CLASS 435, | CHEMISTRY: MOLECULAR BIOLOGY AND MICROBIOLOGY |
| Click here for a printable version of this file | |
SECTION I - CLASS DEFINITION
STATEMENT OF CLASS SUBJECT MATTER
This class provides for the following subject matter when not provided for elsewhere:
A. A process of using a microorganism or enzyme to synthesize a chemical product.
B. A process of treating a material with a microorganism or enzyme to separate, liberate, or purify a preexisting substance.
C. An in vitro process of measuring and testing in which: (1) A microorganism or enzyme is used to determine the presence or identity of a compound or composition in a sample; (2) A microorganism is identified by propagation; (3) An enzyme is identified by its catalytic activity; (4) The presence of microorganisms is detected; (5) A live microorganism is used in an antigen antibody test as an antigen; (6) Fixed or stabilized nonliving microorganisms, cells, or tissues are involved.
D. A process of propagating a microorganism.
E. A process in which the genetic structure of a microorganism or extrachromosomal genetic structure is altered.
F. A process of organ or tissue maintenance.
G.A process of mashing or malting.
H. Apparatus claimed or solely disclosed as for A-G.
I. Microorganisms, per se, or the subcellular parts thereof.
J. Enzymes, immobilized enzymes or enzyme containing compositions not otherwise provided for and the processes for purifying enzymes or forming immobilized enzymes.
K. Compositions claimed or solely disclosed as for the propagation of microorganisms or for measuring and testing processes in C above.
L. Using microorganisms to destroy hazardous or toxic waste.
CLASSIFICATION GUIDELINES FOR THIS CLASS
APPARATUS
This class takes only apparatus claimed or solely disclosed as for fermentation or enzymology, organ, and tissue maintenance or genetic engineering not otherwise provided for. Apparatus by name only which is claimed as a collection of compounds or compositions in a kit without structure is classified as described below in Lines With Other Classes and Within This Class.
COMPOSITIONS
In general, this class will not provide for compositions other than an immobilized or insolubilized enzyme or a test or culture media.
COMPOUNDS
In general, this class does not provide for compounds other than an immobilized or insolubilized enzyme or an enzyme, per se. Production of metal or ammonium salts of a compound are classified with the production of that compound.
AMINO ACID RESIDUES
If upon hydrolysis of an unidentified product the only residues are amino acids, it should be presumed that the product is a protein or peptide. If other organic moieties are present after hydrolysis of the product then placement should be made upon the basis of the presence of such structure in the product.
PRESUMPTION
In the absence of a clearly claimed step of killing or inactivating a microorganism in an antigen-antibody test the microorganism should be treated as a living antigen.
SECTION II - LINES WITH OTHER CLASSES AND WITHIN THIS CLASS
See References to Other Classes, below, for lines with classes providing for the use of a microorganism, an enzyme and the apparatus therefor and the composition classes providing for the products of a microorganism or enzyme and for lines with other related classes.
The rules for determining Class placement of the Original Reference (OR) for claimed chemical compositions are set forth in the Class Definition of Class 252 in the section LINES WITH OTHER CLASSES AND WITHIN THIS CLASS, subsection COMPOSITION CLASS SUPERIORITY, which includes a hierarchical ORDER OF SUPERIORITY FOR COMPOSITION CLASSES.
SECTION III - SUBCLASS REFERENCES TO THE CURRENT CLASS
SEE OR SEARCH THIS CLASS, SUBCLASS:
| 4+, | Apparatus by name only which is claimed as a collection of compounds or compositions in a kit without structure is classified on the basis of the compositions into the subclasses 4+ area. |
| 84+, | and indented subclasses 95, 96, 98, and 99 for compounds produced by hydrolysis of larger structures with subclasses |
| 94, | reserved for the enzymatic interconversion of isomers. |
| 97, | 100 - 105 provide for building up from smaller saccharide units. |
SECTION IV - REFERENCES TO OTHER CLASSES
SEE OR SEARCH CLASS:
| 8, | Bleaching and Dyeing; Fluid Treatment and Chemical
Modification of Textiles and Fibers, provides for processes of (a) dyeing employing a
microorganism or enzyme (b) treating hides or skins by use of a
microorganism or enzyme with subsequent tanning of the hides or
skins or subsequent operations that are preliminary and peculiar
to tanning of hides or skins or peculiar to making leather.
| ||
| 8, | Bleaching and Dyeing; Fluid Treatment and Chemical Modification of Textiles and Fibers, provides for compositions for dyeing materials of any kind which may contain a microorganism or enzyme. | ||
| 15, | Brushing, Scrubbing, and General Cleaning, provides for dust cloths, mops, or other cleaning devices which include detergents which may contain enzymes. | ||
| 34, | Drying and Gas or Vapor Contact With Solids, provides for processes and apparatus for drying of
a solid which may include a microorganism enzyme or media composition.
| ||
| 48, | Gas: Heating and Illuminating, for gaseous compositions for heating or illuminating by combustion which may be the result of a process using a microorganism or enzyme. | ||
| 47, | Plant Husbandry, which provides for mushrooms or processes of or
apparatus for cultivating or culturing mushrooms; sprouting or germinating
seeds for planting, or testing the sprouting or germinating power
of seeds; articles or compositions that include seeds and either
a microorganism or enzyme and process of making such articles or
compositions; processes of cultivating or culturing seed plants,
or other nonfungal plants that include the use of a microorganism
or enzyme, articles, compositions, or apparatus, for use in the
above processes, or in making articles or compositions, that include
seeds and microorganism or enzymes or processes of making articles
or compositions for use in the above noted processes.
| ||
| 48, | Gas: Heating and Illuminating, for fuel gas compositions when the processes of
making such compositions involve a microorganism; processes of producing
fuel gas compositions that include a microorganism; articles, compositions,
or apparatus, for uses in such processes; or processes of making
such articles or compositions for such uses.
| ||
| 62, | Refrigeration, for processes or apparatus for preserving an organ,
microorganism, or enzyme by the removal of heat and the cooled or
frozen product resulting. The process may involve the use of a composition
to eliminate or minimize cooling or freezing damage, e.g., sperm
preservation, etc.
| ||
| 71, | Chemistry: Fertilizers, provides for processes of producing a composition
or article having utility as a fertilizer by use of a microorganism or
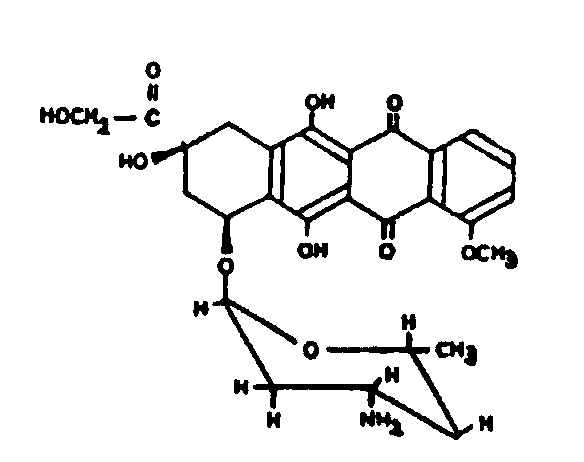
enzyme as well as the composition containing a microorganism or
enzyme.
| ||
| 73, | Measuring and Testing, provides for processes and apparatus for determining the physical properties of the product of fermentation or enzymology and include process and apparatus for measuring the rate of sedimentation of elements in blood. | ||
| 75, | Specialized Metallurgical Processes, Compositions
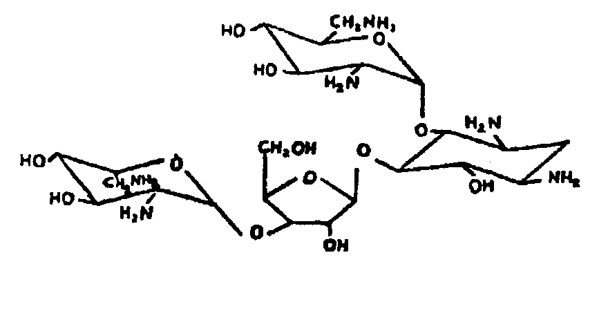
for Use Therein, Consolidated Metal Powder Compositions, and Loose
Metal Particulate Mixtures, provides for processes and compositions containing
a microorganism or enzyme for use in processes of obtaining free metals
from metal compounds or ores. Class 75, in particular, provides
for processes of hydrometallurgy processes of beneficiating ores
or recovery of elemental metal from waste in which a microorganism
or enzyme is used when the reduction to elemental metal is claimed.
| ||
| 99, | Foods and Beverages: Apparatus, for apparatus adapted for the preparation of a beverage
or beverage intermediate by carrying out primary ethyl alcoholic
fermentations and apparatus for the aging, refining, and purification
of alcoholic beverages.
| ||
| 106, | Compositions: Coating or Plastic, provides for processes which use an enzyme or microorganism
to produce a coating or plastic composition.
| ||
| 127, | Sugar, Starch, and Carbohydrates, provides for the hydrolysis of carbohydrates including
their conversion to sugar by chemical means or process using an
enzyme or microorganism only where the hydrolysis by microorganism
or enzyme is followed by steps of concentration purification or
treatment (such as crystallization) to make a sugar or syrup. Additionally, Class
127 provides for the products of such processes.
| ||
| 128, | Surgery, appropriate subclasses provide for methods of blood
transfusion and insemination by artificial means as well as for
methods of treatment of the living body or a test which involves
contact with a body and apparatus used in the inspection and treatment
of diseases of the bodies of men and animals which apparatus is
provided with means for connection to the living body.
| ||
| 131, | Tobacco, for tobacco-containing articles, or compositions,
or articles or compositions when tobacco is used in the making thereof,
when the processes of making such articles or compositions involve
the use of a microorganism or enzyme; processes of making such articles
or compositions, or treating tobacco, that include the use of a
microorganism or enzyme; or articles, compositions, or apparatus,
for uses in such processes, or processes of making the latter articles
or compositions for uses in above noted processes.
| ||
| 137, | Fluid Handling, is the residual place for processes, systems, combinations,
and subcombinations for fluid material handling. Lines With Other
Classes and Within This Class, Automatic Contro, in the class definition
of Class 137 provide a guide to the automatic control provided for
therein.
| ||
| 159, | Concentrating Evaporators, provides for the concentration of solids held in
solution or suspension by evaporation of liquid and the recovery
of a concentrate or a dry solid which include the treatment of a
feed stream to or the treatment of a product of a microorganism
or enzyme.
| ||
| 162, | Paper Making and Fiber Liberation, provides for processes and apparatus which includes
use of a microorganism or enzyme when combined with a step peculiar
to Class 162 as well as the use of a microorganism or enzyme as
a component of a paper or fiber pulp.
| ||
| 166, | Wells, provides for processes and apparatus for treating oil or an oil bearing mineral with a microorganism or enzyme while in the ground. | ||
| 204, | Chemistry: Electrical and Wave Energy, provides for processes and apparatus involving electrical
or wave energy. Class 204 provides for electrophoretic or electro-osmotic
separation and purification of a compound or element and for other
electrical separation or purification of a liquid when not provided
for elsewhere, for the use of electrophoretic or electro-osmotic
techniques to immobilize a compound or element where not provided
for elsewhere, and for processes for use of an electrode containing
a microorganism or enzyme for measuring or testing.
| ||
| 205, | Electrolysis: Processes, Compositions Used Therein,
and Methods of Preparing the Compositions, appropriate subclasses for processes of measuring
and testing in which the activity of a microorganism or enzyme is
measured by change in electrolytic action, for electrolytic separation
and purification of a compound or element when not provided for
elsewhere, for the use of electrolytic techniques to immobilize a
compound or element where not provided for elsewhere, and for processes
of use of an electrode containing a microorganism or enzyme for
measuring or testing.
| ||
| 210, | Liquid Purification or Separation, provides for processes of treating impure liquids
by processes including a microorganism, e.g., bacteriological digestion
of sewage including the use of an immobilized microorganism and
the apparatus for such processes, as well as methods of physical
separation of microorganisms and viruses from liquid media.
| ||
| 241, | Solid Material Comminution or Disintegration, provides for processes and apparatus for the comminution
or disintegration of solids which includes the comminution of the
feed material to or the product of a microorganism or enzyme.
| ||
| 250, | Radiant Energy, provides for all methods and apparatus for using,
generating, controlling, or detecting radiant energy including radioactivity not
elsewhere provided for. Class 250 provides a comprehensive guide
in References to Other Classes for classes providing for similar
subject matter.
| ||
| 260, | Chemistry of Carbon Compounds, provides for the synthesis and liberation and purification
by chemical or physical means of compounds and extracts falling
within the class definition of Class 260 where such processes do
not include a step of treatment by a microorganism or enzyme. Processes
of making chemical compounds that include the use of a microorganism or
enzyme are controlling for classification over other processes of
making chemical compounds.
| ||
| 260, | Chemistry of Carbon Compounds, provides for organic compounds, per se, and methods of synthesizing them by means other than a microorganism or enzymes. | ||
| 366, | Agitating, provides for apparatus and processes restricted
to causing fluid or particulate material to move irregularly and
commingle.
| ||
| 423, | Chemistry of Inorganic Compounds, provides for processes of purification of fermentation off
gas by chemical means as well as the recovery of metal values by
means other than microorganisms or enzymes.
| ||
| 424, | Drug, Bio-Affecting and Body Treating Compositions, for: compositions (A) for preventing, alleviating, treating,
or curing abnormal and pathological conditions of the living body,
for maintaining, increasing, decreasing, limiting, or destroying
a physiologic body function, for diagnosing a physiological condition
or state by an in vivo test, for controlling or protecting an environment
or living body by attracting, disabling, inhibiting, killing, modifying,
repelling, or retarding an animal or microorganism, (B) for deodorizing,
protecting, adorning, or grooming a body, (C) for fermentates and extracts
for use in A or B and not elsewhere provided for, and (D) such compositions defined
in terms of specific structure; methods of making the above compositions;
methods of using the class defined compositions for purposes in
A and B; and methods of using compounds, per se, for purposes in
A and B;
subclasses 85.1+ for a lymphokine composition; subclasses 130.1+ for
a bioaffecting or body-treating composition of an immunoglobulin, antiserum,
antibody, or antibody fragment and for methods of immunizing to
produce antibodies for recovery, which antibodies are characterized
as being useful as bioaffecting or body-treating agents (e.g., to
provide passive immunity); subclasses 184.1+ for a bio-affecting
or body-treating composition comprising an antigen, an epitope,
or another immunospecific immunoeffector, such as an immunospecific vaccine,
an immunospecific stimulator of cell-mediated immunity, an immunospecific
tolerogen, or an immunospecific immunosuppressor, and for methods
of immunizing to produce protective immunity in vivo (i.e., for
vaccination purposes); subclasses 93.1+ for a composition including
whole live microorganism or virus; and subclass 94 for a composition
containing an enzyme or co-enzyme.
| ||
| 426, | Food or Edible Material: Processes, Compositions,
and Products, provides for fermentation processes that are solely disclosed
or claimed as preparing an edible, and for mixtures of enzymes or
ferments solely disclosed or claimed as edible or used in the preparation
of an edible. Class 426 provides for compositions and processes
of preparation relating to compositions which have the capacity
to ferment and produce an edible, but which are claimed as being
in an inactive state, and also provides for compositions which are
undergoing a fermentation to produce an edible product. See especially
subclasses 11+ for alcoholic beverages, or other beverages, milk
or other alimentary articles or compositions, when the beverage
or other alimentary articles contain bacteria or enzymes; processes
of making the same which include microorganisms or enzymes. Processes of
autolysis or microbial or enzymic destruction of yeasts or other
living organisms are in Class 435, subclasses 262+, but
processes of preparing foods including such autolysis are in Class
426. Processes of making vinegar by methods including use of a microorganism
or enzyme are in Class 426.
| ||
| 427, | Coating Processes, provides for significant coating or impregnating
processes when not involving subject matter proper for Class 435.
| ||
| 429, | Chemistry: Electrical Current Producing Apparatus,
Product, and Process, provides for a current producing device having a
microorganism as an integral part and the process of operating the
device and a process involving the device.
| ||
| 436, | Chemistry: Analytical and Immunological Testing, provides for a measurement or test in which an enzyme
reacts chemically, i.e., noncatalytically and antigen antibody tests
for the identification of chemical species that are nondiagnostic
and do not involve a living antigen.
| ||
| 436, | Chemistry: Analytical and Immunological Testing, provides for testing compositions (a) which contain
an enzyme if the enzyme participates in a chemical reaction in a
noncatalytic manner; and (b) which are of use in an antigen-antibody
test and do not involve a microorganism or enzyme and are not diagnostic.
| ||
| 504, | Plant Protecting and Regulating Compositions, provides for processes of producing a composition
or article having plant stimulating or eradicating utility by using
a microorganism or enzyme as well as the composition containing
a microorganism or enzyme.
| ||
| 506, | Combinatorial Chemistry Technology: Method, Library, Apparatus, for a chemical or biological library, a process of creating said library, a process of testing involving said library, or an apparatus specially adapted for creating or testing involving said library. | ||
| 588, | Hazardous or Toxic Waste Destruction or Containment, provides for the storage to contain pathogenic organisms, e.g., virus, bacteria and medical waste, see subclass 258 . |
SECTION V - GLOSSARY
ACTIVITY
Rate of metabolic or anabolic action, speed or efficiency. Mere suppression of competing strains is not viewed as increasing the activity.
BIOCHEMICAL
By means of a bacteria, yeast, animal or plant cell, or virus, or the parts thereof.
CONDENSED
Bridged or fused.
DERIVATIVE
For purposes of this class derivatives included with the production of a named compound are only the inorganic anion or inorganic cation salts thereof, e.g., metal, ammonium, halogen, carbonate, etc.
DIASTACE
For purposes of this class classified as an amylase.
FERMENTATION
The use of a microorganism or enzyme to carry a molecular transformation.
HAZARDOUS WASTE
Material that when present in the environment produces for man and other living organisms a dangerous, risky, or perilous environmental situation in so for as the physiological well being of the organism is concerned (e.g., all caustic chemicals, irritants, cancer causing agents, and other tumor producing materials).
HETERO
Containing only O, N, S, Se, or Te in addition to carbon in a ring.
MEDIA
Material which supports or sustains growth of microorganisms which material may contain substances which will not support or may inhibit the growth of selected microorganisms.
MICROORGANISM
For purposes of this class, bacteria, actinomycetales, cyanobacteria (unicellular algae), fungi, protozoa, animal cells or plant cells or virus.
NUCLEIC ACID
A polynucleotide or more than two nucleotides.
TEST MEDIA
Distinguished from (propagation) media by the presence of an indicator, e.g., chromophore, etc.
TOXIC WASTE
Materials that are direct physiological poisons to living organisms (e.g., pesticides, heavy metal ion solutions, and other materials that are poisonous to life.
SUBCLASSES
1.1 | DIFFERENTIATED TISSUE OR ORGAN OTHER THAN BLOOD, PER SE, OR DIFFERENTIATED TISSUE OR ORGAN MAINTAINING; COMPOSITION THEREFOR: | ||||||||||||||||
This subclass is indented under the class definition. Processes or compositions for the maintenance of a differentiated
tissue or organ, or the differentiated tissue or organ, per se.
SEE OR SEARCH THIS CLASS, SUBCLASS:
SEE OR SEARCH CLASS:
| |||||||||||||||||
1.2 | Including perfusion; composition therefor: | ||
| This subclass is indented under subclass 1.1. Processes for the maintenance of differentiated tissue or
organs by continuously perfusing with a fluid, or compositions useful
in such processes.
SEE OR SEARCH THIS CLASS, SUBCLASS:
| |||
1.3 | Including freezing; composition therefor: |
| This subclass is indented under subclass 1.1. Processes for the maintenance of differentiated tissue or organs by freezing, or compositions useful in such processes | |
2 | MAINTAINING BLOOD OR SPERM IN A PHYSIOLOGICALLY ACTIVE STATE OR COMPOSITIONS THEREOF OR THEREFOR OR METHODS OF IN VITRO BLOOD CELL SEPARATION OR TREATMENT: | ||||||||||||||
This subclass is indented under the class definition. Processes or compositions for the maintenance of blood or
sperm in a physiologically active state or for the in vitro separation
or treatment of blood cells.
SEE OR SEARCH THIS CLASS, SUBCLASS:
SEE OR SEARCH CLASS:
| |||||||||||||||
3 | CONDITION RESPONSIVE CONTROL PROCESS: | ||||||||
This subclass is indented under the class definition. Process in which a process parameter is measured and that
or another process parameter is varied responsive to such measurement.
SEE OR SEARCH THIS CLASS, SUBCLASS:
SEE OR SEARCH CLASS:
| |||||||||
4 | Measuring or testing process involving enzymes or microorganisms; composition or test strip therefore; processes of forming such composition or test strip: | ||||||||||||||||||||||||||||||||||||||||||||||||||||
This subclass is indented under the class definition. Processes in which there is a direct or indirect qualitative
or quantitative measurement or test of a material which contains
an enzyme or microorganism or processes in which a material containing
an enzyme or microorganism is used to perform a qualitative or quantitative
measurement or test and compositions therefor and the processes
of making such compositions.
SEE OR SEARCH THIS CLASS, SUBCLASS:
SEE OR SEARCH CLASS:
| |||||||||||||||||||||||||||||||||||||||||||||||||||||
5 | Involving virus or bacteriophage: |
| This subclass is indented under subclass 4. Subject matter where the material to be measured or tested contains a virus or bacteriophage or the agent used for the measurement or test contains a virus or bacteriophage. | |
6.1 | Involving nucleic acid: | ||||||||||||||
This subclass is indented under subclass 4. Subject matter where the material to be tested or the
composition in which the test is conducted contains nucleic acid
or the agent used for the measurement or test contains nucleic acid.
