatchability of eggs
d. vary the fat-protein ratio or texture of flesh
e. chemically caponize an animal, etc.
5. Compositions wherein the nutritional ingredients fat, carbohydrate,
or protein are varied to achieve a varied fat-flesh ratio in an
animal or varied to meet the special nutritional needs of an abnormal
metabolic condition; e.g., diabetes, etc., will not be considered
as subject matter for Class 424.
CLASS 106
1. Class 106, COMPOSITIONS: COATING OR PLASTIC, provides
for coating compositions which protect a base by forming a tough
adherent film even though the composition also contains a biocide
to protect the base against biological attack; e.g., marine antifouling
paints, etc.
2. Materials or ingredients for coating and molding compositions
(Class 106 appropriate subclasses) which are also useful as diluents
or inert ingredients in pharmaceutical compositions are placed in
Class 106 unless a therapeutic or biocidal property is claimed.
Surgical sponges claimed only as being made from Class 106 compositions
are placed in Class 106 if the sponge contains no active ingredient
with a utility for Class 424. Patents claiming an ink suitable
for coating or printing on pharmaceutical dosage units; e.g., tablets,
etc., are placed in Class 106 unless the coated or printed article
is also claimed.
3. Class 424 provides for the following coating compositions:
compositions intended to decorate or beautify the body; e.g., hair
lacquer, fingernail polish, lipstick, etc.; coating compositions
which do not protect the base by forming a tough, adherent film
and whose sole function is as a carrier for a composition of Class
424 utility; e.g., "stickers" which adhere insecticides
to plants etc., whether or not claimed in combination with an active ingredient;
coating compositions applied to the body for therapeutic purposes
even though a tough, adherent film is formed; and coating compositions
which do not form tough, adherent films and which have a utility
provided for in Class 424; e.g., salve, skin cream, or a solution
of a material, for example, a mixture of phenols to protect wood
against insect, etc.
CLASS 119
1. Class 119, ANIMAL HUSBANDRY, provides for an animal litter
composition, per se.
2. Class 424 takes litter compositions combined with a compound
or composition having a Class 424 utility; e.g., a biocide, etc.
CLASS 127
1. Class 127, SUGAR, STARCH, AND CARBOHYDRATES, provides
for sugar, starch, and carbohydrates, per se, and
their hydrolysis products, even if these materials have utility
provided for in Class 424.
2. Class 424 provides for compositions containing sugar,
starch, or carbohydrates; e.g., a blend of two carbohydrates, etc.,
having a claimed or solely disclosed utility provided for in Class
424.
CLASS 131
1. Class 131, TOBACCO, provides for tobacco compositions
to be employed to enhance the users" well-being or enjoyment
when smoked, chewed, or inhaled including snuff, and takes these
compositions even when they have a Class 424 utility; e.g., medicated
smoking tobacco, etc. Class 131 also provides for tobacco substitutes
or compositions intended to decrease the individual"s need
for tobacco and which are to be used in the same manner as tobacco;
e.g., smoking, etc.
2. Class 424 takes a tobacco containing composition which
is not intended to be smoked, chewed, etc. for the users" enjoyment;
e.g., tobacco used as an insecticide, tobacco burned as a fumigant,
etc., when said composition is claimed or solely disclosed for a
Class 424 purpose. If the tobacco containing composition has plural functions
with some functions provided for in Class 131 and some in Class
424, the patent will be placed in Class 131 as an original and crossed
to Class 424. Class 424 also provides for compositions intended
to decrease a person"s use of tobacco, but which are not
intended to be smoked, chewed, etc., as tobacco; e.g., ingested
or injected, etc.
CLASS 435
1. Class 435, CHEMISTRY: MOLECULAR BIOLOGY AND MICROBIOLOGY,
provides for enzymes, per se, which are not more specifically provided
for elsewhere, and enzyme compositions containing a preservative
unless a Class 424 utility is recited in the claim or is the sole
utility disclosed. Class 435 also takes a composition or method
employing a line micro-organism for an in vitro
test.
2. Class 424 provides for fermentates; e.g., antibiotics, etc.,
of unknown chemical structure wherein the fermentate is claimed
or disclosed to have a utility specified in Class 424.
3. Class 424 provides for compositions containing micro-organisms
either alive, dead, or attenuated; enzymes or coenzymes; ferments
or fermentates; antigens or antibodies which are claimed or solely
disclosed to have a Class 424 utility and methods of using said compositions.
4. Class 424 provides for compositions for in
vivo measuring, testing, or diagnosis and methods of
using said compositions or a compound for in
vivo measuring, testing or diagnosis. This includes in vivo testing compositions containing
an enzyme.
CLASS 252
1. Class 510, CLEANING COMPOSITIONS FOR SOLID SURFACES, AUXILIARY
COMPOSITIONS THEREFOR, OR PROCESSES OF PREPARING THE COMPOSITIONS,
provides for biocide containing cleaning and detergent compositions
having a mere cleaning function.
2. Class 252 provides for compositions specifically classified
therein protected against biological attack by a composition otherwise
classifiable in Class 424. Class 252, provides for stabilized compositions
where the ingredients other than the stabilizers are claimed so broadly
as not to furnish a basis of classification (e.g., a carbon compound,
etc.).
3. See Class 512 for perfume compositions, per se.
4. Class 424 takes all other detergent or emulsifier containing
compositions which are claimed or solely disclosed for a Class 424
purpose.
CLASS 260
1. Class 260, CHEMISTRY OF CARBON COMPOUNDS, provides for
a compound classified therein containing a preservative; e.g., to
protect the compound against biological attack, etc., when there
is no claim to an art use for the mixture.
CLASS 585
1. Class 585, CHEMISTRY OF HYDROCARBON COMPOUNDS, provides
for a composition which is a blend of hydrocarbon compounds only
and for a blend of a hydrocarbon with a nonhydrocarbon preservative.
CLASS 423
1. Class 423, CHEMISTRY OF INORGANIC COMPOUNDS, provides
for compositions containing an element or an inorganic compound
combined with a preservative; e.g., a substance which protects the
element or compound against biological attack, etc. However, a
Class 423 element or compound containing a preservative, in which
state it is claimed or solely disclosed as having a Class 424 utility,
is placed as an original in Class 424.
C. Lines with other classes
CLASS 43
1. Class, 43, FISHING, TRAPPING, AND VERMIN DESTROYING, provides
for apparatus for trapping or destroying vermin; i.e., animals injurious
or pestiferous to man. The apparatus may utilize a composition classifiable
in Class 424; e.g., attractant, nonfood bait, poison, etc. Class
43 structural elements containing a Class 424 composition must have
more structure than, for example, that represented by a mere coated
or impregnated base; e.g., flypaper of a particular shape or dimension, etc.
Class 43 also provides for fumigating candles used for destroying
vermin claimed in terms of more structure than a compound or composition
containing a nominal wick.
2. vermin which is more than the mere application of a compound
or Class 424 composition.
3. Class 424 takes methods of destroying vermin which are
no more than a single step of mere application of a compound or
a Class 424 composition.
4. Class 424 takes articles for trapping or destroying vermin
claimed in terms of no more structure than a coating or impregnant
on a base. Class 424 also takes fumigating candles of no more structure
than compound or composition nominally containing a wick.
CLASS 119
1. Class 119, ANIMAL HUSBANDRY, provides for the treatment
of animals other than man to increase their growth rate, produce
a superior quality or quantity of meat, control their sex or the
killing of unwanted organisms which interfere with the growth or
well-being of the desired animal if the method is more than the
mere application or applications of a Class 424 composition or compositions.
2. Class 424 takes a process of treatment of an animal with
a compound or composition for a Class 424 purpose which process
is a single step or a plurality of steps, each step individually
being no more than a mere application of a compound or composition,
and there is no manipulative step included.
CLASS 128
1. Class 128, SURGERY, provides for bandages, body applicators
or body dressings which contain a medicine and are claimed in terms
of morestructure than a randomly distributed single layer on
a base material or randomly impregnated base material. For example,
Class 128 takes a base material wherein certain portions thereof
are impregnated with an adhesive and other portions are impregnated
with a Class 424 medicine at those places where there is no adhesive
backing on a gauze impregnated with a Class 424 composition, etc. Class
128 also provides for a bandage, body applicator, or body dressing
containing a Class 424 composition and which is claimed in terms
of specific structure; e.g., pore size, thickness, length, width,
etc.
2. Class 424 takes a bandage, body applicator, or body dressing
which contains a specific or nominally recited medicinal ingredient
which is either randomly distributed
in a single layer on a base material or randomly impregnated
in a base material.
3. Class 128 provides for a process of use of a Class 424 composition
which is more than single or plural steps of mere application of
one or more Class 424 compositions; e.g., removal of a body fluid
such as milk, adding medicine to the fluid and re-injecting the
fluid, surgical implantation, etc.
4. Class 424 provides for a process of applying a compound
or composition to a living body wherein said process is no more
than the mere application of the compound or composition, or wherein
said process is a combination of steps, each step individually being
a mere application, and there are no manipulative steps included.
Class 424 takes; e.g., oral administration, injection, etc., even
if the particular part of the body treated is recited.
5. Class 128 will take a capsule or pill, not specifically provided
for elsewhere, that must be broken prior to use to empty its contents,
even if said capsule or pill contains a specific medicine. This
includes an inhalant capsule.
6. Class 128 provides for a dosage unit; e.g., suppository,
etc., shaped to fit a particular body cavity, even if the active
ingredients are claimed specifically.
7. Class 424 takes a medicine in the form of a capsule or
pill that is ingested, as well as a method of using an inhalant
capsule by squeezing said capsule to liberate the enclosed medicine.
8. Class 128 provides for methods of blood transfusion and
insemination by artificial means.
9. Class 128 provides for catgut impregnated with a medicine.
CLASS 132
1. Class 132, TOILET, provides for a process of treating
the hair on the scalp (e.g., waving, etc.) which is more than the
mere application of a Class 424 composition. This includes plural
treatments with more than one Class 424 composition (e.g., waving
composition followed by neutralizing), and the application of a
Class 424 composition combined with a hair treating step, per se, classifiable in Class 132, even
if the Class 132 step is only claimed broadly; e.g., application
of Class 424 composition combined with "waving" or "shaping
the hair" etc.
2. Class 132 provides for dental floss and toothpicks claimed
in terms of their shape or structure and nominally recited toothpicks
or dental floss which are not classifiable in Class 424.
3. Class 424 takes methods of treating hair on the living body
(other than dyeing) which are no more than the mere application
of a composition or compound to the hair.
4. Class 424 provides for toothpicks and dental floss which
are claimed nominally and which contain a compound or composition
having a utility for Class 424.
CLASS 435
1. Class 435, CHEMISTRY: MOLECULAR BIOLOGY AND MICROBIOLOGY,
provides for methods of purifying, propagating or attenuating a
micro-organism; e.g., a virus, bacteria, etc., except for propagating
a micro-organism in an animal for the purpose of producing an antibody
containing sera.
2. Class 435, provides for methods of propagating animal
organs, tissues or cells; e.g., blood, sperm, etc., and culture
media therefor.
3. Class 435 is the generic home for processes of (1) analyzing
or testing which involve a fermentation step or (2) qualitative
or quantitative testing for fermentability, or fermentative power.
4. Class 424 provides for methods of in
vivo testing, measuring or diagnosis employing a Class
424 compound or composition.
5. Class 424 provides for methods of producing an antibody
composition using a live micro-organism; e.g., virus or bacteria,
etc., as the antibody inducing agent. For example, injecting a
horse with a virus to produce an antibody containing sera.
CLASS 206
1. Class 206, SPECIAL RECEPTACLE OR PACKAGE, provides for
a dosage unit made up of a therapeutic material or article and a
container, where the container is intended to be physically removed
from the therapeutic material or article; e.g., a wrapped pill or capsule,
etc.
2. Class 424 takes a structured dosage unit which is intended
to be used as a whole without disassembly or removal of a part;
e.g., unwrapping. Examples of dosage units provided for in Class
424 are a capsule filled with coated particulate material intended
to be swallowed whole, and a filled soluble, gelatin container intended
to be dissolved into water or other
liquid.
CLASS 210
1. Class 210, LIQUID PURIFICATION OR SEPARATION, provides
for a process for the separation from a liquid of any character
of material and a process of a liquid mixture not elsewhere provided
for.
2. Class 424 provides for a process of (1) merely adding a
chemical to water to impart medicinal values thereto and the resultant
treated water; e.g., the fluoridating of drinking water, etc., or
(2) merely adding a biocide to water for preventing growth of animal
matter or micro-organisms other than algae, where as to either (1)
or (2) there are no other additional water treating steps defined.
CLASS 422
1. Class 422, CHEMICAL APPARATUS AND PROCESS DISINFECTING,
DEODORIZING, PRESERVING, OR STERILIZING, provides for a process
of preserving, disinfecting, or sterilizing which is more than the
mere application of a compound or Class 424 composition.
2. Class 422 also provides for fumigating apparatus including
fumigating candles in which the shape of the wick or candle is claimed.
3. Class 424 takes a process of preserving against decay,
deterioration by a living organism, including disinfecting or sterilizing
to prevent the above by employing a compound or composition, which
process is no more than the mere application of the compound or composition.
Class 424 will also take a nominal product resulting from such
a process, where structure sufficient for classification elsewhere
is not recited.
4. Class 424 also takes a compound or composition, intended
to be used for a Class 424 purpose, nominally recited as containing
a wick.
CLASS 264
1. Class 264, PLASTIC AND NONMETALLIC ARTICLE SHAPING OR
TREATING: PROCESSES, provides for manufacturing dosage units by
shaping; e.g., molding, etc., a Class 424 composition. The line between
Class 424 and Class 264 is that set forth in the main Class 264
definition, Lines With Other Classes and Within This Class, Chemical
Composition Classes.
CLASS 427
1. Class 427, COATING PROCESSES, has the following line with
Class 424. For purposes of placement of a patent between Class 424
and class 427, the controlling claim will be determined according
to superiority of invention as follows with regard to claims of
equal comprehensiveness.
(1) Treating a living body
(2) Coating product
(3) Method of coating
(4) Composition
2. Class 427 provides for a claim to a significant coating
process, as set forth in the Class 427 definitions, in which an
inanimate base is coated with a compound or composition which may
have a Class 424 utility. In placement of a patent directed to
a process of coating a dosage unit; e.g., pill, tablet, etc., the
line between Class 427 and the coating composition Classes is followed.
3. Class 424 provides for a claim to a process of treating the
living body (as between Class 424 and Class 427) even though the
method of treatment is a coating step.
4. Class 424 provides for a claim to a method of coating (not
significant for Class 427) a base or substrate with a compound or
composition having a Class 424 utility.
CLASS 428
1. Class 428, STOCK MATERIAL OR MISCELLANEOUS ARTICLES, provides
for a stock material product in the form of a single or plural layer
web or sheet as provided for therein and which contains a biocide.
2. An article impregnated with a biocide and not containing
structure (e.g., size or apertures) and not elsewhere provided (see
the Search Class reference to Class 428 below for an example) will
be classified in Class 424.
3. Class 428 provides for a claim to a coated or impregnated
article, not otherwise provided for, which comprises a base preserved
by a composition or compound which has a Class 424 utility, (e.g.,
mothproofed textile or termite proofed wood).
4. Class 424 provides for a claim to a base coated with a compound
or composition which has a Class 424 utility and in which the base
function as a carrier for the active material (e.g., medicated applicator
or mosquito repellent fabric). Class 424 also provides for a claim
to a coated dosage unit containing a substance having a Class 424
utility.
REFERENCES TO THE SEARCH CLASS NOTES IN REFERENCES TO OTHER
CLASSES, BELOW
References to Other Classes, below, contains the following:
A. Compounds and Compositions
B. Processes of Use Involving Class 424 Subject Matter
C. Other Processes
D. Apparatus and Articles - Bio-Affecting or Other
SECTION III - REFERENCES TO OTHER CLASSES
SEE OR SEARCH CLASS:
| 2, | Apparel, for garment structures containing a Class 424 composition,
particularly
subclass 4 for insect repelling head guards and subclass 171.2
for head coverings containing a medicament. (Apparatus and Articles,
Bio-Affecting.) |
| 4, | Baths, Closets, Sinks, and Spittoons,
subclasses 222+ for apparatus for disinfecting the subject matter
of the class. Subclasses 245.1+ for sanitary covers for
toilet seats. (Apparatus and Articles, Bio-Affecting.) |
| 5, | Beds,
subclass 641 for pillows; and subclasses 482+ for bed
clothing, each protected against biological attack. (Apparatus
and Articles, Bio-Affecting.) |
| 8, | Bleaching and Dyeing: Fluid Treatment and Chemical
Modification of Textiles and Fibers,
subclasses 405+ for compositions for dyeing hair on a living animal;
subclasses 94.16+ for depilating compositions; subclasses
160 and 161 for compositions for depilating a living animal; subclass
127.51 for compositions for chemically modifying human hair not
on a living body. (Compounds and Compositions.) |
| 8, | Bleaching and Dyeing; Fluid Treatment and Chemical
Modification of Textiles and Fibers,
subclasses 405+ for a process of dyeing hair on living animals;
subclasses 94.16+ for a process of depilating a living
animal body. (Processes of Use Involving Class 424 subject matter.) |
| 8, | Bleaching and Dyeing; Fluid Treatment and Chemical
Modification of Textiles and Fibers,
subclass 101 for processes of bleaching hair not on a living
body; subclass 127.51 for processes of chemically modifying human
hair not on a living body. (Other Processes.) |
| 15, | Brushing, Scrubbing, and General Cleaning, for implements useful for applying Class 424 compositions,
particularly
subclasses 167.1+ for toothbrushes and 209.1+ for wipers,
daubers and polishers; e.g., fabric puffs, per
se, etc. (Apparatus and Articles) |
| 27, | Undertaking,
subclasses 22.1+ for a process of embalming or preserving a body
which is more than the mere use of a Class 424 compositions. |
| 30, | Cutlery,
subclasses 32+ for razors useful in shaving the living body.
(Apparatus and Articles) |
| 34, | Drying and Gas or Vapor Contact With Solids,
subclasses 283+ for a process of drying hair on the head. (Other
Processes.) |
| 34, | Drying and Gas or Vapor Contact With Solids,
subclasses 283+ for apparatus for drying hair on the head. (Apparatus
and Articles, Other.) |
| 36, | Boots, Shoes, and Leggings, for boots, etc., or parts thereof which contain
a Class 424 composition. (Apparatus and Articles, Bio-Affecting.) |
| 43, | Fishing, Trapping, and Vermin Destroying, for a process of killing vermin with a Class 424 biocide
which is more than the mere application of the biocide to the vermin.
See the line note to this class in Lines With Other Classes and
Within This Class, for examples of processes which are more than
mere application. (Processes of Use Involving Class 424 subject matter.) |
| 43, | Fishing, Trapping, and Vermin Destroying, for apparatus for trapping or destroying animals (other
than micro-organisms) which are injurious or pestiferous to man;
e.g., insects, etc., and which may use a Class 424 composition;
subclasses 114+ for fly paper recited in terms of more structure
than a coating on a base; subclasses 125+ for fumigators
for destroying insects using a Class 424 composition. (Apparatus
and Articles, Bio-Affecting.) |
| 44, | Fuel and Related Compositions, for fuel containing an additive to protect it against decay
or biological attack. Particularly note
subclasses 300+ for the combination of a mineral oil containing
a nonmineral oil preservative disclosed for use as fuel or any light
mineral oil fraction with a preservative not restricted to a particular art
use. Also for smoke signal compositions. (Compounds and Compositions.) |
| 47, | Plant Husbandry, for apparatus provided for therein which may apply
a Class 424 composition; e.g., insecticide, etc., to plants. (Apparatus
and Articles, Bio-Affecting.) |
| 51, | Abrasive Tool Making Process, Material, or Composition, for an abrasive composition, per se, including a
composition useful in abrading teeth in a dental operation. (Compounds
and Compositions.) |
| 52, | Static Structures (e.g., Buildings),
subclasses 129+ for a burial vault with means to treat the corpse
or product thereof with a Class 424 composition; subclass 517 for
structurally defined static structures; e.g., buildings, utility poles,
etc., with a coating to repel biological attack. (Apparatus and
Articles, Bio-Affecting.) |
| 53, | Package Making, for methods of making and filling packages with
a Class 424 composition. (Other Processes.) |
| 57, | Textiles: Spinning, Twisting, and Twining,
subclasses 217 , 221, 223, 232+ and 258 for textile strands,
having structural limitations, coated with a biocide. (Apparatus
and Articles, Bio-Affecting.) |
| 62, | Refrigeration, for processes of refrigeration combined with deodorizing
or disinfecting with a Class 424 composition, also processes of
preserving living tissue or organs outside the body by refrigeration.
(Processes of Use Involving Class 424 subject matter.) |
| 70, | Locks,
subclasses 15+ for fetters useful in restraining living animals.
(Apparatus and Articles, Bio-Affecting.) |
| 73, | Measuring and Testing,
subclass 866.2 for methods of measuring the release rate of a
sustained release dosage unit. (Other Processes.) |
| 73, | Measuring and Testing,
subclass 866.2 for apparatus for measuring the release rate of
a sustained release dosage unit. (Apparatus and Articles, Other.) |
| 75, | Specialized Metallurgical Processes, Compositions
for Use Therein, Consolidated Metal Powder Compositions, and Loose
Metal Particulate Mixtures,
subclasses 255+ for loose metal particles which may have a Class
424 utility. (Compounds and Compositions.) |
| 83, | Cutting,
subclasses 13+ for processes of shaving the living body, particularly
subclasses 14+ wherein a Class 424 shaving preparation
is used in preparatory treatment of the hair before shaving. (Process
of Use Involving Class 424 subject matter.) |
| 102, | Ammunition and Explosives, for ammunition, per se, used for applying or delivering
Class 424 compositions such as warfare gases, repellents, etc.,
particularly
subclass 367 for gas shells and other gas delivering ammunition, 368
for gas grenades, 369 for gas bombs, and 370 for gas cartridges.
(Apparatus and Articles, Bio-Affecting.) |
| 106, | Compositions: Coating or Plastic,
subclasses 15.05+ for a coating composition provided for in Class
106 containing a biocidal or antifouling agent. (Compounds and
Compositions.) |
| 109, | Safes, Bank Protection, or a Related Device,
subclasses 20 and 29+ for safes or bank protection devices
with means to release, generate, or distribute a fluent Class 424
composition to repel attack. (Apparatus and Articles, Bio-Affecting.) |
| 111, | Planting,
subclasses 118+ for planting apparatus which treats the soil with
a Class 424 composition. (Apparatus and Articles, Bio-Affecting.) |
| 118, | Coating Apparatus, for apparatus useful in coating a base with a Class
424 composition. (Apparatus and Articles, Other.) |
| 119, | Animal Husbandry, for a process of treatment of domestic animals with a Class
424 composition which does not involve cutting the skin and which
is more than the mere application of the composition to the animal.
See
subclasses 156+ for methods of topically applying a composition
to an animal to heal sores, kill parasites, repel insects, etc.,
particularly subclass 160 for fumigating. (Processes of Use Involving
Class 424 subject matter.) |
| 119, | Animal Husbandry,
subclass 348 for artifically medicated nest eggs; subclasses
156+ for apparatus for topically applying a Class 424 composition
to a domestic animal, particularly subclass 160 for fumigators.
(Apparatus and Articles, Bio-Affecting.) |
| 126, | Stoves and Furnaces,
subclasses 204+ for body warmers. (Apparatus and Articles, Other.) |
| 127, | Sugar, Starch, and Carbohydrates, for sugar, starch and carbohydrates, per se, which may have a utility for Class
424. Class 127 also provides for a sugar, starch and carbohydrate composition
protected against biological attack not having a utility provided
for in another class. (Compounds and Compositions.) |
| 128, | Surgery, for a process of treating an abnormal condition of a living
body with a compound or a Class 424 composition which goes beyond one
or more steps of mere application of a compound or composition(s);
e.g., removal of a body fluid such as milk, adding a medicine to the
fluid and re-injecting the fluid, surgical implantation, etc. Processes
in Class 128 are either placed in
subclass 1 or classified below based on the particular appliance
used. (Processes of Use Involving Class 424 subject matter.) |
| 128, | Surgery, for apparatus for treating abnormal conditions of the human
body. Class 128 also provides for medicated applicators; e.g.,
bandages, etc., claimed in terms of more structure than a coating
or a base;
subclass 161 for paper containing a biocide to protect it against
biological attack, which biocide was incorporated into the paper
stock before it was made into a self-sustaining web. (Apparatus
and Articles, Bio-Affecting.) |
| 131, | Tobacco, for tobacco containing a bio-affecting compound or composition
intended to be smoked, chewed, etc., for enjoyment. Class 131,
subclass 359 also provides for tobacco substitutes intended
to be used in the same manner as tobacco for enjoyment. (Compounds
and Compositions.) |
| 131, | Tobacco, for smoking apparatus to be used with tobacco or
a tobacco substitute intended for enjoyment. (Apparatus and Articles, Other.) |
| 132, | Toilet,
subclasses 202+ for a process of treating hair on the scalp which
is more than the mere application of a Class 424 composition. (Processes
of Use Involving Class 424 subject matter.) |
| 132, | Toilet, for miscellaneous apparatus for grooming or enhancing
the appearance of the human body; e.g., combs, manicuring, toothpicks, dental
floss, etc. (Apparatus and Articles, Other.) |
| 141, | Fluent Material Handling, With Receiver or Receiver
Coacting Means,
subclass 3 for methods of filling aerosol or gas charged dispensers.
(Other Processes.) |
| 149, | Explosive and Thermic Compositions or Charges, for explosive or thermic compositions. (Compounds
and Compositions.) |
| 162, | Paper Making and Fiber Liberation,
subclass 161 for a process of paper making wherein a biocide
is added during the process. (Processes of Use Involving Class
424 subject matter.) |
| 168, | Farriery,
subclass 2 for medicating overshoes and subclass 26 for medicating
sole pads used in treating the hooves of horses or cattle. (Apparatus
and Articles, Bio-Affecting.) |
| 174, | Electricity: Conductors and Insulators,
subclasses 68.1+ for electrical conductor structures containing
a biocide or repellent (e.g., to repel rats, etc.). (Apparatus
and Articles, Bio-Affecting.) |
| 204, | Chemistry: Electrical and Wave Energy, appropriate subclasses for compound which may possess
a Class 424 utility and which are produced by a chemical change
which is brought about by an electric current or wave energy and
which can only be defined by its process of making. (Compounds
and Compositions.) |
| 206, | Special Receptacle or Package,
subclass 213 for insect proof receptacles. (Apparatus and Articles,
Bio-Affecting.) |
| 208, | Mineral Oils: Processes and Products,
subclasses 1 and 2 for biocidal mineral oil products and mixture
thereof. Subclasses 14+ for mineral oil products preserved
against biological attack by a mineral oil additive. (Compounds
and Compositions.) |
| 210, | Liquid Purification or Separation, for a process of liquid purification which is more than the
mere application of a Class 424 composition in particular see
subclasses 749+ for processes of chemical treatment. (Processes
of Use Involving Class 424 subject matter.) |
| 210, | Liquid Purification or Separation, for apparatus for liquid purification (e.g., water
etc.) utilizing a Class 424 composition. (Apparatus and Articles,
Bio-Affecting.) |
| 219, | Electric Heating, for electrical apparatus for heating the body, particularly
subclasses 526+ and 528+. (Apparatus and Articles, Other.) |
| 220, | Receptacles,
subclasses 87.1+ for a disinfecting device to be attached to the
receptacles of that class. (Apparatus and Articles, Bio-Affecting.) |
| 222, | Dispensing,
subclasses 394+ for the structure of pressurized containers useful
for dispensing a Class 424 composition. (Apparatus and Articles,
Other.) |
| 223, | Apparel Apparatus,
subclass 86 for insect repelling garment hangers. (Apparatus
and Articles, Bio-Affecting.) |
| 239, | Fluid Sprinkling, Spraying, and Diffusing,
subclasses 34+ for slow diffusers useful in applying Class 424
compositions by evaporation. (Apparatus and Articles, Other.) |
| 252, | Compositions,
subclass 299.01 for liquid crystal containing optical filter compositions;
subclasses 365+ for anti-ingestible or denatured compositions;
subclasses 380+ provide stabilized compositions where the
ingredients other than the stabilizers are claimed so broadly as not
to furnish a basis of classification (e.g., a carbon compound, etc.);
subclasses 389.1+ for preservative compositions broadly
not elsewhere provided for, and for a preservative mixed with a
compound claimed so broadly as not to afford a basis of classification
(e.g., "a carbon compound," etc.); and subclasses
582+ for other optical filter compositions. (Compounds
and Compositions.) (Also see the Class 252 reference in Lines With
Related Composition Classes above) |
| 260, | Chemistry of Carbon Compounds, appropriate subclasses for an organic compound which
is disclosed or claimed as having a Class 424 utility, also for
an organic compound with an additive to protect the compound against deterioration
or biological attack. (Compounds and Compositions.) |
| 264, | Plastic and Nonmetallic Article Shaping or Treating:
Processes, for processes of making molded dosage units; e.g.,
pills, etc., from Class 424 compositions by a Class 264 process.
(Other Processes.) |
| 351, | Optics: Eye Examining, Vision Testing and Correcting, for optical methods of eye examination and vision
correction. (Processes of Use Involving Class 424 subject matter.) |
| 351, | Optics: Eye Examining, Vision Testing and Correcting, for apparatus for eye examination and eye glasses.
(Apparatus and Articles, Bio-Affecting.) |
| 359, | Optics: Systems (Including Communication) and
Elements,
subclasses 885+ for optical filters. (Apparatus and Articles,
Other.) |
| 383, | Flexible Bags,
subclass 901 for hot water bags, useful in heating the body.
(Apparatus and Articles, Other.) |
| 401, | Coating Implements With Material Supply, for implements under the class definition used to apply
a Class 424 composition; e.g., lipstick, deodorant, etc. (Apparatus
and Articles, Other.) |
| 420, | Alloys or Metallic Compositions, appropriate subclasses for an alloy or alloy powder
which may have a Class 424 utility. (Compounds and Compositions.) |
| 422, | Chemical Apparatus and Process Disinfecting, Deodorizing,
Preserving, or Sterilizing,
subclasses 1+ for processes of disinfecting, deodorizing, preserving,
or sterilizing using a compound or a Class 424 composition which
is more than the single step of mere application of the compound
or composition. (Processes of Use Involving Class 424 subject matter.) |
| 422, | Chemical Apparatus and Process Disinfecting, Deodorizing,
Preserving, or Sterilizing, appropriate subclasses for bio-affecting apparatus employing
a Class 424 composition. (Apparatus and Articles, Bio-Affecting.) |
| 422, | Chemical Apparatus and Process Disinfecting, Deodorizing,
Preserving, or Sterilizing,
subclasses 129+ for apparatus in general for performing chemical
reactions; and subclasses 50+ for testing apparatus, including
apparatus for performing a Class 424 test. (Apparatus and Articles,
Other.) |
| 423, | Chemistry of Inorganic Compounds, for inorganic compounds and nonmetallic elements which
may have a Class 424 utility. Class 423 provides inorganic compounds
which include an additive, see especially
subclass 265 . (Compounds and Compositions.) |
| 425, | Plastic Article or Earthenware Shaping or Treating:
Apparatus,
subclass 2 for apparatus for molding plastic material against
animal or plant body structure. (Apparatus and Articles, Other.) |
| 426, | Food or Edible Material: Processes, Compositions,
and Products, for food or edible Material for the nourishment
of man and animals. Class 426 also provides for preserved foods and
foods containing vitamin or mineral. (Compounds and Compositions.) |
| 427, | Coating Processes,
subclasses 2.1+ for significant processes of coating wherein the
product has a medical or dental utility. (Processes of Use Involving
Class 424 subject matter.) |
| 428, | Stock Material or Miscellaneous Articles,
subclasses 540+ for articles impregnated with a biocide and not
containing structure (e.g., size or apertures); subclass 907 (a
cross-reference art collection) for a product treated against attack
by plant or animal life. (Apparatus and Articles, Bio-Affecting.) |
| 431, | Combustion,
subclasses 288+ for a candle, per se. (Apparatus and Articles,
Other.) |
| 433, | Dentistry,
subclasses 215+ for a process of dentistry which is more than the
mere application of a Class 424 composition. (Processes of Use
Involving Class 424 subject matter.) |
| 433, | Dentistry,
subclasses 25+ for apparatus for the cleaning or replacement of
teeth, especially subclass 80 for structurally defined dental applicators
containing a medicament. (Apparatus and Articles, Bio-Affecting.) |
| 435, | Chemistry: Molecular Biology and Microbiology, for ferments not otherwise provided for either, per se, or preserved against biological attack,
also for media for the culture of single celled animals or for living
tissue and organs outside a living body. (Compounds and Compositions.) |
| 435, | Chemistry: Molecular Biology and Microbiology, for processes of fermentation, including propagation and/or
attenuation of a micro-organism, (e.g., bacteria and virus, etc.),
and compositions for carrying out said processes.
subclasses 235.1+ for virus propagation. Subclass 1 for propagating
living organs, tissues or cells outside the body. Subclasses 240.1+ for fermentation
processes wherein undesired micro-organisms are eliminated from
the process by the use of a biocide. ( Processes of Use Involving
Class 424 subject matter.) |
| 436, | Chemistry: Analytical and Immunological Testing,
subclasses 1+ for miscellaneous methods of chemical analysis.
(Other Processes.) |
| 449, | Bee Culture, appropriate subclasses for a bee hive or appliance therefor
containing a biocide to protect be or honey, particularly
subclasses 9+ for a bee hive having feeding provision, and subclass
48 for a free standing be feeder. (See Lines With Other Classes
and Within This Class, Apparatus and Articles, Bio-Affecting.) |
| 452, | Butchering, for methods of killing and dressing animals for
use as food. See Lines With Other Classes and Within This Class,
(Other Processes.) |
| 504, | Plant Protecting and Regulating Compositions, for a plant growth regulating composition;
subclass 100 for seeds coated with Class 424 biocidal compositions;
subclasses 101+ for a fertilizer composition containing
an insecticide, fungicide, or deodorant; subclasses 150+ for
an algicide composition. (Apparatus and Articles, Bio-Affecting.)
(Compounds and Compositions.) (Also see the Class 504 reference
in Lines With Related Composition Classes above) |
| 508, | Solid Antifriction Devices, Materials Therefor, Lubricant
and Separant Compositions for Moving Solid Surfaces, and Miscellaneous
Mineral Oil Compositions, particularly
subclasses 110+ for a lubricant composition protected against biological
attack. Subclasses 110+ provide for a mineral oil containing
a nonmineral oil preservative when the composition is disclosed
to be useful as a lubricant. (Compounds and Compositions.) |
| 510, | Cleaning Compositions for Solid Surfaces, Auxiliary
Compositions Therefor, or Processes of Preparing the Compositions,
subclasses 131+ , 319, 382+, and other appropriate subclasses
for cleaning compositions containing a biocide, insecticide, or
antiseptic component, which may function as a preservative for the cleaning
composition or serve to perfect the cleaning process. These compositions
may be disclosed or claimed as useful in cleaning a living body
(e.g., human skin, hair, etc.). (Compounds and Compositions.) |
| 512, | Perfume Compositions,
subclasses 1 through 27for perfume compositions, per se. (Compounds and
Compositions.) |
| 520, | Synthetic Resins or Natural Rubbers, for a synthetic resin or natural rubber, per se, which
is disclosed or claimed as having a Class 424 utility. Also Class
523,
subclasses 105+ for a nonmedicated composition designed to come into
contact with the body and which is other than apparel; and subclass
122 for a resin or natural rubber composition preserved against deterioration
by bacteria, fungi, or other organisms. (Compounds and Compositions.) |
| 536, | Organic Compounds, appropriate subclasses for saccharides, polysaccharides,
nucleosides, nucleotides, and polynucleotides like RNA and DNA compounds
as well as chemical methods of synthesizing these compounds. Search
specifically
subclasses 23.1+ for fragments of RNA or DNA and subclasses 26.4+ for
vitamin B-12 and its derivative. (Compounds and Compositions.) |
| 549, | Organic Compounds,
subclasses 523+ for a preservative fat, fatty oil, ester-type wax
or fatty acid. (Compounds and Compositions.) |
| 585, | Chemistry of Hydrocarbon Compounds,
subclasses 1+ provides for a composition which is a blend of
hydrocarbon compounds only and for a blend of a hydrocarbon with
a nonhydrocarbon preservative. (Compounds and Compositions.) |
| 623, | Prosthesis (i.e., Artificial Body Members), Parts
Thereof, or Aids and Accessories Therefor, for the subject matter of that class title. (Apparatus
and Articles, Bio-Affecting.) |
SECTION IV - GLOSSARY
The meaning to be given to the various "art" terms appearing
in this class, but which have not been included in the glossary below, is the same as that generally
accepted or is in common usage. However, certain terms employed
in this class, which are included below, have been assigned definitions
tailored to meet the needs of this class and therefore these may
be more restricted or less limited or even altogether different from
those in common usage.
ACTIVE
Denotes a physiological, pharmacological, or biological affect.
AMINE
Denotes a compound in which one or more of the valences of
a nitrogen atom have been satisfied by a covalently bonded carbon
atom.
AROMATIC
Denotes a compound which contains a benzene nucleus whether
or not it is condensed with other rings.
CARBOXYLIC
Denotes the presence of a moiety.

FERMENTATE
Denotes the final chemical compound, or compounds, that
are produced by a fermentation process and includes compounds which
are of known as well as unknown structure.
HEAVY METAL
Denotes any metal having a specific gravity greater than 4
and as employed herein includes arsenic and antimony.
HETEROCYCLIC
Denotes the presence of one or more carbon atoms covalently
bonded in a closed ring with at least one atom of oxygen, nitrogen,
sulfur, selenium or tellurium and having no other atoms in the ring.
ORGANIC
Denotes compounds containing carbon, which are further
characterized by the presence in a molecule thereof of two carbon
atoms bonded together; or one atom of carbon bonded to at least
one atom of hydrogen or halogen; or one atom of carbon bonded to
at least one atom of nitrogen by a single or double bond.
| | (1)
Note. Compounds included within this definition, but not
considered organic are hydrocyanic acid, cyanogen, isocyanic acid,
cyanamide, dicyanamide, cyanogen halides, isothiocyanic acid, fulminic
acid, and metal carbides. |
OXO
Denotes the presence of a carbonyl (C=O) bonded
to hydrogen and/or carbon and is a term limited to ketones and
aldehydes.
OXY
Denotes the presence of oxygen singly bonded to a carbon,
which is not the carbon of a carbonyl group, and is further bonded
to hydrogen, metal or an organic radical. The term is generic to
alcohols, phenols, alcoholates, phenolates, ethers and esters thereof.
POTENTIATOR OR SYNERGIST
Denotes an agent (A) which will cooperatively act with an
active ingredient for this class (B) to the extent that the total
effect (A+B) will be greater than the sum of the two effects
taken independently.
UNITARY DOSAGE FORM
Denotes that form of medication supplied in a manner requiring
no further weighing or measuring to provide the dosage; e.g., tablet,
capsule, etc. Medicines in bulk form; e.g., powder, syrup, etc.,
are not included.
SUBCLASSES
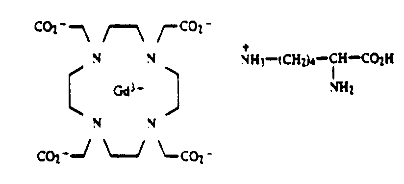
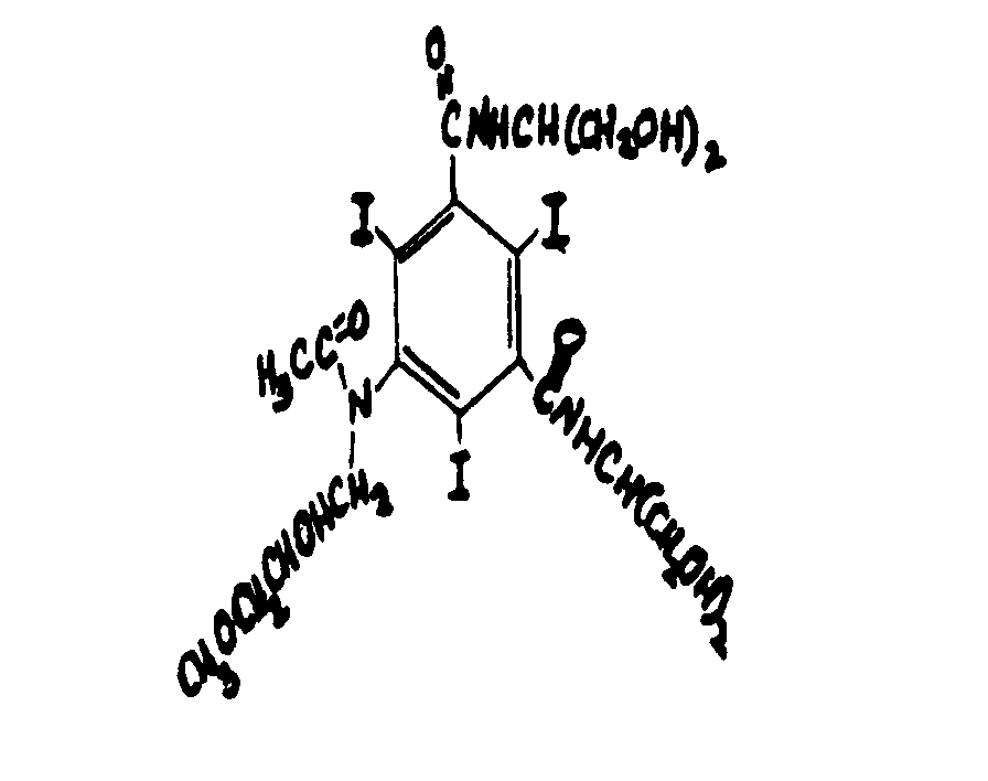
1.11 | RADIONUCLIDE OR INTENDED RADIONUCLIDE CONTAINING; ADJUVANT OR
CARRIER COMPOSITIONS; INTERMEDIATE OR PREPARATORY COMPOSITIONS: |
| | This subclass is indented under the class definition. Compositions containing a radionuclide or an element intended
to be converted to a radionuclide (such as Boron-10
which may be neutron-activated for radio-therapy); methods of
making such compositions; class defined methods of using
such compositions; class defined methods of using compounds, per
se, containing a radionuclide or an element intended to
be converted to a radionuclide; adjuvant or carrier compositions
for perfecting compositions of this class; and intermediate
or preparatory compositions for compounds or compositions proper
for Class 424.
| | (1)
Note. Radionuclide is an unstable isotope, capable
of emitting radiant energy through a process termed decay.
Commonly used terms which are substantially synonymous include: radiolabeled, radioactive, and
radioisotope. |
| | (2)
Note. An intended radionuclide is an element which
is by disclosure or common knowledge intended to be converted to
a radionuclide to take advantage of the property or properties exhibited
by a radionuclide. This subclass and indented subclasses
should be read as incorporating the intended radionuclide embodiment
in every instance. |
| | (3)
Note. All elements have multiple isotopes; some
radioactive, some not; some naturally occurring; and
some man-made. The recitation of a radionuclide will
inherently encompass a mixture of isotopes; however, this
is not sufficient for placement in Class 424. For placement
in Class 424, an intentional mixture of different compounds
or different elements or one (or more) of each
is required. |
| | (4)
Note. Class 424 takes compounds mixed with a preserving
agent when disclosed or claimed for a Class 424 function or utility.
Further, Class 424 provides for a solution of a compound
when disclosed or claimed for a Class 424 function or utility. |
| | (5)
Note. The intermediate and preparatory compositions
are provided for in this subclass and indented subclasses, even though
the radionuclide or intended radionuclide may not be present in
the claim. The adjuvant and carrier compositions are provided
for in this and indented subclasses, even though the radionuclide
or intended radionuclide may not be present in the claim.
When there are also disclosed or claimed non-radionuclide uses
of the intermediate, preparatory, adjuvant, or
carrier composition, appropriate cross-references
are necessary elsewhere in Classes 424 and 514. |
| | (6)
Note. Subclass 1.11 is the appropriate residual
location for those compositions, and the appropriate class
defined uses, containing a per se radionuclide element or
a per se intended radionuclide element (i.e., the
elemental material). For example, compositions
and methods comprising radioactive Radon baths are found here.
Any indication of a compound; i.e., attachment (e.g., recitation
of an ion), dictates that proper placement is
in an indented subclass, even in the absence of a specifically
disclosed compound. In the case of an indicated, but
not specifically disclosed compound, the original would
be placed in subclass 1.61 and a cross placed in:
subclass 1.65 for metal radionuclide or intended metal
radionuclide; subclasses 1.81+ for nonmetal radionuclide
or intended nonmetal radionuclide; or both. |
| | (7)
Note. The following rule adheres to the rule set
forth in Class 514, which statement in Class 514: (A) this
and indented subclasses do not provide for cross-reference
patents which are originally classified in Class 260, compound
areas, or in the Class 530-570 series or in Class 585.
Cross-reference patents that are originally classified
in the Class 520 series are permitted; (B) the
cross-reference rule elaborated above means that a specific
compound having a disclosed or even specifically claimed utility (i.e., compound
X having an attached radionuclide useful as an anti-cancer
diagnostic or treatment agent) will be classifiable only
in Class 260 or the Class 530-570 series or Class 585. |
| | (8)
Note. The terminology "derivative thereof" means
that the compound retains the biological activity of the compound
from which the subclass provides and from which it is derived, or
that the compound retains the structural characteristic that places
it in the subclass. |
| | (9)
Note. Kits. Claims and disclosures to
in vivo kits are classified according to the following guidelines.
The use of nominal terms to identify the kit such as "kit," "vial," "container," etc., are
disregarded and placement is premised on the radiolabeled product
intended for placement in the body even if the ingredients actually
recited do not include all the necessary components to form the radiolabeled
product (e.g., intermediate). The
presence of an accessory such as "instructions", "syringe", "filter", etc., have
no effect on this aspect of placement. Claiming of significant
packaging or container structure will result in placement in Class
206 when the packaging requirements of that class definition is
satisfied. |
SEE OR SEARCH THIS CLASS, SUBCLASS:
| 2+, | for in vivo diagnostic compositions not comprising
a radionuclide or intended radionuclide. |
SEE OR SEARCH CLASS:
| 75, | Specialized Metallurgical Processes, Compositions
for Use Therein, Consolidated Metal Powder Compositions, and
Loose Metal Particulate Mixtures, appropriate subclasses for patents relative to the
metallurgy of a radioactive metal element or alloy. |
| 204, | Chemistry: Electrical and Wave Energy, appropriate subclasses for a chemical process making
a compound or element and involving the class defined use of electrical
or wave energy. |
| 206, | Special Receptacle or Package, for kits which meet the class definition, particularly
subclass 438 for a container for an object or substance adapted
for use in wound or disease treatment of the body, subclasses 216+ for
container which is for two or more diverse articles or materials
or which is structured so that at least a portion thereof is capable
of rearrangement for a secondary purpose (especially subclasses
568, 569, and 570) and subclasses 524.1+ for
container wherein the cover or contents are specified in terms of
chemical constituents. |
| 250, | Radiant Energy,
subclasses 496.1+ for a radioactive source alone or with a shielded
container to selectively shield or expose the source, subclass 432
for generators which also separate parent and daughter isotopes. |
| 252, | Compositions,
subclasses 625+ for a radioactive composition and methods of making
and disposal thereof, not provided for elsewhere. |
| 376, | Induced Nuclear Reactions: Processes, Systems, and
Elements, appropriate subclasses for apparatus and processes for
the production and/or utilization of a radioactive material or
composition, especially
subclasses 156+ for bombardment of a material to produce an induced
nuclear reaction (other than that resulting in the splitting
of a nucleus); e.g., transmutation, making
radioactive material, producing isotopes of the same or
different element. |
| 420, | Alloys or Metallic Compositions,
subclasses 1+ for radioactive alloys. |
| 422, | Chemical Apparatus and Process Disinfecting, Deodorizing, Preserving
or Sterilizing,
subclasses 50+ for apparatus for in vitro quantitative or qualitative
chemical analysis and laboratory devices, especially subclass
430 for in vitro test package or kit (e.g., radioassay). |
| 423, | Chemistry of Inorganic Compounds,
subclasses 2+ and 249+ for radioactive elements or inorganic
compounds and class defined methods of making same. |
| 427, | Coating Processes,
subclasses 2.1+ for coating processes producing a medical or dental
product (e.g., coated pills) and
subclasses 5+ for coating a radioactive base or applying
a radioactive coating. |
| 435, | Chemistry: Molecular Biology and Microbiology, see appropriate subclasses: for processes in
which a material containing an enzyme or micro-organism
is used to perform a qualitative or quantitative measurement or
test; for compositions or test strips for either of the
stated processes; for the processes of making such compositions
or test strips; for processes of using micro-organisms or
enzymes to synthesize a chemical product; for processes
of treating a material with micro-organisms or enzymes
to separate, liberate, or purify a preexisting
substance or to destroy hazardous or toxic waste; for processes
of propagating micro-organisms; for processes
of genetically altering a micro-organism; for processes
of tissue, organ, blood, sperm, or
microbial maintenance; for processes of malting or mashing; for micro-organisms, per
se, and subcellular parts thereof; for recombinant vectors
and their preparation; for enzymes, per se, compositions
containing enzymes not otherwise provided for and processes of preparing and
purifying enzymes; for compositions for microbial propagation; for apparatus
for any of the processes of the class; for composting apparatus; and
subclasses 4+ for in vitro processes in which there is a direct
or indirect, qualitative or quantitative, measurement
or test, by or of a material which contains an enzyme or micro-organism (for
the purposes of Class 435, micro-organism includes bacteria, actinomycetales, cyanobacteria (unicellular
algae), fungi, protozoa, animal
cells, plant cells, and virus).
Class 424 definition contains controlling statements on the class lines. |
| 436, | Chemistry: Analytical and Immunological
Testing, appropriate subclasses for processes which involve a chemical
reaction for determining quantitatively or qualitatively the presence
of a chemical element, a compound or a complex in a composition
or a chemical compound, or an element or radical in a compound; for processes
of measuring or testing the chemical properties of a sample, or chemically
determining a physical property of a sample; for analytical compositions
used in such processes (see Class 436, main definition, Lines With
Other Classes and Within This Class, for exceptions); for
chemical test standards; and for combinations of tests
or measurements with methods of regulating a chemical reaction not
otherwise provided for in a chemical synthesis class or elsewhere.
See especially,
subclasses 57+ for processes or compositions where the testing
or a chemical reaction includes measurement of radioactivity; subclasses
500-548 for processes of in vitro measuring or testing
which involve antigen-antibody, immunological, or
protein binding interactions other than those involving an enzyme or
micro-organism. Class 436 provides for in vivo
production (i.e., by treatment
of a live animal with a virus or micro-organism) of
immunological (e.g., anti-sera) material
when intended for use in an in vitro test. |
| 530, | Chemistry: Natural Resins or Derivatives; Peptides
or Proteins; Lignins or Reaction Products Thereof, appropriate subclasses for, per se, compounds including
those which have attached thereto a radionuclide, such
as radiolabeled proteins, peptides, and polypeptides. |
| 534, | Organic Compounds,
subclasses 10+ for an organic compound, per se, containing
a radioactive metal. |
| 600, | Surgery,
subclasses 1+ for a device or process applying radioactive substance
to or into the body for a therapeutic purpose and wherein more than one
nominal step or a series of nominal steps is recited, subclasses
431+ for diagnostic testing processes wherein the radioactive
material is placed in the body, and subclass 436 for diagnostic
testing processes involving nuclear radiation directed against and
passing through or reflected from the body. |
|
| | |
1.13 | In aerosol, fine spray, effervescent, pressurized fluid,
vapor or gas, or complete composition therefor: |
| | This subclass is indented under subclass 1.11. Subject matter which is contained in or part of an aerosol,
a fine spray, an effervescent, a pressurized fluid, a vapor, a gas,
or a composition intended for such use and not requiring any additional
component to perfect it other than a pressurizing agent (e.g., heat).
| | (1)
Note. Gaseous compositions and methods comprising radioactive
Xenon for lung studies are found here. | |
| | |
1.17 | Attached to or within viable or inviable whole micro-organism,
cell, virus, fungus or specified sub-cellular structure thereof
(e.g., platelet, red blood cell): |
| | This subclass is indented under subclass 1.11. Subject matter in which the radionuclide or intended radionuclide
is attached (bonded, chelated, complexed) to, or contained within,
a whole microbial organism, cell, virus, fungus, or specified sub-cellular
structure thereof.
| | (1)
Note. Examples of materials intended for placement in this
subclass include: platelet, red blood cell, mitochondria, and chloroplast. |
| | (2)
Note. This subclass is proper for cells, viruses, etc., which
are live, attenuated, or dead. |
SEE OR SEARCH THIS CLASS, SUBCLASS:
| 1.65+, | for cellular extracts of undefined or unspecified
composition. |
SEE OR SEARCH CLASS:
| 435, | Chemistry: Molecular Biology and Microbiology,
subclasses 183+ for radiolabeled enzymes, per se, and processes
of preparing them, subclasses 243+ for, radiolabeled micro-organisms,
per se, and processes of preparing them, subclass 262.5 for processes of
utilizing an enzyme or micro-organism to destroy a toxic or hazardous
waste or to convert it into an environmentally safe substance, and subclass
317.1 for radiolabeled subcellular parts of micro-organisms. |
|
| | |
1.21 | Molecular bilayer structure (e.g., vesicle, liposome): |
| | This subclass is indented under subclass 1.11. Subject matter which includes a structure typically characterized
by molecules having a hydrophilic end or a hydrophobic end which are
organized into a bilayer so as to produce an enclosed volume, an
organized layer, or a coating.
| | (1)
Note. The radionuclide or intended radionuclide may be attached
to the wall structure or may be enclosed within it or may be exterior
to it or any combination thereof. |
SEE OR SEARCH THIS CLASS, SUBCLASS:
| 1.17, | for cells and sub-cellular structures which may
have bilayer structures forming a part thereof. |
| 2+, | for liposome intended for testing or measuring a
condition or substance and not containing a radionuclide. |
| 450, | for liposomes containing compositions of this class
other than radionuclide containing, and other than intended for
testing or measuring a condition or substance. |
SEE OR SEARCH CLASS:
| 264, | Plastic and Nonmetallic Article Shaping or Treating:
Processes,
subclasses 4+ for generic, or not elsewhere provided for, processes
of encapsulating a material which is a liquid (at ambient temperature
and pressure) utilizing an emulsion or dispersion (e.g., making
microsphere, liposome). |
| 427, | Coating Processes,
subclasses 213.3+ for generic, or not elsewhere provided for, processes
of encapsulating a solid material utilizing an emulsion or dispersion
(e.g., making microcapsule, liposome). |
| 428, | Stock Material or Miscellaneous Articles,
subclasses 402.2+ and 402.24 for generic, or not elsewhere provided for,
liposomes, per se. |
| 436, | Chemistry: Analytical and Immunological Testing,
subclass 829 for in vitro antigen-antibody testing involving
liposomes. |
|
| | |
1.25 | Dissolving or eluting from solid or gel matrix (e.g., capsule,
tablet): |
| | This subclass is indented under subclass 1.11. Subject matter in which the composition comprises a physical
form which includes a reticulated network of solid or gel material
from which the radionuclide or intended radionuclide is eluted,
or is released by dissolution of the network.
| | (1)
Note. Proper for placement in this subclass are compositions
in which the radionuclide or intended radionuclide component is
entrapped and compositions in which the radionuclide or intended
radionuclide component is attached (bonded, chelated, complexed) to
the matrix. |
SEE OR SEARCH THIS CLASS, SUBCLASS:
| 1.29+, | for those particulate carriers which dissolve, bio-assimilate,
or bio-degrade (e.g., in the host) only after the diagnostic or
therapeutic process has been accomplished. |
|
| | |
1.29 | Coated, impregnated, or colloidal particulate (e.g., microcapsule,
microsphere, micro-aggregate, macro-aggregate): |
| | This subclass is indented under subclass 1.11. Subject matter in which the composition comprises a coated,
impregnated, or colloidal particle wherein the radionuclide or intended radionuclide
may be present in any part of the particle, coating, or impregnant
(e.g., colloidal human serum albumin).
| | (1)
Note. The core of a coated particle may comprise a solid,
liquid, or gas (e.g., gas-filled glass microsphere, liquid core microcapsule).
However, solid or gel core particles from which the radionuclide
or intended radionuclide is eluted or dissolved are classified in
subclass 1.25 above. |
| | (2)
Note. A particle coated or impregnated with a composition
provided for in this class and in which the composition functions
only to preserve the particle from biological attack is generally
classified with the particular particle protected, for example,
a lyophilized radiolabeled monoclonal antibody impregnated or coated
with a Class 424 biocide would be properly classified with the lyophilized
radiolabeled monoclonal antibody, per se, in Class 530. |
| | (3)
Note. The coating need not be continuous. The coating material
may be adsorbed, chelated, complexed, covalently bonded, ionically
bonded, or hydrogen bonded. |
| | (4)
Note. An emulsion is not proper for this subclass based solely
on the "attachment" of the emulsifying agent to
form a coating. |
| | (5)
Note. Particulate or particle encompasses a form of solid
material of such small size that it behaves in a fluid manner (e.g.,
microcapsule, but not unit dose pills). |
SEE OR SEARCH THIS CLASS, SUBCLASS:
| 1.21, | for liposomes which may encapsulate or coat a particle. |
| 1.25, | for particulate material further comprising a reticulated
network of solid or gel from which the radionuclide or intended
radionuclide is eluted or is relased by dissolution of the network. |
|
| | |
1.33 | Delivery to active site involves particle dissolving, degrading,
or otherwise releasing of radionuclide: |
| | This subclass is indented under subclass 1.29. Subject matter in which the particle dissolves, degrades,
or otherwise releases the radionuclide or intended radionuclide
in order to deliver it to the active site, such as a time release
microcapsule.
| | (1)
Note. This subclass is intended to take those compositions
which release the radionuclide at a location distant from the target
location. Compositions which release the radionuclide within a
target cell in the body would not be proper for placement here on
that basis. |
| | (2)
Note. A particle designed to dissolve, degrade, etc., (e.g.,
bio-degradable, bio-assimilable) after the diagnosis, treatment,
etc., is not proper for placement here on that basis. | |
| | |
1.41 | Attached to lymphokine, cytokine, or other secreted growth
regulatory factor, differentiation factor, or intercellular mediator
specific for a hematopoietic cell (e.g., interferon, interleukin,
macrophage factor, colony stimulating factor, erythropoietin); derivative
thereof: |
| | This subclass is indented under subclass 1.11. Subject matter in which the radionuclide or intended radionuclide
is attached (bonded, chelated, complexed) to a lymphokine, cytokine, or
other secreted growth regulatory factor, differentiation factor,
or intercellular mediator specific for any type of hematopoietic
cell; and the derivatives thereof.
| | (1)
Note. The term "growth regulatory factor" is
meant to encompass any secretory factor that is growth-stimulatory
or growth-inhibitory (i.e., that will stimulate or inhibit cluneal
expansion of cells). |
| | (2)
Note. The term "differentiation factor" is
meant to encompass any secretory factor that causes cells to progress
from a relatively undifferentiated state to a more differentiated
state, wherein said progression may include cluneal expansion. |
| | (3)
Note. The term "intercellular mediator" is
meant to encompass any secretory factor that affects cellular functions
such as chemotaxis, etc. |
| | (4)
Note. Included here are: interferon (IF), interleukin, monokines,
macrophage factors, lymphokines, migration inhibitory factor (MIF),
lymphotoxin (LT), leukocyte migration inhibitory factor (CIF), eosinophil
chemotactic factor-precursor substance (ECFp), eosinophil stimulation
promoter, eosinophil chemotactic factor, monocyte tissue factor,
mitogenic factor (MF), lymphocyte activity-factor (LAF), colony
stimulating factor (CSF), skin reactive factor (SRF), macrophage cytotoxicity
factor (MCF), leukocyte inhibition factor (LIF), vascular permeability
factor (VPF), T cell growth factor (TCGF), B cell growth factor
(BCGF), erythroid burst promoter, genetically related macrophage
factor (GRF), fibroblast activating factor (FAF), tumor necrosis
factor (TNF), and macrophage activating factor (MAF). |
| | (5)
Note. Hematopoietic cells are considered to be bone marrow
stem cells and cells derived from bone marrow stem cells, including
cells at any stage of differentiation from progenitor cells to mature
erythrocytes, granulocytes, lymphocytes, etc., both normal and neoplastic. | |
| | |
1.45 | Attached to cyclopentano-hydrophenanthrene (e.g., cholesterol,
bile acid, steroids, cholane), hormone, or neurotransmitter, or other
secreted growth regulatory factor, differentiation factor, or intercellular
mediator (e.g., T3, T4,
insulin, human chorionic gonadotropin, intragonadal regulatory protein, Mullerian
inhibiting substance, inhibin, epidermal growth factor, nerve growth
factor, dopamine, norepinephrine); derivative thereof: |
| | This subclass is indented under subclass 1.11. Subject matter in which the radionuclide or intended radionuclide
is attached (bonded, chelated, complexed) to a cyclopentano-hydrophenanthrene
(e.g., cholesterol), hormone, or neurotransmitter, or any other
secreted growth regulatory factor, differentiation factor or intercellular
mediator, or derivative thereof, that targets cells other than hematopoietic
cells; and the derivatives thereof.
| | (1)
Note. The term "growth regulatory factor" is
meant to encompass any secretory factor that is growth-stimulatory
or growth-inhibitory (i.e., that will stimulate or inhibit cluneal
expansion of cells). |
| | (2)
Note. The term "differentiation factor" is
meant to encompass any secretory factor that causes cells to progress
from a relatively undifferentiated state to a more differentiated
state, wherein said progression may include cluneal expansion. |
| | (3)
Note. The term "intercellular mediator" is
meant to encompass any secretory factor that affects cellular functions
such as chemotaxis, etc. |
| | (4)
Note. Cyclopentano-hydrophenanthrene or a derivative thereof
means those compounds which do not destroy the 17 carbon atoms forming
the four-fused-ring structure. The four-fused-ring structure need
not contain the same number of hydrogen atoms or double bonds to
be proper for placement here. The necessary requirement is that
the 17 carbons atoms retain the relationship exhibited in the base
compound. |
SEE OR SEARCH THIS CLASS, SUBCLASS:
| 1.21, | for liposomes containing cholesterol and derivatives
within the liposome or liposome bilayer. |
SEE OR SEARCH CLASS:
| 552, | Organic Compounds, for per se cyclopentano-hydrophenanthrene and derivatives
thereof. |
|
| | |
1.49 | Attached to antibody or antibody fragment or immunoglobulin;
derivative thereof: |
| | This subclass is indented under subclass 1.11. Subject matter in which the radionuclide or intended radionuclide
is attached (bonded, chelated, complexed) to an antibody, or an
antibody fragment, or immunoglobulin (e.g. monoclonal antibody);
and the derivatives thereof.
| | (1)
Note. Antibodies, per se, including those having attached
thereto a radionuclide, such as monoclonal and polyclonal antibodies,
are considered to be compounds and are classified in Class 530, subclasses
387.1+. |
| | (2)
Note. Proper for placement here are mixtures or compositions,
such as an immune serum or an antiserum, which are disclosed or
reasonably believed to have antibodies attached to radionuclide or
intended radionuclide. |
SEE OR SEARCH CLASS:
| 436, | Chemistry: Analytical and Immunological Testing, appropriate subclasses for in vitro test methods including
those methods which include injecting a host animal to produce an
antibody or antisera if the virus or micro-organism injected is dead.
Class 424 provides for such methods, when the virus or micro-organism
is live. |
| 530, | Chemistry: Natural Resins or Derivatives; Peptides
or Proteins; Lignins or Reaction Products Thereof, particularly
subclasses 391.3+ for the radiolabeled compound, per se. |
|
| | |
1.53 | Attachment via an added element (e.g., bifunctional compound
or coordinate, coupling agent, spacer compound, bridging compound,
conjugated chelate): |
| | This subclass is indented under subclass 1.49. Subject matter in which the radionuclide or intended radionuclide
is attached (bonded, chelated, complexed) to an antibody, antibody fragment,
immunoglobulin, or derivative thereof via an added, interposed linking
means, comprising at least one atom, between the radionuclide and
the antibody, antibody fragment, immunoglobulin, or derivative thereof.
| | (1)
Note. Examples of terms used to describe the subject matter
proper for placement in this subclass include: bifunctional compound
or coordinate, spacer compound, bridging compound, conjugated chelate,
chelating group, coordination complex, coupling agent, and conjugation
agent. |
| | (2)
Note. In the absence of a disclosure of an added attachment
means the reference is not properly placed in this subclass, and
is proper for subclass 1.49, above. |
SEE OR SEARCH CLASS:
| 530, | Chemistry: Natural Resins or Derivatives; Peptides
or Proteins; Lignins or Reaction Products Thereof, particularly
subclasses 391.3+ for the radiolabeled compound, per se. |
|
| | |
1.57 | Attached to antigen or hapten; derivative thereof: |
| | This subclass is indented under subclass 1.11. Subject matter in which the radionuclide or intended radionuclide
is attached (bonded, chelated, complexed) to an antigen or a hapten; and
the derivatives thereof.
| | (1)
Note. An antigen is a compound which induces the formation
of an antibody in the living body. |
| | (2)
Note. A hapten is a compound that has little or no antigenicity
unless coupled to a carrier molecule. |
SEE OR SEARCH THIS CLASS, SUBCLASS:
| 1.49+, | for radionuclide or intended radionuclide attached
to antibody, antibody fragment, or immunoglobulin. |
|
| | |
1.61 | In an inorganic compound: |
| | This subclass is indented under subclass 1.11. Subject matter in which the radionuclide or intended radionuclide
is attached (bonded, chelated, complexed) to or a part of an inorganic compound.
| | (1)
Note. See Note (1) in subclass 1.65 for a definition of organic
compound. An inorganic compound is any compound that does not meet
the definition of an organic compound. |
| | (2)
Note. An inorganic compound does not mean the, per se, element,
but does include homogenous compounds such as I2. |
SEE OR SEARCH THIS CLASS, SUBCLASS:
| 1.11, | through 1.37, as appropriate, for class defined
compositions containing or methods using, an unattached radionuclide
or an unattached intended radionuclide. |
|
| | |
1.65 | In an organic compound: |
| | This subclass is indented under subclass 1.11. Subject matter in which the radionuclide or intended radionuclide
comprises an organic compound.
| | (1)
Note. An organic compound is defined by the following statement
(which originated from the definition set forth in Class 260, Chemistry
of Carbon Compounds, as qualified by Note (34)): Compounds containing
carbon which are further characterized by the presence in a molecule
thereof of two carbon atoms bonded together, or one atom of carbon bonded
to at least one atom of hydrogen or halogen, or one atom of carbon bonded
to at least one atom of nitrogen by a single or double bond; including dicyanamide,
dicyandiamide and salts thereof, which compounds, per se, are classified
in Class 260; and excluding hydrocyanic acid, cyanogen, isocyanic acid,
cyanamide, cyanogen halides, isothiocyanic acid, fulminic acid and metal
carbides, all of which compounds, per se, will be classified in
Class 423. |
| | (2)
Note. This subclass is the proper residual location for those
class-appropriate compositions and uses having organic compounds
not appropriate above or for a hereinunder indented subclass and
having a radionuclide or an element intended to be converted to
a radionuclide attached (bonded, chelated, complexed) thereto which
is a metal. The analogous class-appropriate compositions and uses
having organic compounds having attached thereto a nonmetal are
proper for subclasses 1.81+, below. |
| | (3)
Note. A metal is any element other than a nonmetal. The
nonmetals are: Hydrogen, Boron, Carbon, Silicon, Nitrogen, Phosphorus,
Oxygen, Sulfur, Selenium, Tellurium, Fluorine, Chlorine, Bromine, Iodine,
Astatine, Helium, Neon, Argon, Krypton, Xenon, and Radon; (H, B,
C, Si, N, P, O, S, Se, Te, F, Cl, Br, I, As, He, Ne, Ar, Kr, Xe,
and Rn.) |
SEE OR SEARCH CLASS:
| 260, | Chemistry of Carbon Compounds, see (1) Note above. |
| 435, | Chemistry: Molecular Biology and Microbiology,
subclasses 174+ and 183+ for radiolabeled enzymes, per se. |
|
| | |
1.69 | Attached to peptide or protein of 2+ amino acid
units (e.g., dipeptide, folate, fibrinogen, transferrin, sp. enzymes);
derivative thereof: |
| | This subclass is indented under subclass 1.65. Subject matter in which the radionuclide or intended radionuclide
is attached (bonded, chelated, complexed) to a compound which contains
one or more peptide bonds; and the derivatives thereof.
| | (1)
Note. The term peptide bond means an amide bond (the group
N-C(=O)) between two alpha-amino acids or an alpha-amino
acid and beta-alanine. |
SEE OR SEARCH THIS CLASS, SUBCLASS:
| 1.17, | for proteinaceous cells or viruses and sub-cellular
structures. |
| 1.41, | for proteins which are hematopoietic cell specific,
secreted growth regulatory factor, differentiation factor, or intercellular
mediator such as lymphokine. |
| 1.45, | for proteins which are secreted growth regulatory
factor, differentiation factor, or intercellular mediator not specific
to hematopoietic cells. |
| 1.49+, | for proteins which are antibodies. |
| 1.57, | for proteins which are intended to perform as antigens
or haptens. |
SEE OR SEARCH CLASS:
| 435, | Chemistry: Molecular Biology and Microbiology,
subclasses 174+ and 183+ for radiolabeled enzymes, per se. |
|
| | |
1.73 | Attached to carbohydrate compound; derivative thereof (e.g.,
DNA, nucleotide, nucleoside, sugar, starch, tannin, saccharide, polysaccharide,
cellulose, O-, N- and S-glycoside, vitamin B12): |
| | This subclass is indented under subclass 1.65. Subject matter in which the radionuclide or intended radionuclide
is attached (bonded, chelated, complexed) to a carbohydrate compound which
is a saccharide and whose monomeric units are polyhydroxy mono-aldehydes
or polyhydroxy mono-ketones, having the formula Cn(H2O)n,
wherein n is five or six, or the corresponding cyclic hemiacetals
thereof, or the reaction derivatives thereof in which the carbon
skeleton and the carbonyl function or hemiacetal function of the
saccharide unit are not destroyed; and the derivatives thereof.
| | (1)
Note. For proper placement here, the saccharide or the monomeric
saccharide radical unit of a polysaccharide must contain at least
five carbon atoms, and the derivatives or reaction products must not
destroy the carbon skeleton of the saccharide or polysaccharide. | |
| | |
1.77 | Phosphorus-containing organic compound: |
| | This subclass is indented under subclass 1.65. Subject matter in which the radionuclide or intended radionuclide
is attached (bonded, chelated, complexed) to, or a part of, an organic compound
having a phosphorus atom.
| | (1)
Note. An organic compound having a radioactive phosphorus
atom is proper for placement in this subclass. |
SEE OR SEARCH THIS CLASS, SUBCLASS:
| 1.61, | for the inorganic phosphate, pyrophosphate, or polyphosphate. |
|
| | |
1.81 | Nonmetal radionuclide or intended radionuclide (e.g., carbon): |
| | This subclass is indented under subclass 1.65. Subject matter in which the radionuclide or intended radionuclide
is a nonmetal and is attached (bonded, chelated, complexed) to an organic
compound.
| | (1)
Note. A nonmetal is a member of the group: Hydrogen, Boron,
Carbon, Silicon, Nitrogen, Phosphorus, Oxygen, Sulfur, Selenium,
Tellurium, Fluorine, Chlorine, Bromine, Iodine, Astatine, Helium,
Neon, Argon, Krypton, Xenon, and Radon (i.e., H, B, C, Si, N, P,
O, S, Se, Te, F, Cl, Br, I, As, He, Ne, Ar, Kr, Xe, and Rn). | |
| | |
1.85 | Halogen: |
| | This subclass is indented under subclass 1.81. Subject matter in which the radionuclide or intended radionuclide
is a halogen (i.e., F, Cl, Br, I, and At) and is attached (bonded,
chelated, complexed) to an organic compound. |
| | |
1.89 | Fluorine: |
| | This subclass is indented under subclass 1.85. Subject matter in which the radionuclide or intended radionuclide
is fluorine and is attached (bonded, chelated, complexed) to an organic
compound. |
| | |
9.1 | IN VIVO DIAGNOSIS OR IN VIVO TESTING: |
| | This subclass is indented under the class definition. Subject matter which includes compositions intended for
use in in vivo testing or in vivo diagnosis and nominal methods
of using compounds or compositions for in vivo testing or in vivo
diagnosis.
| | (1)
Note. Claims which include in vivo diagnosis or in vivo tests
as merely incidental to the treatment of a patient are classified
in one of the appropriate treatment subclasses below. |
| | (2)
Note. In vivo, for this and the indented subclasses, means
the actual test or diagnosis step must occur in or on the living subject. |
| | (3)
Note. In a plural step test procedure, if the actual analysis
step takes place in vivo, the test method is classified in this or
the indented subclasses. If the actual analysis step takes place
in vitro, no matter how many other steps in the method involve in
vivo treatment or administration, the test method will be classified
in another class appropriate for such an in vitro test method. |
| | (4)
Note. Included herein are methods of determining the efficacy
of a bioaffecting compound or composition. |
| | (5)
Note. These subclasses (424/9.1+) provide
for plural step in vivo diagnostic procedures which utilize bioaffecting compounds
or compositions wherein one of the steps is no more than a mere
statement of nuclear magnetic imaging, X-ray imaging, ultrasound
imaging, etc. of a living body. Class 128 provides for such tests
if a more detailed manipulative step of nuclear magnetic or ultrasound
imaging is included. Diagnostic X-ray imaging may be found in Classes 128
and 378 depending on the test details recited. A reading of the
definitions for those classes is recommended for proper placement
of the subject matter. |
SEE OR SEARCH THIS CLASS, SUBCLASS:
| 1.11+, | for diagnostic radioactive compounds or compositions
or nominal diagnostic methods of utilizing such radioactive compounds
or compositions. |
SEE OR SEARCH CLASS:
| 73, | Measuring and Testing, which is the generic class for making a measurement
or test of any kind not provided for in other classes. |
| 250, | Radiant Energy, for methods of detecting radiant energy |
| 252, | Compositions,
subclass 408.1 for compositions which do not chemically react
in use and are specialized and designed for use in physical analysis,
testing or indicating, or as a warning agent. |
| 324, | Electricity: Measuring and Testing, as the residual home for measuring and testing electrical
properties or the measuring, testing, or sensing of nonelectric
properties by electric means, but only when absent a significant chemical
reaction. |
| 356, | Optics: Measuring and Testing, provides for analyzing light to measure or test
its characteristics, determining the optical or nonoptical properties
of materials or articles by noting the effect produced by the materials
or articles on light associated therewith, etc. |
| 378, | X-Ray or Gamma Ray Systems or Devices, for apparatus and corresponding processes involving
the generation or use of electromagnetic radiation within the X-ray
spectrum. Mere use with or attachment to an X-ray device or
recitation of an undefined X-ray test or analysis is not sufficient
for classification in Class 378. |
| 426, | Food or Edible Material: Processes, Compositions,
and Products, provides for processes where a condition in preparing
an edible is sensed by other than subjective means. |
| 435, | Chemistry: Molecular Biology, and Microbiology,
subclasses 4+ for in vitro measuring or testing involving enzymes
or micro-organisms, subclasses 7.1+ for blood typing, protein binding,
ligand-receptor binding, and immunological assays, subclasses 29+ for
testing involving a viable micro-organism, and subclasses 40.5+ for testing
involving fixed or stabilized, nonliving microorganism, cell, or
tissue. |
| 436, | Chemistry: Analytical and Immunological Testing,
subclasses 1+ for chemical test standards and their use and the
qualitative or quantitative analysis of chemical compounds, complexes,
and elements which at some point involve a chemical interaction
(see Class 436, CLASS DEFINITION, I. for further explanation) and
subclasses 500+ for in vitro immunological or protein binding assays
other than those involving a micro-organism or enzyme. |
| 506, | Combinatorial Chemistry Technology: Method, Library,
Apparatus,
subclass 10 for a method of screening a library by measuring
the effect on a living organism, tissue, or cell. |
| 600, | Surgery,
subclasses 300+ for an appliance and its use to aid in the diagnosis of
a disease or abnormal condition of the body and subclass 556 for
skin allergy tests. |
| 800, | Multicellular Living Organisms and Unmodified
Parts Thereof and Related Processes,
subclass 3 for a method of using a transgenic nonhuman animal
in an in vivo test method. |
|
| | |
9.2 | Testing efficacy or toxicity of a compound or composition
(e.g., drug, vaccine, etc.): |
| | This subclass is indented under subclass 9.1. Subject matter wherein the capacity of a compound or composition
(e.g., drug, vaccine, etc.) to produce a desired effect or an injurious
or harmful effect in a living subject is tested for.
| | (1)
Note. Claims which include in vivo diagnosis or in vivo tests
as merely incidental to the treatment of a patient are classified
in one of the appropriate treatment subclasses below. |
| | (2)
Note. Testing for an individual subject"s hypersensitivity
or possible allergy to a medicament or chemical prior to administration
which involves a visible immune reaction on the skin is proper for
subclass 9.81. |
| | (3)
Note. Methods of testing for the reduction of toxic side
effects of a compound or composition would also be included herein. |
| | (4)
Note. Compounds or compositions tested can include therapeutic
compounds or compositions, vaccines, etc. |
| | (5)
Note. Included in this subclass are methods of determining
the potency of antigenic preparations in inducing immunity, determining
the teratogenic or oncogenic potential of a chemical, determining
the prophylactic ability of a medicament, etc. |
SEE OR SEARCH CLASS:
| 800, | Multicellular Living Organisms and Unmodified
Parts Thereof and Related Processes,
subclass 3 for a method of using a transgenic nonhuman animal
in an in vivo test method. |
|
| | |
9.3 | Magnetic imaging agent (e.g., NMR, MRI, MRS, etc.): |
| | This subclass is indented under subclass 9.1. Subject matter wherein a compound or composition is adapted
for use as an in vivo magnetic imaging agent in processes such as
nuclear magnetic resonance imaging (NMR), magnetic resonance imaging
(MRI), magnetic resonance spectroscopy (MRS), magnetometry, etc.
and methods of using said compounds and compositions as agents in
such processes.
SEE OR SEARCH CLASS:
| 324, | Electricity: Measuring and Testing,
subclasses 307+ for MRI apparatus and methods of using MRI apparatus. |
| 436, | Chemistry: Analytical and Immunological Testing,
subclasses 1+ , particularly subclass 173, for in vitro tests using
MRI. |
| 600, | Surgery,
subclasses 410+ for dianostic testing using magnetic resonance imaging
or spectroscopy. (See Class 424, subclass 9.1 for a further explanation
of the class line.). |
|
| | |
9.32 | Particle containing a transition, actinide or lanthanide
metal (e.g., hollow or solid particle, granule, etc.): |
| | This subclass is indented under subclass 9.3. Subject matter wherein the agent includes particulate matter
(e.g., hollow or solid particle, granule, etc.) which contains a
transition, actinide or lanthanide metal (Atomic Numbers 21 through
30, 39 through 48, 57 through 80, and 89 through 106, inclusive).
| | (1)
Note. The particulate matter may be organic, inorganic, or
a combination thereof and may be hollow, solid, or aggregates of
molecules which are not covalently bound. It may be in the form of
granules, microspheres, coated metal cores, metal oxide crystals,
etc. |
| | (2)
Note. The metals included under transition, actinide, or
lanthanide metals are Sc, Ti, V, Cr, Mn, Fe, Co, Ni, Cu, Zn, Y, Zr,
Nb, Mo, Tc, Ru, Rh, Pd, Ag, Cd, La, Ce, Pr, Nd, Pm, Sm, Eu, Gd,
Tb, Dy, Ho, Er, Tm, Yb, Lu, Hf, Ta, W, Re, Os, Ir, Pt, Au, Hg, Ac,
Th, Pa, U, Np, Pu, Am, Cm, Bk, Cf, Es, Fm, Md, No, Lr, Unq, Unp,
and Unh. |
SEE OR SEARCH THIS CLASS, SUBCLASS:
| 1.11+, | for compositions or methods under the class definition
which contain radioactive isotopes of metals, i.e., U, Tc, etc.
including diagnostic or test compositions or methods. |
|
| | |
9.321 | Liposome: |
| | This subclass is indented under subclass 9.32. Subject matter wherein the shell of the particle contains
a lipid bilayer.
SEE OR SEARCH THIS CLASS, SUBCLASS:
| 450, | for compositions or methods under the class definition
containing a liposome with a therapeutic agent in it. |
|
| | |
9.322 | Polymer containing (e.g., polypeptide, synthetic resin,
etc.): |
| | This subclass is indented under subclass 9.32. Subject matter wherein the particle includes a polymer,
e.g., protein, dextran, starch, polyvinyl, polysilane, etc.
| | (1)
Note. The polymer must be attached to, coated on, or complexed
to the particle. |
SEE OR SEARCH CLASS:
| 428, | Stock Material or Miscellaneous Articles,
subclasses 402+ , for coated or structurally defined particulate
matter as defined under the Class 428 definitions. |
|
| | |
9.323 | Metal is paramagnetic: |
| | This subclass is indented under subclass 9.322. Subject matter wherein the transition, actinide, or lanthanide
metal of the particle is paramagnetic.
| | (1)
Note. A paramagnetic metal is one which is capable of aligning
with a magnetic field, but does not itself become magnetized. |
| | (2)
Note. For the purposes of this subclass the term "paramagnetic" is
intended to include only substances which are stated to be paramagnetic,
not those stated to be superparamagnetic or ferromagnetic. | |
| | |
9.34 | Polypeptide attached to or complexed with the agent (e.g., protein, antibody, etc.): |
| | This subclass is indented under subclass 9.3. Subject matter wherein the agent contains a polypeptide (e.g., protein, antibody, etc.) attached
to or complexed with it.
| | (1)
Note. For the purposes of this subclass, a
polypeptide contains a sequence of at least three amino acids. |
| | (2)
Note. The term "polypeptide" may encompass
polypeptides such as glycoproteins, lipoproteins, etc., which
additionally contain other moieties. |
SEE OR SEARCH CLASS:
| 514, | Drug, Bio-Affecting and Body
Treating Compositions,
subclasses 1.1 through 21.92for polypeptides containing a heavy metal and used
for therapeutic purposes. |
|
| | |
9.341 | The region of the imaging agent responsible for binding
to an in vivo target or the region of the target responsible for
binding to the agent is specifically recited functionally or as
a sequence of amino acids, carbohydrate residues, or
nucleic acids: |
| | This subclass is indented under subclass 9.34. Subject matter wherein the polypeptide attached to said
imaging agent directs delivery of said imaging agent to a specific
in vivo target and wherein the specific binding properties of either
the in vivo target or the polypeptide are described by a sequence (e.g., a
series of amino acids, carbohydrate residues of a glycoprotein, nucleic
acids encoding a polypeptide, etc.) or
wherein the particular region of binding is described functionally (e.g., a
unique region of an imaging agent defined by the fact that it binds
a specific region of a target cell, but does not cross
react with another region on the target cell etc.).
| | (1)
Note. A mere recitation of a generic type of binding (e.g., "an
anti-myosin antibody", etc.) would
be proper for subclass 9.34, but a recitation
of multiple properties of the binding site would be proper for subclass
9.341. | |
| | |
9.35 | Carbohydrate or derivative thereof attached to or complexed
with the agent: |
| | This subclass is indented under subclass 9.3. Subject matter wherein the agent has attached or complexed
to it a carbohydrate or a derivative thereof such as a monosaccharide
or polysaccharide (the monosaccharide radical units of which
contain at least five carbon atoms) or their reaction products
wherein the carbon skeleton of the saccharide or polysaccharide
is not destroyed, e.g., dextran, cellulose, glucose, etc. |
| | |
9.36 | Transition, actinide or lanthanide metal containing: |
| | This subclass is indented under subclass 9.3. Subject matter wherein the agent contains a transition, actinide, or
lanthanide metal (Atomic Numbers 21-30, 39-48, 57-80, and
89-106, inclusive).
| | (1)
Note. The metals included under transition, actinide, or
lanthanide metals are Sc, Ti, V, Cr, Mn, Fe, Co, Ni, Cu, Zn, Y, Zr, Nb, Mo, Tc, Ru, Rh, Pd, Ag, Cd, La, Ce, Pr, Nd, Pm, Sm, Eu, Gd, Tb, Dy, Ho, Er, Tm, Yb, Lu, Hf, Ta, W, Re, Os, Ir, Pt, Au, Hg, Ac, Th, Pa, U, Np, Pu, Am, Cm, Bk, Cf, Es, Fm, Md, No, Lr, Unq, Unp, and
Unh. |
| | (2)
Note. A complex of a metal and an organic compound
is considered to be a compound per se and is classified based on
the moiety (metal or organic compound) which occurs
first in the classification schedule. |
| | (3)
Note. The transition, actinide or lanthanide
metal may be complexed to a chelating agent. |
SEE OR SEARCH THIS CLASS, SUBCLASS:
| 1.11+, | for compositions or methods under the class definition
which contain radioactive isotopes of metals e.g., U, Tc, etc., including
diagnostic or test compositions or methods. |
SEE OR SEARCH CLASS:
| 534, | Organic Compounds,
subclasses 15+ for nonradioactive organic lanthanide or actinide
complexes, per se. |
|
| | |
9.361 | Heterocyclic compound is attached to or complexed with
the metal: |
| | This subclass is indented under subclass 9.36. Subject matter wherein the metal is attached to or complexed
with a heterocyclic compound.
| | (1)
Note. A heterocyclic compound is a compound containing
at least one hetero ring which is a ring having carbon and at least
one atom from the group consisting of nitrogen, oxygen, sulfur, selenium
and tellurium as ring members; and contains no other element
as a ring member. |
| | (2)
Note. An example of a compound provided for herein
is:

| |
| | |
9.362 | Porphyrin or derivative thereof: |
| | This subclass is indented under subclass 9.361. Subject matter wherein the hetero ring in the heterocyclic
compound is part of a porphyrin ring system.
| | (1)
Note. Porphyrins are compounds containing the following
basic structure:

| |
| | |
9.364 | Polyamino-polycarbonyl moiety attached to or complexed
with the metal: |
| | This subclass is indented under subclass 9.36. Subject matter wherein the metal is attached to or complexed
to a compound, said compound containing at least two amino
nitrogen atoms and at least two carbonyl groups.
| | (1)
Note. An example of a compound provided for herein
is in the structure below, where M is a transition, actinide
or lanthanide metal and X is a positive integer.

| |
| | |
9.4 | X-Ray contrast imaging agent (e.g., computed
tomography, angiography, etc.): |
| | This subclass is indented under subclass 9.1. Subject matter wherein a compound or composition is adapted
for use as an in vivo X-ray contrast imaging agent in methods
such as computed tomography, angiography, etc.
| | (1)
Note. X-ray contrast imaging is based on
the fact that the agent renders part of an animal body opaque (degree
of opacity may vary) to X-rays. |
| | (2)
Note. An example of a compound provided for herein
is:

| SEE OR SEARCH CLASS:
| 252, | Compositions,
subclasses 299.01+ for a liquid crystal containing composition and
subclasses 582+ for other compositions specialized for
use in optical filters, and subclass 478 for a composition
specialized and designed for use as an X-ray shield or
X-ray shielding material. |
| 378, | X-Ray or Gamma Ray Systems or Devices, appropriate subclasses, particularly 145+ for
beam control devices. |
|
| | |
9.411 | Polymer containing (e.g., polypeptide, synthetic
resin, etc.): |
| | This subclass is indented under subclass 9.41. Subject matter wherein the barium containing agent includes
a polymer e.g., dextran, starch, polyvinyl, polysilane, etc.
| | (1)
Note. The polymer may be an additional separate
ingredient in the agent, it may be complexed or attached
to the agent, or it may be a coating on the agent. | |
| | |
9.42 | Transition, actinide or lanthanide metal containing: |
| | This subclass is indented under subclass 9.4. Subject matter wherein the agent contains a transition, actinide, or
lanthanide metal (Atomic Numbers 21-30, 39-48, 57-80, and
89-106, inclusive).
| | (1)
Note. The metals included under transition, actinide, or
lanthanide metals are Sc, Ti, V, Cr, Mn, Fe, Co, Ni, Cu, Zn, Y, Zr, Nb, Mo, Tc, Ru, Rh, Pd, Ag, Cd, La, Ce, Pr, Nd, Pm, Sm, Eu, Gd, Tb, Dy, Ho, Er, Tm, Yb, Lu, Hf, Ta, W, Re, Os, Ir, Pt, Au, Hg, Ac, Th, Pa, U, Np, Pu, Am, Cm, Bk, Cf, Es, Fm, Md, No, Lr, Unq, Unp, and
Unh. |
| | (2)
Note. A complex of a metal and an organic compound
is considered to be a compound per se and is classified based on
the moiety (metal or organic compound) which occurs
first in the classification schedule. |
| | (3)
Note. The transition, actinide or lanthanide
metal may be complexed to a chelating agent. |
| | (4)
Note. An example of a compound provided for herein
is:

| SEE OR SEARCH THIS CLASS, SUBCLASS:
| 1.11+, | for compositions or methods under the class definition
which contain radioactive isotopes of metals, including
diagnostic or test compositions or methods. |
SEE OR SEARCH CLASS:
| 534, | Organic Compounds,
subclasses 15+ for nonradioactive organic lanthanide or actinide
complexes, per se. |
|
| | |
9.43 | Carbohydrate or derivative thereof attached to or complexed
with the agent: |
| | This subclass is indented under subclass 9.4. Subject matter wherein the agent has attached or complexed
to it a carbohydrate or a derivative thereof such as a monosaccharide
or polysaccharide (the monosaccharide radical units of which
contain at least five carbon atoms) or their reaction products
wherein the carbon skeleton of the saccharide or polysaccharide
is not destroyed, e.g., dextran, cellulose, glucose, etc. |
| | |
9.44 | Hetero ring containing: |
| | This subclass is indented under subclass 9.4. Subject matter wherein the agent contains or is a heterocyclic
compound.
| | (1)
Note. A heterocyclic compound is a compound containing
at least one hetero ring which is a ring having carbon and at least
one atom from the group consisting of nitrogen, oxygen, sulfur, selenium
and tellurium as ring members; and contains no other element
as a ring member. |
| | (2)
Note. An example of a compound provided for herein
is:

| |
| | |
9.45 | Halogenated benzene ring containing: |
| | This subclass is indented under subclass 9.4. Subject matter wherein the agent contains a benzene ring
to which at least one halogen atom (F, Cl, Br, or
I) is directly attached by nonionic bonding.
| | (1)
Note. An example of a compound provided for herein
is:

| |
| | |
9.5 | Ultrasound contrast agent: |
| | This subclass is indented under subclass 9.1. Subject matter wherein a compound or composition is adapted
for use as an in vivo ultrasound contrast agent.
SEE OR SEARCH CLASS:
| 435, | Chemistry: Molecular Biology and Microbiology,
subclasses 173.1+ for processes wherein a microorganism is subjected
to sound waves. |
| 600, | Surgery,
subclasses 437+ for methods and apparatus for applying and detecting
ultrasonic radiation as it relates to a medical evaluation of a condition
of a living body. |
|
| | |
9.51 | Liposome containing: |
| | This subclass is indented under subclass 9.5. Subject matter wherein the agent contains hollow particles
and the shells of said hollow particles include a lipid bilayer.