SEE OR SEARCH THIS CLASS, SUBCLASS:
SEE OR SEARCH CLASS:
| |||||||||||||||
6.11 | Nucleic acid based assay involving a hybridization step with a nucleic acid probe, involving a single nucleotide polymorphism (SNP), involving pharmacogenetics, involving genotyping, involving haplotyping, or involving detection of DNA methylation gene expression: | ||||||||||||
This subclass is indented under subclass 6.1. Subject matter where the test involves a method for detecting
the presence of a nucleic acid in a sample comprising a nucleic
acid hybridization step, a single nucleotide polymorphism (SNP), pharmacogenetics, genotyping, haplotyping
or the detection of DNA methylation.
| |||||||||||||
6.12 | With significant amplification step (e.g., polymerase chain reaction (PCR), etc.): | ||||||||
This subclass is indented under subclass 6.1. Subject matter wherein the test involves a significant
nucleic acid amplification step, such as PCR.
SEE OR SEARCH THIS CLASS, SUBCLASS:
| |||||||||
6.13 | Drug or compound screening involving gene expression: |
| This subclass is indented under subclass 6.1. Subject matter wherein the effect of a drug or compound is determined by its influence on the expression of a gene. | |
6.14 | Detecting cancer: | ||||
This subclass is indented under subclass 6.1. Subject matter wherein the test involves the detection
of the presence of cancer using nucleic acid based assay.
| |||||
6.15 | Involving bacterium, fungus, parasite or protozoan (e.g., detecting pathogen viru- lence factors, adhesions, toxins, etc.): | ||
This subclass is indented under subclass 6.1. Subject matter wherein the test involves the detection
of the presence of bacteria, fungi, parasites
or protozoans using nucleic acid based assay.
| |||
6.16 | Involving a nucleic acid encoding a protein related to the nervous system (e.g., nerve related factors, brain-derived cytokines, nerve cell biomarker, etc.): | ||||
This subclass is indented under subclass 6.1. Subject matter wherein the nucleic acid involved in the
test encodes proteins related to the brain, spinal cord, or
peripheral nervous system.
| |||||
6.17 | Involving a nucleic acid encoding a receptor, cytokine, hormone, growth factor, ion channel protein, or membrane transporter protein: | ||
This subclass is indented under subclass 6.1. Subject matter wherein the nucleic acid involved in the
test encodes receptors, cytokines, hormones, growth
factors, ion channel proteins, or membrane transporter
proteins.
| |||
6.18 | Involving a nucleic acid encoding an enzyme: |
| This subclass is indented under subclass 6.1. Subject matter wherein the nucleic acid involved in the test encodes an enzyme. | |
6.19 | Detecting nucleic acid by specific antibody, protein, or ligand-receptor binding assay: |
| This subclass is indented under subclass 6.1. Subject matter wherein the test involves the detection of nucleic acid with a specific antibody, protein, or ligand-receptor binding assay. | |
7.1 | Involving antigen-antibody binding, specific binding protein assay, or specific ligand-receptor binding assay: | ||||||||||||||||||||||||||||||
This subclass is indented under subclass 4. Subject matter in which a measurement or test utilizes an
enzyme or microorganism or plant or animal cells in an antibody
binding, specific binding protein or other specific ligand-receptor
binding test or assay.
SEE OR SEARCH THIS CLASS, SUBCLASS:
SEE OR SEARCH CLASS:
| |||||||||||||||||||||||||||||||
| GLOSSARY | |||||||||||||||||||||||||||||||
| ANALYTE | |||||||||||||||||||||||||||||||
|
The compound or composition to be measured. | |||||||||||||||||||||||||||||||
| SPECIFIC LIGAND-RECEPTOR BINDING ASSAY | |||||||||||||||||||||||||||||||
|
The interaction between a ligand material and a receptor which is specific to a class of compounds or a single compound. | |||||||||||||||||||||||||||||||
| EPITOPE | |||||||||||||||||||||||||||||||
|
A single antigenic determinant portion of the antigen which combines with the antibody site. | |||||||||||||||||||||||||||||||
| LABEL | |||||||||||||||||||||||||||||||
|
A member of a signal producing system which is usually bound to or incorporated in the ligand. Measurement of the label activity is an indication of the amount of unknown in the sample. | |||||||||||||||||||||||||||||||
| LIGAND | |||||||||||||||||||||||||||||||
|
Any organic compound for which a receptor naturally exists or can be prepared; a linking or binding molecule. | |||||||||||||||||||||||||||||||
| RECEPTOR | |||||||||||||||||||||||||||||||
|
Any compound or composition capable of recognizing a particular spatial and polar organization of a molecule, i.e., epitopic site on an antigen. The receptor material can be isolated from a cellular material from a living body such as a membrane or organ and exhibits great specificity to the species to be tested for. A cell surface molecule which binds specifically to particular proteins or peptides in the fluid phase. | |||||||||||||||||||||||||||||||
7.2 | Involving a microorganism or cell membrane bound antigen or cell membrane bound receptor or cell membrane bound antibody or microbial lysate: |
| This subclass is indented under subclass 7.1. Subject matter involving a microorganism or cell membrane bound antigen, or cell membrane bound receptor or cell membrane bound antibody, or lysate of a microorganism. | |
7.21 | Animal cell: | ||||
This subclass is indented under subclass 7.2. Subject matter involving animal cells.
| |||||
7.22 | Parasite or protozoa: | ||||||
This subclass is indented under subclass 7.21. Subject matter involving a parasite or protozoa.
SEE OR SEARCH THIS CLASS, SUBCLASS:
| |||||||
7.23 | Tumor cell or cancer cell: |
| Subject matter under 7.21 involving tumor or cancer cells. | |
7.24 | Leukocyte (e.g., lymphocyte, granulocyte, monocyte, etc.): | ||
This subclass is indented under subclass 7.21. Subject matter involving leukocytes such as lymphocytes, granulocytes, monocytes, etc.
| |||
7.25 | Erythrocyte: | ||
This subclass is indented under subclass 7.21. Subject matter involving red blood cells or reticulocytes.
| |||
7.3 | Flagellar-antigen or pili-antigen: | ||
This subclass is indented under subclass 7.2. Subject matter involving flagellar-antigen (e.g., (H)-antigen, etc.) or
pili-antigen, (e.g., (K)-antigen, etc.).
| |||
7.31 | Fungi (e.g., yeast, mold, etc.): |
| This subclass is indented under subclass 7.2. Subject matter involving fungi such as yeast or mold. | |
7.32 | Bacteria or actinomycetales: |
| This subclass is indented under subclass 7.2. Subject matter involving bacteria or actinomycetales. | |
7.33 | Staphylococcus: |
| This subclass is indented under subclass 7.32. Subject matter involving bacteria of the genus Staphylococcus. | |
7.34 | Streptococcus: |
| This subclass is indented under subclass 7.32. Subject matter involving bacteria of the genus Streptococcus. | |
7.35 | Salmonella: |
| This subclass is indented under subclass 7.32. Subject matter involving bacteria of the genus Salmonella. | |
7.36 | Sexually transmitted disease (e.g., chlamydia, syphilis, gonorrhea, etc.): | ||||
This subclass is indented under subclass 7.32. Subject matter involving a sexually transmitted disease
caused by bacteria.
SEE OR SEARCH THIS CLASS, SUBCLASS:
| |||||
7.37 | Escherichia coli: |
| This subclass is indented under subclass 7.32. Subject matter involving Escherichia coli (E. coli.). | |
7.4 | To identify an enzyme or isoenzyme: | ||||||||||
This subclass is indented under subclass 7.1. Subject matter in which the measurement or test determines
the identity or quantity of an enzyme or group of isoenzymes.
SEE OR SEARCH THIS CLASS, SUBCLASS:
| |||||||||||
7.5 | Involving avidin-biotin binding: | ||
This subclass is indented under subclass 7.1. Subject matter involving the binding of avidin to biotin.
| |||
7.6 | Involving a modified enzyme (e.g., abzyme, recombinant, chemically altered, etc.): | ||||||
This subclass is indented under subclass 7.1. Subject matter involving a modified enzyme which has been
functionally changed through recombinant DNA techniques, chemical
treatment, etc.
SEE OR SEARCH THIS CLASS, SUBCLASS:
| |||||||
7.7 | Assay in which a label present is an apoenzyme, prosthetic group, or enzyme cofactor: | ||||||||||||||||||||||||
This subclass is indented under subclass 7.1. Subject matter in which a label is present in the assay
and is an apoenzyme, prosthetic group or enzyme cofactor.
| |||||||||||||||||||||||||
7.71 | Assay in which a label present is an enzyme inhibitor or functions to alter enzyme activity: | ||
| This subclass is indented under subclass 7.1. Subject matter in which a label is present in the assay
and is an enzyme inhibitor or otherwise functions to alter the function
of the enzyme present in the analysis.
SEE OR SEARCH THIS CLASS, SUBCLASS:
| |||
7.72 | Assay in which a label present is an enzyme substrate or substrate analogue: | ||
| This subclass is indented under subclass 7.1. Subject matter in which a label is present in the assay
and is an enzyme substrate or substrate analogue.
SEE OR SEARCH THIS CLASS, SUBCLASS:
| |||
7.8 | Involving nonmembrane bound receptor binding or protein binding other than antigen-antibody binding: | ||||
This subclass is indented under subclass 7.1. Subject matter in which the measurement or test includes
nonmembrane bound receptor binding or ligand-receptor binding
other than antigen-antibody binding.
SEE OR SEARCH THIS CLASS, SUBCLASS:
| |||||
7.9 | Assay in which an enzyme present is a label: | ||
| This subclass is indented under subclass 7.1. Subject matter in which an enzyme present is a label in
the assay.
SEE OR SEARCH THIS CLASS, SUBCLASS:
| |||
7.91 | Enzyme produces product which is part of another reaction system (e.g., cyclic reaction, cascade reaction, etc.): | ||
This subclass is indented under subclass 7.9. Subject matter in which the enzyme label produces a product
which is part of another reaction system.
| |||
7.92 | Heterogeneous or solid phase assay system (e.g., ELISA, etc.): | ||||||
| This subclass is indented under subclass 7.9. Subject matter in which the assay system requires at least
one separation step which allows differentiation of reacted from
unreacted material or requires that at least one of the immunochemicals
in the system be bound to an insoluble support material.
SEE OR SEARCH THIS CLASS, SUBCLASS:
SEE OR SEARCH CLASS:
| |||||||
7.93 | Competitive assay: |
| This subclass is indented under subclass 7.92. Subject matter in which the heterogeneous or solid phase assay involves competitive binding of immunologically similar or identical compounds. | |
7.94 | Sandwich assay: |
| This subclass is indented under subclass 7.92. Subject matter in which the heterogeneous or solid phase assay involves the binding of polyvalent analyte antigen to an antibody and a labeled antibody to obtain a measurable antibody-antigen-antibody complex; alternatively, a second unlabeled antibody and a third labeled anti-antibody can be reacted with the antigen-antibody complex to obtain a measurable result. | |
7.95 | Indirect assay: |
| This subclass is indented under subclass 7.92. Subject matter in which the heterogeneous or solid phase assay involves the binding of antigen with analyte antibody and a labeled anti-antibody thereby forming a complex. | |
8 | Involving luciferase: | ||
This subclass is indented under subclass 4. Subject matter where the material to be measured or tested
contains luciferase or the agent used for the measurement or test
contains luciferase.
| |||
9 | Geomicrobiological testing (e.g., for petroleum, etc.): | ||||
This subclass is indented under subclass 4. Subject matter where the measurement or test is for the
presence or absence of mineral deposits or for the presence of microorganisms which
thrive in the presence of such minerals.
SEE OR SEARCH CLASS:
| |||||
10 | Involving uric acid: |
| This subclass is indented under subclass 4. Subject matter where the material to be measured or tested contains uric acid or the agent used for the measurement or test contains uric acid. | |
11 | Involving cholesterol: |
| This subclass is indented under subclass 4. Subject matter where the material to be measured or tested contains cholesterol or the agent used for the measurement or test contains cholesterol. | |
12 | Involving urea or urease: |
| This subclass is indented under subclass 4. Subject matter where the material to be measured or tested contains urea or urease or the agent used for the measurement or test contains urea or urease. | |
13 | Involving blood clotting factor (e.g., involving thrombin, thromboplastin, fibrinogen, etc.): | ||
| This subclass is indented under subclass 4. Subject matter where the material to be measured or tested
contains a blood clotting factor or the agent used for the measurement
or test contains a blood clotting factor.
SEE OR SEARCH CLASS:
| |||
14 | Involving glucose or galactose: |
| This subclass is indented under subclass 4. Subject matter where the material to be measured or tested contains glucose or galactose or the agent used for the measurement or test contains glucose or galactose. | |
15 | Involving transferase: |
| This subclass is indented under subclass 4. Subject matter where the material to be measured or tested contains a transferase or the agent used for the measurement or test contains a transferase. | |
16 | Involving transaminase: |
| This subclass is indented under subclass 15. Subject matter subclass where the material to be measured or tested contains a transaminase or the agent used for the measurement or test contains a transaminase. | |
17 | Involving creatine phosphokinase: | ||
This subclass is indented under subclass 15. Subject matter where the material to be measured or tested
contains creatine phosphokinase or the agent used for the measurement
or test contains creatine phosphokinase.
| |||
18 | Involving hydrolase: |
| This subclass is indented under subclass 4. Subject matter where the material to be measured or tested contains a hydrolase or the agent used for the measurement or test contains a hydrolase. | |
19 | Involving esterase: |
| This subclass is indented under subclass 18. Subject matter where the material to be measured or tested contains an esterase or the agent used for the measurement or test contains an esterase. | |
20 | Involving cholinesterase: |
| This subclass is indented under subclass 19. Subject matter where the material to be measured or tested contains cholinesterase or acetylcholinesterase or the agent used for the measurement or tests contains cholinesterase or acetylcholinesterase. | |
21 | Involving phosphatase: | ||
This subclass is indented under subclass 19. Subject matter where the material to be measured or tested
contains a phosphatase or the agent used for the measurement or
test contains a phosphatase.
| |||
22 | Involving amylase: |
| This subclass is indented under subclass 18. Subject matter where the material to be measured or tested contains amylase or the agent used for the measurement or test contains amylase. | |
23 | Involving proteinase: | ||||
This subclass is indented under subclass 18. Subject matter where the material to be measured or tested
contains proteinase (endopeptidase) or the agent
used for the measurement or test contains a proteinase (endopeptidase).
| |||||
24 | Involving peptidase: |
| This subclass is indented under subclass 18. Subject matter where the material to be measured or tested contains a peptidase (exopeptidase) or the agent used for the measurement or test contains a peptidase (exopeptidase). | |
25 | Involving oxidoreductase: |
| This subclass is indented under subclass 4. Subject matter where the material to be measured or tested contains an oxidoreductase or the agent used for the measurement or test contains an oxidoreductase. | |
26 | Involving dehydrogenase: |
| This subclass is indented under subclass 25. Subject matter where the material to be measured or tested contains a dehydrogenase or the agent used for the measurement or test contains a dehydrogenase. | |
27 | Involving catalase: |
| This subclass is indented under subclass 25. Subject matter where the material to be measured or tested contains catalase or the agent used for the measurement or test contains catalase. | |
28 | Involving peroxidase: |
| This subclass is indented under subclass 25. Subject matter where the material to be measured or tested contains peroxidase or the agent used for the measurement or test contains peroxidase. | |
29 | Involving viable microorganism: | ||||||||||||
This subclass is indented under subclass 4. Subject matter where the material to be tested contains
a microorganism or the agent used for the measurement or test contains
a microorganism.
SEE OR SEARCH THIS CLASS, SUBCLASS:
SEE OR SEARCH CLASS:
| |||||||||||||
30 | Methods of sampling or inoculating or spreading a sample; methods of physically isolating an intact microorganism: | ||||||||||||
This subclass is indented under subclass 29. Processes in which (a) a series of sampling steps
are claimed in which a sample containing a microorganism is separated
or recovered from a larger body of material before or while performing
a measurement or test, or (b) a sample
is brought into contact with a measuring or testing media to result
in a particular geometric pattern or at a particular varying flow
rate.
SEE OR SEARCH THIS CLASS, SUBCLASS:
| |||||||||||||
31 | Testing for sterility condition: | ||
This subclass is indented under subclass 29. Subject matter wherein the efficacy of a prior step intended
to destroy living organisms is assessed by attempting to culture
a microorganism which has been exposed to such treatment and determining
subsequent growth or by exposing an enzyme to such treatment and
subsequently testing for enzymatic activity.
| |||
32 | Testing for antimicrobial activity of a material: | ||
This subclass is indented under subclass 29. Subject matter where the in vitro ability of a material
to kill or inhibit the growth of microorganisms is determined.
| |||
33 | Using multifield media: | ||||
This subclass is indented under subclass 32. Subject matter where the test field contains more than one
zone or area.
| |||||
34 | Determining presence or kind of microorganism; use of selective media: | ||||||||||
This subclass is indented under subclass 29. Subject matter where the presence of or identity of a microorganism
is determined.
SEE OR SEARCH THIS CLASS, SUBCLASS:
| |||||||||||
35 | Using radioactive material: |
| This subclass is indented under subclass 34. Subject matter where the test media contains an assimilable radioactive labeled compound. | |
36 | Streptococcus; staphylococcus: |
| This subclass is indented under subclass 34. Subject matter where the microorganisms involved are Streptococcus or Staphylococcus or the agent is specific for indicating the presence or absence of Streptococcus or Staphylococcus. | |
37 | Nitrate to nitrite reducing bacteria: | ||||
This subclass is indented under subclass 34. Subject matter where the microorganisms involved are nitrite
forming bacteria or the agent is specific for indicating the presence
or absence of nitrite forming bacteria.
| |||||
38 | Enterobacteria: |
| This subclass is indented under subclass 34. Subject matter where the microorganism involved is an enterobacteria or the agent is specific for indicating the presence or absence of enterobacteria. | |
39 | Quantitative determination: | ||||||
This subclass is indented under subclass 34. Subject matter where the number or concentration of living
microorganisms in the material is found.
SEE OR SEARCH CLASS:
| |||||||
40 | Using multifield media: | ||
This subclass is indented under subclass 39. Subject matter which uses a test substrate that has more
than one test zone or area.
| |||
40.5 | Involving fixed or stabilized, nonliving microorganism, cell, or tissue (e.g., processes of staining, stabilizing, dehydrating, etc.; compositions used therefore, etc.): | ||||||||||||||||||||||||||||||||||||
This subclass is indented under subclass 4. Subject where the material to be tested contains fixed or
stabilized, nonliving microorganisms, cells, or
tissues or the agent used for the measurement or test contains fixed
or stabilized, nonliving microorganisms, cells, or
tissues.
SEE OR SEARCH THIS CLASS, SUBCLASS:
SEE OR SEARCH CLASS:
| |||||||||||||||||||||||||||||||||||||
40.51 | Involving a monolayer, smear or suspension of microorganisms or cells: | ||||
This subclass is indented under subclass 40.5. Subject where the fixed or stabilized, nonliving microorganisms
or cells are in the form of a monolayer, smear, or
a suspension.
| |||||
40.52 | Involving tissue sections: | ||||
This subclass is indented under subclass 40.5. Subject matter wherein the fixed or stabilized, nonliving
tissue is in the form of a tissue section.
| |||||
41 | MICROORGANISM, TISSUE CELL CULTURE, OR ENZYME USING PROCESS TO SYNTHESIZE A DESIRED CHEMICAL COMPOUND OR COMPOSITION: | ||||||||||||||||||||
This subclass is indented under the class definition. Processes wherein the product is synthesized by a biochemical
transformation of matter, i.e., a
transformation wherein the transforming agent is a microorganism, or
an enzyme or an immobilized enzyme or an animal or plant cell culture
or organelles.