SEE OR SEARCH THIS CLASS, SUBCLASS:
| 450, | for compositions or methods under the class definition
containing a liposome with a therapeutic agent in it. |
|
| | |
9.6 | Diagnostic or test agent produces in vivo fluorescence: |
| | This subclass is indented under subclass 9.1. Subject matter wherein the diagnostic or test compound or
composition is adapted for use as a fluorescent contrast agent.
| | (1)
Note. Processes in this subclass include a) applying
a reagent to the skin which will react with a chemical of interest which
may be present and then, upon irradiating the skin with
UV light, fluorescence can be measured, b) parenterally
dosing a patient with a reagent, exposing the subject to
UV light and then observing fluorescence of a tissue, blood
flow, etc. | |
| | |
9.61 | Porphyrin or derivative thereof: |
| | This subclass is indented under subclass 9.6. Subject matter wherein the fluorescent contrast agent is
or contains a porphyrin or a derivative thereof.
| | (1)
Note. Porphyrins are compounds containing the following
basic structure:

| |
| | |
9.81 | Visible immune reaction (e.g., allergy
test, etc.): |
| | This subclass is indented under subclass 9.8. Subject matter wherein the agent, an antigenic substance
or allergen, is applied to or injected into a subject in
order to determine whether the subject is allergic or hypersensitive
to the agent as indicated by a visible change on the skin (i.e., redness, swelling, etc.).
| | (1)
Note. The antigenic substance or allergen includes
pollen, house dust, micro-organisms, chemicals, etc. |
| | (2)
Note. Skin tests such as those to indicate an individual"s
sensitivity to penicillin or other medicaments, tuberculosis
tests, etc. are included in this subclass. | |
| | |
10.1 | IDENTIFICATION OR WARNING FEATURE: |
| | This subclass is indented under the class definition. Subject matter which includes compositions which contain
an additional substance or feature which functions to identify the
composition, to distinguish the composition from other
similar compositions, or to give a warning or alarm to
the user.
| | (1)
Note. Compositions classified herein are intended
to provide a combination of an active ingredient of this class together with
a component or feature which will facilitate identification of the
active ingredient or will prevent and/or warn of improper
use of a dangerous aspect of a compound or composition.
Examples include a germicidal composition which includes a colorant
to show which surfaces have been treated, a pesticide which
is distinctly labeled to prevent accidental consumption, etc. |
| | (2)
Note. Included in this subclass are compositions
in which the warning or identification feature is a physical or mechanical
one such as indicia on a pill or a peculiar shape which prevents
the swallowing of a potentially harmful substance. |
| | (3)
Note. The use of color merely to make a Class 424
or Class 514 compound or composition more attractive is not considered
a means of identification or warning proper for this or the indented subclasses.
Therefore, pills, capsules, toothpastes, cosmetics, etc. which
are colored merely for looks, are classified elsewhere
in Class 424 or Class 514 based on their other significant features or
their active ingredients. |
| | (4)
Note. If no identification or warning feature is
additionally claimed, the following are not included in
this or the indented subclasses, but are considered a treatment
and are classified based on the first appearing active ingredient.
Examples of such are: (1) antidotal
compositions or antidotal compositions claimed in combination with
the toxicant; (2) compositions wherein
the medicament is claimed in combination with another compound or
composition intended to minimize the side effects or toxicity of the
medicament as is often done in chemotherapy; (3) compounds
or compositions claimed in combination with an emetic to prevent
poisoning or overdose; (4) compositions
with an additional substance to reduce their explosive nature or prevent
their deterioration or oxidation. |
SEE OR SEARCH THIS CLASS, SUBCLASS:
| 49+, | for dentifrices. |
| 59+, | for a sun or radiation screening composition. |
| 126, | for a composition with a corrosion inhibitor. |
| 400+, | for preparations characterized by a special physical
form. |
SEE OR SEARCH CLASS:
| 252, | Compositions,
subclass 408.1 for compositions which do not chemically react
in use and are specialized and designed for use in physical analysis, testing
or indicating, or as a warning agent. |
|
| | |
10.2 | Printed or embossed unitary dosage form: |
| | This subclass is indented under subclass 10.1. Subject matter wherein the compound or composition is in
a unitary dosage form and contains a surface which is deformed, printed, embossed, engraved, or
contains an insignia for the purpose of identification or warning.
| | (1)
Note. This subclass includes indicia adapted to
be attached to a pill for identification purposes. |
SEE OR SEARCH THIS CLASS, SUBCLASS:
| 467, | for tablets which are printed, embossed, grooved, or
perforated for a purpose other than identification or warning, such
as to permit the tablet to be divided easily. |
|
| | |
10.3 | Color or color change feature: |
| | This subclass is indented under subclass 10.1. Subject matter in which the identification or warning involves
a color or color change.
| | (1)
Note. Included in this subclass are pills containing
colored specks to identify toxic substances, biocides which
show a temporary color when applied to indicate where application
has occurred, drugs which change color to indicate a change in
pH, etc. |
| | (2)
Note. The use of color merely to make a Class 424
or Class 514 compound or composition more attractive is not considered
a means of identification or warning proper for this or the indented subclasses.
Therefore, pills, capsules, toothpastes, cosmetics, etc. which
are colored merely for looks, are classified elsewhere
in Class 424 or Class 514 based on their other significant features or
their active ingredients. | |
| | |
10.31 | Combined with animal or insect repellant or insecticide (e.g., shark, fish, roach, etc): |
| | This subclass is indented under subclass 10.3. Subject matter wherein the color or color change feature
is part of a composition for repelling animals or insects or part
of a composition for actually killing insects.
| | (1)
Note. Included in this subclass are fish repellants
colored to indicate areas of the water which have been treated, colored insecticides
to prevent inadvertent consumption, etc. |
| | (2)
Note. The use of color merely to make a Class 424
or Class 514 compound or composition more attractive is not considered
a means of identification or warning proper for this or the indented subclasses.
Therefore, pills, capsules, toothpastes, cosmetics, etc. which
are colored merely for looks, are classified elsewhere
in Class 424 or Class 514 based on their other significant features or
their active ingredients. | |
| | |
10.32 | Combined with ophthalmic or dentifrice preparation: |
| | This subclass is indented under subclass 10.3. Subject matter wherein the color or color change feature
is part of a composition used in association with the eye or the
mouth.
| | (1)
Note. Included in this subclass is an opthalmological
medicinal film colored to identify the active ingredients, color coded
tooth powder to identify the ingredients, etc. |
| | (2)
Note. The use of color merely to make a Class 424
or Class 514 compound or composition more attractive is not considered
a means of identification or warning proper for this or the indented subclasses.
Therefore, pills, capsules, toothpastes, cosmetics, etc. which
are colored merely for looks, are classified elsewhere
in Class 424 or Class 514 based on their other significant features or
their active ingredients. | |
| | |
10.4 | Taste or smell or chemical irritation to the eye, nose
or mouth feature: |
| | This subclass is indented under subclass 10.1. Subject matter in which the identification or warning feature
involves a taste or smell signal or a chemical which causes irritation
to the eye, nose, or mouth (e.g., burning, coughing, tearing, etc.).
| | (1)
Note. Included in this subclass are compositions
such as fumigants or other toxic gases with an added substance having
an obnoxious odor or an irritant so that the presence of the fumigant
or toxic gas is quickly noticed, poisons with exceedingly
irritating tastes or odors to prevent mistaken use of such poisons, etc. |
SEE OR SEARCH THIS CLASS, SUBCLASS:
| 900, | for an srt collection pertaining to subclasses 9.1-10.4. |
|
| | |
40
|
| | This subclass is indented under the class definition. Compositions which under the conditions of use are burned, usually
incompletely, or which involve a chemical reaction serving
to act as a force to project the material desired into the air as
a smoke, mist, or aerosol, the particles
of which must be of colloidal size or larger. This and
indented subclasses also provide for processes which are no more
than the mere use of the composition; e.g., burning
the composition in the area to be treated.
| | (1)
Note. Compositions which are disclosed to be evaporable, per
se, to yield smoke or to act as fumigants when left open
to the air with or without application of external heat are classified
elsewhere on the basis of the ingredients of the composition.
To be placed herein, the composition, per se, must contain at least one
combustible ingredient or there must be disclosed a chemical reaction
taking place as a result of which some ingredient, component, or
reaction product in particular form is dispersed into the air. |
| | (2)
Note. A composition designed to be burned in order
to produce an odorizing or deodorizing effect upon the atmosphere; e.g., incense, etc., is
classified here. |
SEE OR SEARCH THIS CLASS, SUBCLASS:
| 40, | for a candle with a wick. |
| 43, | for a composition in which a compressed gas or release, or
a chemical reaction serves to produce bubbles or effervescence in
liquid, or in which a pressurized fluid component which
is part of a composition on release serves to project other components
of the composition into the air as a foam or spray. |
| 53, | for an oxygen or chlorine releasing dentifrice. |
| 661, | for a chlorine releasing composition. |
| 667, | for an iodine releasing composition. |
SEE OR SEARCH CLASS:
| 43, | Fishing, Trapping, and Vermin Destroying,
subclasses 124+ for certain processes and apparatus for destroying
or killing vermin utilizing a smoke, mist, or
aerosol. |
| 44, | Fueled and Related Compositions, appropriate subclasses for a composition designed
to be burned primarily for its ability to produce heat. |
| 47, | Plant Husbandry,
subclass 2 for a method of frost preventing by smoke. |
| 102, | Ammunition and Explosive Devices, appropriate subclasses for a smoke generating ammunition; e.g., bombs, grenades, cartridges, etc. |
| 114, | Ships,
subclass 15 for a warship smoke screen. |
| 119, | Animal Husbandry,
subclasses 677+ for apparatus for fumigating an animal. |
| 126, | Stoves and Furnaces,
subclass 59.5 for a smudge pot. |
| 252, | Compositions,
subclass 305 for smokes, or fogs and processes of making
same. Subclasses 315.01+ for a general
smoke producing composition. |
| 422, | Chemical Apparatus and Process Disinfecting, Deodorizing, Preserving, or Sterilizing, appropriate subclasses for fumigators and other
smoke- or mist-producing apparatus. |
|
| | |
41
|
| | This subclass is indented under subclass 40. Compositions which contain elemental sulfur. |
| | |
42
|
| | This subclass is indented under subclass 40. Compositions which contain an organic or inorganic nitrate
compound. |
| | |
43
|
| | This subclass is indented under the class definition. Composition:
| |
(1.) in which bubbles or effervescence in
a liquid are produced in situ by a chemical reaction, or
wherein said bubbles are produced by pressure release on a liquid
system in which a gas is dissolved under pressure or |
| |
(2.) in which a composition, per
se, contains a pressurized fluid which produces sufficient
force on release to serve as a propellent for projecting the other
components into the air or through the air as a foam, spray, or
mist. |
| | (1)
Note. Included in this and indented subclasses are
compositions which contain carbonated water or those producing carbon
dioxide gas by chemical reaction on addition of water or wherein
a pressurized fluid is employed as a propellant for projecting a
preparation into the air as an aerosol or foam. |
| | (2)
Note. Compositions which are disclosed as having
a volatile ingredient, per se, or which merely
by being in particulate or liquid form may be sprayed or diffused by
the simple application of externally applied air pressure or heat
are classified elsewhere on the basis of the active component or
components in said composition. |
| | (3)
Note. Included in this and indented subclasses are
all shaving preparations within the subclass definition, including those
containing soap or other components which have a detergent action. |
SEE OR SEARCH CLASS:
| 222, | Dispensing,
subclasses 394+ for dispensing with a fluid pressure discharge
assistant; e.g., aerosols, etc. |
| 252, | Compositions,
subclass 305 for a fog, smoke, or gaseous
primary dispersant and subclasses 372+ for a gaseous composition. |
|
| | |
44
|
| | This subclass is indented under subclass 43. Compositions in which the gas producing the "bubbling" or "effervescence" is
the result of an in situ chemical reaction.
| | (1)
Note. Oxygen and halogen releasing compositions
are excluded from this and indented subclasses and are classified below
according to: (1) the function of the
composition or (2) to the particular gaseous
material being released or (3) the particular
compound which releases said gaseous material. |
SEE OR SEARCH THIS CLASS, SUBCLASS:
| 40, | for a composition in which a chemical reaction is
employed for the production of a smoke, mist, or
aerosol. |
| 700, | for a composition in which carbon dioxide is an
active constituent. |
SEE OR SEARCH CLASS:
| 169, | Fire Extinguishers, especially
subclasses 6+ , 27+, and 78+ for
a fire extinguisher using gas produced in situ by a chemical reaction
to produce pressure. |
|
| | |
45
|
| | This subclass is indented under subclass 43. Compositions in which the pressurized fluid is an organic
compound. |
| | |
46
|
| | This subclass is indented under subclass 45. Compositions in which the organic pressurized fluid serves
to propel or project an ingredient which is in the form of a particulate
solid; e.g., body powders, tooth
powders, talc, silicas, powdered medicines, insecticides, etc. |
| | |
47
|
| | This subclass is indented under subclass 45. Compositions in which the organic pressurized fluid serves
to propel a grooming or adorning aid; e.g., hair
spray, antiperspirant, skin tanning preparation, skin
conditioner, sun screening agent, shaving cream, etc., intended
for topical application to a living body.
| | (1)
Note. See (3) Note under the definition of
subclass 43. |
SEE OR SEARCH THIS CLASS, SUBCLASS:
| 65, | for antiperspirants or perspiration deodorants, per
se. |
| 69, | for face or body powder, per se, for grooming, adorning, or
absorbing purposes. |
|
| | |
48
|
| | This subclass is indented under the class definition. Compositions which are specifically disclosed to be in a
chewing gum form, that is containing a chewable ingredient
generally insoluble in the saliva which is usually disclosed a function
as the carrier or vehicle for the active ingredient.
| | (1)
Note. The gum base herein is usually a natural gum
or resin. |
SEE OR SEARCH THIS CLASS, SUBCLASS:
| 400+, | for a chewing gum type of composition defined in
terms of structure. |
SEE OR SEARCH CLASS:
| 51, | Abrasive Tool Making Process, Material, or
Composition, for an abrasive composition, for abrading
teeth in a dental operation; e.g., forming
a cavity for a filling, etc. |
| 106, | Compositions: Coating or Plastic,
subclass 35 for a dental coating or plastic composition. |
| 132, | Toilet,
subclasses 321+ for a toothpick and subclass 323 in particular
for a dental floss. |
| 206, | Special Receptacle or Package,
subclass 63.5 for a dental supply package. |
| 420, | Alloys or Metallic Compositions, appropriate subclasses for alloys. |
| 433, | Dentistry,
subclasses 25+ for dental equipment; and subclasses 226+ for fillings. |
|
| | |
49
|
| | This subclass is indented under the class definition. Compositions which function primarily in the normal hygiene
of the oral cavity; e.g., tooth
pastes, mouth washes, gargles, etc.
| | (1)
Note. A composition intended to be employed regularly
in normal mouth-care is placed herein even if the composition
contains ingredients of specific value in killing micro-organisms
or in the treatment or prevention of specific mouth diseases or
malfunctions such as pyorrhea trench mouth, gingivitis, etc. |
| | (2)
Note. Since a dentifrice or mouthwash is generally
compounded of a plurality of ingredients, some of the significant
kinds of ingredients have been set out in indented subclasses 50
to 58. For a particular ingredient containing composition
not specifically provided for by said indents, a search
through this and the indented subclasses will be necessary. |
SEE OR SEARCH THIS CLASS, SUBCLASS:
| , | Appropriate subclasses for a composition disclosed
to be useful for treating a specific oral disease or malfunction in
which said composition is not disclosed for regular use as a mouthwash or
dentifrice in normal mouth care. |
|
| | |
50
|
| | This subclass is indented under subclass 49. Compositions which contain as an ingredient an enzyme or
a living organism capable of causing or modifying a fermentation; e.g., bacteria, fungi, papain, urease, diastase, etc. |
| | |
51
|
| | This subclass is indented under subclass 49. Compositions which contain as an ingredient elemental iodine
or an iodine containing compound. |
| | |
52
|
| | This subclass is indented under subclass 49. Compositions which contain as an ingredient elemental fluorine
or a fluorine containing compound; e.g., stannous
fluoride, etc. |
| | |
53
|
| | This subclass is indented under subclass 49. Compositions which contain an ingredient capable of releasing
oxygen or chlorine under the conditions of use; e.g., chlorates, peroxides, perborates, etc. |
| | |
54
|
| | This subclass is indented under subclass 49. Compositions which contain as an ingredient a nitrogen containing
compound in the form of ammonia or an amine or derivatives thereof; e.g., urea, diammonium
phosphate, etc.
| | (1)
Note. This subclass includes a heterocyclic nitrogen
containing compound. | |
| | |
55
|
| | This subclass is indented under subclass 49. Compositions which contain as an ingredient an hydroxy carboxylic
acid or derivative thereof, said derivative being one wherein
the oxygen atom of the hydroxy group and the carbonyl of the carboxylic
acid group are retained; e.g., citric
acid, salicylic acid, etc. |
| | |
56
|
| | This subclass is indented under subclass 49. Compositions which contain an organic sulfate or sulfonate
compound. |
| | |
57
|
| | This subclass is indented under subclass 49. Compositions which contain a phosphate compound. |
| | |
58
|
| | This subclass is indented under subclass 49. Compositions which contain a compound or material derived
from a plant, including reaction products thereof, wherein
the chemical structure of said compound, material, or
reaction product is not sufficiently known to be classifiable on
a chemical basis; e.g., oil
of sassafras, Orris root, etc.
SEE OR SEARCH THIS CLASS, SUBCLASS:
| 74, | for hair or scalp treating composition containing
a plant extract. |
| 725 | through 779, for a composition containing a plant extract or
plant material as an active ingredient. |
SEE OR SEARCH CLASS:
| 514, | Drug, Bio-Affecting and Body
Treating Compositions,
subclass 783 for a carrier or adjuvant composition containing
a plant extract of undetermined constitution. |
|
| | |
59
|
| | This subclass is indented under the class definition. Compositions which are intended to be applied topically
to the skin or lips:
| | (1)
as a protective measure to prevent or lessen the harmful effects
which generally result from exposure to the sun or other similarly
acting radiant energy source; e.g., sun, ultraviolet, etc., or |
| | (2)
which tan the skin by a chemical reaction with an ingredient
thereof. |
SEE OR SEARCH THIS CLASS, SUBCLASS:
| , | Appropriate subclasses for a method or composition
for treating a burn and see subclasses 63 and 64 for live skin and
lip colorants. |
SEE OR SEARCH CLASS:
| 252, | Compositions,
subclasses 299.01+ for an optical filter composition, per
se, containing a liquid crystal and subclasses 582+ for
other optical filter compositions, per se. |
| 359, | Optics: Systems (Including
Communication) and Elements,
subclasses 350+ for an infrared or ultraviolet filter. |
| 520, | Synthetic Resins or Natural Rubbers, appropriate subclasses, particularly Class 523,
subclass 136 for a composition containing a synthetic resin
or natural rubber which is resistant to, yet does not absorb, radioactive
materials or cathode rays or to processes of preparing said composition. |
|
| | |
60
|
| | This subclass is indented under subclass 59. Compositions which contain an aromatic acid or derivative
thereof; e.g., p-amino
benzoic acid, salicylic acid, benzene sulfonamide, etc. |
| | |
61
|
| | This subclass is indented under the class definition. Compositions which are applied topically to the nails of
the hands or feet for the care thereof; e.g., lacquers, polishes, tints, cuticle protectors
or removers, nail hardeners, etc.
SEE OR SEARCH CLASS:
| 106, | Compositions: Coating or Plastic, appropriate subclasses for a coating composition which
is disclosed to have utility as, for example, a
lacquer and
subclass 311 for a solvent useful as a vehicle for a coating
composition. |
| 252, | Compositions,
subclass 364 for a lacquer removing composition. |
| 520, | Synthetic Resins or Natural Rubbers, particularly appropriate areas in Class 523 and
524 for a synthetic resin or natural rubber composition. |
| 523, | Synthetic Resins or Natural Rubbers,
subclasses 105+ for a nonmedicated composition specifically intended
for contact with living animal tissue, other than apparel. |
|
| | |
62
|
| | This subclass is indented under the class definition. Compositions which bleach or remove color from live skin
or hair and which are applied topically.
| | (1)
Note. Included herein are compositions for removing
natural or artificial colors; e.g., dyes, birthmarks, freckles, and
suntan, etc. |
| | (2)
Note. A composition for merely covering one color
with another is not deemed to be color remover for this subclass. |
| | (3)
Note. Dirt is not considered a colorant for purposes
of this subclass; see Class 510, Cleaning Compositions
for Solid Surfaces, Auxiliary Compositions Therefor, or
Processes of Preparing the Compositions, for cleaning compositions which
remove dirt. |
SEE OR SEARCH CLASS:
| 8, | Bleaching and Dyeing; Fluid Treatment
and Chemical Modification of Textiles and Fiber,
subclasses 404+ for dyeing and subclasses 101+ for a bleaching
process provided for therein which involves more than the mere application
of a composition. |
| 132, | Toilet,
subclass 203 for a method of bleaching live human hair on the
scalp which is more than the mere application of a composition. |
| 252, | Compositions,
subclasses 186.1+ for a bleaching composition, per se. |
| 510, | Cleaning Compositions for Solid Surfaces, Auxiliary
Compositions Therefor, or Processes of Preparing the Compositions, appropriate subclasses, particularly
subclasses 367+ , for cleaning compositions which include
a bleach component. |
| 604, | Surgery,
subclasses 290+ for a method for applying or removing material
to the human body. |
|
| | |
63
|
| | This subclass is indented under the class definition. Compositions which are applied topically for coloring the
skin in either a limited or overall area; e.g., blemish
cover, cheek rouge, eye shadow, etc.
SEE OR SEARCH CLASS:
| 8, | Bleaching and Dyeing; Fluid Treatment
and Chemical Modification of Textiles and Fiber, appropriate subclasses for dyeing compositions, per se. |
| 106, | Compositions: Coating or Plastic,
subclasses 400+ for pigment compositions, per se. |
| 520, | Synthetic Resins or Natural Rubbers,
subclasses 1+ for a synthetic resin or natural rubber composition
containing a dye. |
|
| | |
64
|
| | This subclass is indented under subclass 63. Compositions which are specifically applied to the lip; e.g., lip
rouge, lipstick, etc.
SEE OR SEARCH THIS CLASS, SUBCLASS:
| 400+, | for lipstick composition having structural limitations. |
|
| | |
65
|
| | This subclass is indented under the class definition. Compositions which are intended to be utilized as a topical
application to the human body and which function: (1) to
inhibit or decrease perspiration, or (2) to
neutralize, by other than a masking effect, the
odor caused by perspiration or (3) to neutralize
perspiration odor by action on a micro-organism.
| | (1)
Note. Compositions classified herein and in the
indented subclasses are those in which the active principle or ingredient
is not, per se, a perfume. |
SEE OR SEARCH THIS CLASS, SUBCLASS:
| 47, | for an aerosol antiperspirant or deodorant composition. |
SEE OR SEARCH CLASS:
| 422, | Chemical Apparatus and Process Disinfecting, Deodorizing, Preserving, or Sterilizing,
subclass 5 for process of deodorizing which is more than the mere
use of a composition. |
| 512, | Perfume Compositions,
subclasses 1 through 27for a perfume composition, per se. |
|
| | |
66
|
| | This subclass is indented under subclass 65. Compositions which contain a zirconium compound. |
| | |
67
|
| | This subclass is indented under subclass 65. Compositions which contain a zinc compound. |
| | |
68
|
| | This subclass is indented under subclass 65. Compositions which contain an aluminum compound. |
| | |
69
|
| | This subclass is indented under the class definition. Compositions which are in the form of minute particles, dusts, or
powders having absorbent, grooming, or adorning
utility in topical applications to the face or body.
| | (1)
Note. Included herein are; e.g., compositions
for removing skin shine, smoothing the skin surface, lubricating
the skin (for purposes of putting on gloves, etc.) and
for absorbing perspiration, etc. |
SEE OR SEARCH THIS CLASS, SUBCLASS:
| 46, | for an aerosol composition containing a powder or
dust. |
| 65+, | for anti-perspirant or perspiration deodorant
powders. |
SEE OR SEARCH CLASS:
| 106, | Compositions: Coating or Plastic,
subclass 36 for friction compositions intended for use with
machinery or apparatus; e.g., clutches, belts, etc. |
| 512, | Perfume Compositions,
subclasses 8+ for a lubricant composition, per se, and
appropriate subclasses for perfume compositions, per se. |
|
| | |
70.1 | LIVE HAIR OR SCALP TREATING COMPOSITIONS (NONTHERAPEUTIC): |
| | This subclass is indented under the class definition. Compositions which have topical nontherapeutic utility for
treating the hair or scalp of the living body; e.g., grooming
or adorning aids, tonics, rinses, etc.
SEE OR SEARCH CLASS:
| 132, | Toilet, appropriate subclasses for a method of treating
human hair on the scalp which is more than the mere application
of a Class 424 composition. Examples of processes provided for
in Class 132 are successive applications of a plurality of compositions; e.g., waving
solution and neutralizing solution, or the application
of a setting composition combined with a step of shaping the hair (before
or after the application) even though the shaping step
is only claimed broadly. |
| 510, | Cleaning Compositions for Solid Surfaces, Auxiliary
Compositions Therefor, or Processes of Preparing the Compositions,
subclasses 119+ for nonmedicated shampoos which have cleaning as
their primary function and which may include a hair conditioning, antistatic, softening, etc., component
as a perfecting ingredient to compensate for any damage, such
as dryness or tangling, resulting from the cleaning process. |
| 514, | Drug, Bio-Affecting and Body
Treating Compositions, appropriate subclasses for compositions which have utility
in promoting hair growth or in treating specific diseases of the
hair or scalp, e.g., anti-dandruff
compositions for treating the cause of the dandruff rather than
mere removal of dandruff as by a shampoo, etc. |
|
| | |
70.19 | Two or more designated surfactant containing: |
| | This subclass is indented under subclass 70.1. Compositions which contains two or more surfactants (i.e. compounds
that lower the surface or interfacial tension including detergents, foaming
or wetting agents, emulsifiers, solubilizers, or
dispersants) which are either designated in the claims
or are art recognized as such. |
| | |
70.2 | Permanent waving or straightening: |
| | This subclass is indented under subclass 70.1. Compositions which have utility in permanent waving or straightening (relaxing) the
hair.
SEE OR SEARCH THIS CLASS, SUBCLASS:
| 47, | for a pressurized fluid containing a hair setting
spray. |
SEE OR SEARCH CLASS:
| 8, | Bleaching and Dyeing; Fluid Treatment
and Chemical Modification of Textiles and Fibers,
subclasses 94.1+ for hair treating compositions or processes of
using such compositions, particularly subclasses 94.16+ for depilatory
compositions or processes of using such depilatory compositions, and
for a depilatory having no more structure than a random coating on
an unspecified base. Subclass 127.51 for compositions
or processes of chemically modifying hair not attached to a living
body; e.g., shaping wigs, etc. |
|
| | |
70.27 | Cationic surfactant containing: |
| | This subclass is indented under subclass 70.1. Compositions which contain a cationic surfactant (including
cationic surfactant material which acts by chemically combining
with keratinaceous material to reduce static, untangle, etc.). |
| | |
70.6 | Hair coloring (nondyeing): |
| | This subclass is indented under subclass 70.1. Compositions which are nondying compositions having utility
in coloring the hair.
SEE OR SEARCH THIS CLASS, SUBCLASS:
| 62, | for compositions having utility in bleaching the
hair. |
SEE OR SEARCH CLASS:
| 8, | Bleaching and Dyeing; Fluid Treatment
and Chemical Modification of Textiles and Fibers, appropriate subclasses for fluid treatment and chemical
modifications of the hair,
subclasses 404+ for a dye composition disclosed to be suitable
for dyeing keratinaceous material; e.g., hair, etc., subclasses
101+ for a method of bleaching hair not attached to a living body; e.g., wigs, etc. |
|
| | |
70.7 | Mascara: |
| | This subclass is indented under subclass 70.6. Compositions having utility as mascara; i.e., for
coloring eyelash hair. |
| | |
70.9 | UV protectant: |
| | This subclass is indented under subclass 70.1. Compositions having utility in protecting the hair from
ultraviolet rays.
SEE OR SEARCH THIS CLASS, SUBCLASS:
| 59, | for topically applied compositions which act as
UV protectants for the skin. |
|
| | |
73
|
| | This subclass is indented under subclass 70.1. Compositions which have utility in preparing hair on the
body for cutting or shaving or for facilitating the cutting or shaving
thereof.
| | (1)
Note. Included herein are the so-called brushless
shaving creams which function to "set up" the
hair as well as to lubricate the intended cutting area.
This subclass includes shaving preparations, regardless of
any soap or detergent content. |
SEE OR SEARCH CLASS:
| 30, | Cutlery,
subclasses 32+ for a razor. |
| 83, | Cutting, appropriate subclasses for a cutting method (shaving). |
| 128, | Surgery, appropriate subclasses for a surgical cutting instrument. |
| 132, | Toilet,
subclass 203 for a significant hair treatment process on the
human scalp. |
| 510, | Cleaning Compositions for Solid Surfaces, Auxiliary
Compositions Therefor, or Processes of Preparing the Compositions, for cleaning compositions, per se. |
|
| | |
74
|
| | This subclass is indented under subclass 70.1. Compositions which contain as an ingredient a compound or
material derived from a plant, including reaction products
thereof, said compound, material, or
reaction product having a structure which is not sufficiently known
to be classifiable on a chemical basis; e.g., bay
rum, capsicum, oil of bergamot, oil of
rosemary, etc.
SEE OR SEARCH THIS CLASS, SUBCLASS:
| 58, | for a dentifrice or mouthwash containing a plant
extract of undetermined constitution. |
| 725 | through 779, for a composition containing a plant extract or
plant material of undetermined constitution as an active ingredient. |
SEE OR SEARCH CLASS:
| 514, | Drug, Bio-Affecting and Body
Treating Compositions,
subclass 783 for a carrier or adjuvant composition containing
a plant extract of undetermined constitution. |
|
| | |
75
|
| | This subclass is indented under the class definition. Compositions which have utility in preserving and preventing
decay and/or in enhancing the appearance of a corpse.
| | (1)
Note. A tissue filling composition is included herein. |
SEE OR SEARCH THIS CLASS, SUBCLASS:
| , | Appropriate subclasses for a biocidal composition
which functions as a preserving or decay preventing agent. |
SEE OR SEARCH CLASS:
| 8, | Bleaching and Dyeing; Fluid Treatment
and Chemical Modification of Textiles and Fibers,
subclasses 94.16+ for a composition or process for depilating and
treating hides, skins, feathers, and
other animal tissues. |
| 27, | Undertaking,
subclasses 22.1+ for a significant or manipulative embalming or
preserving methods. |
| 427, | Coating Processes,
subclasses 4+ for processes of coating a plant member or animal
specimen. |
|
| | |
76.1 | DEODORANTS (NONBODY): |
| | This subclass is indented under the class definition. Subject matter which are deodorants and are not directly
applied, per se, to a living body and which function: (1) by
chemically combining with an odorous principle, or (2) by destroying
the odor-causing organism, or (3) by
desensitizing the olfactory mechanism.
SEE OR SEARCH CLASS:
| 12, | Boot and Shoe Making,
subclass 128 for a shoemaking form with a deodorant. |
| 208, | Mineral Oils: Processes and Products,
subclass 310 for a process of deodorizing an organic compound
by absorption. |
| 242, | Winding, Tensioning, or Guiding,
subclass 905 for a reel with a storage chamber which may contain
a deodorant. |
| 252, | Compositions,
subclass 305 for a mere (nonspecial use) aerosol
composition. |
| 422, | Chemical Apparatus and Process Disinfecting, Deodorizing, Preserving, or Sterilizing,
subclasses 1+ for processes of disinfection, deodorizing, preserving, or
sterilizing using a compound or a Class 424 composition which is
more than the single step of mere application of the compound or composition. |
| 504, | Plant Protecting and Regulating Compositions,
subclasses 101+ for an insecticide, fungicide, or
deodorant containing fertilizers. |
| 510, | Cleaning Compositions for Solid Surfaces, Auxiliary
Compositions Therefor, or Processes of Preparing the Compositions,
subclasses 131+ for cleaning compositions for human skin which
include an antiseptic, biocidal, or deodorizing
component. |
| 512, | Perfume Compositions, for, per se, perfume compositions. |
| 523, | Synthetic Resins or Natural Rubbers,
subclass 102 for a synthetic resin or natural rubber composition
which is odor masked, odor reduced or perfumed as well
as the process of preparing such composition. |
| 585, | Chemistry of Hydrocarbon Compounds,
subclasses 823+ for a process of purifying a hydrocarbon by sorption
removal of a chemically undetermined odorant. |
| 604, | Surgery,
subclass 333 for a deodorant containing receptacle attached
to a surgically constructed body opening; subclass 359
for a deodorant containing receptacle attached to a surgically constructed
body opening; and subclass 359 for a deodorant containing absorbent
pad. |
|
| | |
76.4 | With odor masking substances (e.g., perfumes, etc.): |
| | This subclass is indented under subclass 76.3. Subject matter which contain an odor masking substance.
SEE OR SEARCH CLASS:
| 2, | Apparel,
subclass 171.2 for a head covering containing perfume. |
| 63, | Jewelry, digest 2 for perfumed jewelry. |
| 223, | Apparel Apparatus,
subclass 86 for a garment hanger containing perfume. |
| 434, | Education and Demonstration,
subclass 377 for demonstrating apparatus involving a perfume. |
| 510, | Cleaning Compositions for Solid Surfaces, Auxiliary
Compositions Therefor, or Processes of Preparing the Compositions,
subclasses 101+ for perfume-containing cleaning compositions
or their auxiliary compositions, such as fabric softeners
or antistatic agents used in the laundry rinse or dryer cycle, etc. |
| 523, | Synthetic Resins or Natural Rubbers,
subclass 102 for a perfumed composition or the method of preparing
a perfumed composition. |
| D28, | Cosmetic Products and Toilet Articles,
subclass 5 for a perfume or sachet. |
|
| | |
77
|
| | This subclass is indented under the class definition. Compositions which are intended to be utilized as an adhesive
for trapping a pest which may come in contact therewith.
SEE OR SEARCH THIS CLASS, SUBCLASS:
| 443+, | for a coated sheet, web, or filament. |
SEE OR SEARCH CLASS:
| 43, | Fishing, Trapping, and Vermin Destroying, in particular
subclasses 114+ and 136 for an adhesive vermin trapping or destroying
device. |
| 106, | Compositions: Coating or Plastic, appropriate subclasses for an adhesive composition
other than one containing a synthetic resin. |
| 427, | Coating Processes,
subclasses 207.1+ for processes of manufacturing an adhesive tape
by a coating process. |
| 520, | Synthetic Resins or Natural Rubbers, appropriate subclasses, particularly Classes
523 and 524 for adhesive compositions. |
| 585, | Chemistry of Hydrocarbon Compounds,
subclasses 17+ for a nonsolid, greasy, or waxy
hydrocarbon polymer. |
|
| | |
78.01 | DIGESTIVE SYSTEM REGULATOR CONTAINING SOLID SYNTHETIC ORGANIC
POLYMER AS DESIGNATED ORGANIC ACTIVE INGREDIENT (DOAI) (E.G., ANTI-DIARRHETIC, ANTICONSTIPATION, APPETITE
SUPPRESSANT, LAXATIVE, ETC.): |
| | This subclass is indented under the class definition. Subject matter wherein the active ingredient is a solid
synthetic organic polymer used to treat or regulate the digestive
system; e.g., diarrhea, constipation, etc.
| | (1)
Note. The term designated organic active ingredient (DOAI) denotes
one which imparts a physiological, pharmacological, or
biological effect. Please refer to Class 514, Main
Class Definition, (3) Note, for
further elaboration on this. |
| | (2)
Note. This subclass provides for compositions containing
a solid synthetic polymer as a DOAI, methods of making
such compositions, and mere methods of using such compositions.
A composition, for example, containing a laxative (DOAI) and
a solid synthetic polymer used merely as a binder or as a slow release
agent is not classified here, but is classified in subclasses
400+ when there is special structure or in Class 514, based on
the laxative. |
| | (3)
Note. See Class 520, subclass 1, (9) Note, for
a more complete discussion of what is a solid synthetic polymer.
No weight is given to expressions designating molecular weight; e.g., 1,000, 40,000, etc., since
these numbers can reflect solid, waxy, or liquid
polymers alike. |
SEE OR SEARCH CLASS:
| 523, | Synthetic Resins or Natural Rubbers,
subclasses 105+ for nonmedicated compositions specifically intended
for contact with living animal tissue or processes of preparing
other than apparel. |
|
| | |
78.02 | TOPICAL BODY PREPARATION CONTAINING SOLID SYNTHETIC ORGANIC POLYMER
AS DESIGNATED ORGANIC ACTIVE INGREDIENT (DOAI): |
| | This subclass is indented under the class definition. Subject matter wherein the designated organic active ingredient (DOAI) is
a solid synthetic polymer used topically to treat a living animal.
| | (1)
Note. The term designated organic active ingredient (DOAI) denotes
a polymer which exhibits a physiological, pharmacological, or
biological effect. Also, a solid synthetic polymer
will be classified here if it behaves as a synergist or potentiator, i.e., one
which will cooperatively act with an active ingredient to the extent
that the total effect will be greater than the sum of the two individual
effects. See (2) and (4) Notes
below for further details on topical coatings. |
| | (2)
Note. Topical preparations are those medications
whose properties are designed either to treat superficial areas; e.g., mucosa
of the eyes, nose, mouth (not throat), etc., or
epidermis; e.g., skin rashes, burns, lesions, rectum, and
other external body parts. There are also medications, though
applied topically, which are designed to be absorbed transdermally
with the intention of being absorbed into the blood stream.
For example, a scopolamine patch (a patch, per
se, implies no structure) is used to treat motion
sickness, a nitroglycerine patch is used to treat angina
pectoris, and finally a clonidine patch is used to treat hypertension; likewise, nasal
sprays to relieve sinus congestion or pain as well as rectal suppositories
are all excluded from this subclass. A drug parenterally administered; i.e., intramuscularly, subcutaneously, or
intravenously injected, is also excluded from this subclass.
Patents placed here typically treat skin lesions, inflammations; e.g., iliac
stoma, etc. |
| |
(3) Note. See Class 520, subclass
1, (9) Note, for a more complete
discussion on what is a solid synthetic resin. No consideration
is given to numerical expressions of molecular weight since these numbers
can reflect solid, waxy, or liquid polymers. |
| | (4)
Note. This note serves to distinguish this class (424), subclasses
78.02 - 78.07 with Class 514, appropriate
subclasses, and Class 523, subclasses 105+.
A pharmaceutical or cosmetic composition is always sufficient for
placement in Class 424. A composition containing a solid synthetic
polymer, with or without a DOAI, used to form
a barrier layer or film on living animals to ward off harmful or
disturbing agents; e.g., radiation, animals, insects, chemicals, allergens, etc., to
promote healing; e.g., burns, etc., or
to reduce inflammation or irritation, etc., is
proper herein. A surgical adhesive composition to be coated
on a fabric, gauze, tape, etc., is
classified in Class 523, subclass 111. A surgical adhesive
composition; e.g., alphacyanoacrylate, when
applied directly to living animal tissues is classified herein. |
| | (5)
Note. A topical body preparation appropriate for
this class, whose composition contains a monomer, prepolymer, or other
chemical intermediates which forms a solid synthetic polymer after being
applied and without the aid of catalysis, other than heat
or water, is properly classified herein. Otherwise, classification
is in Class 514, subclasses 772+. See
this class, subclass 78.06 for examples to compositions
containing moisture polymerizable alpha-cyano-acrylate
to seal wounds and incisions. |
| | (6)
Note. A composition containing a solid synthetic
polymer as DOAI broadly disclosed or claimed as a germicide will
be classified here since many of them are used topically. |
SEE OR SEARCH CLASS:
| 8, | Bleaching and Dyeing; Fluid Treatment
and Chemical Modification of Textiles and Fibers,
subclass 161 for processes of applying depilatory lotions or
creams to the skin of living animals or compositions thereof. |
| 514, | Drug, Bio-Affecting and Body
Treating Compositions,
subclasses 1+ for a composition containing both a designated
organic active ingredient (DOAI) and a nonactive
solid synthetic polymer, subclasses 772.3, 772.2, and
788.1 for compositions devoid of a DOAI containing a solid synthetic
polymer. |
| 523, | Synthetic Resins or Natural Rubbers,
subclasses 105+ for nonmedicated compositions for contact with
living animal tissue and especially subclass 111 for compositions
used to protect wounds, lesions, etc.
The mere method of using these compositions for contact with living
animal tissue is classified either in Class 424 or Class 514.
The following are examples of polymer compositions found in Class 523, subclasses
105+: (1) For manufacturing
medical devices; e.g., blood bags, optical
lenses, tubes, probes, cannulae, prostheses, catheters, surgical
instruments, organs, etc. (e.g., from
heparinized polyurethane, etc.); (2) For
dental and body impressions; (3) Adhesive
for bonding a textile to skin, surgical or medical dressings, etc; (4) As
a dental adhesive or cement; (5) For
absorbing body fluids other than by topical coating; e.g., sanitary
napkins, etc.; (6) For
manufacturing bandages; (7) As an osseous or
bone cement for bone replacement or repair; e.g., one
which contains hydroxyapatite, bio-active glass ceramic
powder, crushed bone or particles of demineralized bone, calcium phosphate, etc.; (8) For
slow release of pharmaceutically active agents (but not
present). |
| 525, | Synthetic Resins or Natural Rubbers, appropriate subclasses for a solid synthetic polymer
which has been chemically aftertreated with a chemical or drug intended
for topically treating a living body. |
| 604, | Surgery,
subclass 290 for a significant method of applying a body treating material
or removing material from the body surface. |
|
| | |
78.03 | Skin cosmetic coating: |
| | This subclass is indented under subclass 78.02. Subject matter wherein the composition contains a solid
synthetic polymer used to coat the external body parts for cosmetic
purpose; e.g., a skin peel to
remove materials from the surface and the sebaceous follicles of
human skin, etc.
| | (1)
Note. The meaning to the term "cosmetic" is
essentially the same as that generally accepted or is in common usage. |
| | (2)
Note. See subclass 78.02 for a discussion
on the limitations of cosmetic compositions proper for this subclass. |
SEE OR SEARCH THIS CLASS, SUBCLASS:
| 401, | for cosmetic, antiperspirant, and
dentifrice for those compositions associated with some structural
limitations; e.g., special form, specific
dimensions or configurations, plural layers, etc. |
|
| | |
78.04 | Ophthalmic preparation: |
| | This subclass is indented under subclass 78.02. Subject matter wherein the composition is used for (1) disinfecting, sterilizing
or preserving a contact lens or (2) manufacturing
a contact lens using a polymer composition in admixture with a polymer
from (1). Such a composition normally
would be classified in Class 523, subclass 106, but
in most cases, said composition likewise reduces or eliminates
eye injury or irritation to the contact lens wearer, or (3) for topically
treating the eye of a living animal.
SEE OR SEARCH THIS CLASS, SUBCLASS:
| 427, | in which the ophthalmic drug or ocular device is
in a special physical form intended for and adapted to be placed between
the surface of the eye and conjunctiva or between the surface of the
eye and a lacrimal gland. |
SEE OR SEARCH CLASS:
| 8, | Bleaching and Dying; Fluid Treatment
and Chemical Modifications of Textiles and Fibers,
subclass 507 for the process of dyeing a contact lens or product
thereof. |
| 351, | Optics: Eye Examining, Vision
Testing and Correcting, appropriate subclasses for methods of and instruments for
fitting contact lenses and structural features and adaptations for contact
lenses, such as coloring a portion of the lens to adsorb
part of the visible spectrum;
subclasses 159.02 through 159.38for eye contact lens. |
| 422, | Chemical Apparatus and Process Disinfecting, Deodorizing, Preserving, or Sterilizing,
subclasses 1 through 43for generic processes of deodorizing, preserving
or sterilizing of contact lenses or compositions thereof. |
| 510, | Cleaning Compositions for Solid Surfaces, Auxiliary
Compositions Therefor, or Processes of Preparing the Compositions,
subclasses 112+ for compositions used for the mere cleaning of
contact lenses. |
| 514, | Drug, Bio-Affecting and Body
Treating Compositions, appropriate subclasses for (1) a
contact lens composition which contains a nonbioactive polymer admixed
with a medicament or (2) a composition with or
without a non-bioactive polymer used to sterilize a contact
lens composition to reduce or eliminate any eye injury. |
| 523, | Synthetic Resins or Natural Rubbers,
subclass 106 for a composition containing an inactive solid
synthetic polymer intended for manufacturing contact lenses.
This subclass also provides for a contact lens composition containing
its own preserving agent when it is clearly specified and restricted
for that use. The nominal method of using these compositions for
contact with living animal tissue is classified either in this class
or in Class 514. See (3) Note in this
class (424), subclass 78.02
for more information distinguishing between these two classes. |
| 604, | Surgery,
subclass 290 for a method of applying a body treating or removing material
or subclasses 294+ for a method of application to the eye
or eye socket. |
|
| | |
78.05 | Anti-inflammatory or anti-irritant (e.g., anti-arthritic, etc.): |
| | This subclass is indented under subclass 78.02. Subject matter wherein a solid synthetic polymer is the
active ingredient for topically treating or preventing an inflamed
or irritated condition; e.g., an
iliac stoma (intestinal opening), etc.
| | (1)
Note. Compositions which are classified here contain
a solid synthetic resin which is considered active when: (a) the polymer, per
se, exhibits anti-inflammatory or anti-irritant
properties; (b) The polymer synergizes
or potentiates an active agent; (c) the
polymer is utilized for its film-forming properties to
cover a portion of the surface on a living animal to establish a
protective layer to either enhance the healing process, or
prevent inflammation or irritation. |
SEE OR SEARCH THIS CLASS, SUBCLASS:
| 400+, | especially subclasses 443+ for anti-inflammatory
compositions which are structurally designed; e.g., via
coating, laminating, encapsulating, etc., to cause
slow release of the active agent. |
SEE OR SEARCH CLASS:
| 514, | Drug Bio-Affecting and Body Treating
Compositions,
subclasses 1+ for an anti-inflammatory composition containing
both a designated organic active ingredient (DOAI) as
well as a nonactive solid synthetic polymer or subclasses 772.3+ for
compositions which are proper for this class that do not contain
a DOAI, but do contain a nonactive solid synthetic polymer. |
| 525, | Synthetic Resins or Natural Rubbers, for a solid synthetic polymer which has been chemically
aftertreated with an active agent intended for topically treating
a living body. |
|
| | |
78.06 | Skin burn or open wound treatment: |
| | This subclass is indented under subclass 78.02. Subject matter wherein a solid synthetic polymer is the
active ingredient for topically treating a skin burn or open wound; e.g., a composition
containing sodium polyacrylate dissolved in a solvent system for
application to a human or animal skin burn to enhance healing, etc.
| | (1)
Note. Search this class, subclass 78.02, for
a further discussion on polymers classified herein. |
SEE OR SEARCH THIS CLASS, SUBCLASS:
| 443+, | in which the anti-burn or open-wound-treating
composition is in a special physical form; e.g., bandage, dressing, etc., or
structurally designed; e.g., coating, laminating, encapsulating, etc., to
affect controlled release of the active agent. |
SEE OR SEARCH CLASS:
| 128, | Surgery, appropriate subclasses for a significant method
of treating an open wound. |
| 514, | Drug, Bio-Affecting and Body
Treating Compositions,
subclasses 1+ for skin burn compositions containing an active
ingredient (DOAI) and also containing a nonactive
solid synthetic polymer or subclasses 772.3+ for compositions
which are proper for this class containing a nonactive solid synthetic
polymer and devoid of a DOAI. |
|
| | |
78.07 | Anti-infective: |
| | This subclass is indented under subclass 78.02. Subject matter wherein a solid synthetic polymer is the
active ingredient for combatting topical infections; e.g., polyvinylpyrrolidone-iodine
complex, etc. |
| | |
78.08 | SOLID SYNTHETIC ORGANIC POLYMER AS DESIGNATED ORGANIC ACTIVE
INGREDIENT (DOAI): |
| | This subclass is indented under the class definition. Subject matter wherein the active ingredient is disclosed
to be a solid synthetic polymer DOAI.
| | (1)
Note. The term designated organic active ingredient (DOAI) denotes
a polymer which imparts a physiological, pharmacological, or
biological effect. Also, a solid synthetic polymer
will be classified here, if it functions as a synergist
or potentiator, i.e., one which
will cooperatively act with an active ingredient to the extent that
the total effect will be greater than the sum of the two individual effects.
This subclass also provides for both the nominal methods of making
and using the composition. |
| | (2)
Note. See Class 520, subclass 1, (7) and (8) Notes, for
a more complete discussion of what is a solid synthetic polymer. No
weight is given to expressions designating molecular weight; e.g., 1,000, 40,000, or
4,000,000, etc., since
these numbers can reflect solid, waxy, or liquid
polymers alike. |
| | (3)
Note. Carbohydrates, polypeptides,
and cellulosic products and most of their derivatives are considered
to be naturally occurring polymeric products with some exceptions. Polypeptides
synthesized in a random sequence (e.g., the
use of N-carboxy-anhydrides of alpha-amino acids, etc.) are
considered solid synthetic organic polymers and are proper for this subclass
or its indents when it is the DOAI. Polypeptides synthesized
in an ordered sequence (e.g., the
use of the Merrifield method, etc.) are
not proper for this subclass or its indents. |
SEE OR SEARCH THIS CLASS, SUBCLASS:
| 400+, | for a pharmaceutical or cosmetic composition containing
a solid synthetic organic polymer which possesses some form or shape, or
a specific dimension or configuration, or its components
are associated as layers or parts. |
SEE OR SEARCH CLASS:
| 106, | Compositions: Coating or Plastic,
subclass 35 for dental compositions devoid of a DOAI or a solid
synthetic polymer. |
| 128, | Surgery, appropriate subclasses for appliances manufactured
completely or partially from synthetic organic polymers. |
| 427, | Coating Processes,
subclasses 2.1+ for coating processes wherein the base or the coating
has medical or dental utility. |
| 514, | Drug, Bio-Affecting and Body
Treating Compositions,
subclasses 1.1 through 21.92for a composition containing a peptide as a designated organic
active ingredient (DOAI), subclasses
772.1-772.7 for a composition containing
a designated nonactive solid synthetic organic polymer, subclasses
773-776 for a composition containing a nonactive peptide, and subclass
788.1 for a composition containing a nonactive solid synthetic organic
polymer derived solely from hydrocarbon reactants. |
| 523, | Synthetic Resins or Natural Rubbers,
subclasses 105+ for non-medicated compositions for contact
with living animal tissue and especially subclass 111 for compositions
used to protect wounds, lesions, etc.
The mere method of using these compositions for contact with living
animal tissue is classified either in Class 424 or Class 514.
The following are examples of subject matter found in Class 523, subclasses
105+: (1) for manufacturing
medical devices; e.g., blood
bags, optical lenses, tubes, probes, cannulae, prostheses, catheters, surgical instruments, organs, etc.; e.g., from heparinized
polyurethane, etc.; (2) for dental
and body impression or filling compositions; (3) as
an adhesive for bonding a textile to skin, surgical or medical
dressings, etc.; (4) as
a dental adhesive or cement; (5) for
absorbing body fluids; e.g., sanitary
napkins, etc.; (6) for
manufacturing bandages; (7) as an osseous
or bone cement for bone replacement or repair; e.g., one which
contains hydroxyapatite, bio-active glass ceramic
powder, crushed bone or particles of demineralized bone, calcium
phosphate, etc.; (8) for slow
release of pharmaceutically active agents (but not present). |
| 525, | Synthetic Resins or Natural Rubbers, appropriate subclasses for a solid synthetic polymer
which has been chemically aftertreated with a chemical or drug intended
for medicinal use; e.g., reacting
a polymer with heparin, a glucoside with anticoagulant
properties, etc. |
| 527, | Synthetic Resins or Natural Rubbers, for those synthetic resins which incorporate a naturally
occurring material as a reactant; e.g., protein, carbohydrate
bituminous material, etc. |
| 604, | Surgery, appropriate subclasses for medical devices manufactured
completely or partially from synthetic organic polymers. |
| 623, | Prosthesis (i.e., Artificial
Body Members), Parts Thereof, or Aids
and Accessories Therefor, appropriate subclasses for prosthesis manufactured
completely or partially from synthetic organic polymers. |
|
| | |
78.09 | Anti-fouling composition (e.g., paints, etc.): |
| | This subclass is indented under subclass 78.08. Subject matter wherein a composition contains a synthetic
organic polymer as an active ingredient which prevents the fouling
of marine structures; e.g., ships, buoys, pilings, etc.
SEE OR SEARCH CLASS:
| 424, | Drug, Bio-Affecting and Body
Treating Compositions, appropriate subclasses for a pest-repelling
composition, per se, and for certain coated substrates
wherein the substrate functions as an applicator or carrier for
the composition and wherein the general intent is to provide a pesticidal
or pest-repelling effect rather than a means to protect
the carrier or substrate. |
| 523, | Synthetic Resins or Natural Rubbers,
subclass 122 for compositions containing a biocide to prevent
deterioration of the polymer present in the composition. |
|
| | |
78.1 | Ion exchange resin: |
| | This subclass is indented under subclass 78.08. Subject matter wherein the solid synthetic polymer is an
ion-exchange resin; e.g., sodium acrylate-divinyl
benzene copolymer, sodium salts of sulfonated polystyrene
and sulfonated polystyrene-divinyl benzene, quaternized
product of chloromethylated polystyrene-divinyl benzene, etc.
| | (1)
Note. Since many polymers possess ionic structures
as exemplified above, classification is proper here only
when the ion exchange properties are clearly disclosed or claimed; e.g., a
patent claims the use of an ion exchange resin used to treat hypercholesteremia (i.e., reduction
of serum cholesterol), etc. |
| | (2)
Note. Ion exchange resins are those synthetic resins
containing active groups (usually sulfonic, carboxylic, phenol, or substituted
amino groups) that give the resin the property of combining
with or exchanging ions between the resin and a solution.
Thus, a resin with active sulfonic groups can be converted
to the sodium form and will then exchange its sodium ions with the
calcium ions present in hard water. |
SEE OR SEARCH CLASS:
| 514, | Drug, Bio-Affecting and Body
Treating Compositions, appropriate subclasses for ion exchange resins which are
not considered designated organic active ingredients. |
| 521, | Synthetic Resins or Natural Rubbers,
subclasses 25+ for ion exchange resins and processes of preparing. |
|
| | |
78.11 | Plural ion exchange resins: |
| | This subclass is indented under subclass 78.1. Subject matter wherein the composition contains two or more
ion exchange resins as DOAI; e.g., an
antihistaminic composition consisting of 10 percent chlorpheniramine
sulfonic acid cation exchange resin and 90 percent phenyltoloxamine
sulfonic acid cation exchange resin, etc.
| | (1)
Note. A single resin heated with a multiplicity
of reagents; e.g., calcium hydroxide
and sodium hydroxide to impart both calcium and sodium ions to the
resin is not a mixture of two resins. The same resin treated
in separate batches with the above reagents respectively then combined
would be proper here. | |
| | |
78.12 | Adsorbate or treating agent contains nitrogen: |
| | This subclass is indented under subclass 78.1. Subject matter wherein the composition contains an ion exchange
resin DOAI whose preparation involved either a nitrogen containing treating
agent; e.g., the quaternization
with dimethyl amine of chloromethylated polystyrene-divinyl
benzene or the chemical addition (adsorbate) of
an active agent; e.g., the aftertreatment
of polyacrylic acid-divinyl benzene with oxytetracycline, etc.
| | (1)
Note. It is not essential that either the adsorbate
or treating agent impart ion exchange capacity to the resin so long
as the final product contains these characteristics. |
| | (2)
Note. The adsorbate or treating agent can be regarded
as such only with reference to a solid organic polymer, otherwise
they must be construed as a reactant to form a solid organic polymer
or precursor thereof. | |
| | |
78.13 | Oxygen or sulfur heterocycle: |
| | This subclass is indented under subclass 78.12. Subject matter wherein the adsorbate or chemical treating
agent contains an oxygen or sulfur heterocycle; e.g., epichlorohydrin, dithiazanine, dihydrocodeinone (hydrocodone), etc. |
| | |
78.15 | Plural nitrogen heteroatoms or rings: |
| | This subclass is indented under subclass 78.14. Subject matter wherein the adsorbate or treating agent either
contains plural nitrogen atoms in the ring or plural nitrogen containing
rings; e.g., histamine, phenobarbital, vitamin
B-12, vincamine, CDP-choline, etc. |
| | |
78.16 | Amine containing aromatic group: |
| | This subclass is indented under subclass 78.12. Subject matter wherein the adsorbate or treating agent is
an amine containing an aromatic group; e.g., amphetamine, oxytetracycline, Voltaren (registered
trademark of diclofenac sodium), etc. |
| | |
78.17 | Aftertreated polymer (e.g., grafting, blocking, etc.): |
| | This subclass is indented under subclass 78.08. Subject matter wherein the solid synthetic polymer is subjected
to an aftertreatment process wherein, though the most common
process is chemical in nature, other aftertreatment processes
likewise are proper herein; e.g., radiation, physical, heat, etc.; the
one requirement being that a bond-breaking process occurs within
the polymer molecule.
| | (1)
Note. The chemical aftertreatment of a solid synthetic
organic polymer may be to remove or add a group or element or a combination
of both procedures. The following examples are given to
illustrate the type of polymers which may be found here: (a) a
therapeutic preparation for treating encephalomyelitis contained an
active polymer which was derived from the N-carboxy-anhydrides
of tyrosine, alanine, gamma-benzyl glutamate
and epsilon-N-trifluoroace-tyllysine
followed by the deblocking of the gamma carboxyl group of the glutamic acid
and followed further by the removal of the trifluoroacetyl group
from lysine; (b) an iron composition
suitable for parenteral injection prepared by reacting ferric chloride
with a polymer which is the reaction product of a hydroxy carboxylic
acid, a polyhydric alcohol and a diepoxide (c) A
germicidal complex derived from the reaction of iodine with a polymer
derived from the reaction of sucrose and epichlorohydrin, etc. |
| | (2)
Note. The starting solid synthetic polymer may be
subjected to a number of aftertreating steps the sequence or numbers
of which will not affect classification. The important
criteria is that every reaction be considered in going from the starting
solid polymer to the final product. This is consistent
with the rules set out in the Class 520 Series. |
SEE OR SEARCH CLASS:
| 522, | Synthetic Resins or Natural Rubbers, for the process of treating a solid polymer utilizing
wave energy. |
| 525, | Synthetic Resins or Natural Rubbers, appropriate subclasses for the aftertreatment of
solid synthetic organic polymers. |
| 526, | Synthetic Resins or Natural Rubbers, for the preparations of solid synthetic polymers
derived from ethylenic monomers only; e.g., acrylic
acid, etc. |
| 527, | Synthetic Resins or Natural Rubbers, for the preparation of solid synthetic polymers
derived from the reaction between a natural product and other chemical
intermediates; e.g., a carbohydrate
and polyisocyanate, a protein and an ethylenic reactant, etc. |
| 528, | Synthetic Resins or Natural Rubbers,
subclasses 1+ for the preparation of a solid synthetic polymer
derived from at least one saturated reactant; e.g., toluene
diisocyanate and polyethylene glycol, etc.; subclasses
480+ for treating a solid polymer merely with heat to affect
a chemical change and in the absence of a chemical reactant. |
|
| | |
78.18 | Polymer derived from ethylenic monomers only: |
| | This subclass is indented under subclass 78.17. Subject matter wherein the polymer being aftertreated is
derived from ethylenic monomers only; e.g., hydrolysing
polyvinyl acetate to produce polyvinyl alcohol which is subsequently
reacted with borax yielding a product proved to be an effective
ruminant repellent to plant foliage, etc.
| | (1)
Note. An ethylenic monomer is defined as one which
contains at least two carbon atoms bonded together by a double or
triple bond, with the proviso that the double bond is not
part of an aromatic system; e.g., benzene, naphthalene, anthracene, etc.
Included herein are; e.g., coumarone, indene, etc.
Also, compounds such as pyridine are regarded as ethylenic
monomers since they lack the carbocyclic system. |
SEE OR SEARCH CLASS:
| 525, | Synthetic Resins or Natural Rubbers, appropriate subclasses for the aftertreatment of
solid synthetic organic polymers. |
| 526, | Synthetic Resins or Natural Rubbers, for the preparation of solid synthetic polymers
derived from ethylenic monomers only; e.g., acrylic
acid, etc. |
|
| | |
78.19 | Heterocyclic monomer: |
| | This subclass is indented under subclass 78.18. Subject matter wherein the ethylenic monomer contains a
heterocyclic ring; e.g., a copolymer derived
from divinyl ether and maleic anhydride, etc. |
| | |
78.21 | Ring-opened product thereof: |
| | This subclass is indented under subclass 78.2. Subject matter wherein the polymerized copolymer of maleic
anhydride is subjected to a ring opening with a reactant; e.g., alcohols, amines, mercaptans, water, etc.
SEE OR SEARCH CLASS:
| 525, | Synthetic Resins or Natural Rubbers,
subclasses 54.1+ for the chemical aftertreatment of a solid synthetic organic
polymer with a protein or biologically active polypeptide, subclasses
54.2+ aftertreatment with a carbohydrate or derivative, subclasses
327.4+ for a product derived from the aftertreatment
of a polymer derived from a monomer containing a carboxylic acid
anhydride, and other appropriate subclasses for a solid
synthetic polymer which has been chemically aftertreated with a
chemical or drug whose use is intended as a drug, bioaffecting
or body treating composition. |
|
| | |
78.22 | Nitrogen heterocycle: |
| | This subclass is indented under subclass 78.19. Subject matter wherein the monomer is a nitrogen heterocycle; e.g., 5-ethyl-3-vinyloxazolidin-2-one.
SEE OR SEARCH CLASS:
| 525, | Synthetic Resins or Natural Rubbers,
subclasses 54.1+ for the chemical aftertreatment of a solid synthetic organic
polymer with a protein or biologically active polypeptide, subclasses
54.2+ aftertreatment with a carbohydrate or derivative, subclasses
326.7+ for a product derived from a monomer containing
a nitrogen heterocycle, and subclass 356 for the aftertreatment
of a solid synthetic organic polymer derived from ethylenic monomers
only with elemental halogen; e.g., the
formation of the polyvinylpyrrolidone-iodine complex (well
known antimicrobial agent), etc. |
| 526, | Synthetic Resins or Natural Rubbers,
subclasses 258+ for the preparation of a polymer from ethylenic
monomers only wherein the monomer contains a nitrogen heterocycle. |
|
| | |
78.23 | Six-membered ring: |
| | This subclass is indented under subclass 78.22. Subject matter wherein the nitrogen heterocycle is a six-membered
ring; e.g., 1-acryloyl-4-methyl
piperazine N-acryloyl morpholine, 2-methyl-5-vinyl
pyridine, 4-vinyl quinoline, etc. |
| | |
78.26 | Chemical treating agent contains element other than C, H, O, alkali, or
alkaline earth metal: |
| | This subclass is indented under subclass 78.17. Subject matter wherein the solid synthetic organic polymer
is chemically aftertreated with a material containing an element
other than carbon, hydrogen, oxygen, alkali, or
alkaline earth metal; e.g., aftertreating
polyethylene with phosphorus oxychloride, etc.
| | (1)
Note. The chemical treating agent containing an
element other than carbon, hydrogen, oxygen, alkali
or alkaline earth metal need not necessarily impart that element
to the solid polymer but must react with it; e.g., neutralizing sodium
polyacrylate with dilute hydrochloric acid, etc. |
SEE OR SEARCH CLASS:
| 525, | Synthetic Resins or Natural Rubbers,
subclasses 337+ for the chemical aftertreatment of solid polymers derived
from ethylenic monomers only. |
|
| | |
78.27 | Nitrogen or sulfur: |
| | This subclass is indented under subclass 78.26. Subject matter wherein the chemical treating agent contains
either nitrogen or sulfur; e.g., the
chemical aftertreatment of polyhydroxyethyl methacrylate first with
cyanogen bromide and then with heparin or antithrombin III, etc. |
| | |
78.28 | Sulfur heterocycle: |
| | This subclass is indented under subclass 78.27. Subject matter wherein the chemical treating agent contains
a sulfur heterocycle; e.g., treating
sulfonated polystyrene with thiamine, etc. |
| | |
78.29 | Nitrogen heterocycle: |
| | This subclass is indented under subclass 78.27. Subject matter wherein the chemical treating agent contains
a nitrogen heterocycle; e.g., treating
sulfonated polystyrene with codeine, morphine, etc. |
| | |
78.3 | Heterocyclic monomer: |
| | This subclass is indented under subclass 78.17. Subject matter wherein the solid synthetic polymer being
aftertreated is derived from a heterocyclic monomer; e.g., from
the diglycidyl ether of bisphenol A, ethylene oxide, propylene
oxide, etc. |
| | |
78.31 | Polymer from ethylenic monomers only: |
| | This subclass is indented under subclass 78.08. Subject matter wherein the designated organic active ingredient (DOAI) is
a solid synthetic polymer derived from ethylenic monomers only; e.g., a
fungicidal composition containing a solid polymer prepared from
the condensation of 1, 4-bis-(dimethylamino)-2-butene
and 1, 4-dichloro-2-butene, a
composition for decreasing urinary calcium content containing a
solid polymer derived from vinyl benzenesulfonic acid, etc.
| | (1)
Note. See subclass 78.17 for the definition
of an ethylenic monomer. | |
| | |
78.32 | Heterocyclic monomer: |
| | This subclass is indented under subclass 78.31. Subject matter wherein the solid polymer is derived from
a heterocyclic monomer; e.g., a composition
to control the proliferation of bacteria contains a polymer derived
from the condensation of 1, 4-dichloro-2-butene
and 1, 4-bis-(N-homopiperidino)-2-butene, etc. |
| | |
78.33 | Maleic anhydride monomer: |
| | This subclass is indented under subclass 78.32. Subject matter wherein the heterocyclic monomer is maleic
anhydride; e.g., a composition
to suppress plant virus growth contains styrene-maleic
anhydride copolymer, etc. |
| | |
78.34 | Heavy metal containing monomer: |
| | This subclass is indented under subclass 78.31. Subject matter wherein the solid polymer is derived from
an ethylenically unsaturated monomer containing a heavy metal; e.g., phenyl
mercuric acrylate, alpha-tributyltin butyl itaconate, triphenylbismuth
bismethacrylate, etc. |
| | |
78.35 | Nitrogen or sulfur containing monomer: |
| | This subclass is indented under subclass 78.31. Subject matter wherein the polymer derived from ethylenic
monomers only is derived from a monomer containing either a nitrogen
or sulfur atom; e.g., ethyl-alpha-cyan-oacrylate, acrylamide, p-styrenesulfonic
acid, etc. |
| | |
78.36 | Nitrogen heterocycle: |
| | This subclass is indented under subclass 78.08. Subject matter wherein the solid polymer is derived from
a nitrogen heterocyclic monomer; e.g., an
antivirally effective composition contains a polymer derived from
the polycondensation of pentachloropyridine and liquid polyethylenimine, etc. |
| | |
78.37 | Monomer contains oxygen: |
| | This subclass is indented under subclass 78.08. Subject matter wherein the solid polymer is derived from
an oxygen containing monomer; e.g., a
composition for treating animals suffering from either acute or
chronic hepatitis or liver cirrhosis which contains a solid polymer derived
from 3-trichlorogermylpropionic acid and water, etc. |
| | |
78.38 | Oxygen heterocycle: |
| | This subclass is indented under subclass 78.37. Subject matter wherein the monomer is an oxygen heterocycle; e.g., a
composition used for insulating mucosal tissues from physical trauma
which contains an ethylene oxide homopolymer, a composition
for use in controlling osseous hemorrphaging which contains a polymer
derived from the oxygen heterocycle, 2-keto- 1, 4-dioxane, etc. |
| | |
84 | BAITS, ATTRACTANTS, OR LURES (NON-FOOD) |
| | This subclass is indented under the class definition. Compositions which contain as an ingredient a component
which, per se, would not be considered an animal
food, but which is disclosed to have utility as an attractant
or a lure operating through one of the senses, usually smell
or taste.
SEE OR SEARCH CLASS:
| 426, | Food or Edible Material: Processes, Compositions, and
Products,
subclass 1 , for a food bait, per se. |
|
| | |
85.1 | LYMPHOKINE: |
| | This subclass is indented under the class definition. Subject matter including compositions containing soluble
immune mediators produced by the cells of the immune system.
| | (1)
Note. Included in this and the indented subclasses
interferon, interleukin and macrophage factors (monokines). |
| | (2)
Note. Synonyms: Lymphokines Monokines
Migration inhibitory Factor (MIF) Lymplotoxin (LT) Leukocyte Migration
Inhibitory Factor (CIF) Interferons (IF) Eosinophil
Chemotactic Factor - Precusor Substance (ECFp) Eosinophil
Stimulation Promoter Eosinophil Chemotactic Factor Monocyte Tissue
Factor Mitogenic Factor (MF) Lymphocyte Activity-Factor (LAF) Colony
Stimulating Factor (CSF) Skin Reactive Factor (SRF) Macrophage Cytoxicity
Factor (MCF) Lenkocyte Inhibition Factor (LIF) Vascular
Permeability Factor (VPF) T cell Growth Factor (TCGF) B
cell Growth Factor (BCGF) Erythroid Burst Promoter
Genetically Related Macrophage Face (GRF) Fibroblast
Activating Factor (FAF) Tumor Necrosis Factor (TNF) Macrophage Activating
Factor (MAF). |
SEE OR SEARCH THIS CLASS, SUBCLASS:
| 520+, | for animal extracts of undetermined chemical constitution
where the extracts are from parts of the reticuloendotheliel system. |
SEE OR SEARCH CLASS:
| 435, | Chemistry: Molecular Biology and Microbiology,
subclasses 68.1+ for methods of producing lymphokines by the culture
of a micro-organism or animal or plant cell. |
| 530, | Chemistry: Natural Resins or Derivatives; Peptides
or Proteins; Lignins or Reaction Products Thereof,
subclass 351 for patents claiming a lymphokine, per
se, the chemical modification of a lymphokine or the purification
of a lymphokine. |
| 930, | Peptide or Protein Sequence,
subclasses 140 through 145for Lymphokine peptide or protein sequences. |
|
| | |
85.2 | Interleukin: |
| | This subclass is indented under subclass 85.1. Subject matter in which the immune mediator is a macrophage
derived factor that promotes short term proliferation of T cells (IL1) or
a lymphocyte derived factor that promotes long term proliferation
of T cells in culture (IL2).
| | (1)
Note. Synonyms. IL1: LAF or
leukocyte activating factor. IL2: TCGF or T cell
growth factor. |
SEE OR SEARCH CLASS:
| 930, | Peptide or Protein Sequence,
subclass 141 for interleukin peptide or protein sequences. |
|
| | |
85.4 | Interferon: |
| | This subclass is indented under subclass 85.1. Subject matter in which the lymphokine is a protein elaborated
by infected host cells that protects noninfected cells from viral
infection.
| | (1)
Note. This subclass provides for patents which broadly
claim interferon or a method of treatment of interferon where the
classification of the interferon as alpha, beta or gamma
interferon is impossible. |
SEE OR SEARCH CLASS:
| 514, | Drug, Bio-Affecting and Body
Treating Compositions,
subclass 889 for interferon inducers. |
| 530, | Chemistry: Natural Resins or Derivatives
Peptides or Proteins; Lignins or Reaction Products Thereof,
subclass 351 for interferon, per se, and methods
of chemically treating or purifying interferon. |
| 930, | Peptide or Protein Sequence,
subclass 142 for interferon peptide or protein sequences. |
|
| | |
85.5 | Gamma or immune: |
| | This subclass is indented under subclass 85.4. Subject matter in which the interferon is gamma or immune
interferon.
SEE OR SEARCH CLASS:
| 930, | Peptide or Protein Sequence,
subclass 142 for interferon peptide or protein sequences. |
|
| | |
85.6 | Beta or fibroblast: |
| | This subclass is indented under subclass 85.4. Subject matter in which the interferon is beta or fibroblast
interferon.
SEE OR SEARCH CLASS:
| 930, | Peptide or Protein Sequence,
subclass 142 for interferon peptide or protein sequences. |
|
| | |
85.7 | Alpha or leukocyte: |
| | This subclass is indented under subclass 85.4. Subject matter in which the interferon is alpha or leukocyte
interferon.
SEE OR SEARCH CLASS:
| 930, | Peptide or Protein Sequence,
subclass 142 for interferon peptide or protein sequences. |
|
| | |
93.1 | WHOLE LIVE MICRO-ORGANISM, CELL, OR
VIRUS CONTAINING: |
| | This subclass is indented under the class definition. Subject matter involving a whole and living micro-organism, cell, or
virus or its spore form.
| | (1)
Note. Utilities such as pest control, warfare, disease
eradication, etc., are included in this
subclass and indented subclasses. |
| | (2)
Note. Included under the heading micro-organism, cell, or
virus are bacteria, actinomycetales, fungus, protozoa, alga, plant
cell, animal cell (includes a specified blood
cell or tissue cell), and virus. |
| | (3)
Note. If there is no clear disclosure to the contrary, lyophilized
micro-organisms, cells, or viruses are
considered alive and are therefore appropriate for this subclass
or indented subclasses. |
| | (4)
Note. If there is no clear disclosure as to whether
the whole micro-organism, cell, or virus
is alive or dead, it shall be presumed to be alive and
therefore appropriate for this subclass or indented subclasses. Placement
of cross-references into other appropriate places in Class
424, such as subclasses 195.15-195.17, 520+, or
725-780, is strongly recommended. |
| | (5)
Note. For the purposes of this subclass and indented
subclasses, protozoa and algae are considered to be micro-organisms, rather
than animal or plant cells. |
SEE OR SEARCH THIS CLASS, SUBCLASS:
| 114, | for bio-affecting or body treating compositions
containing at least two microbial fermentates of known or unknown
constitution. |
| 115+, | for bio-affecting or body treating compositions
containing microbial fermentates of undetermined chemical structure. |
| 184.1+, | for bio-affecting or body treating compositions
or products containing live micro-organisms, cells, or
viruses used as antigens in vaccines or bacterins. |
| 195.15, | and 195.16, for bio-affecting
or body treating compositions containing, as the active
ingredient, a material or an extract from multicellular
or unicellular fungi. |
| 195.17, | for bio-affecting or body treating compositions
containing, as the active ingredient, a material
or an extract from algae other than blue green algae. |
| 520+, | for bio-affecting or body treating compositions
or products containing animal cells, and parts thereof, animal tissue, or
other cell-containing or multiple cell containing compositions wherein
the active ingredient is not specifically known. |
| 725 | through 779, for bio-affecting or body treating compositions
containing, as the active ingredient, a plant
extract or plant material of undetermined constitution. |
| 780, | for bio-affecting or body treating compositions
containing, as the active ingredient, a material
or an extract from a dead micro-organism such as bacteria, protozoa, cyanobacteria, or blue
green algae. |
SEE OR SEARCH CLASS:
| 71, | Chemistry: Fertilizers, for fertilizers containing whole live micro-organisms. |
| 435, | Chemistry: Molecular Biology and Microbiology, appropriate subclasses (2, 235.1+, 243+, 325+ and
410+) for a method of culturing micro-organisms, cells, or
viruses and culture media therefor, and also for processes of
maintaining the viability of sperm and blood cells and media therefor. |
| 504, | Plant Protecting and Regulating Compositions, for plant growth regulating compositions containing
whole live micro-organisms. |
|
| | |
93.2 | Genetically modified micro-organism, cell, or
virus (e.g., transformed, fused, hybrid, etc.): |
| | This subclass is indented under subclass 93.1. Subject matter involving a micro-organism, cell
or virus which (a) is a product of recombination, transformation, or
transfection with a vector or a foreign or exogenous gene or (b) is a
product of homologous recombination if it is directed rather than
spontaneous or (c) is a product of fused or hybrid
cell formation.
| | (1)
Note. Examples of subject matter included in this
and the indented subclass are compositions containing micro-organisms, cells, or
viruses resulting from (a) a process in which
the cellular matter of two or more fusing partners is combined producing
a cell which initially contains the genes of both fusing partners
or (b) a process in which a cell is treated with
an immortalizing agent which results in a cell which proliferates in
long term culture or (c) a process involving recombinant
DNA methodology. |
| | (2)
Note. Excluded from this subclass are products of
unidentified or non-induced mutations; products
of microbial conjugation wherein specific genetic material is not
identified and controlled; and products of natural, spontaneous, or
arbitrary conjugation or recombination events. These products
are not considered genetically modified for this subclass and therefore
will be classified as unmodified micro-organisms, cells, or viruses. | |
| | |
93.21 | Eukaryotic cell: |
| | This subclass is indented under subclass 93.2. Subject matter involving an eukaryotic cell, such
as an animal cell, plant cell, fungus, protozoa, or
higher algae which has been genetically modified.
| | (1)
Note. An eukaryotic cell has a nucleus defined by
a nuclear membrane wherein the nucleus contains chromosomes that comprise
the genome of the cell. | |
| | |
93.3 | Intentional mixture of two or more micro- organisms, cells, or
viruses of different genera: |
| | This subclass is indented under subclass 93.1. Subject matter involving a mixture consisting of two or
more different microbial, cellular, or viral genera.
| | (1)
Note. A mixture of E. coli and Pseudomonas
or a mixture of Aspergillus and Bacillus would be considered proper
for this subclass while a mixture of Bacillus cereus and Bacillus
brevis would be classified under Bacillus rather than in this subclass
since they are both in the genus, Bacillus. |
| | (2)
Note. Rumen, intestinal, vaginal, etc., microflora
mixtures are mixtures appropriate for this subclass unless mixture constituents
are disclosed and are found to be contrary to the subclass definition. | |
| | |
93.4 | Bacteria or actinomycetales: |
| | This subclass is indented under subclass 93.1. Subject matter involving bacteria or actinomycetales.
| | (1)
Note. Rickettsiae are considered proper for this
subclass. |
SEE OR SEARCH CLASS:
| 435, | Chemistry: Molecular Biology and Microbiology,
subclasses 252.1+ for subject matter involving bacteria or actinomycetales
including processes and compositions for propagation, etc. |
|
| | |
93.48 | Enterobacteriaceae: |
| | This subclass is indented under subclass 93.4. Subject matter involving a micro-organism from
the family Enterobacteriaceae.
| | (1)
Note. Bacteria included in the family Enterobacteriaceae
are those of the genera Escherichia, Enterobacter (Aerobacter), Proteus, Salmonella, Shigella, and
Klebsiella. | |
| | |
93.5 | Fungus: |
| | This subclass is indented under subclass 93.1. Subject matter involving a fungus which includes mold.
| | (1)
Note. Included in this subclass are cells from multicellular
fungi such as mushrooms. |
SEE OR SEARCH CLASS:
| 435, | Chemistry: Molecular Biology and Microbiology,
subclasses 254.1+ for subject matter involving fungi including processes
and compositions for propagation, etc. |
|
| | |
93.51 | Yeast: |
| | This subclass is indented under subclass 93.5. Subject matter involving a yeast.
SEE OR SEARCH CLASS:
| 435, | Chemistry: Molecular Biology and Microbiology,
subclasses 254.2+ and 255.1+ for subject matter
involving yeast including processes and compositions for propagation, etc. |
|
| | |
93.6 | Virus or bacteriophage: |
| | This subclass is indented under subclass 93.1. Subject matter involving a virus or bacteriophage.
SEE OR SEARCH CLASS:
| 435, | Chemistry: Molecular Biology and Microbiology,
subclasses 235.1+ for subject matter involving virus and bacteriophage
including processes and compositions for propagation, etc. |
|
| | |
93.7 | Animal or plant cell: |
| | This subclass is indented under subclass 93.1. Subject matter involving animal cells, per se, such
as specific cells from tissue or blood, or plant cells, per
se.
| | (1)
Note. While it is recognized that a protozoa is
a single celled animal, for the purposes of this class, it
will be considered a micro-organism rather than an animal
cell and will therefore be proper subject matter for subclass 93.1
or subclasses 93.2, 93.21, or
93.3, if appropriate. |
SEE OR SEARCH CLASS:
| 435, | Chemistry: Molecular Biology and Microbiology,
subclasses 325+ and 410+ for subject matter involving eukaryotic
cells including processes and compositions for propagation, etc. |
|
| | |
93.71 | Leukocyte: |
| | This subclass is indented under subclass 93.7. Subject matter involving a leukocyte which includes lymphocytes, granulocytes, and
monocytes. |
| | |
93.73 | Erythrocyte: |
| | This subclass is indented under subclass 93.7. Subject matter involving a reticulocyte or red blood cell.
| | (1)
Note. A reticulocyte is a young red blood cell. | |
| | |
94.1 | ENZYME OR COENZYME CONTAINING: |
| | This subclass is indented under the class definition. Subject matter s which contain an enzyme or coenzyme.
| | (1)
Note. The bracketed numerals following the titles
in the indented subclasses refer to the nomenclature system recommended
by the Commission of Biochemical Nomenclature on the Nomenclature and
Classification of enzymes. The titles include the enzymes
defined by the bracketed numerals. |
| | (2)
Note. Included in this subclass are enzyme adducts
wherein the enzyme is intended to be subsequently released as the
free enzyme. |
| | (3)
Note. Enzymes described in terms of the micro-organism
producing them should be placed in this and the intended subclass
by disclosed enzymic activity. Such patents should be
cross-referenced to Class 435 subclasses 183+.
Enzyme fragments and Proenzymes should be classified with the holoenzyme. |
| | (4)
Note. CAS registry numbers. For individual
enzymes see the Index Guide entries for the name or the E.C. number.
| |
For enzyme subclassifications see: Hydrolase = (9027-41-2); Isomerase = (9013-19-8); Ligase = (9080-13-1); Lyase = (9055-04-3); Oxidoreductase = (9055-15-6); Transferase
= (9047-61-4) |
| |
For specific enzymes see inverted headings in the Index Guide
under such classes as: Aminotransferase = (9031-66-7); Decarboxylase = (9027-22-9); Dehydratase = (9044-86-4); Dehydrogenase
= (9035-82-9); Isomerase = (9031-19-8); Kinase (phosphorylating) = (9031-44-1); Oxidase = (9035-73-8); Phosphatase = (9013-05-2); Reductase
= (9037-80-3); Synthesaze = (9031-56-5); | |
| | (5)
Note. National Library of Medicine Mesh subject
headings. See the printed copy of section D8 for individual
coenzymes and enzymes.
| |
Coenzymes = D8.176; Hydrolase = D8.586.277; Esterase = D8.586.277.352; Peptide
Hydrolases = D8.586.277.656; Isomerase = D8.586.399; Ligase = D8.586.464; Lyase = D8.586.520; Oxidoreductase = D8.586.682; Transferase = D8.586.913; Multienzyme
Complexes = D8.586.277.656 | |
| | (6)
Note. This subclass provides for compositions which
contain coenzymes. |
| | (7)
Note. A coenzyme is a nonprotein substance whose
presence is required for an enzyme to exhibit its catylitic activity and
which undergoes a chemical change during the catalytic cycle of
the enzyme involved. Regeneration of the original form
of the coenzyme requires its participation in a separate reaction. |
| | (8)
Note. Since coenzymes are no more than chemical
compounds a search in the appropriate chemical class providing for the
compound is recommended. |
SEE OR SEARCH CLASS:
| 930, | Peptide or Protein Sequence,
subclass 240 for enzyme peptide or protein sequences. |
|
| | |
94.2 | Multienzyme complexes or mixtures of enzymes: |
| | This subclass is indented under subclass 94.1. Subject matter which contain two or more functionally different
enzymes.
| | (1)
Note. Different Enzyme Commission numbers is conclusive
proof of functional difference. |
| | (2)
Note. This subclass is intended to provide for intentional
mixtures of enzymes for some therapeutic purpose. Many enzymes
isolated from natural sources have several enzyme functions.
These enzymes have not been placed have but below in the subclasses
providing for the dominant enzyme activity. |
| | (3)
Note. Where an isolate is described by an isolation
technique or source and has several diverse enzyme actions it is
presumed a mixture. Microbial source enzymes should be
cross-referenced to Class 435 if the microbial source is claimed
or described. |
SEE OR SEARCH CLASS:
| 435, | Chemistry: Molecular Biology and Microbiology,
subclass 175 for two or more functionally different enzymes immobilized
on the same support material. |
|
| | |
94.21 | Pancreatin: |
| | This subclass is indented under subclass 94.2. in which the enzyme mixture is pancreatin.
SEE OR SEARCH CLASS:
| 435, | Chemistry: Molecular Biology and Microbiology,
subclass 186 for pancreatin, per se, and methods
of producing pancreatin. |
|
| | |
94.3 | Stabilized enzymes or enzymes complexed with nonenzyme (e.g., liposomes, etc.): |
| | This subclass is indented under subclass 94.1. Subject matter in which (a) the enzyme
is contacted with an extraneous material to impart to the enzyme
a resistance to loss of activity, or (b) the
enzyme is reacted with a nonenzymatic material to form a complex
or a chemically modified enzymatic compound; e.g., conjugate, ligand, etc.
| | (1)
Note. An enzyme conjugate, enzyme ligand, enzyme
adduct for the purpose of this subclass are deemed to enhance enzyme
stability. |
SEE OR SEARCH CLASS:
| 252, | Compositions,
subclass 302 for liposomes. |
| 435, | Chemistry: Molecular Biology and Microbiology,
subclass 188 for methods of stabilizing an enzyme by forming
a mixture of adduct or composition. |
| 510, | Cleaning Compositions for Solid Surfaces, Auxiliary
Compositions Therefor, or Processes of Preparing the Compositions, appropriate subclasses for cleaning compositions which include
an enzyme component and
subclass 530 for enzyme compositions designed for use in cleaning compositions. |
|
| | |
94.4 | Oxidoreductases (1.) (e.g., catalase, dehydrogenases, reductases, etc.): |
| | This subclass is indented under subclass 94.1. Subject matter wherein the enzyme catalyzes an oxidation-reduction
reaction between a donor and acceptor; e.g., AH2 +
B=A + BH2, etc.
| | (1)
Note. An oxidation-reduction reaction for
the purpose of this classification involves the transfer of oxygen, hydrogen, or
electrons from a donor to an acceptor. |
| | (2)
Note. A water molecule is not considered to be an
acceptor or a donor. |
| | (3)
Note. Oxidoreductases which catalyze a reaction
between a donor and acceptor are different portions of the same
molecule, i.e., an intramolecular
oxidoreductase, are considered to be isomerases and are
excluded herefrom. |
SEE OR SEARCH CLASS:
| 435, | Chemistry: Molecular Biology and Microbiology,
subclasses 189+ for oxidoreductases and methods of isolating them. |
|
| | |
94.5 | Transferases (2.), lyase (4.), isomerase (5.), ligase (6.): |
| | This subclass is indented under subclass 94.1. Subject matter wherein (a) the enzyme
catalyzes the transfer of a functional group from one molecule to
another; (b) the enzyme catalyzes the
nonhydrolytic cleavage of bonds; (c) the
enzyme catalyzes an isomerization reaction; (d) the
enzyme which catalyized the joining of two molecules and the concomitant hydrolysis
of pyrophosphate bond in ATP, etc.
SEE OR SEARCH CLASS:
| 435, | Chemistry: Molecular Biology and Microbiology,
subclass 183 for ligases, subclass 193 for transferases, subclass
199 for ribonuclease and subclass 232 for lyases, and subclass 233
for isomerases and the transferases which catalyze the cleavage
of a functional group from one part of a molecule and the transfer
to another part of the same molecule. |
|
| | |
94.6 | Hydrolases (3.) (e.g., urease, lipase, asparaginase, muramidase, etc.): |
| | This subclass is indented under subclass 94.1. Subject matter wherein the enzyme catalyzes the following
reaction; AB + H2O=AOH + BH.
| | (1)
Note. The compounds hydrolyzed are usually carboxylic
esters, thiolesters, phosphoric esters, sulfuric
esters, glycosides, ethers, peptides, amides, amidines, nitriles, acid
anhydrides, organic halides, etc. |
| | (2)
Note. Peptidases, esterases, glycosidases, and
phosphatases are examples of hydrolases. |
| | (3)
Note. Examples of the enzymes included here are
lipase and ribonuclease. |
SEE OR SEARCH CLASS:
| 435, | Chemistry: Molecular Biology and Microbiology,
subclasses 195+ for hydrolases and subclasses 196+ for esterases. |
|
| | |
94.62 | Hyaluronidase or mucinase (3.2.1.35, 3.2.1.36): |
| | This subclass is indented under subclass 94.61. Subject matter wherein the enzyme is hyaluronidase or mucinase.
| | (1)
Note. Enzymes which hydrolyze mucin are classifiable
in this subclass. |
SEE OR SEARCH CLASS:
| 435, | Chemistry: Molecular Biology and Microbiology,
subclasses 201+ for enzymes which act on alpha 1,4 glucosidic
bonds, including hyaluronidase. |
|
| | |
94.63 | Acting on peptide bonds (3.4) (e.g., urokinease, etc.): |
| | This subclass is indented under subclass 94.6. Subject matter wherein the enzyme catalyzes hydrolysis of
amide bonds in proteins or peptides.
| | (1)
Synonyms. Peptidases, proteinases, proteolytic
enzymes, endopeptidases, exopeptidases, peptidyl-peptide
hydrolases. |
SEE OR SEARCH CLASS:
| 435, | Chemistry: Molecular Biology and Microbiology,
subclasses 212+ for enzymes which act on peptide bonds and subclass
215 for urokinease. |
|
| | |
94.64 | Serene proteinases (3.4.21) (e.g., trypsin, chymotrypsin, plasmin, thrombin, elastase, kallikrein, fibrinolysin, streptokinease, etc.): |
| | This subclass is indented under subclass 94.63. Subject matter which contain enzymes with the Enzyme Commission
classification of 3.4.21.
SEE OR SEARCH CLASS:
| 435, | Chemistry: Molecular Biology and Microbiology,
subclass 213 for trypsin and chymotrypsin, subclass 214
for thrombin, subclass 217 for plasmin and subclass 218
for elastase. |
|
| | |
114 | PLURAL FERMENTATES OF DIFFERENT ORIGIN (E.G., MIXTURES OF ANTIBIOTICS, ETC.) |
| | This subclass is indented under the class definition. Compositions which contain at least two fermentates; e.g., antibiotics, etc., of
known or unknown constitution.
| | (1)
Note. Excluded from this subclass is that mixture
of fermentates which is formed during a fermentative process employing
a single micro-organism and a single set of fermentative
conditions. A mixture of fermentates occurring as the result
of a fermentation by a single species of micro-organism
under a single set of fermentation conditions will be classified
in the first appearing subclass providing for one of the active
components of the mixture. See especially subclasses 115+; e.g., a
mixture comprising dihydrostreptomycin A, B, C, etc. |
| | (2)
Note. This subclass includes mixtures of compounds (antibiotics) which
have been produced by a nonfermentative synthesis and which have
chemical structures corresponding to natural fermentates. |
| | (3)
Note. Mixtures of simple lower alcohols e.g., ethanol
and butanol, etc., are excluded from
this subclass and placed in the appropriate lower subclasses. |
SEE OR SEARCH CLASS:
| 435, | Chemistry: Molecular Biology and Microbiology, appropriate subclass for a fermentation method for
producing a fermentate or antibiotic. |
|
| | |
115 | FERMENTATE OF UNKNOWN CHEMICAL STRUCTURE |
| | This subclass is indented under the class definition. Compositions containing an active ingredient of undetermined
structure and originally produced by a fermentation process.