SEE OR SEARCH CLASS:
| |||||||||||||||||||||
42 | Process involving microorganisms of different genera in the same process, simultaneously: |
| This subclass is indented under subclass 41. Processes wherein microorganisms of different genera are simultaneously propagated on the same culture media. | |
43 | Preparing compound having a 1- thia- 4- aza-bicyclo (3.2.0) heptane ring system (e.g., penicillin, etc.): | ||
| This subclass is indented under subclass 41. Processes wherein the product synthesized contains a 1-thia-4-aza-bicyclo (3.2.0) heptane polycyclic
ring system, i.e.,
| |||
44 | By desacylation of the substituent in 6-position: |
| This subclass is indented under subclass 43. Processes wherein the product synthesized is prepared by the hydrolysis of an acetyl group in the 6-position. | |
45 | By acylation of the substituent in 6-position: | ||
This subclass is indented under subclass 43. Processes wherein the product synthesized is prepared by
substituting an acyl group in the 6-position.
| |||
46 | In presence of phenyl acetic acid or phenyl acetamide or their derivatives: |
| This subclass is indented under subclass 43. Processes wherein phenyl acetic acid or substituted phenyl acetic acid or salts thereof or phenyl acetamide or substituted phenyl acetamide or salts thereof is present during the synthesis. | |
47 | Preparing compound having a 1 -thia -5- aza-bicyclo (4.2.0) octane ring system (e.g., cephalosporin, etc.): |
| This subclass is indented under subclass 41. Processes wherein the product synthesized contains a 1-thia-5-aza-bicyclo (4.2.0) octane polycyclic
ring system, i.e.,
| |
48 | Di-substituted in 7-position: |
| This subclass is indented under subclass 47. Processes wherein the polycyclic ring system synthesized contains two substituents other than hydrogen in the 7-position. | |
49 | Cephalosporin C: | ||
| This subclass is indented under subclass 47. Processes wherein the product contains 7-(D-5-amino-5-carboxy
valer-amido)-3-(hydroxy methyl)-8- oxo - 1 -thia-5-aza-bicyclo (4.2.0) -oct -3 -ene -3-carboxylic
acid acetate, i.e.
| |||
50 | By acylation of the substituent in the 7-position: |
| This subclass is indented under subclass 47. Processes wherein the product synthesized is prepared by amide bond formation, present with the nitrogen attached at the 7-position. | |
51 | By desacylation of the substituent in the 7-position: |
| This subclass is indented under subclass 47. Processes wherein the product synthesized is prepared by cleaving the amide bond with the nitrogen attached to the 7-position. | |
52 | Preparing compound containing a cyclopentanohydrophenanthrene nucleus; nor-, homo-, or D-ring lactone derivatives thereof: | ||||||
| This subclass is indented under subclass 41. Processes wherein the product synthesized contains a cyclopentanophenanthrene
ring system, i.e., or the nor
or homo or D-ring lactone derivatives.
| |||||||
53 | Containing heterocyclic ring: | ||
This subclass is indented under subclass 52. Processes wherein the cyclopentanophenanthrene ring system
synthesized contains an additional ring which is a hetero ring.
| |||
54 | Acting on D-ring: | ||
This subclass is indented under subclass 52. Processes wherein the product synthesized is formed by biochemical
transformation within the D-ring.
| |||
55 | Acting at 17-position: | ||
This subclass is indented under subclass 54. Processes wherein the product synthesized is formed by biochemical
transformation at the 17-position.
| |||
56 | Hydroxylating at 17-position: |
| This subclass is indented under subclass 55. Processes wherein the product synthesized has a hydroxyl group at the 17-position and is formed by the addition of an oxygen atom to the pendant hydrogen atom. | |
57 | Hydroxylating at 16-position: |
| This subclass is indented under subclass 54. Processes wherein the product synthesized has a hydroxyl group at the 16-position and is formed by the addition of oxygen to the ring pendant hydrogen atom. | |
58 | Hydroxylating: |
| This subclass is indented under subclass 52. Processes wherein a carbon atom on the substrate nucleus is hydroxylated by the addition of oxygen to the ring pendant hydrogen atom. | |
59 | At 11-position: |
| This subclass is indented under subclass 58. Processes wherein the product synthesized has a hydroxyl group formed at the 11-position. | |
60 | At 11 alpha position: |
| This subclass is indented under subclass 59. Processes wherein the product synthesized has a hydroxyl group formed at the 11 Alpha position. | |
61 | Dehydrogenating; dehydroxylating: | ||
This subclass is indented under subclass 52. Processes wherein the product synthesized is produced by
the removal from the nucleus of a pair of hydrogen atoms creating
an unsaturated bond or the product is synthesized by removal or
addition of a hydroxyl group.
| |||
62 | Forming an aryl ring from "A" ring: |
| This subclass is indented under subclass 61. Processes wherein the product synthesized contains an aromatic "A" ring which is formed by dehydrogenation. | |
63 | Preparing compound containing a prostaglandin nucleus: |
| This subclass is indented under subclass 41. Processes wherein the product synthesized contains a five
membered ring having two side-chains in ortho position
to each other, and having at least one oxygen atom directly
bound to the ring in ortho position to one of the side-chains, one
side-chain containing, not directly bound to the
ring, a carbon atom having three bonds to hetero atoms
with at the most one bond to halogen, and the other side-chain
having at least one oxygen atom bound in position to the ring, i.e., prostaglandins
having the structure,
| |
64 | Preparing compound other than saccharide containing a tetracycline nucleus (e.g., naphthacene, etc.): | ||||||
| This subclass is indented under subclass 41. Processes wherein the product synthesized contains a naphthacene
ring system (i.e., see figure
below) and nonsaccharide ring unsaturated derivatives thereof.
SEE OR SEARCH THIS CLASS, SUBCLASS:
| |||||||
65 | Preparing compound other than saccharide containing a gibberellin nucleus (i.e., gibbane): | ||||||
| This subclass is indented under subclass 41. Processes wherein the product synthesized contains other
than the saccharide.
SEE OR SEARCH THIS CLASS, SUBCLASS:
| |||||||
66 | Preparing compound other than saccharide containing alloxazine or isoalloxazine nucleus: | ||||||
| This subclass is indented under subclass 41. Processes wherein the product synthesized contains an alloxazine
or isoalloxazine ring system, e.g., and
is not a saccharide.
SEE OR SEARCH THIS CLASS, SUBCLASS:
| |||||||
67 | Preparing compound containing a carotene nucleus (i.e., carotene): | ||||||
| This subclass is indented under subclass 41. Processes wherein the product synthesized contains either
the first or second structures below.
SEE OR SEARCH THIS CLASS, SUBCLASS:
| |||||||
68.1 | Enzymatic production of a protein or polypeptide (e.g., enzymatic hydrolysis, etc.): | ||||||||||||||||
This subclass is indented under subclass 41. Processes wherein the enzymatically produced product is
a high molecular weight polypeptide of alpha amino acids or consists
of two or more amino acids linked by a peptide bond.
SEE OR SEARCH CLASS:
| |||||||||||||||||
69.1 | Recombinant DNA technique included in method of making a protein or polypeptide: | ||||||||||||||
This subclass is indented under subclass 41. Processes which involve the use of recombinant DNA techniques
in a process of synthesis of a protein or polypeptide.
SEE OR SEARCH THIS CLASS, SUBCLASS:
SEE OR SEARCH CLASS:
| |||||||||||||||
69.2 | Enzyme inhibitors or activators: | ||||
Processes under subclasses 69.1 wherein the product
synthesized is an enzyme inhibitor or activator which is a protein
or polypeptide.
SEE OR SEARCH THIS CLASS, SUBCLASS:
| |||||
69.3 | Antigens: | ||||||||||
This subclass is indented under subclass 69.1. Processes wherein the product synthesized is claimed or
solely disclosed as functioning as an antigen.
SEE OR SEARCH THIS CLASS, SUBCLASS:
SEE OR SEARCH CLASS:
| |||||||||||
69.4 | Hormones or fragments thereof: | ||||||
This subclass is indented under subclass 69.1. Processes wherein the product synthesized is a hormone or
a part of a hormone.
SEE OR SEARCH CLASS:
| |||||||
69.5 | Lymphokines or monokines: | ||||||
This subclass is indented under subclass 69.1. Processes wherein the product synthesized is a lymphokine
or monokine.
SEE OR SEARCH CLASS:
| |||||||
69.51 | Interferons: | ||||
| This subclass is indented under subclass 69.5. Processes wherein the product synthesized is an interferon.
SEE OR SEARCH CLASS:
| |||||
69.52 | Interleukins: | ||||
| This subclass is indented under subclass 69.5. Processes wherein the product synthesized is an interleukin.
SEE OR SEARCH CLASS:
| |||||
69.6 | Blood proteins: | ||||||||||
This subclass is indented under subclass 69.1. Processes wherein the product synthesized is a blood protein.
SEE OR SEARCH THIS CLASS, SUBCLASS:
SEE OR SEARCH CLASS:
| |||||||||||
69.7 | Fusion proteins or polypeptides: | ||||
This subclass is indented under subclass 69.1. Processes wherein the product synthesized is a fusion protein
or fusion polypeptide.
SEE OR SEARCH CLASS:
| |||||
69.8 | Signal sequence (e.g., beta-galactosidase, etc.): | ||||
| This subclass is indented under subclass 69.1. Process wherein the product synthesized is a protein or
polypeptide with a signal sequence such as beta-galactosidase.
SEE OR SEARCH THIS CLASS, SUBCLASS:
SEE OR SEARCH CLASS:
| |||||
69.9 | Yeast derived: | ||||||
This subclass is indented under subclass 69.8. Processes wherein the product synthesized is a protein or
polypeptide with a yeast derived signal sequence.
SEE OR SEARCH THIS CLASS, SUBCLASS:
SEE OR SEARCH CLASS:
| |||||||
70.1 | Using tissue cell culture to make a protein or polypeptide: | ||||||||
This subclass is indented under subclass 41. Processes wherein an in vitro tissue cell culture is used
to produce a protein or polypeptide.
SEE OR SEARCH THIS CLASS, SUBCLASS:
SEE OR SEARCH CLASS:
| |||||||||
70.2 | Fused or hybrid cells: | ||||||||||||
This subclass is indented under subclass 70.1. Processes wherein the product is synthesized by culture
of fused or hybrid cells.
SEE OR SEARCH THIS CLASS, SUBCLASS:
SEE OR SEARCH CLASS:
| |||||||||||||
70.21 | Producing monoclonal antibody: | ||||||||||||
This subclass is indented under subclass 70.21. Processes wherein the product synthesized by the fused or
hybrid cell is a monoclonal antibody.
SEE OR SEARCH THIS CLASS, SUBCLASS:
SEE OR SEARCH CLASS:
| |||||||||||||
70.3 | Animal tissue cell culture: | ||||||||||
This subclass is indented under subclass 70.2. Processes wherein the protein or polypeptide product synthesized
is derived from the culture of animal tissue cells.
SEE OR SEARCH THIS CLASS, SUBCLASS:
SEE OR SEARCH CLASS:
| |||||||||||
70.4 | Blood (lymphoid) cell culture: | ||||||
This subclass is indented under subclass 70.3. Processes wherein the product synthesized is produced by
culture of blood cells.
SEE OR SEARCH THIS CLASS, SUBCLASS:
SEE OR SEARCH CLASS:
| |||||||
70.5 | Producing interferons: | ||||||
| This subclass is indented under subclass 70.4. Processes wherein the product synthesized is an interferon.
SEE OR SEARCH THIS CLASS, SUBCLASS:
SEE OR SEARCH CLASS:
| |||||||
71.1 | Using a microorganism to make a protein or polypeptide: | ||||||||||
This subclass is indented under subclass 41. Processes wherein a protein or peptide synthesized is produced
by a culture of a microorganism.
SEE OR SEARCH THIS CLASS, SUBCLASS:
SEE OR SEARCH CLASS:
| |||||||||||
71.2 | Procaryotic microorganism: | ||||||
This subclass is indented under subclass 71.1. Processes wherein the microorganism is procaryotic.
SEE OR SEARCH THIS CLASS, SUBCLASS:
SEE OR SEARCH CLASS:
| |||||||
71.3 | Antibiotic or toxin: | ||||
This subclass is indented under subclass 71.2. Processes wherein the product synthesized is an antibiotic
or toxin.
SEE OR SEARCH CLASS:
| |||||
72 | Preparing compound containing saccharide radical: | ||||||||||||||
This subclass is indented under subclass 41. Processes wherein the product synthesized contains a saccharide
or polysaccharide, the monomeric units of which contain
at least five-carbon atoms, or their reaction
products wherein the carbon skeleton of the saccharide or polysaccharide
of the unit is not destroyed.
SEE OR SEARCH THIS CLASS, SUBCLASS:
SEE OR SEARCH CLASS:
| |||||||||||||||
73 | Preparing S-glycoside (e.g, lincomycin, etc.): | ||||||||||
This subclass is indented under subclass 72. Processes wherein the product synthesized is a thioacetal
derivative of a cyclic form of sugar in which the hydrogen atom
of the hemithioacetal sulfhydryl group has been replaced by an alkyl, aralkyl, or
aryl group.
| |||||||||||
74 | Preparing O-glycoside (e.g, glucosides, etc.): | ||||||||||
This subclass is indented under subclass 72. Processes wherein the product synthesized is an acetal derivative
of a cyclic form of sugars in which the hydrogen atom of the hemiacetal hydroxyl
has been replaced by an alkyl, aralkyl, or aryl
group.
| |||||||||||
75 | Oxygen of the saccharide radical is directly bonded to a nonsaccharide heterocyclic ring or a fused- or bridged-ring system which contains a nonsaccharide heterocyclic ring (e.g., coumermycin, novobiocin, etc.): |
| This subclass is indented under subclass 74. Processes wherein a nonsaccharide heterocyclic ring or a
fused or bridged- ring system which contains a nonsaccharide
heterocyclic ring is attached to an oxygen of the saccharide radical, e.g.,
| |
76 | The hetero ring has eight or more ring members and only oxygen as ring hetero atoms (e.g., erythromycin, spiramycin, nystatin, etc.): |
| This subclass is indented under subclass 75. Processes wherein the nonsaccharide heterocyclic ring has
eight or more ring members and only oxygen as the ring heteroatom, e.g.,
| |
77 | Oxygen atom of the saccharide radical is directly linked through only acyclic carbon atoms to a nonsaccharide heterocyclic ring (e.g., bleomycin, phleomycin, etc.): |
| This subclass is indented under subclass 74. Processes wherein the Heterocyclic ring is directly linked
to an oxygen atom of the saccharide radical directly through only
acyclic carbon atoms, e.g.,
| |
78 | Oxygen atom of the saccharide radical is directly bonded to a condensed ring system having three or more carbocyclic rings (e.g., dauomycin, adriamycin, etc.): |
| This subclass is indented under subclass 74. Processes wherein a condensed ring system having three or
more carbocyclic rings is directly bonded to an oxygen atom of the
saccharide radical, e.g.,
| |
79 | Oxygen atom of the saccharide radical is bonded to a cyclohexyl radical (e.g., kasugamycin, etc.): |
| This subclass is indented under subclass 74. Processes wherein a cyclohexyl radical is bonded to an oxygen
atom of the saccharide radical, e.g.,
| |
80 | Cyclohexyl radical is substituted by two or more nitrogen atoms (e.g., destomycin, neamin, etc.): |
| This subclass is indented under subclass 79. Processes wherein two or more nitrogen atoms are attached
to the cyclohexyl radical, e.g.,
| |
81 | Cyclohexyl radical is attached directly to a nitrogen atom of two or more N-C(=N)-N radicals (e.g., streptomycin, etc.): |
| This subclass is indented under subclass 80. Processes wherein nitrogen atoms of two or more N-C(=N)-N
radicals are bonded to the cyclohexyl radical, e.g.,
| |
82 | Having two saccharide radicals bonded through only oxygen to adjacent ring carbons of the cyclohexyl radical (e.g., ambutyrosin, ribostamycin, etc.): |
| This subclass is indented under subclass 80. Processes wherein the cyclohexyl radical is separately, independently
bonded to two or more oxygen atoms of saccharide radicals at adjacent
ring carbons, e.g.,
| |
83 | Containing three or more saccharide radicals (e.g., liquidomycin, neomycin, lividomycin, etc.): |
| This subclass is indented under subclass 82. Processes wherein the cyclohexyl radical is bonded directly
or indirectly to three or more saccharide radicals, e.g.,
| |
84 | Preparing nitrogen-containing saccharide: |
| This subclass is indented under subclass 72. Processes wherein the product synthesized has a nitrogen-containing group bonded to a chain carbon of the saccharide or polysaccharide. | |
85 | N-glycoside: | ||||
This subclass is indented under subclass 84. Processes wherein the product synthesized is a glycosidic
derivative of the cyclic forms of saccharides or polysaccharides
in which the aglycone portion is attached through nitrogen to the saccharide
moiety by substituting it for the hemiacetal hydroxyl of the sugar.
| |||||
86 | Cobalamin (i.e., vitamin B12,LLD factor): |
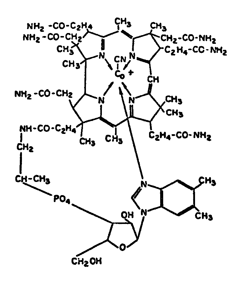
| This subclass is indented under subclass 85. Processes wherein the product synthesized has the following
structure:
| |
87 | Nucleoside: | ||
This subclass is indented under subclass 85. Processes wherein the nitrogen is part of a purine or pyrimidine
or a substituted purine or pyrimidine ring and the product synthesized does
not contain phosphorus.
| |||
88 | Having a fused ring containing a six-membered ring having two N-atoms in the same ring (e.g., purine nucleosides, etc.): | ||
This subclass is indented under subclass 87. Processes wherein the nitrogen is part of a purine or substituted
purine ring.
| |||
89 | Nucleotide: |
| This subclass is indented under subclass 85. Processes wherein the nitrogen is part of a purine or pyrimidine or a substituted purine or pyrimidine ring and the compound additionally contains a phosphoric acid residue esterified to one of the hydroxyl groups of a saccharide moiety. | |
90 | Dinucleotide (e.g., NAD, etc.): | ||
This subclass is indented under subclass 89. Processes wherein the product contains only two nucleotides
joined through esterified phosphoric acid residues.
| |||
91.1 | Polynucleotide (e.g., nucleic acid, oligonucleotide, etc.): | ||||||||||||||
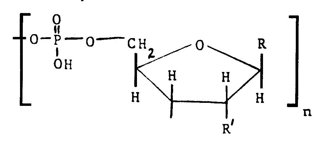
| This subclass is indented under subclass 89. Processes wherein the product synthesized is (see
image below) where "n" is a whole number
greater than 2, R" is H or OH, and R is purine
or pyrimidine or a substituted purine or pyrimidine.
SEE OR SEARCH THIS CLASS, SUBCLASS:
SEE OR SEARCH CLASS:
| |||||||||||||||
91.2 | Acellular exponential or geometric amplification (e.g., PCR, etc.): | ||||
This subclass is indented under subclass 91.1. Processes which result in a geometric or exponential increase
in the number of copies of a nucleotide sequence or sequences, rather
than an arithmetic increase which occurs in the making of a single
complementary copy of a nucleotide, wherein such processes
take place without the involvement of viruses, eukaryotic cells, or
prokaryotic cells.
| |||||
91.21 | Involving the making of multiple RNA copies: | ||
This subclass is indented under subclass 91.2. Processes which result in a geometric or exponential, rather
than an arithmetic increase in the number of copies of a ribonucleotide
sequence or sequences.
| |||
91.3 | Polynucleotide contains only ribonucleotide monomers: | ||||
| This subclass is indented under subclass 91.1. Processes wherein the product synthesized is (see
image below): where "n" is
a whole number greater than 2 and R is purine or pyrimidine or a
substituted purine or pyrimidine.
SEE OR SEARCH THIS CLASS, SUBCLASS:
| |||||
91.31 | Involving catalytic ribonucleic acid: | ||||
This subclass is indented under subclass 91.3. Processes wherein a ribonucleic acid (RNA) acting
as an enzyme is involved as a reactant in, or as a product
of, a process of synthesizing a polynucleotide containing
only ribonucleotide monomers.
| |||||
91.32 | Prepared from virus, prokaryotic cell, or eukaryotic cell culturing process: | ||||
This subclass is indented under subclass 91.3. Processes wherein the desired RNA results from the culturing
of a virus, prokaryote, or eukaryote.
| |||||
91.33 | Involving virus: |
| This subclass is indented under subclass 91.32. Processes wherein a virus is involved in the production of the polyribonucleotide. | |
91.4 | Modification or preparation of a recombinant DNA vector: | ||||||
This subclass is indented under subclass 91.1. Processes involving the insertion, deletion, addition, or
substitution of a nucleotide or nucleotides in an already existing
vector or involving the creation of a new vector.
SEE OR SEARCH THIS CLASS, SUBCLASS:
| |||||||
91.41 | By insertion or addition of one or more nucleotides: |
| This subclass is indented under subclass 91.4. Process involving the insertion of a nucleotide or a nucleotide sequence into a vector or onto the end of a vector wherein the result is a vector different from the starting vector. | |
91.42 | Involving deletion of a nucleotide or nucleotides from a vector: |
| This subclass is indented under subclass 91.4. Processes involving the removal of an unwanted nucleotide or nucleotide sequence from the vector structure wherein the result is a vector different from the starting vector. | |
91.5 | Acellular preparation of polynucleotide: | ||
This subclass is indented under subclass 91.1. Processes wherein the polynucleotide is prepared enzymatically (with
no virus, eukaryotic cell, or prokaryotic cell
involvement in the preparation step) which results in a
new polynucleotide or a polynucleotide different from the starting
polynucleotide.
| |||
91.51 | Involving RNA as a starting material or intermediate: |
| This subclass is indented under subclass 91.5. Processes wherein RNA is involved in the preparation of a polynucleotide as a template for the polynucleotide or as an intermediate in the process which results in the polynucleotide. | |
91.52 | Involving a ligase (6.): | ||
This subclass is indented under subclass 91.5. Processes wherein a ligase (6.) is
involved in the preparation of the polynucleotide.
| |||
91.53 | Involving a hydrolase (3.): | ||
This subclass is indented under subclass 91.5. Processes wherein a hydrolase (3.) is
involved in the preparation of the polynucleotide.
| |||
92 | Having a fused ring containing a six-membered ring having two N-atoms in the same ring (e.g., purine based mononucleotides, etc.): | ||
This subclass is indented under subclass 89. Processes wherein the nitrogen atoms are part of a purine
or substituted purine ring.
| |||
93 | Mashing or wort making: | ||||||||||||||||||
This subclass is indented under subclass 72. Processes wherein the product is mashed grain or wort which
has been prepared by a biochemical reaction utilizing malt, or
malt diastase, or a malt extract.
SEE OR SEARCH THIS CLASS, SUBCLASS:
SEE OR SEARCH CLASS:
| |||||||||||||||||||
94 | Produced by the action of an isomerase (e.g., frutose by the action of xylose isomerase on glucose, etc.): | ||||
| This subclass is indented under subclass 17. Processes wherein the product synthesized is an enzymatically
isomerized polysaccharide or saccharide containing compound.