SEE OR SEARCH THIS CLASS, SUBCLASS:
| 404, | for a structurally defined article or product which
contains an antibiotic. |
SEE OR SEARCH CLASS:
| 106, | Compositions: Coating or Plastic,
subclasses 15.05+ for a hard film forming coating composition which contains
an antibiotic. |
| 128, | Surgery, appropriate subclass for apparatus or an article
having significant structure which may be coated or impregnated
with an antibiotic. |
| 260, | Chemistry of Carbon Compounds, appropriate subclasses for an antibiotic of known
chemical structure. |
| 426, | Food or Edible Material: Processes, Compositions, and
Products, appropriate subclasses, for food composition
containing an antibody intended to preserve the food. |
| 435, | Chemistry: Molecular Biology and Microbiology, appropriate subclass for apparatus or process which employs
a fermentation step for manufacturing an antibiotic. |
| 510, | Cleaning Compositions for Solid Surfaces, Auxiliary
Compositions Therefor, or Processes of Preparing the Compositions, appropriate subclasses, particularly
subclasses 382+ for cleaning compositions which include an antiseptic
or biocidal component. |
|
| | |
116 | Having a known elemental analysis (e.g., antibiotic, etc.) |
| | This subclass is indented under subclass 115. Composition wherein the empirical formula of the fermentate
is disclosed as known.
| | (1)
Note. Mixtures of antibiotics of unknown chemical
structure obtained by the fermentation of a single micro-organism
are classified in this and indented subclasses if the carbon percentage
of at least one separable antibiotic is known; e.g., polymyxin
wherein the carbon precentage of polymyxin B, is known. |
| | (2)
Note. The percentage of carbon is based on the relative
quantity of carbon is the pure unreacted antibiotic.
Derivatives; e.g., the antibiotic
salts, etc., are classified with the
pure unreacted antibiotic, even though the percent carbon
of the derivative (e.g., salt) is
different from the subclass definition. |
| | (3)
Note. In view of the problem of experimental error, the
disclosed carbon percentage of a fermentate may only be an approximation.
It is therefore advisable to search the adjacent subclass where
a carbon percentage of the fermentate being sought is near the borderline between
subclasses. Where a disclosed carbon percentage range extends from one subclass into another, the
patent is placed as an original in the first appearing subclass
and crossed to the subadjacent subclass. | |
| | |
117 | Sulfur containing |
| | This subclass is indented under subclass 116. Products wherein the fermentate compound contains at least
one sulfur atom.
| | (1)
Note. For sulfur containing derivatives of a nonsulfur
containing antibiotic; e.g., sulfate
salts, etc., see subclass 116 and the
other indented subclasses. | |
| | |
118 | 45-55% carbon |
| | This subclass is indented under subclass 116. Products wherein the fermentate contains 45 percent through
55 percent carbon. |
| | |
123 | Processes of making, purifying or recovering (nonfermentation) |
| | This subclass is indented under subclass 115. Processes which are directed to the nonfermentative preparation, purification
or recovery of a fermentate containing composition or a fermentate
compound of unknown chemical structure, not more specifically
provided for elsewhere.
SEE OR SEARCH CLASS:
| 260, | Chemistry of Carbon Compounds, appropriate subclass for a nonfermentative process
of preparing or treating an antibiotic compound of known chemical
structure. |
| 435, | Chemistry: Molecular Biology and Microbiology, appropriate subclasses for a fermentative process
of preparing or treating an antibiotic product. |
|
| | |
124 | Ion exchange or chromatography |
| | This subclass is indented under subclass 123. Processes utilizing an ion exchange or chromatos:graphic
step.
SEE OR SEARCH THIS CLASS, SUBCLASS:
| 78.01, | and see notes thereto, for an ion exchange
type of solid synthetic organic polymer containing composition. |
SEE OR SEARCH CLASS:
| 210, | Liquid Purification or Separation,
subclasses 656+ and 660+ for a process under the class
definition for purifying a liquid. |
|
| | |
125 | FREE CARBON CONTAINING |
| | This subclass is indented under the class definition. Compositions which contain carbon in its elemental state
such as in charcoal, carbon black, coal, bone
black, etc.
| | (1)
Note. This subclass also provides for forms of elemental
carbon solely disclosed or claimed as an adjuvant or carrier for
a Class 424 active ingredient. | |
| | |
126 | WITH CORROSION INHIBITOR |
| | This subclass is indented under the class definition. Compositions which (1) contain a corrosion
inhibitor intended for perfecting a Class 424 composition or (2) contain
a Class 424 active ingredient in combination with a corrosion inhibitor. |
| | |
130.1 | IMMUNOGLOBULIN, ANTISERUM, ANTIBODY, OR
ANTIBODY FRAGMENT, EXCEPT CONJUGATE OR COMPLEX OF THE SAME
WITH NONIMMUNOGLOBULIN MATERIAL: |
| | This subclass is indented under the class definition. Subject matter involving an immunoglobulin, an
antiserum, an antibody, or an antibody fragment, except
a conjugate or a complex of the same with a nonimmunoglobulin material.
| | (1)
Note. This subclass and indented subclasses provide
for bioaffecting and body-treating compositions of immunoglobulins, antisera, antibodies, and
antibody fragments. |
| | (2)
Note. This subclass and indented subclasses also
provide for bioaffecting and body-treating methods of using
immunoglobulins, antisera, antibodies, antibody fragments, and
compositions thereof. |
| | (3)
Note. This subclass and indented subclasses also
provide for methods of immunizing to produce antibodies for recovery, which
antibodies are characterized as being useful as bioaffecting or body-treating
agents (e.g., to provide passive
immunity). |
| | (4)
Note. Methods of immunizing to produce protective
immunity in vivo (i.e., for
vaccination purposes) are provided for elsewhere. |
| | (5)
Note. Monoclonal and polyclonal antibodies, per
se, are considered compounds and are provided for elsewhere. |
| | (6)
Note. Immunoglobulins are a class of globulins found
in serum and other body fluids such as milk, saliva, tears, etc.
All antibodies found in these fluids are immunoglobulins and can
be characterized as having particular antigenic binding specificities. In
addition, all immunoglobulins are presumably antibodies, even
if their antigenic binding specificities have not been characterized. |
| | (7)
Note. An antigen is a substance that elicits the
production of antibodies, which antibodies, in
turn, have binding specificity for that antigen. |
| | (8)
Note. Antibodies may be isolated from serum or the
other body fluids in which they are found, or they may
be isolated from the secretion products of cells grown in culture
that express and secrete the products of antibody-encoding genes. |
| | (9)
Note. An antiserum is a serum that contains antibodies. |
| | (10)
Note. The major classes of immunoglobulins are IgG, IgM, IgA, IgD, and IgE.
Subclasses of immunoglobulins also exist, notably the IgG1, IgG2a, IgG2b, IgG3, and
IgG4 subclasses comprising the IgG class. IgY is similar
to IgG and is found only in birds. |
SEE OR SEARCH THIS CLASS, SUBCLASS:
| 1.49, | and 1.53, for methods of using
radiolabeled antibodies or compositions thereof for bioaffecting
or body-treating purposes and said compositions, per
se. |
| 9.1+, | for methods of using antibodies or compositions
thereof for in vivo testing or diagnosis and said compositions, per
se. |
| 178.1+, | for bioaffecting or body-treating methods
of using antibodies or fragments thereof that are conjugated to
or complexed with nonimmunoglobulin material; bioaffecting
or body-treating methods of using compositions of antibodies
or fragments thereof, which antibodies or fragments thereof are
conjugated to or complexed with nonimmunoglobulin material; and said
compositions, per se. |
| 184.1+, | for methods of immunizing to produce protective
immunity in vivo (i.e., for
vaccination purposes) |
SEE OR SEARCH CLASS:
| 436, | Chemistry: Analytical and Immunological
Testing,
subclass 547 for compositions of polyclonal antibodies used
in in vitro testing and subclass 548 for compositions of monoclonal antibodies
used in in vitro testing. |
| 530, | Chemistry: Natural Resins or Derivatives; Peptides
or Proteins; Lignins or Reaction Products Thereof,
subclasses 387.1+ for immunoglobulins or antibodies, per
se, processes of chemically modifying immunoglobulins or
antibodies, and processes of separating or purifying immunoglobulins
or antibodies. |
|
| | |
131.1 | Anti-idiotypic: |
| | This subclass is indented under subclass 130.1. Subject matter involving an antibody or an antigen-binding
fragment thereof that binds another antibody at one of its idiotopes.
| | (1)
Note. An idiotope is an antigenic determinant in
the variable region of the antibody. |
| | (2)
Note. An idiotype is that set of idiotopes characteristic
of a particular antibody. |
| | (3)
Note. Internal image antibodies are a subset of
anti-idiotypic antibodies that mimic an antigen in their
ability to elicit antibodies that bind said antigen. |
SEE OR SEARCH THIS CLASS, SUBCLASS:
| 145.1, | for non-anti-idiotypic monoclonal antibodies
or fragments thereof under the class definition that bind immunoglobulins
that are not bound to cells. |
| 153.1, | for non-anti-idiotypic monoclonal antibodies
or fragments thereof under the class definition that bind immunoglobulins
that are bound to hematopoietic cells. |
| 158.1, | for non-anti-idiotypic polyclonal
antibodies or fragments thereof under the class definition that
bind immunoglobulins that are not bound to cells. |
| 173.1, | for non-anti-idiotypic polyclonal
antibodies or fragments thereof under the class definition that
bind immunoglobulins that are bound to hematopoietic cells. |
|
| | |
132.1 | Derived from transgenic multicellular eukaryote (e.g., plant, etc.): |
| | This subclass is indented under subclass 130.1. Subject matter wherein the material is produced in a transgenic
multicellular eukaryote.
| | (1)
Note. A transgenic multicellular eukaryote is a
multicellular eukaryote whose genome carries a stable, heritable
genetic sequence derived from an exogenous source (e.g., another
species). |
| | (2)
Note. A multicellular eukaryote is a multicellular
organism whose cells each contain a nucleus, defined by
a nuclear membrane, wherein the nucleus contains chromosomes
that constitute the organism’s genome. Multicellular
eukaryotes include multicellular plants and animals. |
| | (3)
Note. It is suggested that the patents in this subclass
be cross-referenced to the appropriate subclass(es) that
provide for the binding specificities of the antibodies, if
disclosed. | |
| | |
133.1 | Structurally-modified antibody, immunoglobulin, or
fragment thereof (e.g., chimeric, humanized, CDR-grafted, mutated, etc.): |
| | This subclass is indented under subclass 130.1. Subject matter involving an antibody, immunoglobulin, or
fragment thereof that is purposely altered with respect to its amino
acid sequence or glycosylation, or with respect to its
composition of heavy and light chains or immunoglobulin regions
or domains, as compared with that found in nature; or
wherein the antibody, immunoglobulin, or fragment
thereof is part of a larger, synthetic protein.
| | (1)
Note. Structurally-modified antibodies may
be made by chemical alteration or recombination of existing antibodies, or by
various cloning techniques involving recombinant DNA or hybridoma
technology. |
| | (2)
Note. Structurally-modified antibodies may
be chimeric (i.e., comprising
amino acid sequences derived from two or more nonidentical immunoglobulin
molecules, such as interspecies combinations, etc.). |
| | (3)
Note. Structurally-modified antibodies may
have domain deletions or substitutions (e.g., deletions
of particular constant-region domains or substitutions
of constant-region domains from other classes of immunoglobulins). |
| | (4)
Note. Structurally-modified antibodies may
have deletions of particular glycosylated amino acids, or
may have their glycosylation otherwise altered, which may
alter their function. |
| | (5)
Note. While expression of cloned antibody genes
in cells of species other than from which they originated may result
in altered glycosylation of the product, compared with
that found in nature, this subclass and indented subclasses
are not meant to encompass such antibodies or fragments thereof
unless such cloning is a deliberate attempt to alter their glycosylation.
However, such antibodies or fragments thereof may still
be classified here or in indented subclasses if they are structurally-modified
in other ways (e.g., if they
are single chain, etc.). |
| | (6)
Note. It is suggested that the patents of this subclass
and indented subclasses be cross-referenced to the appropriate
subclass(es) that provide for the binding specificities
of these antibodies, if disclosed. | |
| | |
134.1 | Antibody, immunoglobulin, or fragment thereof
fused via peptide linkage to nonimmunoglobulin protein, polypeptide, or
fragment thereof (i.e., antibody
or immunoglobulin fusion protein or polypeptide): |
| | This subclass is indented under subclass 133.1. Subject matter involving a fusion protein or fusion polypeptide
that includes (a) an antibody, immunoglobulin, or
fragment thereof fused directly via a peptide bond to a nonimmunoglobulin
protein, polypeptide, or fragment thereof or (b) an
antibody, immunoglobulin, or fragment thereof
fused indirectly via a peptide linker to a nonimmunoglobulin protein, polypeptide, or
fragment thereof, which fusion protein or polypeptide is the
expression product of a gene fusion.
| | (1)
Note. A gene fusion is a nucleic acid sequence that
encodes the complete or partial amino acid sequences of two or more
proteins or polypeptides in contiguous fashion, or in noncontiguous
fashion, wherein the expressed sequence is ultimately processed
to yield the desired fusion protein. |
SEE OR SEARCH THIS CLASS, SUBCLASS:
| 178.1+, | for an immunoglobulin or immunoglobulin fragment
joined to a nonimmunoglobulin material, which immunoglobulin
or immunoglobulin fragment joined to a nonimmunoglobulin material
is not the expression product of a gene fusion. |
|
| | |
135.1 | Single chain antibody: |
| | This subclass is indented under subclass 133.1. Subject matter wherein the material is a single polypeptide
chain that has antigen-binding capability.
| | (1)
Note. Single chain antibodies may possess amino
acid sequences homologous to the complementarity determining, or hypervariable, regions
found in native antibodies, as well as their flanking framework
regions. |
| | (2)
Note. Single chain antibodies may be chimeric (e.g., having
amino acid sequences homologous to complementarity determining regions
and flanking framework regions, respectively, that
are derived from different species). |
| | (3)
Note. Single chain antibodies may possess an amino
acid sequence homologous to the variable region of an immunoglobulin
light chain and an amino acid sequence homologous to the variable
region of an immunoglobulin heavy chain, which amino acid sequences
are joined by a polypeptide linker via chemical coupling or via expression
of a gene fusion. |
| | (4)
Note. Single chain antibodies may be termed single
chain binding proteins. | |
| | |
136.1 | Bispecific or bifunctional, or multispecific or
multifunctional, antibody or fragment thereof: |
| | This subclass is indented under subclass 133.1. Subject matter involving an antibody or fragment thereof
that is bispecific or bifunctional or multispecific or multifunctional.
| | (1)
Note. An unmodified antibody has one bivalent antigenic
binding specificity. A bispecific or bifunctional antibody
has two nonidentical antigenic binding specificities, each
of which may be monovalent, bivalent, or multivalent.
A multispecific or multifunctional antibody has more than two nonidentical antigenic
binding specificities, each of which may be monovalent, bivalent, or multivalent. |
| | (2)
Note. Bispecific or bifunctional antibodies, or
multispecific or multifunctional antibodies, may be made
by various techniques, ranging from chemical crosslinking
of antibodies or fragments thereof having different binding specificities, to
the preparation of quadromas, or fused hybridomas, that
secrete bispecific antibodies, to the molecular cloning
of the relevant genes, possibly followed by chemical coupling
of the products produced thereby. | |
| | |
137.1 | Binds specifically-identified oligosaccharide structure: |
| | This subclass is indented under subclass 130.1. Subject matter involving an antibody or antigen-binding
fragment thereof whose antigen-binding site(s) will
combine with a specifically-identified oligosaccharide
structure.
| | (1)
Note. Some of the oligosaccharide structures disclosed
in the patents of this subclass are expressed on the surfaces of cancer
cells as components of glycoproteins or glycolipids, and
are related to the A, B, Le, or H blood-group
antigens. |
| | (2)
Note. It is suggested that the patents in this subclass
be cross-referenced to the appropriate subclass(es) that
provide for antibodies that bind the cell(s) upon which
the oligosaccharide structure is expressed, if such disclosure
is present. | |
| | |
138.1 | Binds expression product or fragment thereof of cancer-related
gene (e.g., oncogene, proto-oncogene, etc.): |
| | This subclass is indented under subclass 130.1. Subject matter involving an antibody or antigen-binding
fragment thereof whose antigen-binding site(s) will
combine with an expression product or fragment thereof of a cancer-related gene, such
as an oncogene or a proto-oncogene.
| | (1)
Note. An oncogene is a genetic sequence whose expression
transforms a normal cell into a cancerous cell. A proto-oncogene
is a genetic sequence found in non-cancerous cells which, when
mutated or otherwise activated in a characteristic way, can
become an oncogene. | |
| | |
139.1 | Binds antigen or epitope whose amino acid sequence is disclosed
in whole or in part (e.g., binds
specifically-identified amino acid sequence, etc.): |
| | This subclass is indented under subclass 130.1. Subject matter involving an antibody or antigen-binding
fragment thereof whose antigen-binding site(s) will
combine with a protein, polypeptide, or peptide
antigen or antigenic determinant whose amino acid sequence is disclosed
in whole or in part.
| | (1)
Note. An antigen is a substance that elicits the
production of antibodies, which antibodies, in
turn, have binding specificity for that antigen. |
| | (2)
Note. An epitope is a portion of an antigen to which
an antibody binds. An epitope is also called an antigenic
determinant. |
| | (3)
Note. It is suggested that the patents in this subclass
be cross-referenced to the subclass(es) that
provide for antibodies that bind the antigen whose amino acid sequence
is disclosed in whole or in part. | |
| | |
140.1 | Extracorporeal or ex vivo removal of antibodies or immune
complexes (e.g., removal of
autoantibodies, etc.); or extracorporeal
or ex vivo removal of antigen by antibodies (e.g., removal
of cancer cells from bone marrow by antibodies, etc.): |
| | This subclass is indented under subclass 130.1. Subject matter involving the removal from the body, via
separation techniques conducted outside the body, of antibodies
or immune complexes; or the removal from the body, via separation
techniques conducted outside the body, of antigenic substances
by antibodies.
SEE OR SEARCH CLASS:
| 604, | Surgery,
subclasses 4.01 , 5.01-5.04, 6.01-6.09, 6.01, 6.11-6.16
for patents that claim treatment of blood and its return to the
body wherein a specific detailed means for attaching a treating means
to the patient is specifically claimed, or wherein said
treating means includes a body sensing or monitoring means that
controls the treating means, or wherein more than a nominal
connection of a treating means to a patient is claimed, such
as by the recitation of specific arteries or veins to be connected
by a specific surgical connection. |
|
| | |
141.1 | Monoclonal antibody or fragment thereof (i.e., produced
by any cloning technology): |
| | This subclass is indented under subclass 130.1. Subject matter involving an antibody or fragment thereof
produced by a clone of cells or cell line, which clone
of cells or cell line is derived from a single antibody-producing
cell or antibody-fragment-producing cell, wherein said
antibody or fragment thereof is identical to all other antibodies
or fragments thereof produced by that clone of cells or cell line.
| | (1)
Note. This and the indented subclasses provide for
bioaffecting and body-treating compositions of antibodies
or fragments thereof as well as bioaffecting and body-treating
methods of using said compositions, said antibodies, or
said fragments, which antibodies or antibody fragments
are produced by any cloning technology that yields identical molecules (e.g., hybridoma
technology, recombinant DNA technology, etc.). |
| | (2)
Note. Monoclonal antibodies, per se, are considered
compounds and are provided for elsewhere. See the search
notes below. |
| | (3)
Note. Monoclonal antibodies are sometimes termed
monoclonal receptors or immunological binding partners. |
SEE OR SEARCH THIS CLASS, SUBCLASS:
| 1.49, | and 1.53, for methods of using
radiolabeled monoclonal antibodies or compositions thereof for bioaffecting or
body-treating purposes and said compositions, per
se. |
| 9.1+, | for methods of using monoclonal antibodies or compositions
thereof for in vivo testing or diagnosis and said compositions, per
se. |
| 178.1+, | for bioaffecting or body-treating methods
of using monoclonal antibodies or fragments thereof that are conjugated
to or complexed with nonimmunoglobulin material; bioaffecting
or body-treating methods of using compositions of monoclonal
antibodies or fragments thereof, which monoclonal antibodies
or fragments thereof are conjugated to or complexed with nonimmunoglobulin
material; and said compositions, per se. |
SEE OR SEARCH CLASS:
| 435, | Chemistry: Molecular Biology and Microbiology,
subclasses 326+ , for an animal cell, per se, which
expresses immunoglobulin, antibody, or fragment
thereof. |
| 530, | Chemistry: Natural Resins or Derivatives; Peptides
or Proteins; Lignins or Reaction Products Thereof,
subclasses 387.2+ , especially subclasses 388.1+, for
monoclonal antibodies, per se. |
|
| | |
142.1 | Human: |
| | This subclass is indented under subclass 141.1. Subject matter involving a monoclonal antibody or fragment
thereof derived from a human source or whose amino acid sequence
is identical to that found in a human.
| | (1)
Note. It is suggested that the patents in this subclass
be cross-referenced to the appropriate subclass(es) that
provide for the binding specificities of the antibodies, if
disclosed. | |
| | |
143.1 | Binds receptor: |
| | This subclass is indented under subclass 141.1. Subject matter involving a monoclonal antibody or antigen-binding
fragment thereof whose antigen-binding site(s) will
combine with a free or cell-associated receptor.
| | (1)
Note. A receptor is a structure integral to a cell, or
released into the surrounding milieu, that has binding
specificity for a particular three-dimensional structural configuration
of a molecule or portion thereof. |
| | (2)
Note. For the purpose of this and the indented subclass, an
antibody is not considered a receptor. Patents disclosing non-anti-idiotypic
monoclonal antibodies or fragments thereof that bind other immunoglobulins
are proper for subclass 145.1, unless the monoclonal
antibodies specifically bind hematopoietic-cell-bound
immunoglobulins, in which case, the patents are
proper for subclass 153.1. | |
| | |
144.1 | Receptor integral to or derived from a lymphocytic or lymphocytic-like
cell (e.g., NK cell, etc.): |
| | This subclass is indented under subclass 143.1. Subject matter involving a monoclonal antibody or antigen-binding
fragment thereof whose antigen-binding site(s) will
combine with a receptor integral to or derived from a lymphocytic
or a lymphocytic-like cell.
| | (1)
Note. Lymphocytic cells are considered either B- or
T-lineage cells. Null cells, or K cells, and
natural killer cells are considered to be "lymphocytic-like" cells, since
they have the morphology of lymphocytes, but not the antigenic
markers of either B- or T-lineage cells. | |
| | |
145.1 | Binds hormone or other secreted growth regulatory factor, differentiation
factor, or intercellular mediator (e.g., cytokine, etc.); or
binds serum protein, plasma protein (e.g., tPA, etc.), or
fibrin: |
| | This subclass is indented under subclass 141.1. Subject matter involving a monoclonal antibody or antigen-binding
fragment thereof whose antigen-binding site(s) will
combine with a hormone or with any other secreted growth regulatory
factor, differentiation factor, or intercellular
mediator; or involving a monoclonal antibody or antigen-binding
fragment thereof whose antigen-binding site(s) will
combine with a serum protein, a plasma protein, or with
fibrin.
| | (1)
Note. The term "growth regulatory factor" is
meant to encompass any secretory factor that is growth-stimulatory
or growth-inhibitory (e.g., that
will stimulate or inhibit clonal expansion of cells). |
| | (2)
Note. The term "differentiation factor" is
meant to encompass any secretory factor that causes cells to progress
from a relatively undifferentiated state to a more differentiated
state, wherein said progression may include clonal expansion. |
| | (3)
Note. The term "intercellular mediator" is
meant to encompass any secretory factor that affects cellular functions
such as chemotaxis, etc. |
| | (4)
Note. Patents under the class definition with disclosures
to monoclonal antibodies or fragments thereof that bind proteins, including
enzymes, that are members of plasma "activation
systems"--including the clotting system, the fibrinolytic
system, the bradykinin system, and the complement
system--are proper for this subclass. |
| | (5)
Note. Patents under the class definition with disclosures
to non-anti-idiotypic monoclonal antibodies or
fragments thereof that bind immunoglobulins are proper for this
subclass, unless the monoclonal antibodies specifically
bind hematopoietic-cell-bound immunoglobulins, in
which case, they are proper for subclass 153.1. |
SEE OR SEARCH CLASS:
| 530, | Chemistry: Natural Resins or Derivative,
subclasses 380+ , for examples of plasma and serum proteins. |
|
| | |
146.1 | Binds enzyme: |
| | This subclass is indented under subclass 141.1. Subject matter involving a monoclonal antibody or antigen-binding
fragment thereof whose antigen-binding site(s) will
combine with an enzyme. |
| | |
148.1 | Immunodeficiency virus: |
| | This subclass is indented under subclass 147.1. Subject matter wherein the virus is one that is associated
with an immunodeficiency syndrome such as AIDS in humans or an AIDS-related
syndrome in animals. |
| | |
151.1 | Binds parasitic organism (i.e., parasitic
protozoan, multicellular ectoparasite (e.g., flea, tick, mite, etc.), or
multicellular endoparasite (e.g., parasitic
worm, etc.)) or component thereof
or substance produced by said parasitic organism: |
| | This subclass is indented under subclass 141.1. Subject matter involving a monoclonal antibody or antigen-binding
fragment thereof whose antigen-binding site(s) will
combine with an integral or isolated part of a parasitic organism
such as a parasitic protozoan, a multicellular ectoparasite, or
a multicellular endoparasite; or will combine with a substance produced
by a parasitic organism. |
| | |
152.1 | Binds eukaryotic cell or component thereof or substance
produced by said eukaryotic cell: |
| | This subclass is indented under subclass 141.1. Subject matter involving a monoclonal antibody or antigen-binding
fragment thereof whose antigen-binding site(s) will
combine with an integral or isolated part of a eukaryotic cell or
with a substance produced by a eukaryotic cell.
| | (1)
Note. A eukaryotic cell is one that has, among
other characteristics, a nucleus defined by a nuclear membrane, which nucleus
contains chromosomes that constitute the genome of the organism
to which the cell belongs. Eukaryotic organisms may be
unicellular, such as yeast, or multicellular, such
as higher animals and plants. | |
| | |
153.1 | Hematopoietic cell: |
| | This subclass is indented under subclass 152.1. Subject matter wherein the cell is a hematopoietic cell.
| | (1)
Note. Hematopoietic cells are considered to be bone
marrow stem cells and cells derived from bone marrow stem cells, including
cells at any stage of differentiation from progenitor cells to mature
erythrocytes, granulocytes, lymphocytes, etc., both
normal and neoplastic. |
| | (2)
Note. Monoclonal antibodies that bind hematopoietic-cell-bound
immunoglobulins are proper for this subclass. | |
| | |
155.1 | Cancer cell: |
| | This subclass is indented under subclass 152.1. Subject matter wherein the cell is a cancer cell.
SEE OR SEARCH THIS CLASS, SUBCLASS:
| 137.1, | for a monoclonal antibody or fragment thereof under
the class definition that binds a specifically-identified
oligosaccharide structure derived from a cancer cell. |
| 138.1, | for a monoclonal antibody or fragment thereof under
the class definition that binds the expression product or fragment
thereof of a cancer-related gene (e.g., oncogene, proto-oncogene, etc.). |
|
| | |
156.1 | Antigen characterized by name or molecular weight: |
| | This subclass is indented under subclass 155.1. Subject matter wherein the monoclonal antibody or antigen-binding
fragment thereof will combine with an antigen that is an integral
or isolated part of a cancer cell, or that is produced
by a cancer cell, and that is disclosed by name or molecular
weight.
| | (1)
Note. The term "name" does not
necessarily define a chemical structure. | |
| | |
158.1 | Binds hormone or other secreted growth regulatory factor, differentiation
factor, or intercellular mediator (e.g., cytokine, vascular
permeability factor, etc.); or
binds serum protein, plasma protein, fibrin, or
enzyme: |
| | This subclass is indented under subclass 130.1. Subject matter involving an antibody or antigen-binding
fragment thereof whose antigen-binding site(s) will
combine with a hormone or with any other secreted growth regulatory
factor, differentiation factor, or intercellular
mediator; or involving an antibody or antigen-binding
fragment thereof whose antigen-binding site(s) will
combine with a serum protein, a plasma protein, fibrin, or
an enzyme.
| | (1)
Note. The term "growth regulatory factor" is
meant to encompass any secretory factor that is growth-stimulatory
or growth-inhibitory (e.g., that
will stimulate or inhibit clonal expansion of cells). |
| | (2)
Note. The term "differentiation factor" is
meant to encompass any secretory factor that causes cells to progress
from a relatively undifferentiated state to a more differentiated
state, wherein said progression may include clonal expansion. |
| | (3)
Note. The term "intercellular mediator" is
meant to encompass any secretory factor that affects cellular functions
such as chemotaxis, etc. |
| | (4)
Note. Patents under the class definition with disclosures
to antibodies or fragments thereof that bind proteins, including
enzymes, that are members of plasma "activation
systems"--including the clotting system, the
fibrinolytic system, the bradykinin system, and
the complement system--are proper for this subclass. |
| | (5)
Note. Patents under the class definition with disclosures
to non-anti-idiotypic antibodies or fragments
thereof that bind immunoglobulins are proper for this subclass, unless
the antibodies specifically bind hematopoietic-cell-bound
immunoglobulins, in which case, the patents are proper
for subclass 173.1. |
| | (6)
Note. See patent classification definitions for
Class 530, subclasses 380+, for examples
of plasma and serum proteins. | |
| | |
160.1 | Immunodeficiency virus: |
| | This subclass is indented under subclass 159.1. Subject matter wherein the virus is one that is associated
with an immunodeficiency syndrome such as AIDS in humans or an AIDS-related
syndrome in animals. |
| | |
163.1 | Binds antigens of multiple bacterial species (e.g., multivalent
antiserum that binds antigens of multiple bacterial species, etc.): |
| | This subclass is indented under subclass 130.1. Subject matter involving an antiserum or other combination
of antibodies that binds antigens of multiple bacterial species, which
antiserum or other combination of antibodies comprises a plurality
of antibodies, each antibody having an individual bacterial
binding specificity, which antibodies together comprise
binding specificities for two or more bacterial species.
| | (1)
Note. Antisera or other combinations of antibodies
that bind multiple strains of a single bacterial species are proper
for the subclass comprising antibodies that bind that bacterial
species. | |
| | |
172.1 | Binds eukaryotic cell or component thereof or substance
produced by said eukaryotic cell (e.g., honey, etc.): |
| | This subclass is indented under subclass 130.1. Subject matter involving an antibody or antigen-binding
fragment thereof whose antigen-binding site(s) will
combine with an integral or isolated part of a eukaryotic cell or
with a substance produced by a eukaryotic cell.
| | (1)
Note. A eukaryotic cell is one that has, among
other characteristics, a nucleus defined by a nuclear membrane, which nucleus
contains chromosomes that constitute the genome of the organism
to which the cell belongs. Eukaryotic organisms may be
unicellular, such as yeast, or multicellular, such
as higher animals and plants. | |
| | |
173.1 | Hematopoietic cell: |
| | This subclass is indented under subclass 172.1. Subject matter wherein the cell is a hematopoietic cell.
| | (1)
Note. Hematopoietic cells are considered to be bone
marrow stem cells and cells derived from bone marrow stem cells, including
cells at any stage of differentiation from progenitor cells to mature
erythrocytes, granulocytes, lymphocytes, etc., both
normal and neoplastic. |
| | (2)
Note. Antibodies that bind hematopoietic-cell-bound
immunoglobulins are proper for this subclass. | |
| | |
174.1 | Cancer cell: |
| | This subclass is indented under subclass 172.1. Subject matter wherein the cell is a cancer cell.
SEE OR SEARCH THIS CLASS, SUBCLASS:
| 137.1, | for an antibody or fragment thereof under the class
definition that binds a specifically-identified oligosaccharide structure
derived from a cancer cell. |
| 138.1, | for an antibody or fragment thereof under the class
definition that binds the expression product or fragment thereof
of a cancer-related gene (e.g., oncogene, proto-oncogene, etc.). |
|
| | |
175.1 | Binds hapten, hapten-carrier complex, or specifically-identified
chemical structure (e.g., drug, etc.): |
| | This subclass is indented under subclass 130.1. Subject matter involving an antibody or antigen-binding
fragment thereof whose antigen-binding site(s) will
combine with a hapten, a hapten-carrier complex, or
with a specifically-identified chemical structure that
is disclosed.
| | (1)
Note. A hapten is a substance that can bind an antibody, but
which cannot induce production of an antibody unless it is coupled
to a carrier that is immunogenic. A hapten is usually, but
not always, of low molecular weight. |
| | (2)
Note. Antibodies that bind a specifically-identified
amino acid sequence are proper for subclass 139.1. | |
| | |
177.1 | Reduced antigenicity, reduced ability to bind
complement, or reduced numbers of activated complement
components (e.g., free from
aggregated, denatured, fragmented, or polymerized
immunoglobulins; free from proteolytic enzymes, etc.): |
| | This subclass is indented under subclass 130.1. Subject matter involving an immunoglobulin preparation from
which aggregated, denatured, fragmented, or
polymerized immunoglobulins have been removed or prevented from
forming; or from which plasma proteins, such as
proteolytic enzymes, that contaminate an immunoglobulin
preparation have been removed; or that has been treated
to reduce the number of activated complement components.
| | (1)
Note. This subclass provides for immunoglobulin
preparations that are suitable for intravenous use, since
they have been treated to remove aggregated, fragmented, or
denatured immunoglobulins, or they have been treated to
remove plasma proteins, such as proteolytic enzymes, that
co-purify with immunoglobulins and which can denature immunoglobulins, or
they have been otherwise treated to reduce the number of activated complement
components. Immunoglobulin preparations that are free
from aggregated, denatured, fragmented, or polymerized
immunoglobulins are less apt to be antigenic or "anticomplementary" in
vivo (i.e., are less apt to
bind complement, thus setting off the undesired consequences
of the complement cascade). | |
| | |
178.1 | CONJUGATE OR COMPLEX OF MONOCLONAL OR POLYCLONAL ANTIBODY, IMMUNOGLOBULIN, OR FRAGMENT
THEREOF WITH NONIMMUNOGLOBULIN MATERIAL: |
| | This subclass is indented under the class definition. Subject matter involving a monoclonal or polyclonal antibody, immunoglobulin, or
fragment thereof that is coupled to a nonimmunoglobulin material
via a single covalent bond or via a linking chemical group, or
which is coupled to a nonimmunoglobulin material via noncovalent
means (e.g., via chelation or adsorption).
| | (1)
Note. A conjugate is taken to mean a coupling of
one substance to another via covalent means, either directly
via a covalent bond or indirectly via a chemical linking group. |
| | (2)
Note. A complex is taken to mean a coupling of one
substance to another via noncovalent means (e.g., via
adsorption). |
| | (3)
Note. This subclass and indented subclasses provide
for bioaffecting and body-treating compositions of conjugates
or complexes of monoclonal or polyclonal antibodies, immunoglobulins, or
fragments thereof with nonimmunoglobulin materials. |
| | (4)
Note. This subclass and indented subclasses also
provide for bioaffecting and body-treating methods of using
conjugates or complexes of monoclonal or polyclonal antibodies, immunoglobulins, or
fragments thereof with nonimmunoglobulin materials or compositions thereof. |
SEE OR SEARCH THIS CLASS, SUBCLASS:
| 1.49, | and 1.53, for methods of using
radiolabeled antibodies or compositions thereof for bioaffecting
or body-treating purposes and said composition, per
se. |
SEE OR SEARCH CLASS:
| 530, | Chemistry: Natural Resins or Derivatives; Peptides
or Proteins; Lignins or Reaction Products Thereof,
subclasses 391.1+ for antibody conjugates, per se, and
methods of making said conjugates. |
|
| | |
179.1 | Conjugated via claimed linking group, bond, chelating
agent, or coupling agent (e.g., conjugated
to proteinaceous toxin via claimed linking group, bond, coupling agent, etc.): |
| | This subclass is indented under subclass 178.1. Subject matter wherein a monoclonal or polyclonal antibody
or immunoglobulin or fragment thereof is conjugated to a nonimmunoglobulin
material via a linking group, a bond, a chelating
agent, or a coupling agent that is specifically identified
in the claim(s) by chemical name or chemical structure. |
| | |
184.1 | ANTIGEN, EPITOPE, OR OTHER IMMUNOSPECIFIC
IMMUNOEFFECTOR (E.G., IMMUNOSPECIFIC
VACCINE, IMMUNOSPECIFIC STIMULATOR OF CELL-DIATED
IMMUNITY, IMMUNOSPECIFIC TOLEROGEN, IMMUNOSPECIFIC
IMMUNOSUPPRESSOR, ETC.): |
| | This subclass is indented under the class definition. Subject matter involving an antigen, an epitope, or
another immunospecific immunoeffector, such as an immunospecific
vaccine, an immunospecific stimulator of cell-mediated immunity, an
immunospecific tolerogen, or an immunospecific immunosuppressor.
| | (1)
Note. An antigen is a substance that elicits the
production of antibodies, wherein the antibodies then have
binding specificity for that antigen. |
| | (2)
Note. An epitope is a portion of an antigen to which
an antibody binds. An epitope is also called an antigenic
determinant. |
| | (3)
Note. An immunospecific immunoeffector, for
the purposes of this subclass and indented subclasses, is
a substance that induces a specific immunological effect (e.g., specific
immunity to polio), whether it be immunospecific
immunity, immunospecific tolerance, or immunospecific
immunosuppression. |
| | (4)
Note. This subclass and indented subclasses provide
for bioaffecting and body-treating compositions of antigens, epitopes, and
other immunospecific immunoeffectors. |
| | (5)
Note. This subclass and indented subclasses also
provide for bioaffecting and body-treating methods of using
antigens, epitopes, and other immunospecific immunoeffectors
and compositions thereof. |
| | (6)
Note. This and the indented subclasses provide for
methods of immunizing to produce protective immunity in vivo (i.e., for
vaccination purposes). |
SEE OR SEARCH THIS CLASS, SUBCLASS:
| 93.1+, | for a nonimmunologic bioaffecting or body-treating
composition containing a whole live micro-organism, cell, or virus. |
| 130.1+, | for methods of immunizing with an antigen to produce
antibodies for recovery, which antibodies are characterized
as being useful as bioaffecting or body-treating agents (e.g., to
provide passive immunity). |
| 538+, | for bee or other insect or arachnid venom for which
there is no specific disclosure that it functions as an antigen. |
| 542, | for snake venom for which there is no specific disclosure
that it functions as an antigen. |
SEE OR SEARCH CLASS:
| 435, | Chemistry: Molecular Biology and Microbiology,
subclasses 5+ for antigens involved in in vitro immunoassays
involving an enzyme or a micro-organism. |
| 436, | Chemistry: Analytical and Immunological
Testing,
subclasses 500+ , for antigens involved in in vitro immunoassays
not involving an enzyme or a micro-organism. |
|
| | |
185.1 | Amino acid sequence disclosed in whole or in part; or
conjugate, complex, or fusion protein or fusion
polypeptide including the same: |
| | This subclass is indented under subclass 184.1. Subject matter wherein an amino acid sequence specifying
an antigen, an epitope, or another immunospecific
immunoeffector is disclosed in whole or in part, wherein
the disclosed amino acid sequence may be part of a conjugate, a
complex, or a fusion protein or fusion polypeptide.
| | (1)
Note. A conjugate is taken to mean a coupling of
one substance to another via covalent means, either directly
via a covalent bond or indirectly via a chemical linking group. |
| | (2)
Note. A complex is taken to mean a coupling of one
substance to another via noncovalent means (e.g., via
adsorption). |
| | (3)
Note. A fusion protein or fusion polypeptide is
taken to mean the expression product of a gene fusion.
A gene fusion is a nucleic acid sequence that encodes the complete
or partial amino acid sequences of two or more proteins or polypeptides
in contiguous fashion, or in noncontiguous fashion, wherein
the expressed sequence is ultimately processed to yield the desired
fusion protein. | |
| | |
186.1 | Disclosed amino acid sequence derived from virus: |
| | This subclass is indented under subclass 185.1. Subject matter wherein the disclosed amino acid sequence
is derived from a viral protein or fragment thereof.
| | (1)
Note. "Derived from" in this context
is taken to mean an amino acid sequence identical to that found
in nature or modified in some respect. |
SEE OR SEARCH CLASS:
| 930, | Peptide or Protein Sequence,
subclasses 220+ for a peptide or protein sequence homologous to
that of a virus. |
|
| | |
187.1 | Retroviridae (e.g., feline
leukemia, etc.): |
| | This subclass is indented under subclass 186.1. Subject matter wherein the virus belongs to the family Retroviridae.
| | (1)
Note. Retroviruses are RNA (ribonucleic
acid) viruses that encode the enzyme reverse transcriptase
and that are associated with acquired immune deficiency syndrome (AIDS) and
related disorders, as well as with some forms of cancer, such
as those caused by HTLV (human T-lymphotrophic
virus) I and II, Rous sarcoma virus, MMTV (murine mammary
tumor virus), feline leukemia virus, etc. |
SEE OR SEARCH CLASS:
| 930, | Peptide or Protein Sequence,
subclass 221 for a peptide or protein sequence homologous to
that of a retrovirus. |
|
| | |
189.1 | Hepatitis virus: |
| | This subclass is indented under subclass 186.1. Subject matter wherein the virus is a hepatitis virus.
SEE OR SEARCH CLASS:
| 930, | Peptide or Protein Sequence,
subclass 223 for a peptide or protein sequence homologous to
that of a hepatitis virus. |
|
| | |
192.1 | Fusion protein or fusion polypeptide (i.e., expression
product of gene fusion): |
| | This subclass is indented under subclass 184.1. Subject matter involving a fusion protein or fusion polypeptide, which
fusion protein or fusion polypeptide is taken to mean the expression
product of a gene fusion.
| | (1)
Note. A gene fusion is a nucleic acid sequence that
encodes the complete or partial amino acid sequences of two or more
proteins or polypeptides in contiguous fashion, or in noncontiguous
fashion, wherein the expressed sequence is ultimately processed
to yield the desired fusion protein. | |
| | |
193.1 | Conjugate or complex: |
| | This subclass is indented under subclass 184.1. Subject matter involving a conjugate or a complex.
| | (1)
Note. A conjugate is taken to mean a coupling of
one substance to another via covalent means, either directly
via a covalent bond or indirectly via a chemical linking group. |
| | (2)
Note. A complex is taken to mean a coupling of one
substance to another via noncovalent means (e.g., via
adsorption). |
| | (3)
Note. The conjugates and complexes provided for
in this subclass and indented subclasses are often of the hapten-carrier
type. A hapten is a substance that can bind an antibody, but
which cannot induce production of an antibody unless it is coupled
to a carrier that is immunogenic. A hapten is usually, but not
always, of low molecular weight. Common carriers, for
vaccination purposes in humans, are tetanus toxoid and diphtheria
toxoid. |
SEE OR SEARCH THIS CLASS, SUBCLASS:
| 1.57, | for methods of using radiolabeled antigens and compositions
thereof for bioaffecting or body-treating purposes and
said compositions, per se. |
|
| | |
195.11 | Conjugate or complex includes hormone or other secreted
growth regulatory factor, differentiation factor, intercellular
mediator, or fragment thereof: |
| | This subclass is indented under subclass 193.1. Subject matter wherein at least one component of the conjugate
or complex is a hormone or other secreted growth regulatory factor, differentiation
factor, intercellular mediator, or fragment thereof.
| | (1)
Note. The term "growth regulatory factor" is
meant to encompass any secretory factor that is growth-stimulatory
or growth-inhibitory (e.g., that
will stimulate or inhibit clonal expansion of cells). |
| | (2)
Note. The term "differentiation factor" is
meant to encompass any secretory factor that causes cells to progress
from a relatively undifferentiated state to a more differentiated
state, wherein said progression may include clonal expansion. |
| | (3)
Note. The term "intercellular mediator" is
meant to encompass any secretory factor that affects cellular functions
such as chemotaxis, etc. | |
| | |
195.15 | EXTRACT OR MATERIAL CONTAINING OR OBTAINED FROM A MULTICELLULAR
FUNGUS AS ACTIVE INGREDIENT (E.G., MUSHROOM, FILAMENTOUS
FUNGI, FUNGAL SPORES, HYPHAE, MYCELIUM, ETC.): |
| | This subclass is indented under the class definition. Subject matter wherein the active ingredient is a material
or an extract obtained from a multicellular fungus.
SEE OR SEARCH THIS CLASS, SUBCLASS:
| 94.5, | for bio-affecting or body treating compositions
containing a live cell of fungi. |
| 274.1, | for bio-affecting or body treating compositions
containing an antigen from fungi. |
| 780, | for bio-affecting or body treating compositions
containing a material or an extract from a micro-organism
as the active ingredient. |
SEE OR SEARCH CLASS:
| 435, | Chemistry: Molecular Biology and Microbiology,
subclasses 254.1 through 256.8for fungi, per se. |
|
| | |
195.16 | EXTRACT OR MATERIAL CONTAINING OR OBTAINED FROM A UNICELLULAR
FUNGUS AS ACTIVE INGREDIENT (E.G., YEAST, ETC.): |
| | This subclass is indented under the class definition. Subject matter wherein the active ingredient is a material
or an extract obtained from a unicellular fungus.