SEE OR SEARCH THIS CLASS, SUBCLASS:
| |||||
95 | Produced by the action of a beta-amylase (e.g., maltose by the action of beta-amylase on amylose, etc.): | ||||||
This subclass is indented under subclass 72. Processes wherein the product is produced by the successive
hydrolysis of alpha-1, 4-glucan bonds
in a polysaccharide from a terminal end.
SEE OR SEARCH THIS CLASS, SUBCLASS:
| |||||||
96 | Produced by the action of an exo-1.4 alpha glucosidase (e.g., dextrose by the action of glucoamylase on starch, etc.): | ||||||
| This subclass is indented under subclass 72. Processes wherein the product synthesized is produced by
the hydrolysis of alpha-1, 4-glucan bonds
of saccharides or polysaccharides.
SEE OR SEARCH THIS CLASS, SUBCLASS:
| |||||||
97 | Produced by the action of a glycosyl transferase (e.g., alpha, beta, or gamma-cyclodextrins by the action of glycosyl transferase on starch, etc.): | ||||
| This subclass is indented under subclass 72. Processes wherein the product synthesized is produced by
the direct transfer of a glycosyl moiety from one saccharide or
polysaccharide to another, e.g., cyclo-dextrins, etc.
SEE OR SEARCH THIS CLASS, SUBCLASS:
| |||||
98 | Produced by the action of an alpha-1, 6-glucosidase (e.g., amylose, debranched amylopectin by action of pullulanase, etc.): | ||||
| This subclass is indented under subclass 72. Processes wherein the product is produced by the hydrolysis
of alpha-1, 6-glucan bonds in polysaccharides.
SEE OR SEARCH THIS CLASS, SUBCLASS:
| |||||
99 | Produced by the action of a carbohydrase (e.g., maltose by the action of alpha amylase on starch, etc.): | ||||
| This subclass is indented under subclass 72. Processes wherein the product synthesized is a saccharide
or polysaccharide produced by the enzymatic hydrolysis of a polysaccharide.
SEE OR SEARCH THIS CLASS, SUBCLASS:
| |||||
100 | Disaccharide: |
| This subclass is indented under subclass 72. Processes wherein the product synthesized is a glycoside composed of only two glucan moieties. | |
101 | Polysaccharide of more than five saccharide radicals attached to each other by glycosidic bonds: |
| This subclass is indented under subclass 72. Processes wherein the product synthesized contains five or more saccharide moieties bonded together. | |
102 | Pullulan: |
| This subclass is indented under subclass 101. Processes wherein the polysaccharide is composed of glucose units which are joined predominantly by 1, 6-glucosidic bonds. | |
103 | Dextran: | ||
This subclass is indented under subclass 101. Processes wherein the polysaccharide is composed of maltotriose
units which are linked by 1, 6-glucosidic bonds.
| |||
104 | Xanthan (i.e., xanthomonas-type heteropolysaccharides): |
| This subclass is indented under subclass 101. Processes wherein the polysaccharide is prepared through the cultivation of a species of Xanthomonas. | |
105 | Monosaccharide: |
| This subclass is indented under subclass 72. Processes wherein the product synthesized is a monosaccharide. | |
106 | Preparing alpha or beta amino acid or substituted amino acid or salts thereof: | ||||
This subclass is indented under subclass 41. Processes wherein the product synthesized is an orgnaic
compound that contains both a basic amino group and an acidic carboxyl
group where a primary or secondary amino group is directly bonded
to the alpha or beta carbon.
| |||||
107 | Proline; hydroxyproline; histidine: |
| This subclass is indented under subclass 106. Processes wherein the product synthesized is an acid or salt form of alpha-2-pyrrolidine carboxylic acid or 4-hydroxy-2-pyrrolidine carboxylic acid or alpha-amino-4-imidazole propionic acid. | |
108 | Tryptophan; tyrosine; phenylalanine; 3, 4, dihydroxyphenylalanine: |
| This subclass is indented under subclass 106. Processes wherein the product synthesized is an acid or salt form of alpha-amino-beta-phenyl-propionic acid or p-hydroxyphenylaminoacetic acid or 2-amino-3-(3, 4-dihydroxyphenyl) propanoic acid or 1-alpha-aminoindole-3-propionic acid. | |
109 | Aspartic acid (asparaginic acid); asparagine: |
| This subclass is indented under subclass 106. Processes wherein the product synthesized is an acid or salt form of amino succinic acid or alpha-amino succinamic acid. | |
110 | Glutamic acid; glutamine: |
| This subclass is indented under subclass 106. Processes wherein the product synthesized is an acid or salt form of 2-amino pentanedioic acid or alpha-amino-glutaric acid or 1-amino propane-1, 3-dicarboxylic acid or 2-amino glutaramic acid or glutamic acid 5-amide. | |
111 | Utilizing biotin or its derivatives: | ||||
This subclass is indented under subclass 110. Processes wherein biotin or biotin derivative is present
in the production media.
| |||||
112 | Utilizing surfactant, fatty acids, or fatty acid esters (i.e., having seven or more carbon atoms): | ||
This subclass is indented under subclass 110. Processes wherein a surfactant or a fatty acid or a fatty
acid ester is present in the production media.
| |||
113 | Methionine; cysteine; cystine: |
| This subclass is indented under subclass 106. Processes wherein the product synthesized is an acid or salt form of 2-amino-4-(methyl thio) butyric acid or 2-amino-3-mercaptopropanoic acid or 3, 3"-dithiobis (2-aminopropanoic acid). | |
114 | Citrulline; arginine; ornithine: |
| This subclass is indented under subclass 106. Processes wherein the product synthesized is an acid or salt form of alpha-amino-6-ureidovaleric acid or 1-amino-4-guanidovalenic acid or 2, 5 diaminopentaneic acid. | |
115 | Lysine; diaminopimelic acid; threonine; valine: |
| This subclass is indented under subclass 106. Processes wherein the product synthesized is an acid or salt form of 2, 6-diaminohexanoic acid or 2, 4 diamino-1,5-pentane dicarboxylic acid or 2-amino-3-hydroxy butanoic acid or 2-amino-3-methyl butanoic acid. | |
116 | Alanine; leucine; isoleucine; serine; homoserine: |
| This subclass is indented under subclass 106. Processes wherein the product synthesized is an acid or salt form of 2-aminopropanoic acid or 2-amino-4-methyl pentanoic acid or 2-amino-3-methyl pentanoic acid or 2-amino-3-hydroxypropionic acid or 2-amino-4-hydroxy butanoic acid. | |
117 | Preparing heterocyclic carbon compound having only O, N, S, Se, or Te as ring hetero atoms: | ||
This subclass is indented under subclass 41. Processes wherein the product synthesized is a carbon compound
which contains a ring composed of carbon and at least one element
from the group consisting of nitrogen, sulfur, selenium, tellurium, or
oxygen and no other atoms.
| |||
118 | Containing two or more hetero rings: |
| This subclass is indented under subclass 117. Processes wherein the product synthesized contains at least two hetero rings. | |
119 | Containing at least two hetero rings bridged or fused among themselves or bridged or fused with a common carbocyclic ring system (e.g., rifamycin, etc.): | ||||||
This subclass is indented under subclass 118. Processes wherein the product synthesized contains at least
two hetero rings which are bridged or fused among themselves or
bridged or fused with a common carbocyclic ring system.
| |||||||
120 | Nitrogen or oxygen hetero atom and at least one other diverse hetero ring atom in the same ring: |
| This subclass is indented under subclass 117. Subject matter wherein the product synthesized contains a hetero ring which contains at least two different hetero atoms, one of which is either nitrogen or oxygen. | |
121 | Nitrogen as only ring hetero atom: |
| This subclass is indented under subclass 117. Processes wherein the product synthesized contains a hetero ring having nitrogen as the only hetero atom. | |
122 | Containing six-membered hetero ring: |
| This subclass is indented under subclass 117. Processes wherein the N-containing hetero ring contains six-members. | |
123 | Oxygen as only ring hetero atom: |
| This subclass is indented under subclass 117. Processes wherein the product synthesized contains a hetero ring wherein oxygen is the only hetero atom. | |
124 | Containing a hetero ring of at least seven ring members (e.g., zearalenone, macrocyclic lactones, etc.): |
| This subclass is indented under subclass 123. Processes wherein the product synthesized contains an O-containing hetero ring of seven or more ring members. | |
125 | Containing six-membered hetero ring (e.g., fluorescein, etc.): |
| This subclass is indented under subclass 123. Processes wherein the O-containing hetero ring has only six members. | |
126 | Containing five-membered hetero ring (e.g., griseofulvin, etc.): |
| This subclass is indented under subclass 123. Processes wherein the O-containing hetero ring has five members. | |
127 | Preparing compound containing at least three carbocyclic rings: | ||
This subclass is indented under subclass 41. Subject matter in which the product contains three carbocyclic
rings.
| |||
128 | Preparing nitrogen-containing organic compound: |
| This subclass is indented under subclass 41. Processes wherein the product is an organic compound which contains nitrogen. | |
129 | Amide (e.g., chloramphenicol, etc.): |
| This subclass is indented under subclass 128. Subject matter wherein the product has the following structural
group,
| |
130 | Preparing sulfur-containing organic compound: |
| This subclass is indented under subclass 41. Processes wherein the product synthesized contains sulfur. | |
131 | Preparing organic compound containing a metal or atom other than H, N, C, O, or halogen: |
| This subclass is indented under subclass 41. Processes wherein the product contains an atom other than H, N, C, O, or halogen. | |
132 | Preparing oxygen-containing organic compound: |
| This subclass is indented under subclass 41. Processes wherein the product is an organic compound containing oxygen. | |
133 | Containing quinone nucleus (i.e., quinoid structure): |
| This subclass is indented under subclass 132. Processes wherein the product contains the following structure, i.e.,
| |
134 | Fat; fatty oil; ester-type wax; higher fatty acid (i.e., having at least seven carbon atoms in an unbroken chain bound to a carboxyl group); oxidized oil or fat: | ||||||||
This subclass is indented under subclass 132. Processes wherein the product synthesized is a fat or fatty
oil or ester-type wax or fatty acis, oxidized
oil or fat.
| |||||||||
135 | Carboxylic acid ester: |
| This subclass is indented under subclass 132. Processes wherein the product synthesized contains an ester group, i.e.,O-R wherein R=alkyl, aryl, alkenyl, alkynyl. | |
136 | Containing a carboxyl group: |
| This subclass is indented under subclass 132. Processes wherein the product synthesized contains a carboxylic acid functional group, i.e.,-CH which is either in the acid or salt form. | |
137 | Sugar acid having five or more carbon atoms (i.e., aldonic, keto-aldonic, or saccharic acids): | ||
This subclass is indented under subclass 136. Processes wherein the product synthesized is a polyhydroxy
acid having five or more carbon atoms.
| |||
138 | Alpha-ketogulonic acid (i.e., 2-ketogulonic acid): |
| This subclass is indented under subclass 137. Processes wherein the product synthesized is an acid or
salt form of:
| |
139 | Lactic acid: |
| This subclass is indented under subclass 136. Processes wherein the product synthesized is an acid or salt form of alpha-hydroxy propanoic acid. | |
140 | Acetic acid: | ||
| This subclass is indented under subclass 136. Processes wherein the product synthesized is ethanoic acid
which by the nature of the process can not be readily used as a
food product.
SEE OR SEARCH CLASS:
| |||
141 | Propionic or butyric acid: |
| This subclass is indented under subclass 136. Processes wherein the product synthesized is an acid with
the structure:
| |
142 | Polycarboxylic acid: |
| This subclass is indented under subclass 136. Processes wherein the product synthesized contains two or more carboxylic acid groups. | |
143 | Having keto group (e.g., alpha-ketoglutaric acid, etc.): |
| This subclass is indented under subclass 142. Processes wherein the polycarboxylic acid synthesized contains a keto group. | |
144 | Tricarboxylic acid (e.g., citric acid, etc.): |
| This subclass is indented under subclass 142. Processes wherein the product synthesized contains three carboxylic acid groups. | |
145 | Dicarboxylic acid having four or less carbon atoms (e.g., fumaric, maleic, etc.): |
| This subclass is indented under subclass 142. Processes wherein the product synthesized contains two carboxylic acid groups and four or less carbon atoms. | |
146 | Hydroxy carboxylic acid: |
| This subclass is indented under subclass 136. Processes wherein the product synthesized contains one or more hydroxy groups. | |
147 | Containing carbonyl group: | ||
| This subclass is indented under subclass 132. Processes wherein the product synthesized contains a carbonyl
group, i.e.,
| |||
148 | Ketone: |
| This subclass is indented under subclass 147. Processes wherein the product synthesized contains a keto
group, i.e.,
| |
149 | Cyclopentanone or cyclopentadione containing compound: |
| This subclass is indented under subclass 148. Processes wherein the product synthesized is cyclopentanone or cyclopentadione or a substituted cyclopentanone or cyclopentadione. | |
150 | Acetone containing product: | ||||||
| This subclass is indented under subclass 148. Processes wherein the product synthesized contains acetone, i.e.,
| |||||||
151 | Substrate contains grain or cereal material: | ||||
This subclass is indented under subclass 150. Processes wherein acetone is prepared by biochemical transformation
of farinaceous material.
| |||||
152 | Substrate contains protein as nitrogen source: |
| This subclass is indented under subclass 150. Processes wherein the production media contains a protein as the nitrogen source. | |
153 | Substrate contains inorganic nitrogen source: |
| This subclass is indented under subclass 150. Processes wherein the production media contains an inorganic nitrogen source. | |
154 | Substrate contains inorganic compound, other than water: |
| This subclass is indented under subclass 150. Processes wherein the production media contains an added inorganic compound other than water. | |
155 | Containing hydroxy group: | ||||
| This subclass is indented under subclass 132. Processes wherein the product contains a hydroxyl group, i.e., R-OH.
SEE OR SEARCH CLASS:
| |||||
156 | Aromatic: |
| This subclass is indented under subclass 155. Processes wherein the product synthesized contains at least one aryl ring. | |
157 | Acyclic: |
| This subclass is indented under subclass 155. Processes wherein the product synthesized is acyclic. | |
158 | Polyhydric: |
| This subclass is indented under subclass 157. Processes wherein the product synthesized contains two or more hydroxyl groups. | |
159 | Glycerol: | ||
This subclass is indented under subclass 158. Processes wherein the product is 1, 2, 3, propanetriol.
| |||
160 | Butanol: | ||||
This subclass is indented under subclass 157. Processes wherein the product synthesized is 2-methyl-2-propanol
or 1-butanol or 2-methyl-1-propanol
or 2-butanol.
SEE OR SEARCH THIS CLASS, SUBCLASS:
| |||||
161 | Ethanol: |
| This subclass is indented under subclass 157. Processes wherein the product synthesized is ethanol which is not directly suitable for food or beverage use. | |
162 | Multiple stages of fermentation; multiple types of microorganisms or reuse of microorganisms: |
| This subclass is indented under subclass 161. Processes wherein ethanol is prepared by (a) two or more distinct fermentation steps, or (b) by using microorganisms of different species sequentially, or (c) by a process wherein the microorganism is recycled and reused. | |
163 | Produced as by-product or from waste or from cellulosic material substrate: |
| This subclass is indented under subclass 161. Processes wherein ethanol produced as a by-product in a process for the production of another chemical species or is prepared by the biochemical conversion of materials containing cellulose or unrefined waste materials of another process. | |
164 | Substrate contains sulphite waste liquor or citrus waste: | ||
This subclass is indented under subclass 163. Processes wherein ethanol is prepared by the biochemical
conversion of waste sulfite liquor or citrus waste.
| |||
165 | Substrate contains cellulosic material: |
| This subclass is indented under subclass 163. Processes wherein ethanol is prepared by the biochemical treatment of a cellulose containing material. | |
166 | Preparing hydrocarbon: |
| This subclass is indented under subclass 41. Processes wherein the product synthesized is a hydrocarbon. | |
167 | Only acyclic: | ||||||||||||
This subclass is indented under subclass 166. Processes wherein the only hydrocarbon product is acyclic.
SEE OR SEARCH CLASS:
| |||||||||||||
168 | Preparing element or inorganic compound except carbon dioxide: | ||
This subclass is indented under subclass 41. Processes wherein the product is an element or inorganic
compound.
| |||
169 | Using actinomycetales: |
| This subclass is indented under subclass 41. Processes wherein the product synthesized is prepared by actinomycetales. | |
170 | Using bacteria: |
| This subclass is indented under subclass 41. Processes wherein the product synthesized is prepared by bacteria. | |
171 | Using fungi: |
| This subclass is indented under subclass 41. Processes wherein the product synthesized is prepared by fungi. | |
173.1 | TREATMENT OF microorganismS OR ENZYMES WITH ELECTRICAL OR WAVE ENERGY (E.G., MAGNETISM, SONIC WAVES, ETC.): | ||||||||||||
This subclass is indented under the class definition. Processes wherein a microorganism is subjected to electrical
or wave energy either prior to or during propagation, or
catalytically active enzymes are subjected to electrical or wave
energy.
SEE OR SEARCH THIS CLASS, SUBCLASS:
SEE OR SEARCH CLASS:
| |||||||||||||
173.2 | Enzyme treated: | ||||||||||||
This subclass is indented under subclass 173.1. Processes wherein enzymes are subjected to electrical or
wave energy thus affecting the catalytic activity and/or
physical structure thereof.
SEE OR SEARCH THIS CLASS, SUBCLASS:
SEE OR SEARCH CLASS:
| |||||||||||||
173.3 | Modification of viruses (e.g., attenuation, etc.): | ||||||||||
| This subclass is indented under subclass 173.1. Processes in which viruses are modified utilizing electrical
or wave energy.
SEE OR SEARCH THIS CLASS, SUBCLASS:
SEE OR SEARCH CLASS:
| |||||||||||
173.4 | Cell membrane or cell surface is target: |
| This subclass is indented under subclass 173.1. Processes wherein electrical or wave energy affects the membrane or surface of a microorganism. | |
173.5 | Membrane permeability increased: |
| This subclass is indented under subclass 173.4. Processes wherein the permeability of a cell membrane is increased. | |
173.6 | Electroporation: | ||||||
This subclass is indented under subclass 173.5. Processes wherein the permeability of a cell membrane is
increased as a result of an applied electric current.
SEE OR SEARCH THIS CLASS, SUBCLASS:
SEE OR SEARCH CLASS:
| |||||||
173.7 | Lytic effect produced (e.g., disruption of cell membrane for release of subcellular parts; e.g., nucleic acids, etc.): | ||
| This subclass is indented under subclass 173.4. Processes wherein electrical or wave energy is utilized
to disrupt a cell membrane (e.g., ultrasonic
energy, etc.) for releasing the contents
of the cell or for producing membrane fragments thereof.
SEE OR SEARCH THIS CLASS, SUBCLASS:
| |||
173.8 | Metabolism of microorganism enhanced (e.g., growth enhancement or increased production of microbial product): | ||||||||
| This subclass is indented under subclass 173.1. Processes wherein the metabolic activity of a microorganism
is affected by electrical or wave energy.
SEE OR SEARCH THIS CLASS, SUBCLASS:
| |||||||||
173.9 | Concentration, separation, or purification of microorganisms: | ||||
| This subclass is indented under subclass 173.1. Processes wherein electrical or wave energy (e.g. magnetism) is
utilized to concentrate, separate, or purify a
microorganism.
SEE OR SEARCH THIS CLASS, SUBCLASS:
| |||||
174 | CARRIER-BOUND OR IMMOBILIZED ENZYME OR MICROBIAL CELL; CARRIER-BOUND OR IMMOBILIZED CELL; PREPARATION THEREOF: | ||||||||||||||||||||||||||||||||||||||||||||
This subclass is indented under the class definition. Subject matter which is an artificially produced composition
or complex or compound under the class definition containing microbial
cell or enzyme or individual plant or animal cell which imparts
to the enzyme or the microorganism or the individual plant or animal
cell the property of physical confinement or localization during
a continuous biochemical process or the property of enhanced recoverability
in a batch process for repeated future use and processes for preparing
the same.
SEE OR SEARCH CLASS:
| |||||||||||||||||||||||||||||||||||||||||||||
175 | Multi-enzyme system: | ||||
This subclass is indented under subclass 174. Subject matter wherein two or more functionally different
enzymes are immobilized on the same support material.
| |||||
176 | Enzyme or microbial cell is immobilized on or in an inorganic carrier: |
| This subclass is indented under subclass 174. Subject matter wherein the carrier is an inorganic compound or metal alloy. | |
177 | Enzyme or microbial cell is immobilized on or in an organic carrier: |
| This subclass is indented under subclass 174. Subject matter wherein the support material is an organic compound. | |
178 | Carrier is carbohydrate: | ||
This subclass is indented under subclass 177. Subject Matter wherein the support material is a carbohydrate.
| |||
179 | Carbohydrate is cellulose or derivative thereof: | ||
This subclass is indented under subclass 178. Subject matter wherein the carbohydrate is cellulose or
a substituted cellulose.
| |||
180 | Carrier is synthetic polymer: |
| This subclass is indented under subclass 177. Subject matter wherein the support material is a linear or cross-linked polymer which is not naturally occurring. | |
181 | Attached to the carrier via a bridging agent: | ||||
This subclass is indented under subclass 180. Subject matter wherein the enzyme or microbial cell is bonded
to the polymeric carrier through an intermediate compound which attaches
to both the enzyme and the carrier.
| |||||
182 | Enzyme or microbial cell is entrapped within the carrier (e.g., gel, hollow fibre): |
| This subclass is indented under subclass 180. Subject matter wherein the enzyme or microbial cell is physically trapped in a reticulated polymer structure. | |
183 | ENZYME (E.G., LIGASES (6.), ETC.); PROENZYMES, COMPOSITIONS THEREOF; PROCESS FOR PREPARING, ACTIVATING, INHIBITING, SEPARATING, OR PURIFYING ENZYMES: | ||||||||||||||||||||
This subclass is indented under the class definition. Enzymes, per se, compositions containing
enzymes, processes for synthesizing enzymes, and
preparing enzyme compositions, processes for separating
enzymes from a source material, or purifying enzymes or
processes under the class definition for treating enzymes.
SEE OR SEARCH CLASS:
| |||||||||||||||||||||
184 | Enzyme inactivation by chemical treatment | ||||
This subclass is indented under subclass 183. Enzyme inactivation by chemical treatment: Processes
wherein the enzyme is contacted with an element or chemical compound
to reduce its catalytic activity.
| |||||
185 | Malt: | ||||
This subclass is indented under subclass 183. Subject matter wherein the enzyme containing composition
is green, partially dried, dried, kilned
malt, or malt extract.
SEE OR SEARCH CLASS:
| |||||
186 | Pancreatin: |
| This subclass is indented under subclass 183. Subject matter wherein the product contains a mixture of amylopsin, trypsin and steapsin (lipase) obtained from a pancreas. | |
187 | Preparing granular- or free-flowing enzyme composition: |
| This subclass is indented under subclass 183. Subject matter wherein an enzyme is treated to produce a solid flowable product or to produce a product in the form of small discrete particles. | |
188 | Stabilizing an enzyme by forming a mixture, an adduct, or a composition, or formation of an adduct or enzyme conjugate: | ||||
This subclass is indented under subclass 183. Subject matter wherein (a) the enzyme
is contacted with an extraneous material to impart to the enzyme
a resistance to loss of activity, or (b) the
enzyme is reacted with a nonenzymatic material to form a complex
or a chemically modified enzymatic compound, e.g., conjugate, ligand, etc.
| |||||
188.5 | Catalytic antibody: | ||
This subclass is indented under subclass 183. Subject matter involving an antibody that functions catalytically
in a chemical reaction.
| |||
189 | Oxidoreductase (1. ) (e.g., luciferase): | ||||||||||
This subclass is indented under subclass 183. Subject matter wherein the enzyme catalyzes an oxidation-reduction
reaction between a donor and aceptor, e.g., AH2+B=A+BH2, etc.
SEE OR SEARCH THIS CLASS, SUBCLASS:
SEE OR SEARCH CLASS:
| |||||||||||
190 | Acting on CHOH group as donor; e.g., glucose oxidase, lactate dehydrogenase (1.1): |
| This subclass is indented under subclass 189. Subject matter wherein the donor is a compound containing a hydroxyl group, i.e., -C-OH. | |
191 | Acting on nitrogen-containing compound as donor (1.2, 1.5, 1.7): |
| This subclass is indented under subclass 189. Subject matter wherein the donor is a nitrogen compound. | |
192 | Acting on hydrogen peroxide as acceptor (1.11): |
| This subclass is indented under subclass 189. Subject matter wherein the acceptor is hydrogen peroxide. | |
193 | Transferase other than ribonuclease (2.): | ||||||||||||||||
This subclass is indented under subclass 183. Subject matter wherein the enzyme catalyzes the transfer
of a functional group from one molecule to another, e.g., AR + BBR + A, etc.
SEE OR SEARCH THIS CLASS, SUBCLASS:
SEE OR SEARCH CLASS:
| |||||||||||||||||
194 | Transferring phosphorus containing group; e.g., kineases, etc., (2.7): |
| This subclass is indented under subclass 193. Subject matter wherein the functional group transferred contains phosophorus. | |
195 | Hydrolase (3.): | ||||||
This subclass is indented under subclass 183. Subject matter wherein the enzyme catalyzes the followingreaction; AB + H2O
AOH + BH.
SEE OR SEARCH CLASS:
| |||||||
196 | Acting on ester bond (3.1): |
| This subclass is indented under subclass 195. Subject matter wherein the enzyme catalyzes the hydrolysis of an ester bond. | |
197 | Carboxylic ester hydrolase (3.1.1): |
| This subclass is indented under subclass 196. Subject matter wherein the ester bond which is hydrolyzed was formed by a carboxylic acid and an alcohol, i.e., OR. | |
198 | Triglyceride splitting; e.g., lipase, etc. (3.1.1.3): |
| This subclass is indented under subclass 197. Subject matter wherein the enzyme catalyzes the hydrolysis of the ester bond in triglyceride fats. | |
199 | Ribonuclease (3.1.4): |
| This subclass is indented under subclass 196. Subject matter wherein the enzymes are phosphoric diester hydrolases that act on nucleotides and nucleic acids. | |
200 | Acting on glycosyl compound (3.2): | ||
This subclass is indented under subclass 195. Subject matter wherein the enzyme catalyzes the hydrolysis
of O-glycosyl bonds or N-glycosyl bonds or S-glycosyl
bonds.
| |||
201 | Acting on alpha-1, 4-glucosidic bond; e.g., hyaluronidase, invertase, amylase, etc., (some 3.2.1): | ||||
This subclass is indented under subclass 200. Subject matter wherein the enzyme catalyzes the hydrolysis
of an alpha-1, 4-glucosidic bond.
| |||||
202 | Alpha-amylase, microbial source: | ||
This subclass is indented under subclass 201. Subject matter wherein the source of alpha-1, 4-glucano-4-glucanohydrolase
obtained is a microorganism.
| |||
203 | Fungal source: | ||
This subclass is indented under subclass 202. Subject matter wherein the source of alpha-1, 4-glucan-4- glucanohydrolase
is a fungi.
| |||
204 | Alpha-amylase, plant source (3.2.1.1): | ||||||
This subclass is indented under subclass 201. Subject matter wherein the source of alpha-1, 4-glucan-4- glucanohydrolase
is a nonmicrobial plant.
SEE OR SEARCH THIS CLASS, SUBCLASS:
| |||||||
205 | Glucomylase (3.2.1.3): | ||
This subclass is indented under subclass 201. Subject matter wherein the enzyme obtained is an alpha-1, 4-glucanglucohydrolase.
| |||
206 | Acting on beta-1, 4 link between N-acetylmuramic acid and 2-acetylamino 2-deoxy-D-glucose (e.g., lysozyme, etc.): | ||||||
This subclass is indented under subclass 200. Subject matter wherein the enzyme hydrolyzes a beta-1,4
glycoside bond between N-acetylmuramic acid and 2-acetyl
amino 2-deoxy-D-glucose moieties.
| |||||||
207 | Acting on beta-galatose-glycoside bond (e.g., beta-galactosidase, etc.): |
| This subclass is indented under subclass 200. Subject matter wherein the enzyme catalyzes the hydrolysis of beta-galactose-glycoside bonds. | |
208 | Acting on alpha-galatose-glycoside bond (e.g., alpha-galactosidase, etc.): |
| This subclass is indented under subclass 200. Subject matter wherein the enzyme catalyzes the hydrolysis of alpha-galactose-glycoside bonds. | |
209 | Acting on beta-1,4-glucosidic bond (e.g., cellulase, etc.(3.2.1.4)): |
| This subclass is indented under subclass 200. Subject matter wherein the enzyme catalyzes the hydrolysis of beta-1, 4-glucan bonds in polysaccharides. | |
210 | Acting on alpha-1,6-glucosidic bond (e.g., isoamylase, pullulanase, etc.): | ||
This subclass is indented under subclass 200. Subject matter wherein the enzyme catalyzes the hydrolysis
of an alpha-1,6-glucosidic bonds of a
polysaccharide.
| |||
211 | Dextranase (3.2.1.11): | ||
This subclass is indented under subclass 210. Subject matter wherein the enzyme is alpha-1,6-glucan-6-glucanohydrolase.
| |||
212 | Acting on peptide bond (e.g., thromboplastin, leucine amino-peptidase, etc. (3.4)): | ||||||||
This subclass is indented under subclass 195. Subject matter wherein the enzyme catalyzes the hydrolysis
of amide bonds in proteins or peptides.
SEE OR SEARCH THIS CLASS, SUBCLASS:
SEE OR SEARCH CLASS:
| |||||||||
213 | Trypsin; chymotrypsin: |
| This subclass is indented under subclass 212. Subject matter wherein the enzyme catalyse the hydrolysis of the amide bond connecting the carboxyl group of alpha-arginine and alpha-lysine or an aromatic alpha-amino acid with another amino acid or peptide. | |
214 | Thrombin: |
| This subclass is indented under subclass 212. Subject matter wherein the enzyme catalyzes the hydrolysis of fibrinogen to fibrin. | |
215 | Urokinase: |
| This subclass is indented under subclass 212. Subject matter wherein the source of the enzyme which converts plasminogen to plasmin is mammalian blood or urine. | |
216 | Streptokinase: |
| This subclass is indented under subclass 212. Subject matter wherein the source of the enzyme which catalyzes the hydrolysis of amide bonds and converts plasminogen to plasmin in hemolytic streptococci. | |
217 | Plasmin (i.e., fibrinolysin): |
| This subclass is indented under subclass 212. Subject matter wherein the enzyme catalyzes the hydrolysis of amide bonds which connect alpha-arginine or alpha-lysine to another amino acid or peptide and converts fibrin to water soluble products. | |
218 | Elastase: |
| This subclass is indented under subclass 212. Subject matter wherein the enzyme catalyzes the hydrolysis of amide bonds connecting a neutral amino acid to another amino acid or peptide. | |
219 | Proteinase: | ||||||
This subclass is indented under subclass 212. Subject matter wherein the enzyme catalyzes the hydrolysis
of amide bonds within a polypeptide chain, i.e., the
amide bonds of nonterminal amino acids.
| |||||||
220 | Derived from bacteria: |
| This subclass is indented under subclass 219. Subject matter wherein the source of the enzyme is a bacteria. | |
221 | Bacteria is bacillus: |
| This subclass is indented under subclass 220. Subject matter wherein the bacteria is a species of bacillus. | |
222 | Bacillus subtilus or bacillus lichenoformis: |
| This subclass is indented under subclass 221. Subject matter wherein the species of bacillus is Bacillus subtilus or Bacillus lichenofomis. | |
223 | Derived from fungi: |
| This subclass is indented under subclass 219. Subject matter wherein the source of the enzyme is fungi. | |
224 | From yeast: |
| This subclass is indented under subclass 223. Subject matter wherein the source of the enzyme is yeast. | |
225 | From aspergillus: |
| This subclass is indented under subclass 223. Subject matter wherein the fungi is a species of aspergillus. | |
226 | Derived from animal tissue (e.g., rennin, etc.): |
| This subclass is indented under subclass 219. Subject matter wherein the source of the enzyme is animal tissue, glands, etc. | |
227 | Acting on carbon to nitrogen bond other than peptide bond (3.5): |
| This subclass is indented under subclass 195. Subject matter wherein the enzyme catalyzes the hydrolysis of a carbon-nitrogen bond. | |
228 | Acting on a linear amide linkage in linear amide: | ||
This subclass is indented under subclass 227. Subject matter wherein the enzyme catalyzes the hydrolysis
of a linear amide bond which is not part of a cyclic ring.
| |||
229 | Asparaginase: |
| This subclass is indented under subclass 228. Subject matter wherein the enzyme catalyzes the hydrolysis of alpha-asparagine forming alpha-aspartate and ammonia. | |
230 | Penicillin amidase: | ||||
This subclass is indented under subclass 228. Subject matter wherein the enzyme catalyzes the hydrolysis
of pencillin forming a carboxylic acid anion and penicin.
SEE OR SEARCH THIS CLASS, SUBCLASS:
| |||||
231 | Acting on amide linkage in cyclic amides (e.g., penicillinase, etc. (3.5.2)): |
| This subclass is indented under subclass 227. Subject matter wherein the enzyme catalyzes the hydrolysis of an amide bond which is part of a ring structure. | |
232 | Lyase (4.): | ||||
This subclass is indented under subclass 183. Subject matter wherein the enzyme catalyzes the nonhydrolytic
cleavage of bonds, e.g., AB
A + B, etc.
SEE OR SEARCH CLASS:
| |||||
233 | Isomerase (5.): | ||||
This subclass is indented under subclass 183. Subject matter wherein the enzyme catalyzes an isomerization
reaction, e.g., AB BA.
SEE OR SEARCH CLASS:
| |||||
234 | Glucose isomerase: |
| This subclass is indented under subclass 233. Subject matter wherein the enzyme catalyzes the conversion of xylose to xylulose or glucose to fructose or glucose -6- phosphate to fructose -6- phosphate. | |
235.1 | VIRUS OR BACTERIOPHAGE, EXCEPT FOR VIRAL VECTOR OR BACTERIOPHAGE VECTOR; COMPOSITION THEREOF; PREPARATION OR PURIFICATION THEREOF; PRODUCTION OF VIRAL SUBUNITS; MEDIA FOR PROPAGATING: | ||||||||||||||||||||
This subclass is indented under the class definition. Subject matter excluding viral and bacteria-phage
vectors, but including a virus or bacteriophage which is
a microorganism that (a) consists of a protein
shell around a nucleic acid core of either ribonucleic acid or deoxyribonucleic
acid, and (b) is capable of independently entering
a host microorganism, and (c) requires a
host microorganism, having both ribonucleic acid and deoxyribonucleic
acid, to replicate, compositions thereof under
the class definition not elsewhere provided for, processes
of preparation or propagation, media for propagating, processes
of purifying the microorganism and processes of producing viral
subunits.
SEE OR SEARCH THIS CLASS, SUBCLASS:
SEE OR SEARCH CLASS:
| |||||||||||||||||||||
236 | Inactivation or attenuation; producing viral subunits: | ||||||
This subclass is indented under subclass 235.1. Subject matter in which the virulence of the virus is decreased
or the virus is reduced to its component parts.
SEE OR SEARCH CLASS:
| |||||||
237 | By serial passage of virus: |
| This subclass is indented under subclass 236. Subject matter which involves attenuation of a virus by serial passage by transferring a virus containing body fluid through a series of animals or transfer of supernatant culture fluid through a series of cultures. | |
238 | By chemical treatment: |
| This subclass is indented under subclass 236. Subject matter which involves attenuation of a virus by chemical means. | |
239 | Recovery or purification: |
| This subclass is indented under subclass 235.1. Subject matter which involves the purification or recovery of a virus in a purified or uncontaminated state. | |
242 | SPORE FORMING OR ISOLATING PROCESS: |
| This subclass is indented under the class definition. Processes of inducing the formation of spores or their recovery. | |
243 | MICROORGANISM, PER SE; E.G., PROTOZOA, ETC., COMPOSITIONS THEREOF; PROCESS OF PROPAGATING, MAINTAINING, OR PRESERVING MICROORGANISMS OR COMPOSITIONS THEREOF; PROCESS OF PREPARING OR ISOLATING A COMPOSITION CONTAINING A MICROORGANISM; CULTURE MEDIA THEREFOR: | ||||||||||||||||||||||||||||||
This subclass is indented under the class definition. Subject matter including microorganisms, compositions
containing, processes under the class definition for propagating, processes under
the class definition for preserving or maintaining, processes
under the class definition for isolating, processes under
the class definition for preparing compositions containing and, compositions
under the class definition for use in propagation of microorganisms.
SEE OR SEARCH THIS CLASS, SUBCLASS:
SEE OR SEARCH CLASS:
| |||||||||||||||||||||||||||||||
244 | Chemical stimulation of growth or activity by addition of chemical compound which is not an essential growth factor; stimulation of growth by removal of a chemical compound: | ||||
| This subclass is indented under subclass 243. Subject matter wherein the growth rate of a microorganism
or its metabolic activity is stimulated or enhanced by the addition
or removal of a particular element or compound which is not required
for the microorganism"s growth or the control of the pH of the propagation
media.
SEE OR SEARCH THIS CLASS, SUBCLASS:
| |||||
245 | Adaptation or attenuation of cells: | ||||
This subclass is indented under subclass 243. Processes wherein the virulence of a microorganism is reduced
or a microorganism"s ability to propagate on a given substrate is
increased or growth requirements are altered by a series of sequential
cultivation steps.
SEE OR SEARCH THIS CLASS, SUBCLASS:
| |||||
246 | Foam culture: | ||
| This subclass is indented under subclass 243. Subject matter wherein media of the process is in the form
of a foam.
SEE OR SEARCH CLASS:
| |||
247 | Utilizing media containing lower alkanols (i.e., having one to six carbon atoms): |
| This subclass is indented under subclass 243. Subject matter wherein a microorganism is propagated on a media containing an alkanol having six or less carbon atoms or the media, per se. | |
248 | Utilizing media containing hydrocarbon: | ||||||
| This subclass is indented under subclass 243. Subject matter wherein the microorganism is propagated on
a media containing a hydrocarbon or the media, per se.
SEE OR SEARCH THIS CLASS, SUBCLASS:
SEE OR SEARCH CLASS:
| |||||||
249 | Aliphatic: |
| This subclass is indented under subclass 248. Subject matter wherein the hydrocarbon is aliphatic. | |
250 | Having five or less carbon atoms: |
| This subclass is indented under subclass 249. Subject matter wherein the aliphatic hydrocarbon contains five or less carbon atoms. | |
251 | Utilizing media containing waste sulphite liquor: |
| This subclass is indented under subclass 243. Subject matter wherein the media contains waste liquid from the sulfurous acid treatment of cellulose containing material, e.g., paper pulp, etc. | |
252 | Utilizing media containing cellulose or hydrolysates thereof: | ||||
This subclass is indented under subclass 243. Subject matter wherein the microorganism is propagated on
a media which contains cellulose or cellulose hydrolysates or the
media, per se.
SEE OR SEARCH THIS CLASS, SUBCLASS:
| |||||
252.1 | Bacteria or actinomycetales; media therefor: | ||
| This subclass is indented under subclass 243. Subject matter including microorganisms which are bacteria
or actinomycetales, media for the propagation or maintenance
of bacteria or actinomycetales, compositions containing, processes
for propagating or maintaining, and processes for preparing
media for and compositions containing bacteria or actinomycetales.
SEE OR SEARCH CLASS:
| |||
252.2 | Rhizobium or agrobacterium: | ||
This subclass is indented under subclass 252.1. Subject matter wherein the microorganisms is a species of
Rhizobium or Agrobacterium.
| |||
252.3 | Transformants (e.g., recombinant DNA or vector or foreign or exogenous gene containing, fused bacteria, etc.): | ||||||
This subclass is indented under subclass 252.1. Subject matter wherein the genotype of the microorganism
is a product of recombination or transformation with a vector or
foreign or exogenous gene, or the result of bacterial cell fusion, etc.
SEE OR SEARCH THIS CLASS, SUBCLASS:
| |||||||
252.31 | Bacillus (e.g., B. subtilis, B. thuringiensis, etc.): |
| This subclass is indented under subclass 252.3. Subject matter wherein the altered microorganism is a species of Bacillus. | |
252.32 | Brevibacterium or corynebacterium: |
| This subclass is indented under subclass 252.3. Subject matter wherein the altered microorganism is a species of Brevibacterium or Corynebacterium. | |
252.33 | Escherichia (e.g., E. coli, etc.): |
| This subclass is indented under subclass 252.3. Subject matter wherein the altered microorganism is a species of Escherichia. | |
252.34 | Pseudomonas: |
| This subclass is indented under subclass 252.3. Subject matter wherein the altered microorganism is a species of Pseudomonas. | |
252.35 | Streptomyces: |
| This subclass is indented under subclass 252.3. Subject matter wherein the altered microorganism is a species of streptomyces. | |
252.4 | Mixed culture: | ||||
| This subclass is indented under subclass 252.1. Subject matter wherein the bacteria are in a mixed culture
of at least two different genera of microorganisms one of which
is a bacteria.
SEE OR SEARCH CLASS:
| |||||
252.5 | Bacillus (e.g., B. subtilis, B. thuringiensis, etc.): |
| This subclass is indented under subclass 252.1. Subject matter wherein the microorganism is a species of Bacillus. | |
252.6 | Actinoplanes: |
| This subclass is indented under subclass 252.1. Subject matter wherein the microorganism is a species of Actinoplanes. | |
252.7 | Clostridium: |
| This subclass is indented under subclass 252.1. Subject matter wherein the microorganism is a species of Clostridium. | |
252.8 | Escherichia (e.g., E. coli, etc.) or salmonella: |
| This subclass is indented under subclass 252.1. Subject matter wherein the microorganism is a species of Escherichia or Salmonella. | |
252.9 | Lactobacillus, pediococcus, or leuconostoc: |
| This subclass is indented under subclass 252.1. Subject matter wherein the microorganism is a species of Lactobacillus, Pediococcus, or Leuconostoc. | |
253.1 | Mycobacterium: |
| This subclass is indented under subclass 252.1. Subject matter wherein the microorganism is a species of Mycobacterium. | |
253.2 | Nocardia: |
| This subclass is indented under subclass 252.1. Subject matter wherein the microorganism is a species of Nocardia. | |
253.3 | Pseudomonas: |
| This subclass is indented under subclass 252.1. Subject matter wherein the microorganism is a species of Pseudomonas. | |
253.4 | Streptococcus: |
| This subclass is indented under subclass 252.1. Subject matter wherein the microorganism is a species of streptococcus. | |
253.5 | Streptomyces: |
| This subclass is indented under subclass 252.1. Subject matter wherein the microorganisms is a species of Streptomyces. | |
253.6 | Culture media, per se: |
| This subclass is indented under subclass 252.1. Subject matter directed to a composition having utility as a bacterial culture medium (i.e., media for maintenance, growth, production, etc.). | |
254.1 | Fungi: | ||||||||||||||||||||
This subclass is indented under subclass 243. Subject matter including microorganisms which are fungi, compositions
containing fungi, processes for propagating or maintaining fungi, and
processes for preparing compositions containing fungi.