SEE OR SEARCH THIS CLASS, SUBCLASS:
| 93.1 | through 93.73, for bio-affecting or body treating compositions
containing a whole live micro-organism, cell, or virus. |
| 115 | through 124, for bio-affecting or body treating compositions
containing a microbial fermentate of undetermined chemical structure. |
| 274.1, | for bio-affecting or body treating compositions
containing an antigen from fungi. |
| 780, | for bio-affecting or body treating compositions
containing a material or an extract from a micro-organism
as the active ingredient. |
SEE OR SEARCH CLASS:
| 435, | Chemistry: Molecular Biology and Microbiology,
subclasses 255.1 through 255.7for subject matter involving yeast, including
processes and compositions for propagation, etc. |
|
| | |
195.17 | EXTRACT OR MATERIAL CONTAINING OR OBTAINED FROM AN ALGAE AS
ACTIVE INGREDIENT (E.G., CHLORELLA, SEAWEED, LAVER, KELP, ETC.): |
| | This subclass is indented under the class definition. Subject matter wherein the active ingredient is a material
or an extract obtained from a multicellular or unicellular algae.
| | (1)
Note. For purpose of this subclass, cyanobacteria (unicellular
algae) and blue green algae are considered bacteria and
are excluded from this subclass. |
SEE OR SEARCH THIS CLASS, SUBCLASS:
| 115 | through 124, for bio-affecting or body treating compositions
containing a microbial fermentate of undetermined chemical structure. |
| 780, | for bio-affecting or body treating compositions
containing, as the active ingredient, a material
or an extract of cyanobacteria or blue green algae. |
SEE OR SEARCH CLASS:
| 435, | Chemistry: Molecular Biology and Microbiology,
subclasses 257.1 through 257.6for algae, per se. |
|
| | |
195.18 | NATURAL RESIN, GUM, OR BALSAM AS ACTIVE
INGREDIENT (E.G., CONIFER RESIN, PINE
GUM, ROSIN, NATURAL LATEX, ETC.): |
| | This subclass is indented under the class definition. Subject matter wherein the active ingredient is a natural
resin, gum, or balsam.
SEE OR SEARCH THIS CLASS, SUBCLASS:
| 78.01 | through 78.38, for bio-affecting or body treating compositions
containing a synthetic resin as the active ingredient. |
SEE OR SEARCH CLASS:
| 514, | Drug, Bio-Affecting and Body
Treating Compositions,
subclass 782 for a gum or resin as a nonactive ingredient. |
| 530, | Chemistry: Natural Resins or Derivatives; Peptides
or Proteins; Lignins or Reaction Products Thereof,
subclasses 200 through 233for natural resins, per se. |
|
| | |
198.1 | Hormone or other secreted growth regulatory factor, differentiation
factor, intercellular mediator, neurotransmitter, or
fragment thereof: |
| | This subclass is indented under subclass 184.1. Subject matter involving a hormone or other secreted growth
regulatory factor, differentiation factor, intercellular
mediator, neurotransmitter, or fragment thereof.
| | (1)
Note. The term "growth regulatory factor" is
meant to encompass any secretory factor that is growth-stimulatory
or growth-inhibitory (e.g., that
will stimulate or inhibit clonal expansion of cells). |
| | (2)
Note. The term "differentiation factor" is
meant to encompass any secretory factor that causes cells to progress
from a relatively undifferentiated state to a more differentiated
state, wherein said progression may include clonal expansion. |
| | (3)
Note. The term "intercellular mediator" is
meant to encompass any secretory factor that affects cellular functions
such as chemotaxis, etc. | |
| | |
200.1 | Recombinant or stably-transformed bacterium encoding
one or more heterologous proteins or fragments thereof: |
| | This subclass is indented under subclass 184.1. Subject matter involving a bacterium into whose genome is
integrated one or more nucleic acid sequences encoding one or more heterologous
proteins or fragments thereof; or involving a bacterium
that carries stable, replicative plasmids that include
one or more nucleic acid sequences encoding one or more heterologous
proteins or fragments thereof.
| | (1)
Note. A heterologous protein is one derived from
another species (e.g., another
bacterial species). |
| | (2)
Note. Such genetically-modified bacteria
may be used as multivalent vaccines. | |
| | |
204.1 | Virus or component thereof: |
| | This subclass is indented under subclass 184.1. Subject matter involving a virus or a component of a virus.
| | (1)
Note. As a guide to classification, viruses
represented in the indented subclasses are listed in the Search
This Class, Subclass, section below.
This list is not exhaustive. |
SEE OR SEARCH THIS CLASS, SUBCLASS:
| 207.1, | for avian leukosis |
| 207.1, | for bovine leukemia |
| 207.1, | for equine infectious anemia |
| 207.1, | for feline leukemia |
| 207.1, | for Rous sarcoma |
| 209.1, | for fowl plague |
| 208.1, | for immunodeficiency virus |
| 207.1, | for human T-lymphotrophic virus type I (HTLV-I) |
| 209.1, | 210.1, for influenza |
| 211.1, | for canine tracheobronchitis |
| 211.1, | for parainfluenza |
| 211.1, | for respiratory syncytial |
| 211.1, | for rinderpest |
| 211.1, | for Sendai |
| 211.1, | for turkey rhinotracheitis |
| 212.1, | for measles |
| 212.1, | for mumps |
| 213.1, | for canine distemper |
| 214.1, | for Newcastle disease |
| 215.1, | for orbivirus |
| 215.1, | for avian proventiculitis |
| 215.1, | for bluetongue |
| 215.1, | for Colorado tick fever |
| 215.1, | for reovirus |
| 215.1, | for rotavirus |
| 216.1, | for coxsackievirus |
| 216.1, | for avian encephalomyelitis |
| 216.1, | for echovirus |
| 216.1, | for Mengovirus |
| 216.1, | for foot-and-mouth disease |
| 217.1, | for poliovirus |
| 218.1, | for Sindbis |
| 218.1, | for bovine viral diarrhea |
| 218.1, | for dengue |
| 218.1, | for equine encephalitis |
| 218.1, | for equine viral arteritis |
| 218.1, | for flavivirus |
| 218.1, | for Japanese B encephalitis |
| 218.1, | for yellow fever |
| 219.1, | for rubella |
| 220.1, | for hog cholera |
| 221.1, | for canine coronavirus |
| 221.1, | for feline infectious peritonitis |
| 221.1, | for neonatal calf diarrhea |
| 222.1, | for infectious bronchitis |
| 223.1, | for transmissable gastroenteritis |
| 224.1, | for vesicular stomatitis |
| 224.1, | for rabies |
| 225.1, | for infectious canine hepatitis |
| 225.1, | for mouse hepatitis |
| 225.1, | for duck hepatitis |
| 226.1, | for hepatitis A |
| 227.1, | for hepatitis B |
| 228.1, | for non-A, non-B hepatitis |
| 228.1, | for hepatitis C |
| 229.1, | for pseudorabies |
| 229.1, | for infectious bovine rhinotracheitis |
| 229.1, | for equine rhinopnemonitis |
| 229.1, | for feline herpesvirus |
| 229.1, | for Aujeszky’s disease |
| 229.1, | for bovine herpes virus type 1 |
| 229.1, | for infectious pustular vulvovaginitis |
| 229.1, | for laryngotracheitis |
| 229.1, | for Marek’s disease |
| 229.1, | for feline rhinotracheitis |
| 230.1, | for herpes zoster |
| 230.1, | for varicella zoster |
| 230.1, | for cytomegalovirus |
| 230.1, | for Epstein-Barr |
| 231.1, | for herpes simplex |
| 232.1, | for avian pox |
| 232.1, | for rabbit myxoma |
| 232.1, | for smallpox |
| 232.1, | for fowlpox |
| 232.1, | for vaccinia |
| 233.1, | for canine parvovirus |
| 233.1, | for adeno-like |
| 233.1, | for adenovirus |
| 233.1, | for egg drop syndrome |
| 233.1, | for feline panleukopenia |
| 233.1, | for mink enteritis |
| 233.1, | for hemorrhagic enteritis |
SEE OR SEARCH CLASS:
| 435, | Chemistry: Molecular Biology and Immunology,
subclass 173.3 for processes of attenuating a virus via irradiation
and subclasses 236.1+ for processes of attenuating
a virus via other means (e.g., serial
passage, etc.). |
|
| | |
205.1 | Reassortant or deletion mutant virus: |
| | This subclass is indented under subclass 204.1. Subject matter involving a reassortant or deletion mutant
virus.
| | (1)
Note. For the purpose of this subclass and the indented
subclass, a reassortant virus is one whose genome combines genetic
material from genotypically distinct viruses of the same viral species, resulting
in a variant having certain desired antigenicity or attentuated
virulence characteristics. The term "recombinant
virus" has been used previously to describe such a mutant. |
| | (2)
Note. For the purpose of this subclass and the indented
subclass, a deletion mutant virus is one whose genome has been
altered by recombinant DNA techniques so as to produce a variant
that is lacking one or more specifically-identified active
gene products, and thus has certain desired characteristics, such
as non-reverting attentuated virulence. |
| | (3)
Note. The mutant viruses disclosed in this subclass
and the indented subclass may be useful in attenuated live vaccines. |
SEE OR SEARCH THIS CLASS, SUBCLASS:
| 199.1, | for a recombinant virus encoding one or more heterologous
proteins or fragments thereof. |
|
| | |
207.1 | Retroviridae (e.g., feline
leukemia virus, bovine leukemia virus, avian leukosis
virus, equine infectious anemia virus, Rous sarcoma
virus, HTLV-I, etc.): |
| | This subclass is indented under subclass 204.1. Subject matter wherein the virus belongs to the family Retroviridae.
| | (1)
Note. Retroviruses are RNA viruses that encode the
enzyme reverse transcriptase and that are associated with acquired immune
deficiency syndrome (AIDS) and related disorders, as
well as with some forms of cancer, such as those caused
by HTLV(human T-lymphotrophic virus) I
and II, Rous sarcoma virus, MMTV (murine
mammary tumor virus), feline leukemia virus, etc. | |
| | |
210.1 | Subunit vaccine containing hemagglutinin or neuraminidase: |
| | This subclass is indented under subclass 209.1. Subject matter involving a subunit vaccine containing hemagglutinin
or neuraminidase derived from a virus that belongs to the family Orthomyxoviridae.
| | (1)
Note. A subunit vaccine of a virus is one that does
not contain the whole virus, but rather, only
part(s) of the virus. | |
| | |
216.1 | Caliciviridae or picornaviridae, except hepatitis
A virus (e.g., foot-and-mouth
disease virus (FMDV), coxsackievirus, echovirus, avian
encephalomyelitis virus, Mengovirus, etc.): |
| | This subclass is indented under subclass 204.1. Subject matter wherein the virus belongs to the family Caliciviridae
or to the family Picornaviridae, except a hepatitis A virus.
SEE OR SEARCH THIS CLASS, SUBCLASS:
| 226.1, | for subject matter under subclass 204.1
involving a hepatitis A virus. |
|
| | |
217.1 | Poliovirus: |
| | This subclass is indented under subclass 216.1. Subject matter wherein the virus that belongs to the Picornaviridae
family is a poliovirus. |
| | |
218.1 | Togaviridae or Flaviviridae, except hepatitis C
virus (e.g., yellow fever virus, bovine
viral diarrhea virus, dengue virus, equine viral arteritis
virus, equine encephalitis virus, Japanese B encephalitis
virus, Sindbis virus, flavivirus, etc.): |
| | This subclass is indented under subclass 204.1. Subject matter wherein the virus belongs to the family Togaviridae
or to the family Flaviviridae. |
| | |
229.1 | Herpetoviridae (e.g., herpesvirus, Marek’s disease
virus, laryngotracheitis virus, infectious bovine
rhinotracheitis virus (IBR), pseudorabies
virus, infectious pustular vulvovaginitis virus, equine
rhinopneumonitis virus, bovine herpes virus type 1, Aujeszky’s disease
virus, feline rhinotracheitis virus, feline herpes
virus, etc.): |
| | This subclass is indented under subclass 204.1. Subject matter wherein the virus belongs to the family Herpetoviridae. |
| | |
233.1 | Adenoviridae, adeno-like virus, or
Parvoviridae (e.g., adenovirus, canine
parvovirus, mink enteritis virus, hemorrhagic
enteritis virus, feline panleukopenia virus, egg
drop syndrome virus, etc.): |
| | This subclass is indented under subclass 204.1. Subject matter wherein the virus belongs to the family Adenoviridae
or to the family Parvoviridae, or is considered an adeno-like
virus. |
| | |
235.1 | Transposon mutant or deletion mutant bacterium (e.g., produced
by transposon mutagenesis, etc.): |
| | This subclass is indented under subclass 234.1. Subject matter involving a transposon mutant or a deletion
mutant bacterium.
| | (1)
Note. For the purpose of this subclass, a transposon
mutant bacterium is a bacterium whose genome has been modified by
the introduction of a transposon--a sequence of
double-stranded DNA that is able to replicate and insert
a copy of itself at another site--which transposon has
inserted a copy of itself at a site in the genome such that a gene
of a particular biosynthetic pathway has been inactivated, so
as to produce a desired characteristic in the mutant bacterium, such
as attentuated virulence. |
| | (2)
Note. For the purpose of this subclass, a deletion
mutant bacterium is one whose genome has been altered by recombinant DNA
techniques so as to produce a variant that is lacking one more specifically-identified
active gene products, and thus has certain desired characteristics, such as
non-reverting attentuated virulence. |
| | (3)
Note. The mutant bacteria disclosed herein may be
useful in attenuated live vaccines. |
SEE OR SEARCH THIS CLASS, SUBCLASS:
| 200.1, | for a recombinant or stably-transformed
bacterium encoding one or more heterologous proteins or fragments
thereof, which recombinant or stably-transformed
bacteria may also be a transposon mutant or a deletion mutant. |
|
| | |
242.1 | Pilus, fimbria, or adhesin: |
| | This subclass is indented under subclass 234.1. Subject matter involving a bacterial pilus, fimbria, or
adhesin.
| | (1)
Note. Adhesins are surface antigens found on pili
and fimbriae, which are filamentous appendages of many
gram-negative bacteria. | |
| | |
278.1 | NONSPECIFIC IMMUNOEFFECTOR, PER SE (E.G., ADJUVANT, NONSPECIFIC
IMMUNOSTIMULATOR, NONSPECIFIC IMMUNOPOTENTIATOR, NONSPECIFIC
IMMUNOSUPPRESSOR, NONSPECIFIC IMMUNOMODULATOR, ETC.); OR
NONSPECIFIC IMMUNOEFFECTOR, STABILIZER, EMULSIFIER, PRESERVATIVE, CARRIER, OR
OTHER ADDITIVE FOR A COMPOSITION CONTAINING AN IMMUNOGLOBULIN, AN ANTISERUM, AN
ANTIBODY, A CONJUGATE OR COMPLEX OF AN ANTIBODY OR FRAGMENT
THEREOF, AN ANTIGEN, AN EPITOPE, OR OTHER
IMMUNOSPECIFIC IMMUNOEFFECTOR: |
| | This subclass is indented under the class definition. Subject matter involving a nonspecific immunoeffector, per
se, or a nonspecific immunoeffector, a stabilizer, an
emulsifier, a preservative, a carrier, or
any other additive for a composition containing an immunoglobulin, an antiserum, an
antibody, a conjugate or complex of an antibody or fragment
thereof, an antigen, an epitope, or any
other immunospecific immunoeffector.
| | (1)
Note. In order for a patent to be placed here, it
must recite a particular nonspecific immunoeffector, stabilizer, emulsifier, preservative, carrier, etc., in
the claims. |
| | (2)
Note. Patents reciting in the claims a composition
comprising (a) a particular antibody or fragment
thereof, (b) a particular antiserum, (c) a
conjugate or complex of a particular antibody or fragment thereof, or (d) a
particular antigen, epitope, or other immunospecific
immunoeffector have been placed as original references in that subclass
providing for the composition comprising that particular antibody, etc., and
cross-referenced to the subclass providing for any pertinent nonspecific
immunoeffector, etc., that is recited
in the claims. |
| | (3)
Note. Patents having in the claims only a nominal
recitation to a composition comprising "an antigen" or "an
antibody," etc., but a recitation
to a particular nonspecific immunoeffector, etc., have
been placed as original references in this or the indented subclass
that provides for that particular nonspecific immunoeffector, etc., and
cross-referenced to that subclass that provides for a composition
comprising any pertinent antigen, antibody, etc., that
is disclosed. | |
| | |
400 | PREPARATIONS CHARACTERIZED BY SPECIAL PHYSICAL FORM: |
| | This subclass is indented under the class definition. Subject matter which possess some form, or a specific
dimension or configuration, or its components are associated
as plural layers or parts.
| | (1)
Note. A composition in unit form; e.g., tablet, capsule, etc., of
specific structure is classified in this and indented subclasses.
However, a composition claimed as an article (or
product) and which is only defined in broad descriptive
terms such as "pill", "tablet", "granule", "particle", "solid", etc., is
classified in appropriate subclasses below on the basis of the composition
thereof or other feature, since the recited descriptive terms, per
se, are not regarded as defining "structure" for
this and indented subclasses. However, this and
indented subclasses will take products of special form having reference
to nominal structure; e.g., "oval", "spherical", "rod", "tapering", "hollow", etc. |
| | (2)
Note. This class provides for impregnated or layered
substrates which function as a carrier or applicator; e.g., textiles, bandages
filament, paper, etc., having
minimum of two layers, wherein one layer (or the
impregnant) is a composition for this class and the substrate
is no more than a nominally recited single layered base.
Thus, this subclass will provide for an impregnant matrix. |
| | (3)
Note. An article coated, or impregnated with
a composition provided for in this class and in which the composition
functions only to preserve the article from biological attack is
generally classified with the particular article protected. Seeds
coated with Class 424 biocidal compositions are an exception to
this rule and are classified in Class 504, subclass 100. |
SEE OR SEARCH CLASS:
| 71, | Chemistry: Fertilizers, provides for compositions having a nutrient action on
plant growth and methods of using such compositions. |
| 106, | Compositions: Coating or Plastic, provides for coating compositions which protect
a base by forming a tough adherent film even though the composition
also contains a biocide of product the base against biological attack,; e.g., marine
antifouling paints, etc. Materials or ingredients for
coating and molding compositions (Class 106 appropriate
subclasses) which are also useful as diluents or inert
ingredients in pharmaceutical compositions are placed in Class 106 unless
a therapeutic or biocidal property is claimed. Surgical
sponges claimed only as being made from Class 106 if the sponge
contains no active ingredient with a utility for Class 424.
Patents claiming an ink suitable for coating or printing or pharmaceutical
dosage units; e.g., tablets, etc., are
placed in Class 106 unless the coated or printed article is also
claimed. Class 424 provides for the following coating
compositions: Compositions intended to decorate or beautify
the body; e.g., hair lacquer, fingernail
polish, lipstick, etc.; coating
compositions which do not protect the base by forming a tough, adherent film
and whose sole function is as a carrier for a composition of Class
424 utility; e.g., "stickers" which
adhere insecticides to plants, etc., whether
or not claimed in combination with an active ingredient; coating
compositions applied to the body for therapeutic purposes even though
a tough, adherent film is formed; and coating compositions
which do not form tough, adherent films and which have a
utility provided for in Class 424; e.g., salve, skin
cream or a solution of a material, for example, a
mixture of phenols to protect wood against insects, etc. |
| 504, | Plant Protecting and Regulating Compositions, provides for compositions having a stimulating, inhibiting (Herbicides), or
regulating action on plant growth and methods of using such compositions.
Class 504 specifically provides for algicidal compositions in
subclasses 150+ and nutrient compositions which contain an insecticide, fungicide, or
deodorant in subclasses 101+. Class 504 is superior
to Class 424. If claims are drawn to a "pesticide" composition
or method without specifically reciting the nature of the "pest" to
be controlled or eradicated, the patent is placed as an
original in Class 424 when only a Class 424 type of "pest" (e.g., fungi, insect, rodent, etc.) is
revealed in the patent disclosure. However, if
both Class 504 and Class 424 types of "pest" are
specifically disclosed or if no disclosure is made as to the specific
type of pest, the patent is placed in Class 504 as an original
and cross-referenced to Class 424. |
| D24, | Medical and Laboratory Equipment,
subclasses 100 through 104for design patents for pharmaceutical products. |
|
| | |
401 | Cosmetic, antiperspirant, dentifrice: |
| | This subclass is indented under subclass 400. Subject matter in which the composition is a cosmetic, antiperspirant
or dentifrice.
SEE OR SEARCH THIS CLASS, SUBCLASS:
| 47, | for a topical live body growing an adorning aid
in aerosol form. |
| 49, | for dentifrices. |
| 59, | for sun tan or sun block preparations. |
| 61, | through 76, for various body treatment
compositions. |
SEE OR SEARCH CLASS:
| 8, | Bleaching and Dyeing: Fluid Treatment
and Chemical Modification of Textiles and Fibers, subclasses 94.16+ for depilating compositions,
subclass 127.51 for compositions for chemically modifying human
hair not a living body, subclasses 160 and 161 for compositions
for depilating a living animal and subclasses 405+ for
compositions for dyeing hair on a living animal. |
| 44, | Fuel and Related Compositions, appropriate subclasses for fuel containing an additive
to protect it against decay or biological attack. Particularly
note
subclasses 300+ for the combination of a mineral oil containing
a nonmineral oil preservative disclosed for use as fuel or any light mineral
oil. |
| 83, | Cutting,
subclasses 13+ for processes of shaving the living body, particularly
subclasses 14+ wherein a Class 424 shaving preparation
is used in preparatory treatment of the hair before shaving. |
| 106, | Compositions: Coating or Plastic, provides for coating compositions which protect
a base by forming a tough, adherent film even though the composition
also contains a biocide to protect the base against biological attack; e.g., marine
antifouling paints, etc. Materials or ingredients
for coating and molding compositions (Class 106 appropriate
subclasses) which are also useful as diluents or inert
ingredients in pharmaceutical compositions are placed in Class 106
unless a therapeutic or biocidal property is claimed. Surgical
sponges claimed only as being made from Class 106 Compositions, are
placed in Class 106, if the sponge contains no active ingredient with
a utility for Class 424. Patents claiming an ink suitable
for coating or printing on pharmaceutical dosage units; e.g., tablets, etc., are
placed in Class 106 unless the coated or printed article is also
claimed. Class 424 provides for the following coating
compositions: compositions intended to decorate or beautify
the body; e.g., hair lacquer, fingernail
polish, lipstick, etc.; coating
compositions which do not protect the base by forming a tough, adherent
film and whose sole function is as a carrier for a composition of
Class 424 utility; e.g., "stickers" which
adhere insecticides to plants, etc., whether
or claimed in combination with an act, ingredient; coating
compositions applied to the body for therapeutic purposes even though
a tough, adherent film is formed; and coating
compositions which do not form tough, adherent films and
which have a utility provided for in Class 424; e.g., salve, skin
cream or a solution of a material, for example, a
mixture of phenols to protect wood against insects, etc. |
| 132, | Toilet,
subclasses 202+ for a process of treating hair on the scalp which
is more than the mere application of a Class 424 composition and
for miscellaneous apparatus for grooming or enhancing the appearance
of the human body; e.g., combs, manicuring, toothpicks, dental
floss, etc. |
|
| | |
402 | Apparel, fabric, cloth: |
| | This subclass is indented under subclass 401. Subject matter in which wearing apparel, fabric or
cloth is coated or impregnated with a biocidal or pharmaceutical
composition.
SEE OR SEARCH CLASS:
| 2, | Apparel, appropriate subclasses for garment structures containing
a Class 424 composition, particularly
subclass 4 for insect repelling head guards and subclass 171.2
for head coverings containing a medicament. |
| 36, | Boots, Shoes, and Leggings, appropriate subclasses for boots, etc., or parts
thereof which contain a Class 424 composition. |
| 168, | Farriery,
subclass 2 for medicating overshoes and subclass 26 for medicating
sole pads used in treating the hooves of horses or cattle. |
| 223, | Apparel Apparatus,
subclass 86 for insect repelling garment hangers. |
| 604, | Surgery,
subclass 292 for a glove for applying a body treating material
and subclasses 358+ for clothing such as diapers and the
extensive listing in Note 4 of other subclasses providing for similar
subject matter. |
| 623, | Prosthesis (i.e., Artificial
Body Members), Parts Thereof, or Aids
and Accessories Therefor, for the subject matter of the class title. |
|
| | |
405 | Biocides; animal or insect repellents or attractants (e.g., disinfectants, pesticides, etc.): |
| | This subclass is indented under subclass 400. Subject matter in which the composition having a special
physical form is claimed or disclosed as biocidal or repellent or
attractant to animals or insects.
| | (1)
Note. The subject matter included in this and the
indented subclasses includes pesticides and disinfectants claimed broadly. |
| | (2)
Note. This subclass is not intended to provide for
a pharmaceutical directed against a single group of pathogens but is
intended to provide for a composition that is generally biocidal
to all organisms in a given local area. |
SEE OR SEARCH CLASS:
| 8, | Bleaching and Dyeing: Fluid Treatment
and Chemical Modification of Textiles and Fibers,
subclasses 94.16+ for depilating compositions, subclass 127.51
for compositions for chemically modifying human hair not on a living
body, subclasses 160 and 161 for compositions for depilating
a living animal and subclasses 405+ for compositions for
dyeing hair on a living animal. |
| 44, | Fuel and Related Compositions, appropriate subclasses for fuel containing an additive
to protect it against decay or biological attack. Particularly
not
subclasses 300+ for the combination of a mineral oil containing
a nonmineral oil preservative disclosed for use as fuel or any light
mineral oil. |
| 71, | Chemistry: Fertilizers, provides for compositions having a nutrient action on
plant growth and methods of using such compositions. |
| 43, | Fishing, Trapping, and Vermin Destroying, for apparatus for trapping or destroying vermin, i.e., animals
injurious or pestiferous to man. The apparatus may utilize
a composition classifiable in Class 424; e.g., attractant, nonfood
bait, poison, etc. Class 43 structural
elements containing a Class 424 composition must have more structure
than, for example, that represented by a mere
coated or impregnated base; e.g., flypaper
of a particular shape or dimension, etc. Class
43 also provides for fumigating candles used for destroying vermin claimed
in terms of more structure that a compound or composition containing
a nominal wick. Class 43 provides for a process of trapping
or destroying vermin which is more that the mere application of
a compound or Class 424 composition. Class 424 takes methods
of destroying vermin which are no more than a single step of mere
application of a compound of a Class 424 composition.
Class 424 takes articles for trapping or destroying vermin claimed
in terms of no more structure that a coating or impregnant on a
base. Class 424 also takes fumigating candles of no more structure
than compound or composition nominally containing a wick. |
| 47, | Plant Husbandry, appropriate subclasses for apparatus provided for therein
which may apply a Class 424 composition; e.g., insecticide, etc., to plants. |
| 106, | Compositions: Coating or Plastic, for coating compositions which protect a base by
forming a tough adherent film even though the composition also contains
a biocide to protect the base against biological attack; e.g., marine antifouling
paints, etc. Materials or ingredients for coating
and molding composition (Class 106 appropriate subclasses) which
are also useful as diluents or inert ingredients in pharmaceutical
compositions are placed in Class 106 unless a therapeutic or biocidal
property is claimed. Surgical sponges claimed only as
being made from Class 106 compositions are placed in Class 106 if
the sponge contains no active ingredient with a utility for Class
424. Patents claiming an ink suitable for coating or printing
on pharmaceutical dosage units; e.g., tablets, etc., are
placed in Class 106 unless the coated or printed article is also
claimed. Class 424 provides for the following coating
compositions: compositions intended to decorate or beautify
the body; e.g., hair lacquer, fingernail
polish, lipstick, etc.; coating
compositions which do not protect the base by forming a tough, adherent film
and whose sole function is as a carrier for a composition of Class
424 utility; e.g., "stickers" which
adhere insecticides to plants, etc., whether
or claimed in combination with an act ingredient; coating
compositions applied to the body for therapeutic purposes even though
a tough, adherent film is formed; and coating
compositions which do not form tough, adherent film is
formed; and coating compositions which do not form tough, adherent
films and which have a utility provided for in Class 424; e.g., salve, skin
cream or a solution of a material, for example, a
mixture of phenols to protect wood against insect, etc. |
| 119, | Animal Husbandry, appropriate subclasses for a process of treatment of domestic
animals with a Class 424 composition which does not involve cutting
the skin and which is more than the mere application of the composition
to the animal. See
subclasses 156+ for methods of topically applying a composition
to an animal to heal sores, kill parasites repel insect, etc., particularly
subclass 160 for fumigating. |
| 162, | Paper Making and Fiber Liberation,
subclass 161 for a process of paper making wherein a biocide
is added during the process. |
| 174, | Electricity: Conductors and Insulators,
subclasses 68.1+ for electrical conductor structures containing
a biocide or repellent (e.g., to
repel rats, etc.). |
| 208, | Mineral Oils: Processes and Products,
subclass 1 and 2 for biocidal mineral oil products and mixture thereof.
Subclasses 4+ and mineral oil products preserved against
biological attack by a mineral oil additive. |
| 252, | Compositions,
subclasses 9+ for a lubricant composition protected against biological
attack. Subclasses 9+ provides for a mineral
oil containing a nonmineral oil preservative when the composition
is disclosed to be useful as a lubricant and for preserved mineral
oil fractions, heavier than mapthas, gasolines
and kerosene which are not disclosed to be lubricants but are disclosed
to have several, nonlimiting utilities; subclasses 106+ for
detergent cleaning compositions containing a biocide, insecticide or
antiseptic. These compositions may be disclosed or claimed
as useful in cleaning a living body; e.g., shampoo, etc; subclasses
299.01+ for liquid crystal containing optical
filter compositions; subclasses 380+ for preservative
compositions broadly not elsewhere provided for and for a preservative
mixed with a compound claimed so broadly as not to afford a basis
of classification; e.g., "a
carbon compound", etc.; subclasses
365+ for antiingestible or denatured compositions; subclass
8.6 for perfume compositions, per se; subclasses
582,+ for other optical filter compositions. |
| 260, | Chemistry of Carbon Compounds, appropriate subclasses for an organic compound which
is disclosed or claimed as having a Class 424 utility, also
for an organic compound with an additive to protect the compound against
deterioration or biological attack. |
| 423, | Chemistry of Inorganic Compounds, appropriate subclasses for inorganic compounds and nonmetallic
elements which may have a Class 424 utility. Class 423
provides inorganic compounds which include an additive, see especially
subclass 265 .
| |
Class 423 provides for compositions containing an element
or an inorganic compound combined with a preservative; e.g., a
substance which protect the element or compound against biological attack, etc.
However, a Class 423 element or compound containing a preservative
in which state it is claimed or solely disclosed as having a Class
424 utility, is placed as an original in Class 424. | |
| 504, | Plant Protecting and Regulating Compositions, provides for compositions having a stimulating, inhibiting (Herbicides), or
regulating action on plant growth and methods of using such compositions.
Class 504 specifically provides for algicidal compositions in
subclasses 150+ and nutrient compositions which contain an insecticide, fungicide, or
deodorant in subclasses 101+. Class 504 is superior
to Class 424. If claims are drawn to a "pesticide" composition
or method without specifically reciting the nature of the "pest" to
be controlled or eradicated, the patent is placed as an
original in Class 424 when only a Class 424 type of "pest" (e.g., fungi, insect, rodent, etc.) is
revealed in the patent disclosure. However, if
both Class 504 and Class 424 types of "pest" are
specifically disclosed or if no disclosure is made as to the specific
type of pest, the patent is placed in Class 504 as an original
and cross referenced to Class 424. Class 504, subclass
100, also provides for seeds coated with Class 424 biocidal
compositions. |
|
| | |
409 | Solid as carrier or diluent: |
| | This subclass is indented under subclass 405. Subject matter in which the composition is coated on or
impregnated in a solid self sustaining nominally claimed article.
| | (1)
Note. This and indented subclass are intended to
provide for articles by name only when coated by a biocidal or insect or
animal attractant or repellent composition. |
| | (2)
Note. If an article claim has structure claimed
the article will usually be provided for in an article class rather
than in this class. |
SEE OR SEARCH CLASS:
| 428, | Stock Material or Miscellaneous Articles, appropriate subclasses provides for a stock material product
in the form of a single or plural layer web or sheet as provided
for therein and which contains a biocide. An article impregnated
with a biocide and not containing structure (e.g., size
or apertures) and not elsewhere provided (e.g., Class
428,
subclass 540 ) will be classified in Class 424.
Class 424 provides for a claim to a base coated with a compound
or composition which has a Class 424 utility and in which the base
function as a carrier for the active material (e.g., medicated
applicator or mosquito repellent fabric). Class
424 also provides for a claim to a coated dosage unit containing
a substance having a Class 424 utility. Class 428 provides
for a claim to a coated or impregnated article, not otherwise
provided for which comprises a base preserved by a composition or
compound which has a Class 424 utility (e.g., mothproofed
textile or termite proofed wood). |
|
| | |
410 | Impregnated or coated food or edible simulative of food (e.g., bait, poison, etc.): |
| | This subclass is indented under subclass 409. Subject matter in which the composition is an impregnated
food or edible, a coated food or edible or a material made
to simulate an edible or food. Class 424 provides for
compositions intended to nourish an animal when such compositions
are designed to be administered to the animal by routes other than
the oral cavity; e.g., by rectal
or parenteral injection, or via a tube through the alimentary
tract or stomach wall. Class 424 provides for a compositions containing
a food or beverage when said compositions are claimed solely disclosed
as having a utility set forth in the Class Definition above.
However, a food or beverage containing a biocide as a preservative
therefore will be classified as original in Class 426.
Class 424 also provides for methods of preserving Class 426 products
when said methods are no more than the mere use of biocides.
Class 424 further provides for food or beverage compositions containing
an animal growth regulator or other anabolic agents. For
purposes of classification an animal growth regulator or anabolic agent
is defined to include the following illustrative causative effects: (a) increase
feed efficiency or weight gain; (b) enhance
color of egg yolks, combs, skin or legs of chickens; (c) enhance
the hatchability of eggs; (d) vary the fat-protein
ratio or texture of flesh; (e) chemically
caponize an animal, etc.
SEE OR SEARCH CLASS:
| 426, | Foods or Edible Material: Processes, Compositions, and
Products, provides for compositions intended to nourish an
animal by natural oral ingestion, which may contain an
additive necessary to maintain the normal metabolism of the animal; e.g., vitamins, minerals, amino
acids, etc. |
|
| | |
411 | Impregnated or coated nominal articles (e.g., flea
collars, etc.): |
| | This subclass is indented under subclass 409. Subject matter in which the impregnated or coated material
is an article by name only.
| | (1)
Note. The subclass is intended to provide for articles
such as flea collars claimed as no more than coated or impregnated
with an insecticide. |
SEE OR SEARCH CLASS:
| 427, | Coating Processes,
subclass 212 for a comprehensive listing of classes providing
for coated and impregnated articles or materials. |
| 428, | Stock Material or Miscellaneous Articles,
subclass 907 (a cross-reference art collection) for
a product treated against attack by plant or animal life. |
|
| | |
412 | Packaging, cordage building material or container: |
| | This subclass is indented under subclass 411. Subject matter in which a product is impregnated or coated
with a biocide or repellent which renders the surface of same toxic
or repellent to a living organism and which are disclosed as being
useful as a wrapping, packaging, lining or building
material or a container.
| | (1)
Note. Included herein are such products as an impregnated
twine, bale band, wall paper, wall board, etc. |
| | (2)
Note. The containers included herein are paper bags
and tubes and the like. |
SEE OR SEARCH CLASS:
| 52, | Static Structures (e.g., Buildings),
subclasses 129+ for a burial vault with means to treat the corpse
or product thereof with a Class 424 composition. Subclass
517 for structurally defined static structures; e.g., buildings, utility
poles, etc., which a coating to repel
biological attack. |
| 57, | Textiles: Spinning, Twisting, and Twining,
subclasses 217 , 221, 223, 232, 232+, and
258 strands, having structural limitations, coated
with a biocide. |
| 206, | Special Receptacle or Package, provides for a dosage unit made up of a therapeutic
material or article and a container, where the container
is intended to be physically removed from the therapeutic material
or article; e.g., a wrapper
pill or capsule, etc. Class 424, Drug, Bio-Affecting
a Body Treating Compositions, takes a structured dosage
unit which is intended to be used as a whole without disassembling
or removal of a part; e.g., unwrapping.
Examples of dosage units provided for in Class 424 are a capsule
filled with coated particulate material intended to be swallowed
whole, and a filled soluble, gelatin container
intended to be dissolved in toto in
water or other liquid. |
| 220, | Receptacles,
subclasses 87.1+ for a disinfecting device to be attached to the
receptacles of that class. |
|
| | |
413 | Cellulosic material or building material: |
| | This subclass is indented under subclass 412. Subject, matter in which the material impregnated
is cellulose or contains cellulose or is claimed or disclosed as
a building material.
SEE OR SEARCH THIS CLASS, SUBCLASS:
| 461, | for a sustained or differential release capsule
containing discrete particles coated which cellulose or a cellulose derivative. |
| 480, | for a tablet coated which cellulose or a cellulose
derivative. |
| 494, | for a cellulose or cellulose derivative coated particle. |
| 499, | for cellulose or cellulose derivative impregnated
particles. |
|
| | |
414 | Impregnated or coated paper or foil: |
| | This subclass is indented under subclass 409. Subject matter in which the solid carrier is paper or a
foil.
SEE OR SEARCH THIS CLASS, SUBCLASS:
| 419, | for a biocidal particle coated with a synthetic
resin. |
| 443, | for a synthetic resin web sheet or filament base, bandage
or dressing with an incorporated medicament. |
| 462, | for a sustained or differential release capsule
containing discrete particles coated with a synthetic resin. |
| 482, | for a tablet coated with a solid synthetic resin. |
| 497, | for a synthetic resin coated particle. |
| 501, | for a synthetic resin impregnated particle. |
|
| | |
415 | Wrapping paper: |
| | This subclass is indented under subclass 414. Subject matter in which the paper or foil is disclosed as
intended to be used for wrapping.
| | (1)
Note. This subclass provides for fruit wrappers
and the like. | |
| | |
417 | Coated particulate form (e.g., liposome, etc.): |
| | This subclass is indented under subclass 409. Subject matter in which the composition is in the form of
a coated or impregnated particle.
| | (1)
Note. Subclasses 418-420 provide for coated
particles in which either the coating or the core is of the denominated compound.
Subclass 421 provides for particles having inorganic cores. | |
| | |
418 | Protein or derivative or polysaccharide or derivative: |
| | This subclass is indented under subclass 417. Subject matter in which the coating or core of the particles
is a protein or derivative or a polysaccharide or derivative.
SEE OR SEARCH THIS CLASS, SUBCLASS:
| 440, | for candy, candy coated pharmaceuticals
or chewing gum. |
| 456, | for a gelatin capsule. |
| 460, | for a sustained or differential release capsule
containing discrete particles coated with a protein. |
| 461+, | for a sustained or differential release capsule
containing discrete particles coated with saccharide. |
| 477+, | for a protein coated tablet. |
| 478, | for a gelatin coated tablet. |
| 479, | for a saccharide coated tablet. |
| 491, | for protein coated particles. |
| 492, | for gelatin coated particles. |
| 493, | for saccharide coated particles. |
| 499, | for protein or saccharide impregnated particles. |
|
| | |
419 | Natural or synthetic resin: |
| | This subclass is indented under subclass 417. Subject matter in which the coating or core is a natural
or synthetic resin.
SEE OR SEARCH THIS CLASS, SUBCLASS:
| 414, | for a synthetic resin foil coated or impregnated
with a biocide. |
| 443, | for a synthetic resin web sheet or filament base, bandage
or dressing with an incorporated medicament. |
| 462, | for a sustained or differential release capsule
containing discrete particles coated with a synthetic resin. |
| 482, | for a tablet coated with a solid synthetic resin. |
| 497, | for a synthetic resin coated particle. |
| 501, | for a synthetic resin impregnated particle. |
|
| | |
422 | Implant or insert: |
| | This subclass is indented under subclass 400. Subject matter in which the composition is in a special
physical form to adapt for implanting or inserting in the living
body wherein the composition releases an active pharmaceutical ingredient
in a sustained or differential manner.
| | (1)
Note. Where a patent claims dosage units (in
the absence of more comprehensive or controlling claims); e.g., a tablet
comprising (or containing) 15 grains of compound
X", and in the absence of any structural limitations, definite
shape, surface deformation, etc., the
original has been placed with the compound. |
SEE OR SEARCH THIS CLASS, SUBCLASS:
| 449, | for a transdermal or percutaneous bandage for sustained
release of a drug. |
| 457, | for a sustained or differential release composition
is a capsule. |
| 468, | for a sustained or differential release tablet. |
SEE OR SEARCH CLASS:
| 604, | Surgery,
subclass 502 for methods of administering a therapeutic material with
a subcutaneous implant. |
|
| | |
424 | Membrane or diffusion barrier: |
| | This subclass is indented under subclass 423. Subject matter in which the sustained or differential release
of active pharmaceutical takes place through a membrane or diffusion
barrier.
SEE OR SEARCH CLASS:
| 604, | Surgery,
subclass 501 for methods of performing iontophoretic treatment. |
|
| | |
425 | Diffusion barrier is matrix: |
| | This subclass is indented under subclass 424. Subject matter in which the diffusion barrier is a matrix.
SEE OR SEARCH THIS CLASS, SUBCLASS:
| 469+, | for matrix containing tablets. |
| 484+, | for orally ingestable matrixes. |
|
| | |
426 | Errodable, resorbable, or dissolving: |
| | This subclass is indented under subclass 423. Subject matter in which the surgical implant or material
is errodable, resorbable, or dissolving.
SEE OR SEARCH THIS CLASS, SUBCLASS:
| 428, | for an errodable, resorbable, or
dissolving ocular depot or matrix. |
| 444, | for a web sheet or filament base or bandage that
is resorbable by the body. |
|
| | |
427 | Ocular: |
| | This subclass is indented under subclass 422. Subject matter in which special physical form is intended
and adapted for placement between the surface of the eye the conjunctiva
or between the surface of the eye and a lacrimal gland.
| | (1)
Note. This subclass contains therapeutic devices
which are inserted into the opening of a lacrimal gland for the
purpose of using the tears secreted by said gland to dispense the
therapeutic material. |
SEE OR SEARCH CLASS:
| 604, | Surgery,
subclass 290 for a method of applying a body treating material
or removing material from the body surface. Subclasses
294+ for methods of application to the eye or eye socket. |
|
| | |
428 | Bioerrodable, resorbable, or dissolving: |
| | This subclass is indented under subclass 427. Subject matter in which the inserted is errobable, resorbable, or
dissolving.
SEE OR SEARCH THIS CLASS, SUBCLASS:
| 426, | for an errodable, resobable, or
dissolving depot or matrix. |
| 444, | for a web sheet or filament base or bandage that
is resorbable by the body. |
|
| | |
429 | Contact lens: |
| | This subclass is indented under subclass 427. Subject matter in which the special physical form is a coated
or impregnated lens designed to cover the cornea of the eye.
SEE OR SEARCH CLASS:
| 8, | Bleaching and Dyeing; Fluid Treatment
and Chemical Modification of Textiles and Fibers,
subclass 507 for the process of dyeing a contact lens or product
thereof. |
| 351, | Optics: Eye Examining, Vision
Testing and Correcting, appropriate subclasses for methods of and instruments for
fitting contact lenses and for structural features and adaptations
for contact lenses, such as coloring a portion of the lens
to adsorb part of the visible spectrum;
subclasses 159.02 through 159.38for eye contact lens. |
| 422, | Chemical Apparatus and Process Disinfecting, Deodorizing, Preserving, or Sterilizing,
subclasses 1 through 43for generic processes of deodorizing, preserving, or
sterilizing contact lenses or compositions thereof. |
| 510, | Cleaning Compositions for Solid Surfaces, Auxiliary
Compositions Therefor, or Processes of Preparing the Compositions,
subclasses 112+ for compositions used for the mere cleaning of
contact lenses. |
| 514, | Drug, Bio-Affecting and Body
Treating Compositions, appropriate subclasses for (1) a
contact lens composition which contains a nonbioactive polymer admixed
with a medicament or (2) composition with or without
a nonbioactive polymer used to sterilize a contact lens composition
to reduce or eliminate any eye injury. |
| 523, | Synthetic Resins or Natural Rubbers,
subclass 106 for a composition containing an inactive solid
synthetic polymer intended for manufacturing contact lenses.This
subclass also provides for a contact lens composition containing
its own preserving agent when it is clearly specified and restricted
for that use. |
| 604, | Surgery,
subclass 290 for a method of applying a body treating or removing material
or subclasses 294+ for a method of application to the eye
or eye socket. |
|
| | |
430 | Vaginal, urethral, uterine: |
| | This subclass is indented under subclass 422. Subject matter in which the composition is in a special
physical form intended to be inserted in the female reproductive
tract or the urethra. |
| | |
431 | Tampon: |
| | This subclass is indented under subclass 430. Subject matter in which the special physical form is coated
or impregnated tampon. |
| | |
432 | IUD or ring: |
| | This subclass is indented under subclass 430. Subject matter in which the special physical form is a structured
article intended for insertion in the uterus. |
| | |
435 | Mouth: |
| | This subclass is indented under subclass 434. Subject matter in which mucosal surface is in the mouth. |
| | |
437 | Otic: |
| | This subclass is indented under subclass 422. Subject matter in which the special physical form is intended
and adapted for placement in the ear canal. |
| | |
438 | Specially adapted for ruminant animal: |
| | This subclass is indented under subclass 400. Subject matter in which the special physical form is a coated
or impregnated product that is claimed or disclosed as useful in
the treatment of ruminant animals.
| | (1)
Note. This subclass provides for tablets, capsules, etc., that
are typically adapted to be retained in part of the ruminant animals
digestive system in the rumino-reticular sac. |
SEE OR SEARCH THIS CLASS, SUBCLASS:
| 442, | for animal food as a carrier for a pharmaceutical. |
|
| | |
439 | Food or edible as carrier for pharmaceutical: |
| | This subclass is indented under subclass 400. Subject matter in which the special physical form is a coated
or impregnated food or edible which serves as a means of administering
a pharmaceutical.
| | (1)
Note. For Disposition of Foods, see the Search
Class note below. |
SEE OR SEARCH CLASS:
| 426, | Foods or Edible Material: Processes, Compositions, and
Products, provides for compositions intended to nourish an
animal by natural oral ingestion, which an contain an additive
necessary to maintain the normal metabolism of the animal; e.g., vitamins, minerals, amino
acids, etc. Class 424 provides for compositions intended
to nourish an animal when such compositions are designed to be administered
to the animal by routes other than the oral cavity; e.g., by
rectal or parenteral injection, or via a tube through the
alimentary tract or stomach wall. However, a
food or beverage containing a biocide as a preservative therefore
will be classified as original in Class 426. Class 424
also provides for methods of preserving Class 426 products when
said methods are no more than the mere use of biocides.