SEE OR SEARCH THIS CLASS, SUBCLASS:
SEE OR SEARCH CLASS:
| |||||||||||||||||||||
254.11 | Transformants: | ||||||
This subclass is indented under subclass 254.1. Subject matter involving a fungi which is 1) a product
of recombination or transformation with (a) a
vector, or (b) a foreign or exogenous gene, or
2) a product of homologous recombination if it is directed
rather than spontaneous, or 3) a product of fused
cell formation.
SEE OR SEARCH THIS CLASS, SUBCLASS:
| |||||||
254.2 | Yeast; media therefor: | ||||||
This subclass is indented under subclass 254.11. Subject matter wherein the altered fungus is a yeast, and
media and processes for preparing media for the propagation, maintenance, or
preservation of transformed yeast.
SEE OR SEARCH THIS CLASS, SUBCLASS:
| |||||||
254.21 | Saccharomyces: | ||||
This subclass is indented under subclass 254.2. Subject matter wherein the altered yeast is a species of
Saccharomyces.
SEE OR SEARCH THIS CLASS, SUBCLASS:
| |||||
254.22 | Candida: | ||
| This subclass is indented under subclass 254.2. Subject matter wherein the altered yeast is a species of
Candida.
SEE OR SEARCH THIS CLASS, SUBCLASS:
| |||
254.23 | Pichia: | ||
| This subclass is indented under subclass 254.2. Subject matter wherein the altered yeast is a species of
Pichia.
SEE OR SEARCH THIS CLASS, SUBCLASS:
| |||
254.3 | Aspergillus: | ||||
| This subclass is indented under subclass 254.11. Subject matter wherein the altered fungus is a species of
Aspergillus.
SEE OR SEARCH THIS CLASS, SUBCLASS:
| |||||
254.4 | Neurospora: |
| This subclass is indented under subclass 254.11. Subject matter wherein the altered fungus is a species of Neurospora. | |
254.5 | Penicillium: | ||
| This subclass is indented under subclass 254.11. Subject matter wherein the altered fungus is a species of
Penicillium.
SEE OR SEARCH THIS CLASS, SUBCLASS:
| |||
254.6 | Trichoderma: | ||
| This subclass is indented under subclass 254.11. Subject matter wherein the altered fungus is a species of
Trichoderma.
SEE OR SEARCH THIS CLASS, SUBCLASS:
| |||
254.7 | Fusarium: | ||
| This subclass is indented under subclass 254.11. Subject matter wherein the altered fungus is a species of
Fusarium.
SEE OR SEARCH THIS CLASS, SUBCLASS:
| |||
254.8 | Mucor: | ||
| This subclass is indented under subclass 254.11. Subject matter wherein the altered fungus is a species of
Mucor.
SEE OR SEARCH THIS CLASS, SUBCLASS:
| |||
254.9 | Rhizopus: | ||
| This subclass is indented under subclass 254.11. Subject matter wherein the altered fungus is a species of
Rhizopus.
SEE OR SEARCH THIS CLASS, SUBCLASS:
| |||
255.1 | Yeast: | ||||
This subclass is indented under subclass 254.1. Subject matter wherein the fungus is a yeast.
SEE OR SEARCH THIS CLASS, SUBCLASS:
| |||||
255.2 | Saccharomyces: | ||||
This subclass is indented under subclass 255.1. Subject matter wherein the yeast is a species of Saccharomyces.
SEE OR SEARCH THIS CLASS, SUBCLASS:
| |||||
255.21 | Culture media, per se, or technique: |
| This subclass is indented under subclass 255.2. Subject matter directed to a composition having utility as a Saccharomyces culture medium (i.e., media for maintenance, growth, production, etc.) or a technique for preparing and using the same. | |
255.3 | Cryptococcus: |
| This subclass is indented under subclass 255.1. Subject matter wherein the yeast is a species of Cryptococcus. | |
255.4 | Candida or torulopsis: | ||||
| This subclass is indented under subclass 255.1. Subject matter wherein the yeast is a species of Candida
or Torulopsis.
SEE OR SEARCH THIS CLASS, SUBCLASS:
| |||||
255.5 | Pichia: | ||
| This subclass is indented under subclass 255.1. Subject matter wherein the yeast is a species of Pichia.
SEE OR SEARCH THIS CLASS, SUBCLASS:
| |||
255.6 | Hansenula: | ||
| This subclass is indented under subclass 255.1. Subject matter wherein the yeast is a species of Hansenula.
SEE OR SEARCH THIS CLASS, SUBCLASS:
| |||
255.7 | Culture media, per se, or technique: |
| This subclass is indented under subclass 255.1. Subject matter directed to a composition having utility as a yeast culture medium (i.e., media for maintenance, growth, production, etc.) or a technique for preparing and using the same. | |
256.1 | Aspergillus: | ||||
| This subclass is indented under subclass 254.1. Subject matter wherein the fungus is a species of Aspergillus.
SEE OR SEARCH THIS CLASS, SUBCLASS:
| |||||
256.2 | Mucor: | ||
| This subclass is indented under subclass 254.1. Subject matter wherein the fungus is a species of Mucor.
SEE OR SEARCH THIS CLASS, SUBCLASS:
| |||
256.3 | Penicillium: | ||
| This subclass is indented under subclass 254.1. Subject matter wherein the fungus is a species of Penicillium.
SEE OR SEARCH THIS CLASS, SUBCLASS:
| |||
256.4 | Cephalosporium or acremonium: | ||
| This subclass is indented under subclass 254.1. Subject matter wherein the fungus is a species of Cephalosporium
or Acremonium.
SEE OR SEARCH THIS CLASS, SUBCLASS:
| |||
256.5 | Fusarium: | ||
| This subclass is indented under subclass 254.1. Subject matter wherein the fungus is a species of Fusarium.
SEE OR SEARCH THIS CLASS, SUBCLASS:
| |||
256.6 | Rhizopus: | ||
| This subclass is indented under subclass 254.1. Subject matter wherein the fungus is a species of Rhizopus.
SEE OR SEARCH THIS CLASS, SUBCLASS:
| |||
256.7 | Trichoderma: | ||
| This subclass is indented under subclass 254.1. Subject matter wherein the fungus is a species of Trichoderma.
SEE OR SEARCH THIS CLASS, SUBCLASS:
| |||
256.8 | Culture media, per se, or technique: |
| This subclass is indented under subclass 254.1. Subject matter directed to a composition having utility as a fungal culture medium (i.e., media for maintenance, growth, production, etc.) or a technique for preparing and using the same. | |
257.1 | Algae, media therefor: | ||||||||||||||||||||
This subclass is indented under subclass 243. Subject matter wherein the microorganism propagated or treated
is a unicellular algae, or the media useful for the propagation
of unicellular algae, or a composition containing unicellular
algae, or methods of preparing said compositions or media.
SEE OR SEARCH THIS CLASS, SUBCLASS:
SEE OR SEARCH CLASS:
| |||||||||||||||||||||
257.2 | Transformants: | ||||||
This subclass is indented under subclass 257.1. Subject matter involving an algae which is 1) a product
of recombination or transformation with (a) a
vector, or (b) a foreign or exogenous gene, or
2) a product of homologous recombination if it is directed
rather than spontaneous, or 3) a product of fused
cell formation.
SEE OR SEARCH THIS CLASS, SUBCLASS:
| |||||||
257.3 | Chlorella: |
| This subclass is indented under subclass 257.1. Subject matter wherein the algae is a species of Chlorella. | |
257.4 | Euglena: | ||
This subclass is indented under subclass 257.1. Subject matter wherein the algae is a species of Euglena.
| |||
257.5 | Scenedesmus: |
| This subclass is indented under subclass 257.1. Subject matter wherein the algae is a species of Scenedesmus. | |
257.6 | Chlamydomonas: | ||
This subclass is indented under subclass 257.1. Subject matter wherein the algae is a species of Chlamydomonas.
| |||
258.1 | Protozoa, media therefor: | ||||||||
This subclass is indented under subclass 243. Subject matter wherein the microorganism propagated or treated
is a protozoa, or media useful for the propagation of protozoa, or
a composition containing protozoa, or methods of preparing
said composition or media.
SEE OR SEARCH THIS CLASS, SUBCLASS:
SEE OR SEARCH CLASS:
| |||||||||
258.2 | Plasmodium: |
| This subclass is indented under subclass 258.1. Subject matter wherein the protozoa is a species of Plasmodium. | |
258.3 | Leishmania: |
| This subclass is indented under subclass 258.1. Subject matter wherein the protozoa is a species of Leishmania. | |
258.4 | Eimeria: |
| This subclass is indented under subclass 258.1. Subject matter wherein the protozoa is a species of Eimeria. | |
259 | Lysis of microorganism: | ||||
This subclass is indented under subclass 243. Processes wherein the microorganism is ruptured by added
material or mechanical means.
SEE OR SEARCH CLASS:
| |||||
260 | Preserving or maintaining microorganism: | ||||||||
This subclass is indented under subclass 243. Processes wherein a viable microorganism is rendered reversibly
dormant.
SEE OR SEARCH THIS CLASS, SUBCLASS:
SEE OR SEARCH CLASS:
| |||||||||
261 | Separation of microorganism from culture media: |
| This subclass is indented under subclass 243. Processes where a microorganism is recovered from culture media. | |
262 | PROCESS OF UTILIZING AN ENZYME OR MICROORGANISM TO DESTROY HAZARDOUS OR TOXIC WASTE, LIBERATE, SEPARATE, OR PURIFY A PREEXISTING COMPOUND OR COMPOSITION THEREFORE; CLEANING OBJECTS OR TEXTILES: | ||||||||||||||||||||||||||||||||||
This subclass is indented under the class definition. Processes wherein a preexisting material or compound, which
may include a hazardous or toxic waste, present in a composition
or material containing a preexisting material, is contacted
with an enzyme or immobilized enzyme microorganism or plant or animal
cells to isolate or recover the preexisting material which is chemically
unchanged by the process and the hazardous or toxic waste is destroyed.
SEE OR SEARCH THIS CLASS, SUBCLASS:
SEE OR SEARCH CLASS:
| |||||||||||||||||||||||||||||||||||
262.5 | Destruction of hazardous or toxic waste: | ||||
| This subclass is indented under subclass 262. Process wherein hazardous or toxic waste is destroyed or
converted into an environmentally safe substance.
SEE OR SEARCH CLASS:
| |||||
263 | Textile treating: | ||||||
| This subclass is indented under subclass 262. Processes wherein the preexisting material is an organic
fiber material, per se, or the fiber is spun or
woven into fabric.
SEE OR SEARCH CLASS:
| |||||||
264 | Cleaning using a microorganism or enzyme: | ||||||||
Processes under subclasses 262 wherein the preexisting material
is a solid macroscopic material not obtained from a natural source
and is recovered from an undesired extraneous material originally
contained in the macroscopic material"s surface.
SEE OR SEARCH CLASS:
| |||||||||
265 | Depilating hides, bating, or hide treating using enzyme or microorganism: | ||||
| This subclass is indented under subclass 262. Processes wherein the preexisting material treated is a
hide or a skin of an animal.
SEE OR SEARCH CLASS:
| |||||
266 | Treating gas, emulsion, or foam: | ||||||||||||||
| This subclass is indented under subclass 262. Processes wherein the preexisting material is a gas or is
initially a component of an emulsion or foam.
SEE OR SEARCH CLASS:
| |||||||||||||||
267 | Treating animal or plant material or microorganism: | ||||
This subclass is indented under subclass 262. Processes wherein the preexisting material is obtained directly
from an animal or plant source or microorganism.
SEE OR SEARCH THIS CLASS, SUBCLASS:
| |||||
268 | Treating organ or animal secretion: | ||
This subclass is indented under subclass 267. Processes wherein the preexisting material is an organ or
animal secretion.
| |||
269 | Treating blood fraction: | ||||||
This subclass is indented under subclass 267. Processes wherein the preexisting material is blood or a
blood fraction.
SEE OR SEARCH THIS CLASS, SUBCLASS:
SEE OR SEARCH CLASS:
| |||||||
270 | Removing nucleic acid from intact or disrupted cell: | ||||
| This subclass is indented under subclass 267. Processes wherein an intact or disrupted cell"s nucleic
acid content is reduced by the use of an enzyme or microorganism.
SEE OR SEARCH CLASS:
| |||||
271 | Glyceridic oil, fat, ester-type wax or higher fatty acid recovered or purified: | ||||||
This subclass is indented under subclass 267. Processes wherein the preexisting material is a fat, ester-type
wax, higher fatty acid, or glyceride oil.
| |||||||
272 | Proteinaceous material recovered or purified: | ||||||||
| This subclass is indented under subclass 267. Processes wherein the preexisting material is a proteinaceous
material.
SEE OR SEARCH THIS CLASS, SUBCLASS:
SEE OR SEARCH CLASS:
| |||||||||
273 | Collagen or gelatin: |
| This subclass is indented under subclass 272. Processes wherein the preexisting material is collagen or gelatin. | |
274 | Carbohydrate material recovered or purified: | ||||
| This subclass is indented under subclass 267. Processes wherein the preexisting material is a carbohydrate.
SEE OR SEARCH CLASS:
| |||||
275 | Pectin or starch: |
| This subclass is indented under subclass 274. Processes wherein the preexisting material is a pectin or a starch. | |
276 | Sugar (e.g., molasses treatment, etc.): |
| This subclass is indented under subclass 274. Processes wherein the preexisting material is a monosaccharide or a polysaccharide which has predominately alpha-1, 4 linkages between the glucose units. | |
277 | Cellulose (e.g., plant fibers, etc.): | ||||||
| This subclass is indented under subclass 274. Processes wherein the preexisting material is a polysaccharide
which has predominately beta-1, 4 linkages between
the glucose units.
SEE OR SEARCH CLASS:
| |||||||
278 | Producing paper pulp: | ||
| This subclass is indented under subclass 277. Processes wherein the material which is liberated is paper
pulp.
SEE OR SEARCH CLASS:
| |||
279 | Hemp or flax treating: | ||
| This subclass is indented under subclass 277. Processes wherein the preexisiting material which is liberated
is hemp or flax.
SEE OR SEARCH CLASS:
| |||
280 | Resolution of optical isomers or purification of organic compounds or composition containing same: | ||
This subclass is indented under subclass 262. Processes wherein a racemic mixture is treated to liberate
an optically active mixture or compound or a mixture is otherwise
purified by a microorganism or enzyme to obtain a specified organic
compound.
| |||
281 | Petroleum oil or shale oil treating: | ||||||||||||||||||
| This subclass is indented under subclass 262. Processes wherein the preexisting material which is liberated
or purified is petroleum or shale oil.
SEE OR SEARCH THIS CLASS, SUBCLASS:
SEE OR SEARCH CLASS:
| |||||||||||||||||||
282 | Desulfurizing: |
| This subclass is indented under subclass 281. Processes wherein sulfur or sulfur containing compounds are removed from petroleum or shale oil. | |
283.1 | APPARATUS: | ||||||||||||||||||||||||||
This subclass is indented under the class definition. Apparatus.
SEE OR SEARCH CLASS:
| |||||||||||||||||||||||||||
284.1 | Differentiated tissue (e.g., organ) perfusion or preservation apparatus: | ||||||||||||||||||
| This subclass is indented under subclass 283.1. Apparatus with means adapted for maintaining a differentiated
tissue or animal organ in vitro in a viable state.
SEE OR SEARCH THIS CLASS, SUBCLASS:
SEE OR SEARCH CLASS:
| |||||||||||||||||||
285.1 | Mutation or genetic engineering apparatus: | ||
| This subclass is indented under subclass 283.1. Apparatus for producing a known stable change in the genotype
of a microorganism by artificially inducing a structural change
in a gene or by the incorporation of genetic material from an external
source.
SEE OR SEARCH THIS CLASS, SUBCLASS:
| |||
285.2 | With means for applying an electric current or charge (e.g., electrofusion, electroporation, etc.): | ||||||
This subclass is indented under subclass 285.1. Apparatus for producing a known stable change in the genotype
of a microorganism by the use of an applied electric current or
charge.
SEE OR SEARCH THIS CLASS, SUBCLASS:
| |||||||
285.3 | Including projectile means: |
| This subclass is indented under subclass 285.1. Apparatus wherein a projectile means is utilized to incorporate foreign genetic material into a cell. | |
286.1 | Including condition or time responsive control means: | ||||||||||||||||
This subclass is indented under subclass 283.1. Apparatus with means to sense a process parameter which
actuates means to alter a process parameter, or with timing
means which actuates means which alters a process parameter.
SEE OR SEARCH CLASS:
| |||||||||||||||||
286.2 | Including position control: |
| This subclass is indented under subclass 286.1. Apparatus with means to control the position of a component (e.g., a sample container, dispensing means, etc.). | |
286.3 | Plater, streaker, or spreader: |
| This subclass is indented under subclass 286.2. Apparatus with means to control inoculation of microorganisms on a solid surface so as to isolate individual cells or colonies, or to completely cover the solid surface with a mat or lawn of cells. | |
286.4 | Including liquid dispenser means: |
| This subclass is indented under subclass 286.2. Apparatus with means to control dispensing of a liquid (e.g., reagents, samples, etc.). | |
286.5 | Including liquid flow, level, or volume control: |
| This subclass is indented under subclass 286.1. Apparatus with means to control the volume, level, or flow of a liquid. | |
286.6 | Including gas flow or pressure control: |
| This subclass is indented under subclass 286.1. Apparatus with means to control pressure or gas flow. | |
286.7 | Including mixing or agitation control: |
| This subclass is indented under subclass 286.1. Apparatus with means to control mixing or agitation. | |
287.1 | Including measuring or testing: | ||||||||||||||||||||
This subclass is indented under subclass 283.1. Apparatus with means to test or measure a condition or property
in a sample.
SEE OR SEARCH CLASS:
| |||||||||||||||||||||
287.2 | Measuring or testing for antibody or nucleic acid, or measuring or testing using antibody or nucleic acid: |
| This subclass is indented under subclass 287.1. Apparatus with means for the measuring or testing of antibodies or nucleic acids, or with means for using an antibody or nucleic acid agent to measure or test a sample. | |
287.3 | With sample or reagent mechanical transport means: | ||
| This subclass is indented under subclass 287.1. Apparatus having means to transport a sample to be measured
or a reagent involved in a measurement by mechanical means.
SEE OR SEARCH CLASS:
| |||
287.4 | Sterility testing means: | ||
This subclass is indented under subclass 287.1. Apparatus with means to test for sterility.
| |||
287.5 | Means for measuring gas pressure or gas volume of gas evolved from or consumed in an enzymatic or microbial reaction: |
| This subclass is indented under subclass 287.1. Apparatus with means to measure gas pressure or gas volume that is either evolved from or consumed in an enzymatic or microbial reaction. | |
287.6 | Including frangible means for introducing a sample or reagent: |
| This subclass is indented under subclass 287.1. Apparatus containing a frangible element which, when broken, releases a reagent or a sample to a reaction container. | |
287.7 | Including bibulous or absorbent layer: | ||
| This subclass is indented under subclass 287.1. Apparatus wherein a reagent or sample is contained or placed
in an absorbent or bibulous carrier or substrate (e.g., a
dip-stick, test paper, wick, etc.).
SEE OR SEARCH CLASS:
| |||
287.8 | Including multiple, stacked layers: |
| This subclass is indented under subclass 287.7. Apparatus wherein a reagent or sample is contained or placed in or on an element containing multiple stacked layers of an absorbent or bibulous carrier or substrate. | |
287.9 | Including a coated reagent or sample layer: | ||
| This subclass is indented under subclass 287.1. Apparatus wherein a reagent or sample is coated on the surface
of a carrier or substrate.
SEE OR SEARCH CLASS:
| |||
288.1 | Including a bottle, tube, flask, or jar: | ||||||||
| This subclass is indented under subclass 287.1. Apparatus which includes a bottle, tube, flask, or
jar.
SEE OR SEARCH THIS CLASS, SUBCLASS:
SEE OR SEARCH CLASS:
| |||||||||
288.2 | Including multiple internal compartments or baffles: | ||||
| This subclass is indented under subclass 288.1. Apparatus wherein a bottle, tube, flask, or
jar contains multiple internal compartments or baffles.
SEE OR SEARCH THIS CLASS, SUBCLASS:
| |||||
288.3 | Including a dish, plate, slide, or tray: | ||||||
| This subclass is indented under subclass 287.1. Apparatus which includes a dish, plate, slide, or
tray.
SEE OR SEARCH THIS CLASS, SUBCLASS:
SEE OR SEARCH CLASS:
| |||||||
288.4 | Including multiple compartments (e.g., wells, etc.): | ||
| This subclass is indented under subclass 288.3. Apparatus including two or more separate compartments.
SEE OR SEARCH THIS CLASS, SUBCLASS:
| |||
288.5 | Including means for fluid passage between compartments (e.g., between wells, etc.): |
| This subclass is indented under subclass 288.4. Apparatus with means providing fluid passage between compartments. | |
288.6 | Including column separation means: |
| This subclass is indented under subclass 287.1. Apparatus including a column separation means in addition to measuring or testing means. | |
288.7 | Including optical measuring or testing means: | ||
| This subclass is indented under subclass 287.1. Apparatus having means for measuring or testing an optical
property of the material to be analyzed.
SEE OR SEARCH CLASS:
| |||
289.1 | Bioreactor: | ||||||||||||||||||
| This subclass is indented under subclass 283.1. Apparatus adapted for the growth or propagation of a microorganism
or enzyme, or for the synthesis of a composition or compound
using a microorganism or enzyme.
SEE OR SEARCH THIS CLASS, SUBCLASS:
SEE OR SEARCH CLASS:
| |||||||||||||||||||
290.1 | Composting apparatus: |
| This subclass is indented under subclass 289.1. Apparatus for the treatment of organic waste material by the action of microorganisms or enzymes. | |
290.2 | Including agitation means: | ||
| This subclass is indented under subclass 290.1. Apparatus wherein an agitator is utilized to mix the organic
material being composted.
SEE OR SEARCH CLASS:
| |||
290.3 | Compostor is rotatably mounted: | ||||||||
| This subclass is indented under subclass 290.2. Apparatus wherein the agitation means includes a rotating
compostor.
SEE OR SEARCH THIS CLASS, SUBCLASS:
SEE OR SEARCH CLASS:
| |||||||||
290.4 | Including solid or liquid transport means into or out of a compostor: |
| This subclass is indented under subclass 290.1. Apparatus incorporating means to transport solids or liquids into or out of the compostor (e.g., conveyors, etc.). | |
291.1 | Malting or mashing apparatus: |
| This subclass is indented under subclass 289.1. Apparatus with means to effect the sprouting of grain by heat and humidity. | |
291.2 | Movable floor to facilitate maintenance (e.g., cleaning): |
| This subclass is indented under subclass 291.1. Apparatus wherein the bioreactor includes movable floors, whereby maintenance such as cleaning is facilitated. | |
291.3 | Vertically spaced stages, levels, or floors: |
| This subclass is indented under subclass 291.1. Apparatus wherein the bioreactor includes a series of vertically spaced stages, levels, or floors. | |
291.4 | Cascading: | ||
| This subclass is indented under subclass 291.3. Apparatus wherein the composition of an upper stage, level, or
floor spills over into a lower stage, level, or
floor.
SEE OR SEARCH THIS CLASS, SUBCLASS:
| |||
291.5 | With agitator or mash turner: | ||
| This subclass is indented under subclass 291.1. Apparatus including means for mixing or stirring the mash.
SEE OR SEARCH CLASS:
| |||
291.6 | With vertical axis of rotation: | ||
This subclass is indented under subclass 291.5. Apparatus in which the axis of the mixing means is vertical.
| |||
291.7 | With horizontal axis of rotation: |
| This subclass is indented under subclass 291.5. Apparatus in which the axis of the mixing means is horizontal. | |
291.8 | Rotating vessel: | ||||||||
| This subclass is indented under subclass 291.7. Apparatus which includes a horizontally disposed vessel
and means for rotating the vessel about its central axis.
SEE OR SEARCH THIS CLASS, SUBCLASS:
SEE OR SEARCH CLASS:
| |||||||||
292.1 | Including means to transmit light into a bioreactor to facilitate photo-bioreaction (e.g., photosynthesis): | ||
This subclass is indented under subclass 289.1. Apparatus wherein the bioreactor includes means to facilitate
photoreactions (e.g., light sources, transparent
barriers, etc.) for the growth of photosynthetic
microorganisms or for the treatment of microorganisms or enzymes.
| |||
293.1 | Tubular or plug flow bioreactor: | ||
This subclass is indented under subclass 289.1. Apparatus wherein fluid or fluidized reagents are continuously
pumped through substantially tubular structures.
| |||
293.2 | Radial or spiral flow bioreactor: |
| This subclass is indented under subclass 293.1. Apparatus wherein fluid flow in the tubular or plug flow bioreactor is in a radial or spiral direction. | |
294.1 | Vessels or trays in series: | ||||
| This subclass is indented under subclass 289.1. Apparatus including vessels or trays in series.
SEE OR SEARCH THIS CLASS, SUBCLASS:
SEE OR SEARCH CLASS:
| |||||
295.1 | Including a draft tube for agitation: | ||||||
This subclass is indented under subclass 289.1. Apparatus including a tubular element extending from a
lower to a higher level in a vessel to provide for internal mixing.
SEE OR SEARCH CLASS:
| |||||||
295.2 | Airlift bioreactor: |
| This subclass is indented under subclass 295.1. Apparatus whereby the driving means to circulate fluid in a bioreactor with a draft tube is a gas which is sparged through a lower, usually bottom, portion of the bioreactor. | |
295.3 | Including a semipermeable membrane or filter: | ||
| This subclass is indented under subclass 295.1. Apparatus wherein the bioreaction chamber includes at least
one semiporous membrane or filter that is designed for holding or
excluding a solid or dissolved reactant.
SEE OR SEARCH THIS CLASS, SUBCLASS:
| |||
296.1 | Bubble bioreactor: |
| This subclass is indented under subclass 289.1. Apparatus whereby the means to agitate fluid in a reactor is limited to sparging or bubbling gas in the bottom or lower portions of the reactor. | |
297.1 | Including semipermeable membrane or filter: | ||
| This subclass is indented under subclass 289.1. Apparatus wherein the reaction chamber includes at least
one semi-porous membrane or filter that is designed for
holding or excluding a solid or dissolved reactant.
SEE OR SEARCH THIS CLASS, SUBCLASS:
| |||
297.2 | Including perfusion means: | ||
| This subclass is indented under subclass 297.1. Apparatus with means to cause fluid to flow through the
semipermeable membrane or filter.
SEE OR SEARCH THIS CLASS, SUBCLASS:
| |||
297.3 | Including a spinning semipermeable membrane or filter: | ||
| This subclass is indented under subclass 297.2. Apparatus wherein a semipermeable membrane or filter rotates
or spins about an axis.
SEE OR SEARCH CLASS:
| |||
297.4 | Including hollow fiber or capillary: | ||||
This subclass is indented under subclass 297.2. Apparatus wherein the semipermeable membrane or filter consists
of hollow fibers or capillary membranes.
SEE OR SEARCH CLASS:
| |||||
297.5 | In combination with a dish, plate, or tray: | ||||
| This subclass is indented under subclass 297.1. Apparatus wherein the semipermeable membrane or filter is
in combination with a dish, plate, or tray.
SEE OR SEARCH THIS CLASS, SUBCLASS:
| |||||
298.1 | Cylindrical reaction tank or vessel horizontally disposed with respect to its central axis: |
| This subclass is indented under subclass 289.1. Apparatus wherein a substantially cylindrical tank or vessel is horizontally disposed with respect to its central axis. | |
298.2 | With a rotatably mounted tank or vessel: | ||||||||
| This subclass is indented under subclass 298.1. Apparatus including means providing for motion of the tank
or vessel about its central axis.
SEE OR SEARCH THIS CLASS, SUBCLASS:
SEE OR SEARCH CLASS:
| |||||||||
299.1 | Including solid extended fluid contact reaction surface: | ||||
This subclass is indented under subclass 289.1. Apparatus including a solid extended surface fluid contact
reaction means.
SEE OR SEARCH CLASS:
| |||||
299.2 | Including a bottle, tube, jar, or flask: | ||||||||
This subclass is indented under subclass 299.1. Apparatus wherein a solid extended fluid contact reaction
surface is in conjunction with a bottle, tube, jar, or
flask.
SEE OR SEARCH THIS CLASS, SUBCLASS:
SEE OR SEARCH CLASS:
| |||||||||
300.1 | Including off-gas trapping means: |
| This subclass is indented under subclass 289.1. Apparatus with means to trap gas evolved from the action of a microorganism or enzyme reaction. | |
301.1 | Including foam breaking means: | ||||
This subclass is indented under subclass 289.1. Apparatus with means to separate the liquid and gas components
of foam.
SEE OR SEARCH CLASS:
| |||||
302.1 | Including magnetically coupled agitation means: | ||||
This subclass is indented under subclass 289.1. Apparatus including magnetically coupled agitation means.
| |||||
303.1 | Incubator: |
| This subclass is indented under subclass 289.1. Apparatus including a housing for supporting or maintaining a reaction container in a desired relationship with other structures, including maintaining a proper environment (e.g., temperature, humidity, etc.) for microorganisms to grow or enzymes to react. | |
303.2 | Specifically adapted for an anaerobic microorganism or enzyme (e.g., anaerobe jars): |
| This subclass is indented under subclass 303.1. Apparatus with means specifically adapted for the growth of anaerobic microorganisms or for the activity of anaerobic enzymes. | |
303.3 | Including an agitator: |
| This subclass is indented under subclass 303.1. Apparatus which includes an agitation means. | |
304.1 | Bottle, tube, jar, or flask: | ||||||||
This subclass is indented under subclass 289.1. Apparatus which is a bottle, tube, jar, or
flask.
SEE OR SEARCH THIS CLASS, SUBCLASS:
SEE OR SEARCH CLASS:
| |||||||||
304.2 | Including multiple internal compartments or baffles: | ||
| This subclass is indented under subclass 304.1. Apparatus wherein the bottle, tube, jar, or
flask contains multiple internal compartments or baffles.
SEE OR SEARCH THIS CLASS, SUBCLASS:
| |||
304.3 | Flat culture flask: | ||||
This subclass is indented under subclass 304.1. Apparatus having a substantially flat profile.
| |||||
305.1 | Dish, plate, or tray: | ||||
| This subclass is indented under subclass 289.1. Apparatus including a dish, plate, or
tray.
SEE OR SEARCH THIS CLASS, SUBCLASS:
| |||||
305.2 | Multicompartmented: | ||
| This subclass is indented under subclass 305.1. Apparatus including two or more separate media areas, or
areas adapted to contain the same or different media (e.g., wells, etc.).
SEE OR SEARCH THIS CLASS, SUBCLASS:
| |||
305.3 | Including cover seal: |
| This subclass is indented under subclass 305.2. Apparatus which includes a means, separate and apart from the internal compartments, to prevent the passage of material to or from the interior of a multicompartmented dish, plate, or tray. | |
305.4 | Including cover seal: |
| This subclass is indented under subclass 305.1. Apparatus which includes a means to prevent the passage of material to or from the interior of a dish, plate, or tray. | |
306.1 | Involving lysis of a microorganism by means other than comminution: | ||||
| This subclass is indented under subclass 283.1. Apparatus with means to lyse or rupture microorganisms by
addition of material or by mechanical means other than comminution.
SEE OR SEARCH THIS CLASS, SUBCLASS:
SEE OR SEARCH CLASS:
| |||||
307.1 | microorganism preservation, storage, or transport apparatus: | ||||||||
| This subclass is indented under subclass 283.1. Apparatus for preserving, storing, or
transporting a microorganism.
SEE OR SEARCH THIS CLASS, SUBCLASS:
| |||||||||
308.1 | Means for separation or recovery of a microorganism from culture media: | ||||
| This subclass is indented under subclass 283.1. Apparatus with means to separate or recover a microorganism
from culture media.
SEE OR SEARCH THIS CLASS, SUBCLASS:
SEE OR SEARCH CLASS:
| |||||
309.1 | Inoculator, streaker, or sampler: | ||
| This subclass is indented under subclass 283.1. Apparatus including means for effecting physical contact
between a sample and a media or means for physically removing material
as a sample.
SEE OR SEARCH THIS CLASS, SUBCLASS:
| |||
309.2 | Means for inoculation or sampling of a closed vessel: |
| This subclass is indented under subclass 309.1. Apparatus including means to penetrate a closed vessel for the purpose of inoculation or sampling. | |
309.3 | Loop or wire streaker: |
| This subclass is indented under subclass 309.1. Apparatus of wire or plastic material specifically adapted to pick-up and move colonies of microorganisms or small amounts of liquid containing microorganisms. | |
309.4 | Replica plate: |
| This subclass is indented under subclass 309.1. Apparatus including a means specifically adapted to sample from a first plate, and transfer and inoculate to a second plate so that an identical pattern of colonies forms on the second plate. | |
317.1 | MISCELLANEOUS (E.G., SUBCELLULAR PARTS OF MICROORGANISMS, ETC.): | ||||||||||
| This subclass is indented under the class definition. Subject matter not otherwise provided for and including
subcellular parts of microorganisms such as organelles, i.e., mitochondria, microsomes, chloroplasts, etc.
SEE OR SEARCH THIS CLASS, SUBCLASS:
SEE OR SEARCH CLASS:
| |||||||||||
320.1 | VECTOR, PER SE (E.G., PLASMID, HYBRID PLASMID, COSMID, VIRAL VECTOR, BACTERIOPHAGE VECTOR, ETC.): | ||||||||
This subclass is indented under the class definition. Subject matter directed to self-replicating nucleic
acid molecules which may be employed to introduce a nucleic acid
sequence or gene into a cell; such nucleic acid molecules are
designated as vectors and may be in the form of a plasmid, hybrid
plasmid, cosmid, viral vector, bacteriophage
vector, etc.
SEE OR SEARCH CLASS:
| |||||||||
325 | ANIMAL CELL, PER SE (E.G., CELL LINES, ETC.); COMPOSITION THEREOF; PROCESS OF PROPAGATING, MAINTAINING OR PRESERVING AN ANIMAL CELL OR COMPOSITION THEREOF; PROCESS OF ISOLATING OR SEPARATING AN ANIMAL CELL OR COMPOSITION THEREOF; PROCESS OF PREPARING A COMPOSITION CONTAINING AN ANIMAL CELL; CULTURE MEDIA THEREFORE: | ||||||||||
This subclass is indented under the class definition. Subject matter including animal cells, per se; compositions
containing animal cells; processes of in vitro propagation
of animal cells or groups of cells that are not organized tissues; processes
of maintaining or preserving animal cells or compositions thereof; processes
of isolating or separating an animal cell or composition thereof; processes
of preparing a composition containing animal cells; culture media
therefore.
SEE OR SEARCH THIS CLASS, SUBCLASS:
SEE OR SEARCH CLASS:
| |||||||||||
326 | Animal cell, per se, expressing immunoglobulin, antibody, or fragment thereof: | ||||||||||||||||||||||||
This subclass is indented under subclass 325. Subject matter wherein the animal cells produce immunoglobulin, antibody, or
a fragment thereof.
SEE OR SEARCH THIS CLASS, SUBCLASS:
SEE OR SEARCH CLASS:
| |||||||||||||||||||||||||
327 | Immunoglobulin or antibody is anti-idiotypic: | ||||||||
This subclass is indented under subclass 326. Subject matter involving an animal cell which produces an
antibody or antibody fragment that binds another antibody at one
of its idiotopes.
| |||||||||
328 | Immunoglobulin or antibody is chimeric, mutated, or a recombined hybrid (e.g., bifunctional, bispecific, rodent-human chimeric, single chain, rFv, immunoglobulin fusion protein, etc.): | ||||
This subclass is indented under subclass 326. Subject matter involving an animal cell which produces an
antibody or antibody fragment altered with respect to its amino
acid sequence; with respect to its composition of heavy
and light chains or immunoglobulin domains; or with respect
to its glycosylation, as compared with that found in nature; or
involving an antibody or antibody fragment fused to a nonimmunoglobulin
amino acid sequence.
| |||||
329 | Immunoglobulin or antibody binds an oligosaccharide structure other than nucleic acid: | ||||||||||
This subclass is indented under subclass 326. Subject matter involving an animal cell which produces an
antibody or antigen-binding fragment thereof whose antigen-binding
site(s) will combine with an oligosaccharide structure, other
than a nucleic acid, that is either free, a component
of a glycoprotein, or a component of a glycolipid.
SEE OR SEARCH THIS CLASS, SUBCLASS:
| |||||||||||
330 | Immunoglobulin or antibody binds an expression product of a cancer related gene or fragment thereof (e.g., oncogene, proto-oncogene, etc.): | ||||
This subclass is indented under subclass 326. Subject matter involving an animal cell which produces an
antibody or antigen-binding fragment thereof whose antigen-binding
site(s) will combine with an expression product
or fragment thereof of a cancer related gene, such as an
oncogene or proto-oncogene.
SEE OR SEARCH THIS CLASS, SUBCLASS:
| |||||
331 | Immunoglobulin or antibody binds a specifically identified amino acid sequence: | ||
This subclass is indented under subclass 326. Subject matter involving an animal cell which produces an
antibody or antigen-binding fragment thereof whose antigen-binding
site(s) will combine with a protein or peptide
antigen or antigenic determinant whose amino acid sequence is disclosed.
| |||
332 | Immunoglobulin or antibody binds a microorganism or normal or mutant component or product thereof (e.g., animal cell, cell surface antigen, secretory product, etc.): | ||||||
This subclass is indented under subclass 326. Subject matter involving an animal cell which produces a
monoclonal antibody or antigen-binding fragment thereof
whose antigen-binding site(s) will combine
with an integral or isolated part of a microorganism, or
with a substance shed or secreted by a microorganism, or
with a chemically-altered component of a microorganism, or
with a chemically-altered substance shed or secreted by
a microorganism.
| |||||||
333 | Binds a nucleic acid or derivative or component thereof (e.g., DNA, RNA, DNA-RNA hybrid, nucleotide, nucleoside, carcinogen-DNA adduct, etc.): | ||
This subclass is indented under subclass 332. Subject matter involving an animal cell which produces a
monoclonal antibody or antigen-binding fragment thereof
whose antigen-binding site(s) will combine
with a nucleic acid, a component of a nucleic acid, such
as a nucleotide or nucleoside, or a modified nucleic acid, such
as carcinogen-DNA adduct resulting from exposure to a carcinogen.
| |||
334 | Binds a receptor (e.g., transferrin receptor, Fc receptor, dihydropyridine receptor, IL-2 receptor, etc.): | ||||
This subclass is indented under subclass 332. Subject matter involving an animal cell which produces a
monoclonal antibody or antigen-binding fragment thereof
whose antigen-binding site(s) will combine
with a free or microorganism-associated receptor.
| |||||
335 | Binds a lymphokine, cytokine, or other secreted growth regulatory factor, differentiation factor, intercellular mediator specific for a hematopoietic cell (e.g., interleukin, interferon, erythropoietin, etc.): | ||||||||||
This subclass is indented under subclass 332. Subject matter involving an animal cell which produces a
monoclonal antibody or antigen-binding fragment thereof
whose antigen-binding site(s) will combine
with a lymphokine, cytokine, or any other secreted
growth stimulatory factor, growth inhibitory factor, differentiation
factor, or intercellular mediator that targets any type(s) of
hematopoietic cell(s).
| |||||||||||
336 | Binds a hormone or other secreted growth regulatory factor, differentiation factor, intercellular mediator, or neurotransmitter (e.g., insulin, human chorionic gonadotropin, intragonadal regulatory protein, Mullerian inhibiting substance, inhibin, epidermal growth factor, nerve growth factor, dopamine, norepinephrine, etc.): | ||||||
This subclass is indented under subclass 332. Subject matter involving an animal cell which produces a
monoclonal antibody or antigen-binding fragment thereof
whose antigen-binding site(s) will combine
with a neurotransmitter, with a hormone, or with
any other secreted growth regulatory factor, differentiation
factor, or intercellular mediator that targets cells other than
hematopoietic cells.
| |||||||
337 | Binds a plasma protein, serum protein, or fibrin (e.g., clotting factor, fibrinolytic factor, complement factor, immunoglobulin, apolipoprotein, etc.): | ||||||
This subclass is indented under subclass 332. Subject matter involving an animal cell which produces a
monoclonal antibody or antigen-binding fragment thereof
whose antigen-binding site(s) will combine
with a plasma protein, serum protein, or with
fibrin.
| |||||||
338 | Binds an enzyme: |
| This subclass is indented under subclass 332. Subject matter involving an animal cell which produces a monoclonal antibody or antigen-binding fragment thereof whose antigen-binding site(s) will combine with an enzyme. | |
339 | Binds a virus or component or product thereof (e.g., virus associated antigen, etc.): |
| This subclass is indented under subclass 332. Subject matter involving an animal cell which produces a monoclonal antibody or antigen-binding fragment thereof whose antigen-binding site(s) will combine with an integral or isolated part of a virus, or with a substance shed by a virus, such as a viral antigen. | |
339.1 | Binds a retrovirus or component or product thereof (e.g., HIV, LAV, HTLV, etc.): | ||
This subclass is indented under subclass 339. Subject matter involving an animal cell which produces a
monoclonal antibody or antigen-binding fragment thereof
whose antigen-binding site(s) will combine
with an integral or isolated part of a retrovirus, or with
a substance shed by a retrovirus, such as a viral antigen.
| |||
340 | Binds a bacterium or similar microorganism or component or product thereof (e.g., Streptococcus, Legionella, Mycoplasma, bacterium associated antigen, exotoxin, etc.): | ||
This subclass is indented under subclass 332. Subject matter involving an animal cell which produces a
monoclonal antibody or antigen-binding fragment thereof
whose antigen-binding site(s) will combine
with an integral or isolated part of a bacterium or similar microorganism, or
with a substance shed or secreted by a bacterium or similar microorganism.
| |||
341 | Binds a fungus or plant cell or component or product thereof (e.g., fungus associated antigen, etc.): | ||
This subclass is indented under subclass 332. Subject matter involving an animal cell which produces a
monoclonal antibody or antigen-binding fragment thereof
whose antigen-binding site(s) will combine
with an integral or isolated part of a fungus or plant cell, or
with a substance shed or secreted by a fungus or plant cell.