Class 424 further provides for food or beverage compositions containing
an animal growth regulator or other anabolic agents. For
purposes of classification an animal growth regulator or anabolic agent
is defined to include the following illustrative causative effects: (a) increase
feed efficiency or weight gain; (b) enhance
color or egg yolks, combs, skin or legs of chickens; (c) enhance
the hatchability of eggs; (d) vary the
fat-protein ratio or texture of flesh; (e) chemically
caponize an animal, etc. |
|
| | |
440 | Candy, candy coated or chewing gum: |
| | This subclass is indented under subclass 439. Subject matter in which the coated or impregnated food or
edible is candy, candy coated or is chewing gum.
| | (1)
Note. This sublcass includes compositions under
the class definition which are specifically disclosed to be in a
chewing gum form, that is containing a chewable ingredient
generally insoluble in the saliva which is usually disclosed to
function as the carrier or vehicle for the active ingredient. |
SEE OR SEARCH THIS CLASS, SUBCLASS:
| 418, | for a saccharide coated biocidal particle. |
| 459, | for a sustained or differential release capsule
containing discrete particles coated with a natural gum or resin. |
| 461, | for a sustained or differential release capsule
containing discrete particles coated with a saccharide. |
| 479, | for a saccharide coated tablet. |
| 481, | for a tablet coated with a natural gum or resin. |
| 493, | for saccharide coated particles. |
| 496, | for a natural gum or resin coated particle. |
| 499, | for saccharide impregnated particles. |
| 500, | for natural gum or resin impregnated particles. |
|
| | |
441 | Chewable tablet or wafer: |
| | This subclass is indented under subclass 439. Subject matter in which the coated or impregnated food or
edible is in the form of a chewable tablet or wafer.
SEE OR SEARCH THIS CLASS, SUBCLASS:
| 464, | for tablets intended to be swallowed. |
|
| | |
442 | Animal food: |
| | This subclass is indented under subclass 439. Subject matter in which the coated or impregnated food or
edible is intended to be consumed by a nonhuman animal. |
| | |
443 | Web, sheet or filament bases; compositions of
bandages; or dressings with incorporated medicaments: |
| | This subclass is indented under subclass 400. Subject matter in which the special physical form contains
a coated, impregnated of two layer web, sheet, a
filament or is a coated or impregnated bandage or dressing.
| | (1)
Note. This subclass provides for physical forms
wherein the coated or impregnated base or substrate is of a length
or width which is proportionately larger than the thickness thereof; e.g., woven textile
material, felted self sustaining mat, film, continuous
or indeterminate length filament, synthetic resin film, leather, etc.
Fibers nominally recited are excluded from this subclass. |
| | (2)
Note. A web sheet or filament base coated with a
compound or composition merely to preserve the base against biological
attack is excluded from this and indented subclasses (see
SEARCH CLASS below). |
| | (3)
Note. This and indented subclasses provide only
for articles having a maximum of two layers and lacking sufficient structure
to be placed in other classes based on structure (see SEARCH CLASS
below). |
SEE OR SEARCH THIS CLASS, SUBCLASS:
| 414+, | for a synthetic resin foil coated or impregnated
with a biocide. |
| 419, | for a biocidal particle coated with a synthetic
resin. |
| 462, | for a sustained or differential release capsule
containing discrete particles coated with a synthetic resin. |
| 482, | for a table coated with a solid synthetic resin. |
| 497, | for a synthetic resin coated particle. |
| 501, | for a synthetic resin impregnated particle. |
SEE OR SEARCH CLASS:
| 47, | Plant Husbandry,
subclass 32.5 for a plant guard containing a biocide and subclass
56 for a seed tape containing a biocide, and subclass 56
for a seed tape containing a biocide, claimed in terms
of particular structure or shape, or claimed in combination
with plants or seeds. |
| 57, | Textiles: Spinning, Twisting, and Twining, especially
subclass 200 and 241 for a yarn, cord or cable which
is coated or impregnated with a compound composition to protect
the yarn, cord or cable against biological attack. |
| 162, | Paper Making and Fiber Liberation,
subclass 161 for a process of making paper wherein a biocide
is used in the process and the resulting product containing a biocide
wherein the biocide protects the product from biological attack. |
| 428, | Stock Material or Miscellaneous Articles, appropriate subclasses for a stock material product in
the form of a single or plural layer web or sheet of the type therein
provided, and for which there is no other provision and which
is coated or impregnated with a compound or composition to protect the
article against biological attack, see
subclass 607 (a cross-reference art collection) for
a product which has been treated to be resistant against plant or
nasal attack. An article impregnated with a biocide and
not containing structure (e.g., size
or apertures) and not elsewhere provided (e.g., Class
428, sublcasses 540+) will be classified
in Class 424. Class 428 provides for a claim to a coated
or impregnated article, not otherwise provided for, which
comprises a base preserved by a composition or compound which has
a Class 424 utility, (e.g., mothproofed
textile or termite proofed wood). Class 424 provides for
a claim to a base coated with a compound or composition which has a
Class 424 utility and in which the base function as a carrier for
the active material (e.g., medicated
applicator or mosquito repellent fabric). Class
424 also provides for a claim to a coated dosage unit containing
a substance having a Class 424 utility. Class 128, provides
for bandages, body-applicators or body dressing which
contain a medicine and are claimed in terms of more structure than a randomly distributed
single layer on a base material or randomly impregnated base material.
For example, Class 128 takes a base material wherein certain
portions thereof are impregnated with an adhesive and other portions
are impregnated with a Class 424 medicine at those places where
there is no adhesive backing on a gauze impregnated with a Class
424 composition, etc. Class 128 also provides
for a bandage, body applicator or body dressing containing
a Class 424 composition and which is claimed in terms of specific
structure; e.g., pore size, thickness, length, width, etc.
Class 424 takes bandages, body applicator or body dressing
which contains a specific or nominally recited medicinal ingredient
which is either randomly distributed
in a singly layer on a base material or randomly impregnated
in a base material. |
|
| | |
445 | Dressings: |
| | This subclass is indented under subclass 443. Subject matter in which the web or filament base is intended
to be used to cover an open wound but is without means to hold the
base in place over the wound.
| | (1)
Note. This subclass consists primarily of older
patents to materials used to cover wounds. | |
| | |
447 | Bandages with incorporated medicaments: |
| | This subclass is indented under subclass 443. Subject matter in which the bandage or dressing is coated
or impregnated with a pharmaceutical material.
SEE OR SEARCH CLASS:
| 128, | Surgery, appropriate subclasses for apparatus for treating
abnormal conditions of the human body. Class 128, also
provides for medicated applicators; e.g., bandages, etc., claimed
in terms of more structure than a coating or a base. |
| 604, | Surgery,
subclasses 304 through 308for subject matter of that class including a bandage
pad or shield placed on the body for sustained treatment thereof. |
|
| | |
448 | Pressure sensitive adhesive means: |
| | This subclass is indented under subclass 447. Subject matter in which the bandage has a pressure sensitive
adhesive as one layer on all or part of the bandage.
SEE OR SEARCH CLASS:
| 604, | Surgery,
subclass 307 for subject matter of that class wherein the bandage pad
or shield is adhesively secured to the body. Subclasses
386, 389 and 390 for adhesive sued to attach an absorbent
pad during use. |
|
| | |
449 | Transdermal or percutaneous: |
| | This subclass is indented under subclass 447. Subject matter in which the bandage of dressing is designed
to permit passage of a medicament through the skin of a living body
by absorption through the skin without preliminary puncture or abrasion.
SEE OR SEARCH THIS CLASS, SUBCLASS:
| 422+, | for an implant or insert for sustained releases
of a drug. |
| 457, | for a sustained or differential release composition
in a capsule. |
| 468, | for a sustained or differential release capsule. |
|
| | |
450 | Liposomes: |
| | This subclass is indented under subclass 400. Subject matter in which the special physical form is a pharmaceutical
substance contained in a lipid bilayer.
SEE OR SEARCH CLASS:
| 436, | Chemistry: Analytical and Immunological
Testing,
subclass 829 for an art collection of liposomes containing immunological
materials. |
|
| | |
451 | Capsules (e.g., of
gelatin, of chocolate, etc.): |
| | This subclass is indented under subclass 400. Subject matter in which the special physical form includes
a capsule.
| | (1)
Note. A capsule is a preformed hard or soft, soluble
container or shell which is filled with a pharmaceutical in particulate
or liquid form. |
| | (2)
Note. Where a patent claims dosage units (in
the absence of more comprehensive or controlling claims as indicated
below) e.g., "a tablet
comprising (or containing) 15 grains of compound X", and
in the absence of any structural limitations, definite
shape, surface deformation, etc., the
original has been place with the compound. |
SEE OR SEARCH CLASS:
| 128, | Surgery, appropriate subclasses for a capsule or pill, not
specifically provided for elsewhere, that must be broken
prior to use to empty its contents, even if said capsule
or pill contains a specific medicine. This includes an inhalant
capsule. |
| 424, | Drug, Bio-Affecting and Body
Treating Compositions, appropriate subclasses take a medicine in the form
of a capsule or pill that is ingested, as well as a method
of using an inhalant capsule by squeezing said capsule to liberate
the enclosed medicine. Class 128, provides for
a dosage unit; e.g., suppository, etc., shaped
to fit a particular body cavity, even it the active ingredients
are claimed specifically. |
| 206, | Special Receptacle or Package, appropriate subclasses provides for a dosage unit
made up of a therapeutic material or article and a container, where
the container is intended to be physically removed from the therapeutic
material or article; e.g., a wrapped
pill or capsule, etc. |
| 424, | Drug, Bio-Affecting and Body
Treating Compositions, appropriate subclasses takes a structured dosage
unit which is intended to be used as a whole without disassembly
or removal of a part; e.g., unwrapping, etc.
Examples of dosage units provided for in Class 424 are a capsule filled
with coated particulate material intended to be swallowed whole, and a
filled soluble, gelatin container intended to be dissolved in toto in water or other liquid. |
|
| | |
453 | Telescoping two piece: |
| | This subclass is indented under subclass 451. Subject matter in which the capsule consists of two sections, one
slipping over the other, completely surrounding the drug
formulation. |
| | |
454 | With tamperproof, locking, or sealing
feature: |
| | This subclass is indented under subclass 453. Subject matter in which the telescoping two picece capsule
has a feature indicating that the capsule has been opened after
filling or a feature that prevents the capsule from being opened
after filling without destruction of all or part of the capsule. |
| | |
456 | Gelatin: |
| | This subclass is indented under subclass 451. Subject matter in which the capsule is made of a gelatin
containing composition.
| | (1)
Note. Typically sugar, water and sulfur dioxide
are added to the gelatin of the capsule as an aid in manufacture, filling or
as a preservative. |
SEE OR SEARCH THIS CLASS, SUBCLASS:
| 418, | for a protein coated biocidal particle. |
| 460, | for a sustained or differential release capsule
containing discrete particles coated with a protein. |
| 476, | for particles coated with gelatin. |
| 477+, | for a protein coated tablet. |
| 478, | for a pill or tablet coated with gelatin. |
| 491, | for protein coated particles. |
| 492, | for gelatin coated particles. |
| 499, | for particles impregnated with a protein. |
|
| | |
457 | Sustained or differential release: |
| | This subclass is indented under subclass 451. Subject matter in which the timing or spacing of administration
or absorption of an active ingredient in a system, (e.g., animal
body) is regulated by the structure or physical arrangement
of elements so that a single administration provides: (a) a
gradual but continuous feeding of the active ingredient to the system by
slow release or (b) discontinuous feeding in two
or more distinct stages.
| | (1)
Note. An enteric coated medicament, per
se, is not considered to be within the scope of this or
the indented subclasses. Such a product, generally
is a form, or with a coating designed to enable physical
passage through or to resist the acid gastric juices for eventual
dissolution or use through or in intestines, is classified elsewhere
below, for example, on the basis of the particular
disclosed enteric coating. Patents placed in this subclass, however, may
claim an enteric coating in addition to
a sustained release or differential release mechanism as defined. |
| | (2)
Note. An claimed composition which does not recite
structure, but is disclosed to have a sustained release
or differential release action, is classified elsewhere according
to the nature of the ingredients therein, see, for
example, subclass 78.01 which provides for the
combination of an active ingredient bound to an ion exchange type
synthetic resin or subclass 48 in which active ingredients distributed
homogeneously throughout a chewing gum base are released progressively therefrom
by chewing and mixing with saliva. |
SEE OR SEARCH THIS CLASS, SUBCLASS:
| 422+, | for an implant or insert for sustained release of
a drug. |
| 449, | for a transdermal or percutaneous bandage for sustained
release of a drug. |
| 468, | for a sustained or differential release tablet. |
|
| | |
458 | Containing discrete coated particles, pellets, granules, or
beads: |
| | This subclass is indented under subclass 457. Suject matter in which the capsule contains discrete coated
particles, pellets, granules or beads.
| | (1)
Note. This and the indented subclasses are intended
to provide for capsules filled with small fluent particles of relatively
small size compared to the capsule. |
| | (2)
Note. This subclass will provide for particles having
an inorganic coating. |
SEE OR SEARCH THIS CLASS, SUBCLASS:
| 414+, | for a synthetic resin foil coated or impregnated
with a biocide. |
| 419, | for a biocidal particle coated with a synthetic
resin. |
| 443, | for a synthetic resin web sheet filament base, bandage
or dressing with an incorporated medicament. |
| 462, | for a sustained or differential release capsule
containing discrete particles coated with a synthetic resin. |
| 482, | for a tablet coated with a solid synthetic resin. |
| 497, | for a synthetic resin coated particle. |
|
| | |
459 | Organic coatings: |
| | This subclass is indented under subclass 458. Subject matter in which the particles contained in the capsule
are coated with an organic chemical containing material.
| | (1)
Note. This subclass would provide for coatings containing
natural gums or resins. |
SEE OR SEARCH THIS CLASS, SUBCLASS:
| 440, | for a chewing gum containing a natural gum. |
| 481, | for a tablet coated with a natural gum or resin. |
| 496, | for a natural gum or resin coated particle. |
| 500, | for natural gum or resin impregnated particles. |
|
| | |
460 | Containing proteins or derivatives thereof (e.g., gelatin, etc.): |
| | This subclass is indented under subclass 459. Subject matter in which the particles contained in the capsule
are coated with a protein or compositon containing a protein or
a protein derivative.
SEE OR SEARCH THIS CLASS, SUBCLASS:
| 418, | for a protein coated biocidal particle. |
| 456, | for a gelatin capsule. |
| 477+, | for a protein coated tablet. |
| 478, | for a gelatin containing gelatin coated tablet. |
| 491, | for protein coated particles. |
| 492, | for gelatin coated particles. |
| 499, | for protein impregnated particles. |
|
| | |
461 | Containing polysaccharide (e.g., cellulose sugars, etc.): |
| | This subclass is indented under subclass 459. Subject matter in which the particles contained in the capsule
are coated with a saccharide or a composition containing a saccharide.
| | (1)
Note. This subclass provides for cellulose and
cellulose derivatives. |
SEE OR SEARCH THIS CLASS, SUBCLASS:
| 418, | for a saccharide coated biocidal particle. |
| 440, | for candy, candy coated pharmaceuticals
or chewing gum. |
| 479, | for a saccharide coated tablet. |
| 493, | for saccharide coated particles. |
| 499, | for saccharide impregnated particles. |
|
| | |
462 | Containing solid synthetic polymers: |
| | This subclass is indented under subclass 459. Subject matter in which the particles contained in the capsule
are coated with a solid synthetic resin.
SEE OR SEARCH THIS CLASS, SUBCLASS:
| 414, | for a synthetic resin foil coated or impregnated
with a biocide. |
| 419, | for a biocidal particle coated with a synthetic
resin. |
| 482, | for a tablet coated with a solid synthetic resin. |
| 493, | for a synthetic resin web sheet or filament base, bandage
or dressing with an incorporated medicament. |
| 501, | for a synthetic resin impregnated particle. |
|
| | |
464 | Tablets, lozenges, or pills: |
| | This subclass is indented under subclass 400. Subject matter in which the special physical form is a tablet, lozenge
or pill.
| | (1)
Note. A tablet is made by compressing a drug and
an inert binder such as starch or lactose into a hard self sustaining mass.
A pill is in obsolete dosage form made by rolling the drug and a
binder into a sphere. A lozenge or troche is a flavored
tablet intended to dissolve slowly when held in the mouth. |
| | (2)
Note. In the indented subclasses tablet should be
understood to include pills, lozenges or troches. |
| | (3)
Note. Where a patent claims dosage units (in
the absence of more comprehensive or controlling claims) e.g., "a tablet
comprising (or containing) 15 grains of compound
X", and in the absence of any structural limitations, definite
shape, surface deformation, etc., the
orignal has been placed with the compound. |
SEE OR SEARCH CLASS:
| 128, | Surgery, appropriate subclasses provides for a capsule or
pill, not specifically provided for elsewhere, that must
be broken prior to use to empty its contents, even if said
capsule or pill contains a specific medicine. This includes
an inhalant capsule. |
| 424, | Drug, Bio-Affecting and Body
Treating Compositions, appropriate subclasses takes a medicine in the form
of a capsule or pill that is ingested, as well as a method
of using an inhalant capsule by squeezing said capsule to liberate
the enclosed medicine. Class 128, provides for
a dosage unit; e.g., suppository, etc., shaped
to fit a particular body cavity, even if the active ingredients
are claimed specifically. |
| 208, | Mineral Oils: Processes and Products, appropriate subclasses provides for a dosage unit
made up of a therapeutic material or article and a container, where
the container, where the container is intended to be physically removed
from the therapeutic material on article; e.g., a
wrapped pill or capsule, etc. Class 424, takes
a structured dosage unit which is intended to be used as a whole
without disassembly or removal of a part; e.g., unwrapping. Examples
of dosage units provided to in Class 424 are a capsule filled with coated
particulate material intended to be swallowed whole, and
a filled soluble, gelatin container intended to be dissolved in toto in water or other liquid. |
|
| | |
466 | Effervescent: |
| | This subclass is indented under subclass 464. Subject matter in which a tablet is claimed or disclosed
which is capable of producing bubbles or effervescence by a chemical
reaction, a tablet or contains a pressurized fluid.
| | (1)
Note. Compositions which are disclosed as having
volatile ingredient, per se, or which merely by
being in particulate or liquid form may be sprayed or diffused by
the simple application of externally applied air pressure or heat
are classified elsewhere on the basis of the active component or
components in said composition. |
SEE OR SEARCH THIS CLASS, SUBCLASS:
| 43+, | for compositions which produce bubbles or effervescence
or use a pressurized gas as a propellent. |
|
| | |
467 | Printed, embossed, grooved, or
perforated: |
| | This subclass is indented under subclass 464. Subject matter in which the tablet is printed, embossed, grooved
or perforated.
| | (1)
Note. Typically the tablets of this subclass have
an indicia or are shaped to permit the tablet to be divided easily. |
SEE OR SEARCH CLASS:
| D24, | Medical and Laboratory Equipment,
subclasses 100 through 104which provides for design patents for pharmaceutical
products. |
|
| | |
468 | Sustained or differential release type: |
| | This subclass is indented under subclass 464. Subject matter in which the timing or spacing of administration
or absorption of an active ingredient in a system (e.g., animal
body) is regulated by the structure or physical arrangement
of elements so that a single administration provides: (a) a
gradual but continuous feeding of the active ingredient to the system by
slow release or (b) discontinuous feeding in two
or more distinct stages.
| | (1)
Note. An enteric coated medicament, per
se, is not considered to be within the scope of this or
the indented subclasses. Such a product, generally
is a form, or with a coating, designed to enable
physical passage through or to resist the acid gastric juices for
eventual dissolution or use through or in the intestines, is
classified elsewhere below, for example, on the
basis of the particular disclosed enteric coating. Patents
placed in this subclass, however, may claim an
enteric coating. Patents placed in this subclass, however, may
claim an enteric coating in addition to
a sustained release or differential release mechanism as defined. |
| | (2)
Note. A claimed composition which does not recite
structure, but is disclosed to have a sustained release
or differential release action, is classified elsewhere according
to the nature of the ingredients therein, see, for
example, subclass 78.01 which provides for the
combination of an active ingredient bound to an ion exchange type
synthetic resin or subclass 48 in which active ingredients distributed
homogeneously throughout a chewing gum base are released progressiviely therefrom
by chewing and mixing with saliva. |
SEE OR SEARCH THIS CLASS, SUBCLASS:
| 422+, | for an implant or insert for sustained release of
a drug. |
| 449, | for a transdermal or percutaneous bandage for sustained
release of a drug. |
| 457, | for a sustained or differential release composition
in a capsule. |
|
| | |
469 | Discrete particles in supporting matrix: |
| | This subclass is indented under subclass 468. Subject matter in which discrete soluble particles of the
active ingredient are positioned or dispersed in a solid, generally
insoluble matrix from which said particles are leached sequentially
under conditions of use from the outside portions of the matrix
inwardly.
SEE OR SEARCH THIS CLASS, SUBCLASS:
| 458+, | for a capsule containing discrete coated particles. |
| 484+, | for a matrix containing a drug. |
| 489+, | for coated or impregnated particles carrying a drug. |
|
| | |
472 | Layered unitary dosage forms: |
| | This subclass is indented under subclass 468. Subject matter in which the tablet contains at least one
layer completely covering the core or is composed of multiple layers
of differing release properties. |
| | |
477 | Containing proteins or derivatives thereof: |
| | This subclass is indented under subclass 475. Subject matter in which the coating is or contains a protein
or derivative thereof.
SEE OR SEARCH THIS CLASS, SUBCLASS:
| 418, | for a protein coated biocidal particle. |
| 456, | for a gelatin capsule. |
| 460, | for a sustained or differential release capsule
containing discrete particles coated with a protein. |
| 478, | for a gelatin coated tablet. |
| 491, | for protein coated particles. |
| 492, | for gelatin coated particles. |
| 499, | for protein impregnated particles. |
|
| | |
478 | Gelatin containing: |
| | This subclass is indented under subclass 477. Subject matter in which the protein is gelatin.
SEE OR SEARCH THIS CLASS, SUBCLASS:
| 418, | for a protein coated biocidal particle. |
| 456, | for a gelatin capsule. |
| 460, | for a sustained or differential release capsule
containing discrete particles coated with a protein. |
| 477, | for a protein coated tablet. |
| 491, | for protein coated particles. |
| 492, | for gelatin coated particles. |
| 499, | for protein impregnated particles. |
|
| | |
479 | Containing polysaccharide (e.g., sugar, etc.): |
| | This subclass is indented under subclass 475. Subject matter in which the coating is or contains a polysaccharide.
SEE OR SEARCH THIS CLASS, SUBCLASS:
| 418, | for a saccharide coated biocidal particle. |
| 440, | for candy, candy coated pharmaceuticals
or chewing gum. |
| 461+, | for a sustained or differential release capsule
containing discrete particles coated with a saccharide. |
| 493, | for saccharide coated particles. |
| 499, | for saccharide impregnated particles. |
|
| | |
480 | Cellulose or derivative: |
| | This subclass is indented under subclass 479. Subject matter in which the coating is cellulose of a derivative
thereof.
SEE OR SEARCH THIS CLASS, SUBCLASS:
| 413, | for cellulosic packaging or building material. |
| 461, | for a sustained or differential release capsule
containing discrete particles coated with cellulose or a cellulose derivative. |
| 494, | for a cellulose or cellulose derivative coated particle. |
| 499, | for cellulose or cellulose derivative impregnated
particles. |
|
| | |
481 | Containing natural gums or resins: |
| | This subclass is indented under subclass 475. Subject matter in which the coating is or contains a natural
gum or resin.
SEE OR SEARCH THIS CLASS, SUBCLASS:
| 440, | for a chewing gum containing a natural gum. |
| 459, | for a sustained or differential release capsule
containing discrete particles coated with a natural gum or resin. |
| 496, | for a natural gum or resin coated particle. |
| 500, | for natural gum or resin impregnated particles. |
SEE OR SEARCH CLASS:
| 128, | Surgery, appropriate subclasses for apparatus for treating
abnormal conditions of the human body. Class 128 also
provides for medicated applicators; e.g., bandages, etc., claimed
in terms of more structure than a coating or a base. |
|
| | |
482 | Containing solid synthetic polymers: |
| | This subclass is indented under subclass 475. Subject matter in which the coating is or contains solid
synthetic polymer.
SEE OR SEARCH THIS CLASS, SUBCLASS:
| 414+, | for a synthetic resin foil coated or impregnated
with a biocide. |
| 419, | for a biocidal particle coated with a synthetic
resin. |
| 443, | for a synthetic resin web sheet or filament base, bandage
or dressing with an incorporated medicament. |
| 462, | for a sustained or differential release capsule
containing discrete particles coated with a synthetic resin. |
| 497, | for a synthetic resin coated particle. |
| 501, | for a synthetic resin impregnated particle. |
|
| | |
484 | Matrices: |
| | This subclass is indented under subclass 400. Subject matter in which the special physical form includes
a reticulated net work of material from which the drug is eluted
or released by dissolution of the reticulated network physically
holding the drug.
SEE OR SEARCH THIS CLASS, SUBCLASS:
| 469+, | for a tablet containing discrete particles in a
supporting matrix. |
| 489+, | for coated or impregnated particles carrying a drug. |
|
| | |
490 | Coated (e.g., microcapsules): |
| | This subclass is indented under subclass 489. Subject matter in which the particle is coated.
SEE OR SEARCH CLASS:
| 264, | Plastic and Nonmetallic Article Shaping or Treating:
Processes,
subclasses 4.1 through 4.7for processes of encapsulation of a material which is
liquid involving the formation of microspheres. |
| 427, | Coating Processes,
subclasses 213.3+ for processes of forming a microcapsule or the
processes of solid encapsulation utilizing an emulsion or dispersion
to form a solid walled microcapsule. |
| 428, | Stock Material or Miscellaneous Articles,
subclass 402 and indented subclasses 402.2+ for
patents to coated or encapsulated products of general utility which
recite a term; e.g., encapsulation, microencapsulation, sphere, microsphere, capsule
microcapsule, etc., which give evidence
for the product being a microcapsule. Subclass 402 provides
an extensive listing to other classes providing for coated or impregnated
articles or materials. |
|
| | |
491 | Containing proteins and derivatives: |
| | This subclass is indented under subclass 490. Subject matter in which the particle is coated with a protein
or derivative thereof.
SEE OR SEARCH THIS CLASS, SUBCLASS:
| 418, | for a protein coated biocidal particle. |
| 456, | for a gelatin capsule. |
| 460, | for a sustained or differential release capsule
containing discrete particles coated with a protein. |
| 477+, | for a protein coated tablet. |
| 478, | for a protein coated tablet. |
| 492, | for gelatin coated particles. |
| 499, | for protein impregnated particles. |
|
| | |
492 | Gelatin: |
| | This subclass is indented under subclass 491. Subject matter in which the protein is gelatin.
SEE OR SEARCH THIS CLASS, SUBCLASS:
| 418, | for a protein coated biocidal particle. |
| 456, | for a gelatin capsule. |
| 460, | for a sustained or differential release capsule
containing discrete particles coated with a protein. |
| 477+, | for a protein coated tablet. |
| 478, | for a gelatin coated tablet. |
| 491, | for protein coated particles. |
| 499, | for protein impregnated particles. |
|
| | |
493 | Containing polysaccharides (e.g., sugars): |
| | This subclass is indented under subclass 490. Subject matter in which the particles are coated with a
polysaccharide.
SEE OR SEARCH THIS CLASS, SUBCLASS:
| 418, | for a saccharide coated diocidal particle. |
| 440, | for candy, candy coated pharmaceuticals
or chewing gum. |
| 461, | for a sustained or differential release capsule
containing discrete particles coated with a saccharide. |
| 479, | for a saccharide coated tablet. |
| 499, | for saccharide impregnated particles. |
|
| | |
496 | Containing natural gums/resins: |
| | This subclass is indented under subclass 490. Subject matter in which the particles are coated with a
natural gum or resin.
SEE OR SEARCH THIS CLASS, SUBCLASS:
| 440, | for a chewing gum containing a natural gum. |
| 459, | for a sustained or differential release capsule
containing discrete particles coated with a natural gum or resin. |
| 481, | for a tablet coated with a natural gum or resin. |
| 500, | for natural gum or resin impregnated particles. |
|
| | |
497 | Containing solid synthetic polymers: |
| | This subclass is indented under subclass 490. Subject matter in which the particles are coated with a
solid synthetic resin.
SEE OR SEARCH THIS CLASS, SUBCLASS:
| 414+, | for a synthetic resin foil coated or impregnated
with a biocide. |
| 419, | for a biocidal particle coated with a synthetic
resin. |
| 443, | for a synthetic resin web sheet or filament base, bandage
or dressing with an incorporated medicament. |
| 462, | for a sustained differential release capsule containing
discrete particles coated with a synthetic resin. |
| 482, | for a tablet coated with a solid synthetic resin. |
| 501, | for a synthetic resin impregnated particle. |
|
| | |
499 | Contains proteins or derivative or polysaccharides or derivative: |
| | This subclass is indented under subclass 489. Subject matter in which the particle is impregnated with
a protein or derivative or a polysaccharide or derivative.
SEE OR SEARCH THIS CLASS, SUBCLASS:
| 418, | for a protein or saccharide coated biocidal particle. |
| 440, | for candy, candy coated pharmaceuticals
or chewing gum. |
| 456, | for a gelatin capsule. |
| 460, | for a sustained or differential release capsule
containing discrete particles coated with a protein. |
| 461+, | for a sustained or differential release capsule
containing discrete particles coated with a saccharide. |
| 477+, | for a protein coated tablet. |
| 478, | for a gelatin coated tablet. |
| 479, | for a saccharide coated tablet. |
| 480, | for a tablet coated with cellulose or a cellulose
derivative. |
| 491, | for protein coated particles. |
| 492, | for gelatin coated particles. |
| 493, | for saccharide coated particles. |
| 494, | for a cellulose or cellulose derivative coated particle. |
|
| | |
500 | Contains natural gums and resins: |
| | This subclass is indented under subclass 489. Subject matter in which the particles are impregnated with
a natural gum or resin.
SEE OR SEARCH THIS CLASS, SUBCLASS:
| 440, | for a chewing gum containing a natural gum. |
| 459, | for a sustained or differential release capsule
containing discrete particles coated with a natural gum or resin. |
| 481, | for a tablet coated with a natural gum or resin. |
| 496, | for a natural gum or resin coated particle. |
|
| | |
520 | EXTRACT, BODY FLUID, OR CELLULAR MATERIAL
OF UNDETERMINED CONSTITUTION DERIVED FROM ANIMAL IS ACTIVE INGREDIENT: |
| | This subclass is indented under the class definition. Compositions or products wherein the active ingredient is
an animal tissue extract, animal body fluid, or
animal material containing cellular structure of undetermined chemical constitution, i.e., the
chemical structure of said animal derived material has not been
sufficiently established to classify said material elsewhere.
| | (1)
Note. Patents are classified in this and indented
subclasses on the basis of the first active ingredient in the composition and
on the basis of the immediate source of the animal material; e.g., certain
constituents of urine may originate in the kidney, however
the fact that urine is the immediate source of the constituent is deemed
of sufficient significance to place a patent to a urine constituent
in the urine subclass. "Active" denotes
an ingredient having a physiological, pharmacological, or
biological effect. In addition, since many active
ingredients originate in various tissue sources, a search
to be complete, should include the appropriate subclasses
providing for the source of the active ingredient. |
| | (2)
Note. The material derived from an animal may further
be chemically modified or may be in a physical form different from
that initially obtained; e.g., hydrogenated
oil or butter derived from milk, etc. Classification
is on the basis of the initial material derived from the animal. |
| | (3)
Note. Cellular material derived from animal is defined
as a naturally occurring material which still retains a certain amount
of the original tissue structure of the animal. Included
within the term are materials which are chopped, cut, comminuted, pulverized, milled
or sliced. |
| | (4)
Note. An extract is a material considered to be
devoid of original cellular structure. |
| | (5)
Note. Specifically included in this subclass, with
the exception of subject matter directed to arthropods, snakes, mollusks, fetuses
and embryos, is subject matter directed to a whole animal
or unspecified part thereof, i.e., a
whole chopped up fish or a chopped up head of an animal.
Though the whole body or general body part is known to contain multiple
components such as muscle, bone, fat, blood, etc., the
patents are not placed in subclasses directed to the individual
components. They are considered to be general or unspecified
cellular material derived from an animal. |
| | (6)
Note. Many of the patents previously classified
in this and the indented subclasses have been transferred to the
part of Class 514 or Class 530 providing for peptides and proteins. The
patents remaining are patents which contain insufficient information
to decide the chemical nature of the animal derived material.
Before classifying a patent in this and the indented subclasses
standard reference works such as biochemical dictionaries and physiology
texts should be consulted to decide if a named extract is not really
a peptide, protein or saccharide or other chemical compound
of known chemical structure. |
| | (7)
Note. Class 530, subclasses 820-859 provide
a breakdown of organs and materials which are sources for proteins and
peptides. No attempt has been made to cross-reference
these patents here nor have the patents transferred to Class 530 been
cross-referenced back to this and the indented subclasses. |
| | (8)
Note. Disposition of Other Extracts: (A) Class
512, Perfume Compositions, for plant or animal
extracts or essential oils of unknown constitution which are disclosed
as essences, aromatic oils, perfume essence, or
odoriferous essential oils are considered to be compositions for
perfumes even when they are from a single source. Processes
for extracting these mixtures, such as processes of enfleurage, are
also classified in Class 512, unless provided for elsewhere; (B) Class
424, Plant extracts of unknown constitution which are disclosed
as having a medicinal use, with or without other disclosed
uses, are classified in Class 424, subclasses
725-779; (C) Class 426, Extracts
or essential oils of unknown constitution which have traditionally
been employed as flavorings, flavor enhancers, seasoning
agents, food acidulants or condiments are considered compositions
and are classified in Class 426. A specific example is
citrus oil which has been used for centuries as a flavoring agent.
Processes for extracting such mixtures are classified in Class 426, unless
provided for elsewhere, and are not provided for in the
532-570 Series of Classes; (D) Class
530, Animal or plant extracts derived from a single source
so long as identified as a protein or peptide, are classified
in Class 530 even if a Class 424 utility is disclosed or claimed.
A plant or animal extract will be found in Class 424 if it is (a) a
single source material and (b) is of undetermined
chemical constitution, i.e., is
claimed in terms of isolation technique or physical properties. A
recitation as broad as "peptide" is enough to
defeat placement in Class 424 on the basis of utility. |
SEE OR SEARCH THIS CLASS, SUBCLASS:
| 50, | and 94.1+, for a composition
containing an enzyme. |
| 538+, | for unspecified arthropod derived material. |
| 542, | for unspecified snake derived material. |
| 547, | for unspecified mollusk derived material. |
| 582, | for unspecified embryo or fetus derived material. |
| 725 | through 779, for a plant extract or plant material of undetermined
constitution. |
SEE OR SEARCH CLASS:
| 8, | Bleaching and Dyeing; Fluid Treatment
and Chemical Modification of Textiles and Fibers,
subclasses 438 , 439 and 646 for extracts which have been
specifically prepared or treated to fit them for use as organic
coloring material. |
| 71, | Chemistry: Fertilizers,
subclasses 15+ for a fertilizer which contains an animal extract. |
| 203, | Distillation: Processes, Separatory,
subclasses 50+ for extractive distillation processes, per
se, that is, a distillation process carried out
in the presence of a solvent for one or more components of the distilland. |
| 208, | Mineral Oils: Processes and Products,
subclasses 31 and 33+ for processes wherein waxes are
dissolved from mineral oil containing substances; subclass
45 for the solvent extraction of asphalts, tars, pitches, or resins
from mineral oils; subclasses 311+, 390+, and
400+ for processes wherein mineral oils are dissolved from
mineral oil containing substances; and subclass 298 for
processes of refining mineral oils by treating with liquid treating
agents (washing, etc.). |
| 210, | Liquid Purification or Separation,
subclasses 634+ for a process of liquid- liquid extraction
wherein one of the compounds purified is water or if the claims
are broad as to the liquid being purified. |
| 252, | Compositions,
subclasses 319+ for a process of resolving a colloid. |
| 423, | Chemistry of Inorganic Compounds, in particular
subclass 658.5 and subclasses noted thereunder for a process of
leaching, extracting, or dissolving when a process
for purifying an inorganic or nonmetallic compound provided for
in Class 423 is claimed, or when the claims are not limited
and disclosure of purification of a compound for Class 423 and a
compound or composition for that class is present, or a
coclaimed extraction process produces products provided for in each
of a plurality of other classes. |
| 426, | Food or Edible Material: Processes, Compositions, and
Products, particularly
subclass 425 and the noted subclasses thereunder for processes
of making an extract having a Class 426 utility and not provided
for elsewhere. |
| 435, | Chemistry: Molecular Biology and Microbiology,
subclasses 41+ for obtaining an animal extract which involves
a fermentation or culturing step, subclasses 262+ for
processes of utilizing an enzyme or micro-organism to liberate, separate, or
purify a preexisting compound or composition, and subclasses
325+ for methods of propagating or culturing animal cells. |
| 514, | Drug, Bio-Affecting and Body
Treating Compositions, subclasses 1.1-21.92
for a composition containing an active proteinaceous ingredient produced
by or extracted from animal tissue,
subclass 23 for a composition containing an active carbohydrate, and
subclass 169 for a composition containing lanolin or a steroid as
an active ingredient. |
| 520, | Synthetic Resins or Natural Rubbers, appropriate subclass for a protein or biologically
active polypeptide which is part of a synthetic resin or natural rubber. |
| 536, | Organic Compounds,
subclass 21 for heparin. |
| 554, | Organic Compounds,
subclasses 8 through 23and 175-212 for processes and products
thereof which are directed to the recovery, removal or extraction
of fats, oils, waxes or higher fatty acids, or
soaps thereof, from vegetable or animal substances or waste
materials containing the same. |
| 585, | Chemistry of Hydrocarbon Compounds,
subclasses 800+ for processes of separating hydrocarbons, particularly
subclass 833 for forming a hydrocarbon extract as part of a separation
process. |
|
| | |
522 | Separated animal oil or solidified form thereof derived
from animal flesh and other than from liver or dairy type: |
| | This subclass is indented under subclass 520. Subject matter in which the material is a separated animal
oil or solidified form thereof and is other than derived from the
liver of any animal or from a lacteal source.
| | (1)
Note. The term "separated animal oil" denotes
an oil which has been physically or chemically extracted or removed
from its original animal source. |
| | (2)
Note. The term "wool fat" is the
same as lanolin which is chemically a wax rather than a fat.
Subject matter under the class definition directed to lanolin as
the active ingredient is proper for Class 514, subclasses
169+. |
| | (3)
Note. Included in this and the indented subclasses
are neat"s-foot oil, whale oil, mink
oil, etc. |
| | (4)
Note. Fat absent a rendering process is considered
to be adipose tissue and see in particular, subclass 574. |
SEE OR SEARCH THIS CLASS, SUBCLASS:
| 535, | for oils or solidified forms thereof which are derived
from dairy products; e.g., butter, etc. |
| 554+, | for oil derived from liver. |
|
| | |
526 | Lard, rind, or tallow: |
| | This subclass is indented under subclass 522. Subject matter in which the material is or is derived from
an animal fat characterized as lard, rind or tallow.
| | (1)
Note. If the "fat" is not characterized
as lard, rind, or tallow, and no rendering process
is associated with it, placement is elsewhere, in
particular subclass 574 for adipose tissue or fat absent rendering. | |
| | |
528 | Bile, bile acid, bile salt, amniotic
fluid, or ascitic fluid: |
| | This subclass is indented under subclass 520. Subject matter in which the material is or is derived from
bile, bile acids, bile salts, amniotic
fluid or ascitic fluid.
SEE OR SEARCH THIS CLASS, SUBCLASS:
| 551, | for the gall bladder or bile duct. |
| 558, | for other extracts derived from the urogenital system. |
| 582, | for extracts from embryonic structures. |
|
| | |
529 | Blood: |
| | This subclass is indented under subclass 520. Subject matter in which the material is or is derived from
blood.
| | (1)
Note. Included in this subclass are extracts of
fetal blood. |
SEE OR SEARCH THIS CLASS, SUBCLASS:
| 85.1+, | for a composition containing an antibody derived
from blood. |
SEE OR SEARCH CLASS:
| 71, | Chemistry: Fertilizers,
subclass 17 for a fertilizer composition which contains components
derived from blood. |
| 128, | Surgery, for a method of blood transfusion. |
| 210, | Liquid Purification or Separation, appropriate subclass for a significant process of
liquid purification or separation; e.g., dialysis
and centrifugal extraction, etc.; and
for apparatus used in a blood-component separation method. |
| 426, | Food or Edible Material: Processes, Compositions, and
Products, appropriate subclasses for food compositions which
contain blood or components thereof. |
| 435, | Chemistry: Molecular Biology and Microbiology,
subclasses 4+ for a ferment compositionwhich is used in a blood
clotting test; and subclass 2 for a process or composition
for maintaining the viability of blood. |
| 514, | Drug, Bio-Affecting and Body
Treating Compositions,
subclasses 13.5 through 15.3for therapeutic or bio-affecting compositions
containing blood proteins. |
| 530, | Chemistry: Natural Resins or Derivatives; Peptides
or Proteins; Lignins or Reaction Products Thereof,
subclasses 380+ for blood proteins. |
|
| | |
530 | Plasma: |
| | This subclass is indented under subclass 529. Subject matter in which the material is or is derived from
blood plasma.
SEE OR SEARCH CLASS:
| 514, | Drug, Bio-Affecting and Body
Treating Compositions,
subclass 15.3 for therapeutic or bio-affecting
compositions containing plasma proteins. |
|
| | |
531 | Serum: |
| | This subclass is indented under subclass 529. Subject matter in which the material is or is derived from
blood serum. |
| | |
532 | Platelet: |
| | This subclass is indented under subclass 529. Subject matter in which the material is or is derived from
blood platelets. |
| | |
533 | Erythrocyte: |
| | This subclass is indented under subclass 529. Subject matter in which the material is or is derived from
red blood cells.
| | (1)
Note. Included in this subclass are extracts of:Erythroblasts; Erythrocyte Membrane; Erythrocytes; Abnormal; Acanthocytes; Erythrocyte
Inclusions; Heinz Bodies; Megaloblasts; Spherocytes; Reticulocytes | |
| | |
534 | Leucocyte: |
| | This subclass is indented under subclass 529. Subject matter in which the material is or is derived from
leucocytes.
| | (1)
Note. Included in this subclass are extracts of: Granulocytes; Basophils; Eosinophils; Neutrophils; Lymphocytes; Killer
Cells; Killer Cells, Natural; B Lymphocytes; T
Lymphocytes; Helper Cells; T Lymphocytes, Cytotoxic; T Lymphocytes, Regulatory; Suppressor Cells; Lymphocytes, Null; Monocytes | |
| | |
535 | Milk or colostrum (e.g., butter, whey, etc.): |
| | This subclass is indented under subclass 520. Subject matter in which the material is or is derived from
milk or colostrum; e.g., butter, whey, etc.
SEE OR SEARCH CLASS:
| 426, | Food Edible Material: Processes, Compositions, and
Products,
subclasses 34+ for fermented milk products; and subclasses
580+ for lacteal derived products intended to be edible. |
|
| | |
537 | Body fluid or exudate or transudate other than snake venom, feces, urine, or
semen (e.g., lymph, saliva, honey, royal
jelly, digestive juice, etc.): |
| | This subclass is indented under subclass 520. Subject matter in which the material is or is derived from
a body fluid, exudate, or transudate and is other
than snake venom, feces, urine, or semen; e.g., lymph, saliva, honey, royal
jelly, digestive juice, etc.
| | (1)
Note. Included in this subclass are the following
body fluids, exudates, or transudates:Beeswax; Honeycomb; Castoreum; Cerebrospinal
fluid; Cerumen; Gastric Juice; Honeydew; Intestinal Juice; Lymph; Chyle; Mucus; Opaline (molluskan
secretion); Pancreatic Juice; Pericardial
fluid; Peritoneal fluid; Perspiration; Pleural
fluid; Royal Jelly; Sebum; Sputum; Suint; Synovial
fluid; Tear; Venom other than from snake; Vernix
caseose |
SEE OR SEARCH THIS CLASS, SUBCLASS:
| 542, | for snake venom or extracts thereof. |
| 543, | for feces or extracts thereof. |
| 545, | for urine or extracts thereof. |
| 561, | for semen or extracts thereof. |
SEE OR SEARCH CLASS:
| 514, | Drug, Bio-Affecting and Body
Treating Compositions,
subclass 169 for materials wherein lanolin is the active ingredient. |
|
| | |
538 | Derived from arthropod (e.g., insect, spider, crustacea, etc.): |
| | This subclass is indented under subclass 520. Subject matter in which the material is or is derived from
an arthropod.
| | (1)
Note. An arthopod is an animal characterized by
jointed chitinous exoskeleton and jointed legs. Included
in this and the indented subclasses are extracts of the whole body
or parts thereof of spiders; crustacea, such as
lobsters, crabs, shrimps, and crayfish; and
insects, such as fireflies, roaches, fleas, bugs, ants
and beetles. | |
| | |
539 | Bee: |
| | This subclass is indented under subclass 538. Subject matter in which the material is or is derived from
a bee.
SEE OR SEARCH THIS CLASS, SUBCLASS:
| 537, | for honey or royal jelly. |
|
| | |
541 | Cantharide: |
| | This subclass is indented under subclass 538. Subject matter in which the material is an extract of dried
beetles.
| | (1)
Note. Included in this subclass are extracts of
cantharis vesicatoria. |
| | (2)
Note. Synonyms: Spanish fly; blistering fly; blistering
beetle. | |
| | |
543 | Waste or feces (e.g., slaughterhouse
offal, chicken feet, horn, hair, hide, urine, etc.): |
| | This subclass is indented under subclass 520. Subject matter in which the material is or is derived from
waste or feces; e.g., slaughterhouse
offal, chicken feet, horn, hair, hide, urine, etc.
| | (1)
Note. Included in this subclass are fecal matter
or waste parts of butchered animals, such as hooves, feathers, down, fur, etc. |
| | (2)
Note. Hide is defined as a slaughterhouse by-product.
Where the term skin is used, it is considered proper for
this subclass if it is not an intact and functioning piece of skin
as is used for grafting purposes. |
SEE OR SEARCH THIS CLASS, SUBCLASS:
| 574, | for skin which is still intact and functioning, as
that which is used in grafting. |
SEE OR SEARCH CLASS:
| 530, | Chemistry: Natural Resins or Derivatives; Peptides
or Proteins; Lignins or Reaction Products Thereof,
subclass 357 for purified keratin. |
|
| | |
545 | Urine: |
| | This subclass is indented under subclass 543. Subject matter in which the material is or is derived from
urine. |
| | |
546 | Sex hormone: |
| | This subclass is indented under subclass 545. Subject matter in which the material is characterized as
a sex hormone.
| | (1)
Note. Classification here is proper only if the
particular hormone is chemically unidentifiable. |
SEE OR SEARCH CLASS:
| 514, | Drug, Bio-Affecting and Body
Treating Compositions,
subclasses 9.7 through 13.1for sex hormones which are proteins,
subclass 10.2 for peptides or proteins which affect
sex hormones, and subclasses 169-182 for those
which contain a cyclopentanohydrophenanthrene ring system with such
hormones being used as body treating materials. |
| 530, | Chemistry: Natural Resins or Derivatives; Peptides
or Proteins; Lignins or Reaction Products Thereof, the appropriate subclasses for sex hormones which
are proteins. |
| 552, | Organic Compounds,
subclasses 502+ for sex hormones, per se, which
are cyclopentanohydrophenanthrene compounds. |
|
| | |
547 | Derived from mollusk: |
| | This subclass is indented under subclass 520. Subject matter in which the material is or is derived from
a mollusk.
| | (1)
Note. Included in this subclass are clams, mussels, octopus, oysters, snails, slugs
and squid. | |
| | |
549 | Skeleton (e.g., bone, teeth, etc.): |
| | This subclass is indented under subclass 548. Subject matter in which the material is or is derived from
parts of the skeleton or teeth.
| | (1)
Note. Included in this subclass are extracts of
epiphyses. |
| | (2)
Note. Excluded from this subclass are bone marrow
cells isolated from the bone. See subclass 577. | |
| | |
550 | Digestive system (e.g., salivary
gland, etc.): |
| | This subclass is indented under subclass 520. Subject matter in which the material is or is derived from
a part of the digestive system; e.g., salivary
gland, etc.
| | (1)
Note. Included in this and the indented subclasses
are: Biliary Tract; Bile Ducts; Gallbladder; Esophagus | |
| | |
551 | Gastrointestinal system (e.g., intestine, stomach, gall
bladder, etc.): |
| | Subject matter under subclasses 550 in which the material
is or is derived from part of the gastrointestinal system; e.g., intestine, stomach, gall
bladder, etc.
| | (1)
Note. Included in this subclass are the large and
small intestines and parts thereof such as intestinal mucosa, the stomach, and
parts thereof such as gastric mucosa, and bile ducts. | |
| | |
553 | Liver: |
| | This subclass is indented under subclass 551. Subject matter in which the material is or is derived from
liver. |
| | |
554 | Fish liver oil or solidified form thereof: |
| | This subclass is indented under subclass 553. Subject matter in which the material is an oil or solidified
form thereof derived from fish liver.
SEE OR SEARCH CLASS:
| 514, | Drug, Bio-Affecting and Body
Treating Compositions, appropriate subclasses for vitamins; e.g., A
or D, etc., extracted or derived from
a fish liver. |
|
| | |
556 | Pancreas: |
| | This subclass is indented under subclass 551. Subject matter in which the material is or is derived from
pancreas.
| | (1)
Note. Included in this subclass are the Islands
of Langerhans. |
SEE OR SEARCH CLASS:
| 514, | Drug, Bio-Affecting and Body
Treat- ing Compositions,
subclasses 5.9 through 6.6for therapeutic or bio-affecting compositions
containing insulin. |
| 530, | Chemistry: Natural Resins or Derivatives; Peptides
or Proteins; Lignins or Reaction Products Thereof,
subclass 303 for insulin, per se. |
|
| | |
557 | Respiratory system (e.g., lung, etc.): |
| | This subclass is indented under subclass 520. Subject matter in which the material is or is derived from
part of the respiratory system.
| | (1)
Note. Included in this subclass are lung, larynx, nasal
cavity, paranasal sinuses, pleura and trachea. | |
| | |
558 | Urogenital system (e.g., kidney, etc.): |
| | This subclass is indented under subclass 520. Subject matter in which the material is or is derived from
part of the urogenital system.
| | (1)
Note. Included in this and the indented subclasses
are kidney, bladder, genitalia, germ
cells, etc. | |
| | |
559 | Genitalia (e.g., ovary, uterus, prostate, testis, etc.): |
| | This subclass is indented under subclass 558. Subject matter in which the material is or is derived from
the female or male genitalia, such as the ovary, uterus, prostate, and
testis.
SEE OR SEARCH THIS CLASS, SUBCLASS:
| 572, | for mammary gland. |
| 582, | for corpus luteum. |
|
| | |
561 | Germ cells (e.g., ovum, spermatozoa, etc.): |
| | This subclass is indented under subclass 558. Subject matter in which the material is or is derived from
germ cells which are sexual reproductive cells.
SEE OR SEARCH THIS CLASS, SUBCLASS:
| 581, | for extracts or isolates of eggs with shells. |
SEE OR SEARCH CLASS:
| 62, | Refrigeration,
subclasses 62+ for methods of freezing ovum or spermatozoa. |
| 128, | Surgery, appropriate subclasses for methods of artificial
insemination. |
| 435, | Chemistry: Molecular Biology and Microbiology,
subclass 2 for frozen ovum or spermatozoa. |
|
| | |
562 | Endocrine system, other than the thymus gland (e.g., parathyroid
gland, etc.): |
| | This subclass is indented under subclass 520. Subject matter in which the material is or is derived from
part of the endocrine system, parathyroid gland, etc., and
other than material derived from the thymus gland.
| | (1)
Note. Included in this subclass are pineal body, etc. |
SEE OR SEARCH THIS CLASS, SUBCLASS:
| 580, | for the thymus gland. |
SEE OR SEARCH CLASS:
| 514, | Drug, Bio-Affecting and Body
Treating Compositions,
subclasses 9.7 through 13.1for therapeutic or bio-affecting compositions
containing a peptide derived from the endocrine system. |
|
| | |
563 | Adrenal gland: |
| | This subclass is indented under subclass 562. Subject matter in which the material is or is derived from
the adrenal gland.
| | (1)
Note. Suprarenal is another name for adrenal. |
SEE OR SEARCH CLASS:
| 514, | Drug, Bio-Affecting and Body
Treat ing Compositions,
subclass 10.8 for a therapeutic or bio-affecting
composition containing adrenocorticotropic hormone (ACTH). |
| 530, | Chemistry: Natural Resins or Derivatives; Peptides
or Proteins; Lignins or Reaction Products Thereof,
subclass 306 for ACTH, per se. |
| 564, | Organic Compounds,
subclass 361 for epinephrine type compounds; e.g., a blood
pressure-raising/stimulating compound, etc. |
|
| | |
565 | Pituitary gland: |
| | This subclass is indented under subclass 562. Subject matter in which the material is or is derived from
the pituitary gland.
| | (1)
Note. This subclass provides for extracts which are either
from whole pituitaries or parts of the pituitary. |
| | (2)
Note. The pituitary is also known as the hypophysis. The
anterior pituitary is also known as the adenohypophysis. The posterior
portion is also called the interfundibular portion or neurohypophysis. | |
| | |
570 | Nervous system (e.g., brain, nerve, etc.): |
| | This subclass is indented under subclass 520. Subject matter in which the material is or is derived from
part of the central or peripheral nervous systems; e.g., brain,
nerve, etc.
| | (1)
Note. Included in this subclass are extracts of the brain,
spinal column, nerve tissue and myelin sheath. | |
| | |
572 | Tissue, other than lymphoid tissue (e.g., connective, etc.): |
| | This subclass is indented under subclass 520. Subject matter in which the material is or is derived from
a specific isolated tissue; e.g., connective, etc., and wherein
said tissue is other than lymphoid.
| | (1)
Note. Improper for this subclass is subject matter directed
to a collection of undefined tissues, i.e., a whole animal or body
part which inherently contains skin, muscle, fat, blood, etc., such
subject matter is found in subclass 520 of this class or in the
subclass directed to the specific animal of interest. |
SEE OR SEARCH THIS CLASS, SUBCLASS:
|
| | |
574 | Adipose or epithelium: |
| | This subclass is indented under subclass 572. Subject matter in which the material is or is derived from
adipose tissue or epithelial tissue.
| | (1)
Note. Included in this subclass are patents directed to fat
wherein the disclosure is silent as the rendering. |
| | (2)
Note. An intact and functioning piece of skin is considered
proper subject matter for this subclass. Such skin is usually used
in skin grafting procedures. |
| | (3)
Note. Included in this subclass are endothelium, epidermis,
and basement membrane. | |
| | |
577 | Hemic or immune system (e.g., hematopoietic system, bone
marrow cells, etc.): |
| | This subclass is indented under subclass 520. Subject matter in which the material is or is derived from
part of the hemic or immune system; e.g., hematopoietic system,
bone marrow cells, etc.
| | (1)
Note. Included in this and the indented subclasses are lymphoid
tissue, lymph nodes, etc. |
SEE OR SEARCH THIS CLASS, SUBCLASS:
| 85.1+, | for medicinal composition containing lymphokines. |
SEE OR SEARCH CLASS:
| 530, | Chemistry: Natural Resins or Derivatives; Peptides
or Proteins; Lignins or Reaction Products Thereof,
subclass 351 for lymphokines claimed as compounds regardless
of medicinal disclosure. |
|
| | |
579 | Spleen: |
| | This subclass is indented under subclass 578. Subject matter in which the material is or is derived from
the spleen. |
| | |
580 | Thymus gland: |
| | This subclass is indented under subclass 578. Subject matter in which the material is or is derived from
the thymus gland.
SEE OR SEARCH THIS CLASS, SUBCLASS:
| 85.1+, | for medicinal compositions containing lymphokines. |
SEE OR SEARCH CLASS:
| 530, | Chemistry: Natural Resins or Derivatives; Peptides
or Proteins; Lignins or Reaction Products Thereof,
subclass 351 for lymphokines claimed as compounds in spite of
any disclosed or implied medicinal utility. |
|
| | |
600 | INORGANIC ACTIVE INGREDIENT CONTAINING: |
| | This subclass is indented under the class definition. Compositions in which the active ingredient is disclosed
to be an element or an inorganic compound.
| | (1)
Note. Anesthetic compositions which contain oxygen and an
active anesthetic compound are classified with the active anesthetic
compound. For example, a composition containing an ether and 02 is
classified in Class 314 subclass 715 or its indents. |
| | (2)
Note. A life supporting gaseous mixture; e.g., 02 and He,
etc., is classified in Class 514, subclass 789. |
| | (3)
Note. See the Glossary for the definition of the term "active
ingredient". |
SEE OR SEARCH CLASS:
| 423, | Chemistry of Inorganic Compounds, appropriate subclasses for inorganic compounds,
per se. |
|
| | |
601 | Phosphorus or phosphorus compound: |
| | This subclass is indented under subclass 600. Compositions which contain elemental phosphorus or an inorganic
compound thereof.
SEE OR SEARCH THIS CLASS, SUBCLASS:
| 57, | for a dentifrice or mouthwash containing a phosphate
compound. |
|
| | |
602 | Calcium containing: |
| | This subclass is indented under subclass 601. Compositions which contain calcium and phosphorus.
| | (1)
Note. Synonyms/Examples: Bone meal, phosphate of
lime, calcium phosphate. | |
| | |
604 | Heavy metal containing: |
| | This subclass is indented under subclass 601. Compositions which contain a heavy metal and phosphorus.
SEE OR SEARCH THIS CLASS, SUBCLASS:
| 617, | for other heavy metal containing compositions. |
|
| | |
606 | Sodium containing or fluorine containing: |
| | This subclass is indented under subclass 601. Compositions which include a sodium or fluorine containing
phosphorus compound.
SEE OR SEARCH THIS CLASS, SUBCLASS:
| 632, | for compositions containing copper containing fluorine
compounds. |
| 673+, | for compositions containing elemental fluorine or
fluorine compounds. |
|
| | |
609 | Thiocyanates: |
| | This subclass is indented under subclass 608. Compositions which contain compounds with the radical -
SCN.
| | (1)
Note. Synonyms/Examples: Thiocyanide, sulfocyanate,
rhodanate, rhodanide. | |
| | |
612 | Hydrocyanic acid: |
| | This subclass is indented under subclass 607. Compositions which contain hydrocyanic acid.
| | (1)
Note. Synonyms/Examples: Prussic acid, hydrogen
cyanide, formonitrile. | |
| | |
613 | Peroxide or compositions of or releasing gaseous oxygen
or ozone: |
| | This subclass is indented under subclass 600. Compositions which contain an inorganic compound having
a bivalent -O-O-group; e.g., H2O2, BaO2, etc., or gaseous oxygen
or ozone containing compositions, etc.
| | (1)
Note. Synonyms/Examples: Superoxide. |
SEE OR SEARCH THIS CLASS, SUBCLASS:
| 53, | for a dentifrice or mouthwash containing an oxygen
releasing agent. |
| 62, | for peroxide containing compositions intended for
use on live skin or hair. |
SEE OR SEARCH CLASS:
| 8, | Bleaching and Dyeing; Fluid Treatment and Chemical
Modification of Textiles and Fibers,
subclasses 101+ for a method of bleaching which is more than the
mere use of a composition. |
| 252, | Compositions,
subclasses 186.1+ for a general bleaching composition. |
|
| | |
614 | Zinc containing: |
| | This subclass is indented under subclass 613. Compositions which include peroxide containing zinc compounds.
SEE OR SEARCH THIS CLASS, SUBCLASS:
| 641, | for other compositions containing zinc. |
|
| | |
616 | Hydrogen peroxide: |
| | This subclass is indented under subclass 613. Compositions which contain hydrogen peroxide.
| | (1)
Note. Synonyms/Examples: Hydrogen dioxide auricome,
perhydrol. | |
| | |
617 | Heavy metal or compound thereof: |
| | This subclass is indented under subclass 600. Compositions which contain a metal having a specific gravity
greater than 4 and wherein the metal is present in either its free
elemental form or as part of an inorganic compound.
SEE OR SEARCH THIS CLASS, SUBCLASS:
| 66, | for an antiperspirant containing a zirconium compound. |
| 67, | for an antiperspirant containing a zinc compound. |
|
| | |
620 | Arsenic: |
| | This subclass is indented under subclass 617. Compositions wherein the metal is arsenic.
| | (1)
Note. Synonyms/Examples: London Purple. | |
| | |
622 | Copper compound of arsenic: |
| | This subclass is indented under subclass 620. Compositions which include a copper containing compound
of arsenic.
SEE OR SEARCH THIS CLASS, SUBCLASS:
| 630, | for compositions containing other copper compounds. |
|
| | |
623 | Oxygen compound of arsenic: |
| | This subclass is indented under subclass 620. Compositions which include a oxygen containing compound
of arsenic.
| | (1)
Note. Examples, arsenic acid, arsenic acid cahydride, arsenious
oxide, white arsenic. | |
| | |
627 | Lead compound of arsenic: |
| | This subclass is indented under subclass 620. Compositions which contain arsenic chemically combined with
lead; e.g., elad arsenate, lead arsenite, etc.
| | (1)
Note. Search appropriate subclasses in this class for compositions
containing other lead compounds. | |
| | |
628 | Calcium compound of arsenic: |
| | This subclass is indented under subclass 620. Compositions which contain arsenic chemically combined with
calcium; e.g., calcium arsenate, etc.
SEE OR SEARCH THIS CLASS, SUBCLASS:
| 675, | 678 and 682+, for compositions containing
other calcium compounds. |
|
| | |
630 | Copper: |
| | This subclass is indented under subclass 600. Compositions which contain the heavy metal copper.
SEE OR SEARCH THIS CLASS, SUBCLASS:
| 604, | for compositions containing compounds of copper
containing phosphorus. |
| 608, | for compositions containing copper and cyanide. |
| 622, | for compositions containing copper compounds of
arsenic. |
|
| | |
631 | With cellulose-sulfur compound or lignin: |
| | This subclass is indented under subclass 630. Compositions which contain elemental copper or an inorganic
copper compound thereof and an organic compound which is either
lignin sulfonate or a reaction product of cellulose with sulfur
or a sulfur compound. |
| | |
634 | Carbonate: |
| | This subclass is indented under subclass 630. Compositions which contain copper carbonate.
SEE OR SEARCH THIS CLASS, SUBCLASS:
| 686+, | for compositions containing aluminum, calcium or
magnesium carbonate. |
| 715+, | for other compositions containing a carbonate. |
|
| | |
637 | Sulfur containing: |
| | This subclass is indented under subclass 630. Compositions which contain a compound of copper and sulfur.
| | (1)
Note. Synonyms/Examples: For sulfates Blue or roman
vitrol, Bordeaux mixture, Blue stone. | |
| | |
639 | Manganese: |
| | This subclass is indented under subclass 617. Compositions wherein the heavy metal is manganese.
SEE OR SEARCH THIS CLASS, SUBCLASS:
| 625, | for compositions containing manganese and arsenic. |
|
| | |
641 | Zinc: |
| | This subclass is indented under subclass 617. Compositions wherein the heavy metal is zinc.
| | (1)
Note. Synonyms/Examples: White Vitrol. |
| | (2)
Note. This subclass provides principally for compositions
used to preserve substrates from biological attack; e.g., wood preservatives,
etc. | |
| | |
642 | For topical application: |
| | This subclass is indented under subclass 641. Compositions which are claimed or disclosed as for topical
application to the living body.
| | (1)
Note. Synonyms/Examples: Dental pastes, shampoo. | |
| | |
644 | Mercury: |
| | This subclass is indented under subclass 617. Compositions which contain the heavy metal mercury.
| | (1)
Note. Synonyms/Examples: Red precipitate (mercuric
oxide). | |
| | |
645 | Chlorine containing: |
| | This subclass is indented under subclass 644. Compositions which contain an inorganic compound of mercury
and chlorine.
| | (1)
Note. Synonyms/Examples: Corrosive sublimate, calomel. |
SEE OR SEARCH THIS CLASS, SUBCLASS:
| 677, | for compositions containing alkali or alkaline earth
metal chlorides. |
|
| | |
647 | Ferric: |
| | This subclass is indented under subclass 646. Compositions which contain iron in the ferric form.
| | (1)
Note. Synonyms/Examples: Venetian, red ocher or
yellow ocher. | |
| | |
648 | Ferrous: |
| | This subclass is indented under subclass 646. Compositions which contain iron in its ferrous form.
| | (1)
Note. Synonyms/Examples: Copperas, green vitrol. | |
| | |
652 | Lead: |
| | This subclass is indented under subclass 617. Compositions which contain the heavy metal lead.
| | (1)
Note. Synonyms/Examples: litharge. |
SEE OR SEARCH THIS CLASS, SUBCLASS:
| 627, | for compositions containing compounds of lead and
arsenic. |
|
| | |
655 | Chromium: |
| | This subclass is indented under subclass 617. Compositions which contain the heavy metal chromium.
SEE OR SEARCH THIS CLASS, SUBCLASS:
| 626, | for compositions containing compounds of chromium
and arsenic. |
|
| | |
657 | Boron: |
| | This subclass is indented under subclass 600. Compositions which contain elemental boron or an inorganic
compound thereof.
| | (1)
Note. Synonyms/Examples: Borax. |
SEE OR SEARCH THIS CLASS, SUBCLASS:
| 613+, | for perborates which generate hydrogen peroxide. |
|
| | |
658 | Borax: |
| | This subclass is indented under subclass 657. Compositions which contain borax.
| | (1)
Note. Synonyms/Examples: Sodium Tetraborate (Na2B407). | |
| | |
659 | Boric Acid: |
| | This subclass is indented under subclass 657. Compositions which contain boric acid.
| | (1)
Note. Synonyms/Examples: Boracic Acid. | |
| | |
661 | Elemental chlorine or elemental chlorine releasing inorganic
compound (e.g., chlorites, hypochlorites, etc.): |
| | This subclass is indented under subclass 600. Compositions containing elemental chlorine or an inorganic
clorine releasing compound.
| | (1)
Note. This subclass is not intended to include chlorine containing
compounds which do not readily release free chlorine. For such
compounds, search other appropriate subclasses; e.g., Nacl, see subclass
666, for Hcl, see subclass 680, etc. |
| | (2)
Note. Synonyms/Examples: Hypochlorite, chlorite,
chlorates perchlorates. | |
| | |
664 | Ammonium chloride: |
| | This subclass is indented under subclass 663. Compositions which contain ammonium chloride.
SEE OR SEARCH THIS CLASS, SUBCLASS:
| 677, | through 681, for compositions containing alkali or alkaline earth
metal chlorides. |
|
| | |
667 | Elemental iodine or iodine compound: |
| | This subclass is indented under subclass 600. Compositions containing elemental iodine or an iodine inorganic
compound containing iodine.
SEE OR SEARCH THIS CLASS, SUBCLASS:
| 51, | for a dentifrice or mouthwash which contains iodine
or an iodine compound. |
|
| | |
668 | Iodate: |
| | This subclass is indented under subclass 667. Compositions which contain an iodate.
| | (1)
Note. Synonyms/Examples: Compounds yielding the
I03-ion. | |
| | |
672 | Iodophors: |
| | This subclass is indented under subclass 667. Compositions which contain a bacteriacidal complex of iodine
and a nonionic surface-active agent which releases iodine in water.
| | (1)
Note. A composition containing a surfactent and iodine is
presumed to be an iodophor in the absence of a clear showing to
the contrary. | |
| | |
673 | Elemental fluorine or fluorine compound: |
| | This subclass is indented under subclass 600. Compositions which contain fluorine or an inorganic fluoride
compound.
SEE OR SEARCH THIS CLASS, SUBCLASS:
| 52, | for a dentifrice or mouthwash which contains fluorine
or a fluorine compound. |
| 606, | for compositions containing fluorine and phosphorus. |
| 632, | for compositions containing copper compounds of
chlorine. |
| 650, | for compositions containing tin compounds of fluorine. |
|
| | |
674 | Silicofluoride: |
| | This subclass is indented under subclass 673. Compositions wherein the inorganic fluoride compound is
a reaction product of silica or a silica compound and fluorine or
a fluoride compound. |
| | |
677 | Alkali or alkaline earth chloride (e.g., barium or lithium
chloride, etc.): |
| | This subclass is indented under subclass 600. Compositions wherein the active ingredient is a chloride
of a metal selected from the group consisting of Li, Na, K, Rb,
Cs, Mg, Ca, Sr and Ba.
SEE OR SEARCH THIS CLASS, SUBCLASS:
| 469, | for a salt tablet comprising granules of Nacl in
a solid matrix. |
|
| | |
682 | Aluminum, calcium, or magnesium element, or compound containing: |
| | This subclass is indented under subclass 600. Compositions which contain aluminum, magnesium or calcium
in a free metallic state or as part of an inorganic compound.
| | (1)
Note. Many compounds of aluminum calcium in magnesium are
characterized as carriers or fillers in a medicinal composition
while in other documents the same compound is described as an active ingredient.
In this and the following subclasses doubt should always be resolved
in favor of classifying the compound as an active ingredient absent
a clear showing to the contrary. |
SEE OR SEARCH THIS CLASS, SUBCLASS:
| 68, | for an aluminum compound as part of an antiperspirant
composition. |
|
| | |
684 | Aluminum silicate: |
| | This subclass is indented under subclass 682. Compositions which contain compounds of aluminum and silicon.
| | (1)
Note. Synonyms/Examples: Kaolin Zeolites. | |
| | |
686 | Carbonate or bicarbonate: |
| | This subclass is indented under subclass 682. Compositions containing a compound wherein aluminum, calcium
or magnesium is chemically combined with a carbonate (C03=)
or bicarbonate (HC03) radical.
| | (1)
Note. Compositions containing a carbonate or bicarbonate
compound in combination with a dry acid which will react in the
presence of H2O to form as gas in subclass 44. |
| | (2)
Note. Synonyms/Examples: Dolomite. | |
| | |
689 | With stabilizer or suspending agent: |
| | This subclass is indented under subclass 688. Compositions which contain in addition to the oxide or hydroxide
of aluminum, calcium or magnesium a suspending agent which maintains
the composition in the form of a suspension, or a stabilizing agent
which preserves the activity of the active ingredient. |
| | |
690 | Aluminum hydroxide: |
| | This subclass is indented under subclass 688. Compositions which contain aluminum hydroxide.
| | (1)
Note. Synonyms/Examples. Aluminum chlorhydride
complex. | |
| | |
691 | Aluminum oxide: |
| | This subclass is indented under subclass 688. Compositions which contain aluminum oxide.
| | (1)
Note. Synonyms/Examples. Alumina, alpha-corundum. | |
| | |
694 | Characterized as lime or slaked lime: |
| | This subclass is indented under subclass 693. Compositions wherein the calcium compound is claimed a characterized
as lime or slaked lime.
| | (1)
Note. Synonyms/Examples: Lime is naturally occurring
calcium carbonate. Slaked lime is hydrated lime CaOH. This subclass
serves to collect older patents. The presumption is made that the slaked
product still contains some of the hydroxide. | |
| | |
695 | Lime-sulfur: |
| | This subclass is indented under subclass 695. Compositions which contain (a) lime or slaked lime in admixture
with free sulfur or (b) a reaction product of lime or slaked lime
with sulfur or a sulfur containing compound. |
| | |
698 | Alum or burnt alum: |
| | This subclass is indented under subclass 695. Compositions which contain alum or burnt alum.
| | (1)
Note. This subclass is primarily a collection of older patents. | |
| | |
700 | Carbon dioxide: |
| | This subclass is indented under subclass 699. Compositions which contain carbon dioxide.
SEE OR SEARCH THIS CLASS, SUBCLASS:
| 43+, | for an effervescent or pressurized composition containing
carbon dioxide. |
|
| | |
703 | Elemental sulfur or compound thereof: |
| | This subclass is indented under subclass 600. Compositions containing elemental sulfur or an inorganic
compound thereof.
SEE OR SEARCH THIS CLASS, SUBCLASS:
| , | Appropriate subclasses for a combustible or chemically
reactive composition which contains elemental sulfur and produces
a smoke, mist or aerosol; e.g., nominally recited sulfur candles,
etc. |
|
| | |
704 | With inorganic silicones material: |
| | This subclass is indented under subclass 703. Compositions which contain in addition to elemental sulfur
or an inorganic compound thereof, an inorganic silicon containing
compound e.g., silica, bentonite, diatomaceous earth, etc. |
| | |
705 | Sulfur, per se: |
| | This subclass is indented under subclass 703. Compositions which contain elemental sulfur.
| | (1)
Note. Synonyms/Examples. Flowers of sulfur, precipitated
sulfur. |
SEE OR SEARCH THIS CLASS, SUBCLASS:
| 708, | for fumigating compositions which produce hydrogen
sulfide. |
| 712, | for fumigating compositions which produce sulfur
dioxide. |
|
| | |
707 | Disulfides: |
| | This subclass is indented under subclass 706. Compositions which contain a disulfide.
SEE OR SEARCH THIS CLASS, SUBCLASS:
| 701, | for carbon disulfide. |
|
| | |
709 | Sulfate: |
| | This subclass is indented under subclass 703. Compositions which contain a sulfate.
| | (1)
Note. Synonyms/Examples. Sulfuric acid salt. | |
| | |
715 | Carbonate: |
| | This subclass is indented under subclass 600. Compositions which contain a carbonate.
| | (1)
Note. Synonyms/Examples: Potash is presumed to
be potassium carbonate in older patents. | |
| | |
717 | Bicarbonate: |
| | This subclass is indented under subclass 715. Compositions which contain a bicarbonate.
| | (1)
Note. Synonyms/Examples. Sodium bicarbonate. | |
| | |
720 | Ammonium chloride: |
| | This subclass is indented under subclass 719. Compositions which contain ammonium chloride.
| | (1)
Note. Synonyms/Examples: Muriate of ammonia, sal
ammoniac. |
| | (2)
Note, Search appropriate subclasses in this class for ammonium
chloride containing compositions described as releasing chlorine
gas. | |
| | |
724 | Silicon dioxide containing: |
| | This subclass is indented under subclass 600. Compositions which contain silicon dioxide.
| | (1)
Note. Typically the patents in this subclass are pre-1920
patents containing animal plant and mineral extracts. Silicon dioxide
is typically the only identifiable inorganic constituents of the composition. | |
| | |
725 | PLANT MATERIAL OR PLANT EXTRACT OF UNDETERMINED CONSTITUTION
AS ACTIVE INGREDIENT (E.G., HERBAL REMEDY, HERBAL EXTRACT, POWDER,
OIL, ETC.): |
| | This subclass is indented under the class definition. Subject matter wherein the active ingredient is a plant
extract or plant material of unknown constitution and undefined
reaction product thereof.
| | (1)
Note. Plant material or plant extract containing one or more
known compounds therein as the active ingredients is still proper
for this and indented subclasses, as long as the plant material
or plant extract contains other active ingredients of undetermined
structure therein. |
| | (2)
Note. An exception to this is pyrethrum, cube root, derris
root, or rotenone containing plant material as the active ingredient
which is excluded from this and indented subclasses. |
SEE OR SEARCH THIS CLASS, SUBCLASS:
| 58, | for dentifrice or mouth wash containing a plant
material or plant extract of unknown constitution. |
| 74, | for hair or scalp treating composition containing
a plant material or plant extract of unknown constitution. |
| 93.7, | for bio-affecting or body treating compositions
containing a live cell of a plant as the active ingredient. |
| 195.15, | for bio-affecting or body treating compositions
containing a material or an extract from a multicellular fungus as
the active ingredient. |
| 195.16, | for bio-affecting or body treating compositions
containing a material or an extract from a unicellular fungus as the
active ingredient. |
| 195.17, | for bio-affecting or body treating compositions
containing a material or an extract from an algae as the active ingredient. |
| 401, | for cosmetics of special physical forms containing
a plant material or a plant extract of unknown constitution. |
| 714, | for bio-affecting or body treating compositions
containing an elemental sulfur or sulfur compound as the inorganic
active ingredient with a plant extract of undetermined constitution. |
| 773 | through 779, for bio-affecting or body treating compositions
containing a plant material or plant extract from a specific part
of a plant not named in any of the higher appearing subclasses. |
SEE OR SEARCH CLASS:
| 44, | Fuel and Related Compositions,
subclasses 307 and 308 for a fuel containing a plant extract of
indeterminate structure. |
| 426, | Food or Edible Material: Processes, Compositions,
and Products,
subclasses 615 through 640for a food containing a plant of undetermined constitution
and subclass 655 for a food containing a plant extract of undetermined
constitution. |
| 510, | Cleaning Compositions for Solid Surfaces, Auxiliary
Compositions Therefor, or Processes of Preparing the Compositions,
subclasses 249 , 339, 344, 420, and 463 for cleaning compositions
containing a plant material or plant extract. |
| 512, | Perfume Compositions,
subclass 5 for a perfume composition containing a plant material
or extract as the active ingredient. |
| 514, | Drug, Bio-Affecting and Body Treating Compositions,
subclasses 65 through 74for a composition containing pyrethrum, cube root,
derris root, or rotenone containing plant material; and subclass
783 for a carrier or adjuvant composition containing a plant material
or plant extract of unknown constitution. |
|
| | |
735 | Containing or obtained from Prunus (e.g., prune, cherry,
plum, apricot, peach, almonds, etc.): |
| | This subclass is indented under subclass 725. Subject matter wherein the plant material or plant extract
is obtained from a plant of the genus Prunus.
| | (1)
Note. The seed of the genus Prunus is called a pit and is
included herein. |
SEE OR SEARCH CLASS:
| 426, | Food or Edible Material: Processes, Compositions,
and Products,
subclass 615 for food products containing Prunus fruits. |
| PLT, | Plants,
subclass 180 for Prunus varieties, per se. |
|
| | |
751 | Containing or obtained from Nicotiana (e.g., tobacco, etc.): |
| | This subclass is indented under subclass 725. Subject matter wherein the plant material or plant extract
is obtained from a plant of the genus Nicotiana.
SEE OR SEARCH CLASS:
| 514, | Drug, Bio-Affecting and Body Treating Compositions,
subclass 343 for drugs or pesticides containing nicotine. |
| 530, | Chemistry: Natural Resins or Derivatives; Peptides
or Proteins; Lignins or Reaction Products Thereof,
subclass 350 for nicotinic receptors. |
| 546, | Organic Compounds Part of the Class 532-570 Series,
subclass 279.4 for nicotine, per se. |
|
| | |
760 | Containing or obtained from Capsicum (e.g., chili pepper,
cayenne pepper, red pepper, etc.): |
| | This subclass is indented under subclass 725. Subject matter wherein the plant material or plant extract
is obtained from a plant of the genus Capsicum.
SEE OR SEARCH CLASS:
| 426, | Food or Edible Material: Processes, Compositions,
and Products,
subclasses 638 and 641 for food flavored with Capsicum. |
| 514, | Drug, Bio-Affecting and Body Treating Compositions,
subclass 625 for pharmaceuticals containing capsicin, the active
ingredient of Capsicum. |
| 530, | Chemistry: Natural Resins or Derivatives; Peptides
or Proteins; Lignins or Reaction Products Thereof,
subclass 350 for vanillinoid receptors, which the Capsicum interacts
with. |
|
| | |
764 | Containing or obtained from Compositeae (e.g., marigold,
sunflower, dandelion, feverfew, yarrow, chamomile, etc.): |
| | This subclass is indented under subclass 725. Subject matter wherein the plant material or plant extract
is obtained from a plant of the family Compositeae.
SEE OR SEARCH CLASS:
| 514, | Drug, Bio-Affecting and Body Treating Compositions,
subclasses 65 through 74for compositions containing pyrethrum plant or
plant extracts. |
|
| | |
766 | Containing or obtained from Vitis (e.g., grape, grapeseed,
wine from grapes, etc.): |
| | This subclass is indented under subclass 725. Subject matter wherein the plant material or plant extract
is obtained from a plant of the genus Vitis.
SEE OR SEARCH CLASS:
| 426, | Food or Edible Material: Processes, Compositions,
and Products,
subclass 15 for a process of preparing an alcoholic beverage
from a fruit or fruit material. |
| 436, | Chemistry: Analytical and Immunological Testing,
subclass 24 for a chemical analysis of wine or alcoholic beverages. |
|
| | |
770 | Conifer (e.g., needle and cone bearing trees such as pine,
spruce, hemlock, fir, cypress, cedar, yew, etc.): |
| | This subclass is indented under subclass 769. Subject matter wherein the tree is a conifer.
| | (1)
Note. Conifers are trees that bear needles and cones. |
SEE OR SEARCH CLASS:
| 549, | Organic Compounds Part of the Class 532-570
Series,
subclass 510 for taxols. |
|
| | |
771 | Oak, maple, walnut, ash, poplar, dogwood, or persimmon: |
| | This subclass is indented under subclass 769. Subject matter wherein the tree is an oak, maple, walnut,
ash, poplar, dogwood, or persimmon. |
| | |
780 | EXTRACT OR MATERIAL CONTAINING OR OBTAINED FROM A MICRO-ORGANISM
AS ACTIVE INGREDIENT (E.G., BACTERIA, PROTOZOA, ETC.): |
| | This subclass is indented under the class definition. Subject matter wherein the active ingredient is a material
or an extract obtained from a micro-organism.
SEE OR SEARCH THIS CLASS, SUBCLASS:
| 93.1 | through 93.73, for bio-affecting or body treating compositions
containing a whole live micro-organism, cell, or virus. |
| 115, | to 124, for bio-affecting or body treating compositions
containing a microbial fermentate of undetermined chemical structure. |
| 195.15, | for bio-affecting or body treating compositions
containing an extract or material containing a multicellular fungus
as active ingredient. |
| 195.16, | for bio-affecting or body treating compositions
containing an extract or material containing a unicellular fungus
as active ingredient. |
| 195.17, | for bio-affecting or body treating compositions
containing an extract or material containing an algae as active ingredient. |
| 234.1 | through 264.1, for bio-affecting or body treating compositions
containing an antigen from bacteria. |
SEE OR SEARCH CLASS:
| 435, | Chemistry: Molecular Biology and Microbiology,
subclasses 243 through 253.6and 258.1-261 for micro-organism, per se, compositions thereof,
process of maintaining, preserving, or culturing. |
|
| | |
CROSS-REFERENCE ART COLLECTIONS
The following art collections are related to subclasses 130.1
through 283.1
800 | ANTIBODY OR FRAGMENT THEREOF WHOSE AMINO ACID SEQUENCE
IS DISCLOSED IN WHOLE OR IN PART: |
| | This subclass is indented under the class definition. Subject matter involving an antibody or fragment thereof
whose amino acid sequence is disclosed in whole or in part. |
| | |
801 | INVOLVING ANTIBODY OR FRAGMENT THEREOF PRODUCED BY RECOMBINANT
DNA TECHNOLOGY: |
| | This subclass is indented under the class definition. Subject matter involving an antibody or fragment thereof
produced by recombinant DNA technology. |
| | |
802 | ANTIBODY OR ANTIGEN-BINDING FRAGMENT THEREOF THAT BINDS GRAM-POSITIVE
BACTERIA: |
| | This subclass is indented under the class definition. Subject matter involving an antibody or antigen-binding
fragment thereof that binds gram-positive bacteria. |
| | |
803 | ANTIBODY OR ANTIGEN-BINDING FRAGMENT THEREOF THAT BINDS GRAM-NEGATIVE
BACTERIA: |
| | This subclass is indented under the class definition. Subject matter involving an antibody or fragment thereof
that binds gram-negative bacteria. |
| | |
804 | INVOLVING IgG3, IgG4, IgA, OR IgY: |
| | This subclass is indented under the class definition. Subject matter involving immunoglobulin IgG3, IgG4, IgA,
or IgY.
| | (1)
Note. IgY is similar to IgG and is found only in birds. | |
| | |
805 | INVOLVING IgE or IgD: |
| | This subclass is indented under the class definition. Subject matter involving immunoglobulin IgE or IgD. |
| | |
806 | INVOLVING IgM: |
| | This subclass is indented under the class definition. Subject matter involving immunoglobulin IgM. |
| | |
808 | Human: |
| | This subclass is indented under subclass 807. Subject matter involving a human monoclonal antibody that
is IgM. |
| | |
809 | INVOLVING IMMUNOGLOBULIN OR ANTIBODY FRAGMENT (E.G., F(abi)2, Fabi,
Fab, Fv, Fc, HEAVY CHAIN, LIGHT CHAIN, ETC.): |
| | This subclass is indented under the class definition. Subject matter involving an immunoglobulin or antibody fragment. |
| | |
810 | INVOLVING AUTOIMMUNITY, ALLERGY, IMMEDIATE HYPERSENSITIVITY,
DELAYED HYPERSENSITIVITY, IMMUNOSUPPRESSION, IMMUNOTOLERANCE, OR
ANERGY: |
| | This subclass is indented under the class definition. Subject matter involving autoimmunity, allergy, immediate
hypersensitivity, delayed hypersensitivity, immunosuppression, immunotolerance,
or anergy. |
| | |
811 | INVOLVING SEX SELECTION OR CONTRACEPTION: |
| | This subclass is indented under the class definition. Subject matter involving sex selection or contraception. |
| | |
812 | LIPOSOME COMPRISING AN ANTIBODY, ANTIBODY FRAGMENT, ANTIGEN,
OR OTHER SPECIFIC OR NONSPECIFIC IMMUNOEFFECTOR: |
| | This subclass is indented under the class definition. Subject matter involving a liposome comprising an antibody,
an antibody fragment, an antigen, or another specific or nonspecific immunoeffector. |
| | |
813 | VIRAL VACCINE FOR BOVINE SPECIES (E.G., CATTLE, ETC.): |
| | This subclass is indented under the class definition. Subject matter involving a viral vaccine designated for
use in bovine species such as cattle. |
| | |
814 | VIRAL VACCINE FOR OVINE SPECIES (E.G., SHEEP, ETC.): |
| | This subclass is indented under the class definition. Subject matter involving a viral vaccine designated for
use in ovine species such as sheep. |
| | |
815 | VIRAL VACCINE FOR PORCINE SPECIES (E.G., SWINE, ETC.): |
| | This subclass is indented under the class definition. Subject matter involving a viral vaccine designated for
use in porcine species such as swine. |
| | |
816 | VIRAL VACCINE FOR AVIAN SPECIES (E.G., POULTRY OR OTHER
BIRDS, ETC.): |
| | This subclass is indented under the class definition. Subject matter involving a viral vaccine designated for
use in avian species such as poultry or other birds. |
| | |
817 | VIRAL VACCINE FOR FISH: |
| | This subclass is indented under the class definition. Subject matter involving a viral vaccine designated for
use in fish. |
| | |
818 | VIRAL VACCINE FOR CANIDAE OR MUSTELIDAE (E.G., DOGS, FOXES, MINKS,
ETC.): |
| | This subclass is indented under the class definition. Subject matter involving a viral vaccine designated for
use in species belonging to the family Canidae, such as dogs or
foxes, or in species belonging to the family Mustelidae, such as
minks. |
| | |
819 | VIRAL VACCINE FOR FELINE SPECIES (E.G., CATS, ETC.): |
| | This subclass is indented under the class definition. Subject matter involving a viral vaccine designated for
use in feline species such as cats. |
| | |
820 | VIRAL VACCINE FOR EQUINE SPECIES (E.G., HORSES, ETC.): |
| | This subclass is indented under the class definition. Subject matter involving a viral vaccine designated for
use in equine species such as horses. |
| | |
821 | INVOLVING TEMPERATURE-SENSITIVE MUTANT VIRUS: |
| | This subclass is indented under the class definition. Subject matter involving a temperature-sensitive mutant
virus. |
| | |
822 | INVOLVING TK- VIRUS: |
| | This subclass is indented under the class definition. Subject matter involving a tk- virus, which produces no
active thymidine kinase. |
| | |
823 | BACTERIAL VACCINE FOR BOVINE SPECIES (E.G., CATTLE, ETC.): |
| | This subclass is indented under the class definition. Subject matter involving a bacterial vaccine designated
for use in bovine species such as cattle. |
| | |
824 | BACTERIAL VACCINE FOR OVINE SPECIES (E.G., SHEEP, ETC.): |
| | This subclass is indented under the class definition. Subject matter involving a bacterial vaccine designated
for use in ovine species such as sheep. |
| | |
825 | BACTERIAL VACCINE FOR PORCINE SPECIES (E.G., SWINE, ETC.): |
| | This subclass is indented under the class definition. Subject matter involving a bacterial vaccine designated
for use in porcine species such as swine. |
| | |
826 | BACTERIAL VACCINE FOR AVIAN SPECIES (E.G., POULTRY OR OTHER BIRDS,
ETC.): |
| | This subclass is indented under the class definition. Subject matter involving a bacterial vaccine designated
for use in avian species such as poultry or other birds. |
| | |
827 | BACTERIAL VACCINE FOR FISH: |
| | This subclass is indented under the class definition. Subject matter involving a bacterial vaccine designated
for use in fish. |
| | |
828 | BACTERIAL VACCINE FOR CANIDAE OR MUSTELIDAE (E.G., DOGS,
FOXES, MINKS, ETC.): |
| | This subclass is indented under the class definition. Subject matter involving a bacterial vaccine designated
for use in species belonging to the family Canidae, such as dogs
or foxes, or in species belonging to the family Mustelidae, such
as minks. |
| | |
829 | BACTERIAL VACCINE FOR EQUINE SPECIES (E.G., HORSES, ETC.): |
| | This subclass is indented under the class definition. Subject matter involving a bacterial vaccine designated
for use in equine species such as horses. |
| | |
830 | INVOLVING TEMPERATURE-SENSITIVE MUTANT BACTERIUM: |
| | This subclass is indented under the class definition. Subject matter involving a temperature-sensitive mutant
bacterium. |
| | |
831 | INVOLVING CAPSULAR POLYSACCHARIDE OF BACTERIUM (E.G., POLYRIBOSYL
RIBITOL PHOSPHATE (PRP), ETC.): |
| | This subclass is indented under the class definition. Subject matter involving a capsular polysaccharide of a
bacterium. |
| | |
832 | INVOLVING BACTERIAL TOXIN THAT HAS MODIFIED AMINO ACID SEQUENCE: |
| | This subclass is indented under the class definition. Subject matter involving a bacterial toxin that has an amino
acid sequence that differs from that found in nature.
| | (1)
Note. Such modification may render the toxin nontoxic, but
still antigenic. | |
| | |
900 | In vivo diagnostic or in vivo test agent which contains
an additional ingredient to reduce the toxicity or side effects
of the active ingredient: |
| | Subject matter involving a diagnostic or test agent to be
used in vivo which contains an additional ingredient to reduce the
toxicity of the active diagnostic or test ingredient. |
| | |