| |||
342 | Binds a parasitic protozoan or metazoan cell or component or product thereof (e.g., Dirofilaria, Eimeria, Coccidia, Trichinella, parasite cell surface antigen, etc.): | ||
This subclass is indented under subclass 332. Subject matter involving an animal cell which produces a
monoclonal antibody or antigen-binding fragment thereof
whose antigen-binding site(s) will combine
with an integral or isolated part of a parasitic protozoan or metazoan cell, or
with a substance shed or secreted by a parasitic protozoan or metazoan
cell.
| |||
343 | Binds a hematopoietic cell or component or product thereof (e.g., erythrocyte, granulocyte, macrophage, monocyte, platelet, myelogenous leukemia cell, bone marrow stem cell, granulocytic cell surface antigen, hemoglobin, thrombospondin, glycophorin, etc.): | ||
This subclass is indented under subclass 332. Subject matter involving an animal cell which produces a
monoclonal antibody or antigen-binding fragment thereof
whose antigen-binding site(s) will combine
with an integral or isolated part of a hematopoietic cell, or
with a substance shed or secreted by a hematopoietic cell.
| |||
343.1 | Binds a lymphocytic or lymphocytic-like cell or component or product thereof (e.g., B cell, B-lineage bone marrow cell, null cell, natural killer cell, B-lymphoblastoid cell, B-lineage acute lymphoblastic leukemia cell, B-lymphocytic cell surface antigen, etc.): | ||
This subclass is indented under subclass 343. Subject matter involving an animal cell which produces a
monoclonal antibody or antigen-binding fragment thereof
whose antigen-binding site(s) will combine
with an integral or isolated part of a lymphocytic or lymphocytic-like cell, or
with a substance shed or secreted by a lymphocytic cell or lymphocytic-like
cell.
| |||
343.2 | Binds a T-lymphocytic cell or component or product thereof (e.g., T- cell, thymocyte, T-lineage bone marrow cell, T-lymphoblastoid cell, T-lineage acute lymphoblastic leukemia cell, T-lymphocytic cell surface antigen, etc.): |
| This subclass is indented under subclass 343.1. Subject matter involving an animal cell which produces a monoclonal antibody or antigen-binding fragment thereof whose antigen-binding site(s) will combine with an integral or isolated part of a T-lymphocytic cell, or with a substance shed or secreted by a T-lymphocytic cell. | |
344 | Binds a cancer cell or component or product thereof (e.g., cell surface antigen, etc.): |
| This subclass is indented under subclass 332. Subject matter involving an animal cell which produces a monoclonal antibody or antigen-binding fragment thereof whose antigen-binding site(s) will combine with an integral or isolated part of a cancer cell, or with a substance shed or secreted by a cancer cell. | |
344.1 | Binds an antigen characterized by name or molecular weight (e.g., CEA, NCA, CC glycoprotein, melanoma gp 150 antigen, etc.): |
| This subclass is indented under subclass 344. Subject matter involving an animal cell which produces a monoclonal antibody or antigen-binding fragment thereof whose antigen-binding site(s) will combine with an antigen that is an integral or isolated part of cancer cell, or that is shed or secreted by a cancer cell, and that is disclosed by name or molecular weight. | |
345 | Immunoglobulin or antibody binds a drug, hapten, hapten-carrier complex, or specifically identified chemical structure (e.g., theophylline, digoxin, etc.): | ||||
This subclass is indented under subclass 326. Subject matter involving an animal cell which produces a
monoclonal antibody or antigen-binding fragment thereof
whose antigen-binding site(s) will combine
with a drug, hapten, hapten-carrier complex, or
with a specifically-identified chemical structure that
is disclosed.
| |||||
346 | Fused or hybrid cell, per se: |
| This subclass is indented under subclass 325. Subject matter wherein the animal cell is a cell resulting from (a) the fusion of two cells or (b) the insertion of the nucleus of one cell into another. | |
347 | Two or more cell types, per se, in co-culture: | ||
This subclass is indented under subclass 325. Subject matter wherein two or more types of cell are present
in the same cell culture.
| |||
348 | Insect cell, per se: | ||
This subclass is indented under subclass 325. Subject matter wherein the animal cell is of insect origin.
| |||
349 | Avian cell, per se: |
| This subclass is indented under subclass 325. Subject matter wherein the animal cell is of avian origin; i.e., from a bird. | |
350 | Canine cell, per se: | ||
This subclass is indented under subclass 325. Subject matter wherein the animal cell is of canine origin.
| |||
351 | Feline cell, per se: | ||
This subclass is indented under subclass 325. Subject matter wherein the animal cell is of feline origin.
| |||
352 | Rodent cell, per se: | ||
This subclass is indented under subclass 325. Subject matter wherein the animal cell is of rodent origin.
| |||
353 | Rat (i.e., Rattus): | ||
This subclass is indented under subclass 352. Subject matter wherein the animal cell is of rat origin.
| |||
354 | Mouse (i.e., Mus): | ||
This subclass is indented under subclass 352. Subject matter wherein the animal cell is of mouse origin.
| |||
355 | Blood or lymphatic origin or derivative: |
| This subclass is indented under subclass 354. Subject matter wherein the mouse cell is of blood or lymphatic origin. | |
356 | L cell or derivative (e.g., Ltk(-), etc.): |
| This subclass is indented under subclass 354. Subject matter wherein the mouse cell is of L cell origin. | |
357 | Fibroblast, fibroblast-like cell or derivative (e.g., NIH 3T3, etc.): |
| This subclass is indented under subclass 354. Subject matter wherein the mouse cell is of fibroblast origin or is most similar to a fibroblast in phenotype. | |
358 | Chinese Hamster Ovary (i.e., CHO): |
| This subclass is indented under subclass 352. Subject matter wherein the animal cell is of Chinese Hamster ovary origin. | |
359 | Expressing recombinant tPA: |
| This subclass is indented under subclass 358. Subject matter wherein the Chinese Hamster ovary cell expresses tissue plasminogen activator (tPA) from a recombinant gene. | |
360 | Expressing recombinant hormone or growth factor: |
| This subclass is indented under subclass 358. Subject matter wherein the Chinese Hamster ovary cell expresses a polypeptide having hormone or growth factor activity, said polypeptide being expressed from a recombinant gene. | |
361 | Expressing recombinant receptor: |
| This subclass is indented under subclass 358. Subject matter wherein the Chinese Hamster ovary cell expresses a receptor polypeptide from a recombinant gene. | |
362 | Expressing recombinant antigen: |
| This subclass is indented under subclass 358. Subject matter wherein the Chinese Hamster ovary cell expresses a polypeptide used to stimulate an immune response or for recognition by an antibody, said polypeptide being expressed from a recombinant gene. | |
363 | Primate cell, per se: | ||
This subclass is indented under subclass 325. Subject matter wherein the animal cell is of primate origin.
| |||
364 | Monkey kidney: |
| This subclass is indented under subclass 363. Subject matter wherein the primate cell is of monkey kidney origin. | |
365 | COS (e.g., COS-7, etc.): | ||
This subclass is indented under subclass 364. Subject matter wherein the monkey kidney cell is a COS cell.
| |||
365.1 | Expressing recombinant lymphokine, interferon, hormone, growth factor or morphogen: |
| This subclass is indented under subclass 365. Subject matter wherein the COS cell expresses a polypeptide having lymphokine, interferon, hormone, growth factor or morphogen activity, said polypeptide being expressed from a recombinant gene. | |
366 | Human: |
| This subclass is indented under subclass 363. Subject matter wherein the primate cell is of human origin. | |
367 | HeLa cell or derivative: |
| This subclass is indented under subclass 366. Subject matter wherein the human cell is of HeLa cell origin. | |
368 | Nervous system origin or derivative: | ||
This subclass is indented under subclass 366. Subject matter wherein the human cell is of nervous system
origin.
| |||
369 | Renal origin or derivative: | ||
This subclass is indented under subclass 366. Subject matter wherein the human cell is of renal; i.e., kidney, origin.
| |||
370 | Hepatic origin or derivative: |
| This subclass is indented under subclass 366. Subject matter wherein the human cell is of hepatic; i.e., liver, origin. | |
371 | Epithelial origin or derivative: |
| This subclass is indented under subclass 366. Subject matter wherein the human cell is of epithelial origin. | |
372 | Blood, lymphatic or bone marrow origin or derivative: |
| This subclass is indented under subclass 366. Subject matter wherein the human cell is of blood, lymphatic or bone marrow origin. | |
372.1 | Myeloma origin or derivative: | ||
This subclass is indented under subclass 372. Subject matter wherein the human cell is of myeloma origin.
| |||
372.2 | B-cell or derivative: |
| This subclass is indented under subclass 372. Subject matter wherein the human cell is a B-cell; i.e., B-lymphocyte. | |
372.3 | T-cell or derivative: |
| This subclass is indented under subclass 372. Subject matter wherein the human cell is a T-cell; i.e., T-lymphocyte. | |
373 | Method of co-culturing cells: |
| This subclass is indented under subclass 325. Subject matter wherein two or more different animal cell types are cultured together. | |
374 | Method of storing cells in a viable state: |
| This subclass is indented under subclass 325. Subject matter wherein animal cells are stored under conditions to maintain their viability. | |
375 | Method of regulating cell metabolism or physiology: | ||||||||
This subclass is indented under subclass 325. Subject matter wherein a particular metabolic activity or
physiological trait of the animal cell is nonmutagenically and non-recombinantly altered.
SEE OR SEARCH THIS CLASS, SUBCLASS:
| |||||||||
376 | Method of synchronizing cell division: |
| This subclass is indented under subclass 375. Subject matter wherein the cell cycles of a plurality of cells are brought to the same point in the cell cycle, whereupon cell division occurs essentially in phase for at least one cell cycle. | |
377 | Method of altering the differentiation state of the cell: | ||||
This subclass is indented under subclass 375. Subject matter wherein the cell is caused to progress to
a more specialized state; i.e., more differentiated; is
caused to regress to a less specialized state; i.e., less
differentiated; or is prevented from progressing with an
increase or decrease in the degree of differentiation.
| |||||
378 | Method of detaching cells, digesting tissue or establishing a primary culture: | ||
This subclass is indented under subclass 325. Subject matter wherein animal cells are detached from a
solid surface or matrix, or from one another, or
a primary culture of animal cells is established.
| |||
379 | Using mechanical means (e.g., trituration, etc.): |
| This subclass is indented under subclass 378. Subject matter wherein the cells are detached using a mechanical means of separating, triturating, cutting, or comminuting the matrix or tissue. | |
380 | Releasing bound or adhered cell using protease: |
| This subclass is indented under subclass 378. Subject matter wherein the cells are released from a solid surface or matrix using a proteolytic enzyme. | |
381 | Digesting tissue with protease: |
| This subclass is indented under subclass 378. Subject matter wherein the cells in a tissue are detached from one another using a proteolytic enzyme. | |
382 | Method of culturing encapsulated cells: | ||||||
This subclass is indented under subclass 325. Subject matter wherein an encapsulated cell is cultured.
SEE OR SEARCH THIS CLASS, SUBCLASS:
| |||||||
383 | Method of culturing cells in suspension: |
| This subclass is indented under subclass 325. Subject matter wherein the cell culture is in suspension. | |
384 | Culture medium contains a growth factor or growth regulator: |
| This subclass is indented under subclass 383. Subject matter wherein the cell culture medium contains a substance which stimulates or inhibits cell division without altering the differentiation state of the cell. | |
385 | Medium contains a colony stimulating factor: |
| This subclass is indented under subclass 384. Subject matter wherein the medium contains a substance which is a colony stimulating factor. | |
386 | Medium contains an interleukin: |
| This subclass is indented under subclass 384. Subject matter wherein the medium contains a substance which is an interleukin. | |
387 | Medium contains a polypeptide hormone: |
| This subclass is indented under subclass 384. Subject matter wherein the medium contains a substance which is a polypeptide hormone. | |
388 | Culture medium contains an albumin: |
| This subclass is indented under subclass 383. Subject matter wherein the medium contains a substance which is an albumin. | |
389 | Culture medium contains a transferrin: |
| This subclass is indented under subclass 383. Subject matter wherein the medium contains a substance which is a transferrin. | |
390 | Culture medium contains an incompletely defined plant or microbial extract excluding animal extract: | ||
This subclass is indented under subclass 383. Subject matter wherein the medium contains an incompletely-defined
plant or microbial extract, but contains no extract derived
from an animal source.
| |||
391 | Culture medium contains an animal extract: | ||
This subclass is indented under subclass 4067. Subject matter wherein the medium contains an animal extract.
| |||
392 | Serum: |
| This subclass is indented under subclass 391. Subject matter wherein said animal extract comprises serum. | |
393 | Using airlift or laminar flow aeration or foam culture: |
| This subclass is indented under subclass 383. Subject matter wherein the cell culture is subjected to airlift or laminar flow aeration, or is cultured as a foam. | |
394 | Wherein culture vessel is rotated or oscillated or culture is agitated: |
| This subclass is indented under subclass 383. Subject matter wherein the culture vessel is subjected to rotation or oscillation, or the culture is agitated. | |
395 | Solid support and method of culturing cells on said solid support: | ||||
| This subclass is indented under subclass 325. Subject matter including solid supports for cell growth
and culture methods wherein the animal cells are cultured employing
a specific solid support for them to attach to.
SEE OR SEARCH THIS CLASS, SUBCLASS:
| |||||
396 | Support is a resin: | ||
This subclass is indented under subclass 395. Subject matter wherein the support is a resin.
| |||
397 | Support is a gel surface: |
| This subclass is indented under subclass 395. Subject matter wherein the support is a gel surface. | |
398 | Support is a fiber: |
| This subclass is indented under subclass 395. Subject matter wherein the support is in the form of a fiber. | |
399 | Fabric, mat, gauze, or fibrous coating: |
| This subclass is indented under subclass 398. Subject matter wherein the fiber is in the form of a fabric, mat, gauze or coating. | |
400 | Hollow: |
| This subclass is indented under subclass 398. Subject matter wherein the fiber is hollow. | |
401 | Support is a membrane: |
| This subclass is indented under subclass 395. Subject matter wherein the support is a membrane. | |
402 | Support is a coated or treated surface: | ||
| This subclass is indented under subclass 395. Subject matter wherein the support is coated or treated
to enhance attachment or growth.
SEE OR SEARCH THIS CLASS, SUBCLASS:
| |||
403 | Support is a suspendable particle: | ||
| This subclass is indented under subclass 395. Subject matter wherein the support is a suspendable particle.
SEE OR SEARCH THIS CLASS, SUBCLASS:
| |||
404 | Culture medium, per se: |
| This subclass is indented under subclass 325. Subject matter which is a culture medium, per se. | |
405 | Contains a growth factor or growth regulator: |
| This subclass is indented under subclass 404. Subject matter wherein the culture medium contains a substance which stimulates or inhibits cell division without altering the differentiation state of the cell. | |
406 | Contains a polypeptide hormone: |
| This subclass is indented under subclass 405. Subject matter wherein the culture medium contains a polypeptide hormone. | |
407 | Contains an albumin: |
| This subclass is indented under subclass 404. Subject matter wherein the culture medium contains albumin. | |
408 | Contains an animal extract: | ||
This subclass is indented under subclass 404. Subject matter wherein the culture medium contains an animal
extract.
| |||
410 | PLANT CELL OR CELL LINE, PER SE (E.G., TRANSGENIC, MUTANT, ETC.); COMPOSITION THEREOF; PROCESS OF PROPAGATING, MAINTAINING, OR PRESERVING PLANT CELL OR CELL LINE; PROCESS OF ISOLATING OR SEPARATING A PLANT CELL OR CELL LINE; PROCESS OF REGENERATING PLANT CELLS INTO TISSUE, PLANT PART, OR PLANT, PER SE, WHERE NO GENOTYPIC CHANGE OCCURS; MEDIUM THEREFORE: | ||||||||||||||||
This subclass is indented under the class definition. Subject matter which includes plant cells or cell lines, per
se which may be transgenic, mutant, or products
of other processes for obtaining plant cells; compositions
containing plant cells; processes of in vitro propagating, maintaining
or preserving plant cells or cell lines; processes of isolating
or separating plant cells; processes of regenerating plant
cells into tissues, plant parts, or plants, per
se, wherein no genotypic change occurs; and medium
for propagation, maintenance, preservation, etc. of plant
cells or cell lines.
SEE OR SEARCH THIS CLASS, SUBCLASS:
SEE OR SEARCH CLASS:
| |||||||||||||||||
411 | Tomato cell or cell line, per se: | ||
This subclass is indented under subclass 410. Subject matter wherein the plant cell or cell line is from
a tomato plant.
| |||
412 | Corn cell or cell line, per se: | ||
This subclass is indented under subclass 410. Subject matter wherein the plant cell or cell line is from
a corn plant.
| |||
413 | Herbicide resistant: |
| This subclass is indented under subclass 412. Subject matter wherein the corn cell or cell line will survive exposure to certain herbicides. | |
414 | Tobacco cell or cell line, per se: | ||
This subclass is indented under subclass 410. Subject matter wherein the plant cell or cell line is from
a tobacco plant.
| |||
415 | Soybean cell or cell line, per se: | ||
This subclass is indented under subclass 410. Subject matter wherein the plant cell or cell line is from
a soybean plant.
| |||
416 | Sunflower cell or cell line, per se: | ||
This subclass is indented under subclass 410. Subject matter wherein the plant cell or cell line is from
a sunflower plant.
| |||
417 | Potato cell or cell line, per se: | ||
This subclass is indented under subclass 410. Subject matter wherein the plant cell or cell line is from
a potato plant.
| |||
418 | Plant cell or cell line, per se, is pest or herbicide resistant or pest lethal: | ||
This subclass is indented under subclass 410. Subject matter wherein the plant cell or cell line has a
property which allows it to survive pest or herbicide attacks or
a property which makes it lethal to living organisms which prey on
or come in contact with it.
| |||
419 | Plant cell or cell line, per se, contains exogenous or foreign nucleic acid: | ||
This subclass is indented under subclass 410. Subject matter wherein the plant cell or cell line has been
transformed by the insertion of nucleic acid which is either exogenous
or foreign to it.
| |||
420 | Culture, maintenance or preservation techniques, per se: |
| This subclass is indented under subclass 410. Subject matter directed to the processes of culturing, propagating, maintaining, preserving, or regenerating of plant cells or cell lines. | |
421 | Involving protoplast: | ||
This subclass is indented under subclass 420. Subject matter wherein the process includes the presence
of a protoplast.
| |||
422 | Involving conifer cell or tissue (e.g., pine, spruce, fir, cedar, etc.): | ||
This subclass is indented under subclass 420. Subject matter wherein the process includes the presence
of a conifer cell or tissue.
| |||
423 | Involving tomato cell or tissue: |
| This subclass is indented under subclass 420. Subject matter wherein the process includes the presence of a tomato cell or tissue (Lycopersicon). | |
424 | Involving corn cell or tissue: |
| This subclass is indented under subclass 420. Subject matter wherein the process includes the presence of a corn cell or tissue (i.e., Zea mays or maize). | |
425 | Involving tobacco cell or tissue: |
| This subclass is indented under subclass 420. Subject matter wherein the process includes the presence of a tobacco cell or tissue (Nicotiana). | |
426 | Involving soybean cell or tissue: |
| This subclass is indented under subclass 420. Subject matter wherein the process includes the presence of a soybean cell or tissue (Glycine). | |
427 | Involving cotton cell or tissue: |
| This subclass is indented under subclass 420. Subject matter wherein the process includes the presence of a cotton cell or tissue (Gossypium). | |
428 | Involving sunflower cell or tissue: |
| This subclass is indented under subclass 420. Subject matter wherein the process includes the presence of a sunflower cell or tissue (Helianthus). | |
429 | Involving potato cell or tissue: |
| This subclass is indented under subclass 420. Subject matter wherein the process includes the presence of a potato cell or tissue (Solanum). | |
430 | Involving regeneration or propagation into a plant or plant part: | ||
This subclass is indented under subclass 420. Subject matter wherein the process is one in which the plant
cell or tissue regenerates or propagates into a plant or plant part
which is more mature or differentiated than the starting cell or
tissue, e.g., growing a mature
plant from meristematic tissue, culturing a root to induce formation
of a cell mass which is cultured in a medium which results in a
plantlet, etc.
| |||
430.1 | Involving callus or embryonic stage: | ||||
This subclass is indented under subclass 430. Subject matter wherein the regeneration or propagation process
includes a callus or embryonic stage at some stage of the process.
| |||||
431 | Medium, per se, for culture, maintenance, regeneration, etc.: |
| This subclass is indented under subclass 410. Subject matter which is a medium, per se, for culturing, maintaining, regenerating, differentiating, isolating, etc. the plant cell, cell line, or tissue. | |
440 | PROCESS OF MUTATION, CELL FUSION, OR GENETIC MODIFICATION: | ||||||||||||||||||
This subclass is indented under the class definition. Processes for (1) producing a mutation
in an animal cell, plant cell or microorganism, (2) fusing
animal, plant, or microbial cells, (3) producing
a stable and heritable change in the genotype of an animal cell, plant
cell, or a microorganism by artificially inducing a structural
change in a gene or by incorporation of genetic material from an
outside source, or (4) producing a transient
change in the genotype of an animal cell, plant cell, or
microorganism by the incorporation of genetic material from an outside
source.
SEE OR SEARCH THIS CLASS, SUBCLASS:
SEE OR SEARCH CLASS:
| |||||||||||||||||||
441 | Mutation employing a chemical mutagenic agent: | ||||||||||||||
This subclass is indented under subclass 440. Processes wherein structural change in a gene is effected
by a reaction of an animal, plant, or microbial
cell with a chemical compound or composition.
SEE OR SEARCH THIS CLASS, SUBCLASS:
| |||||||||||||||
442 | By replacement of standar nucleic acid base with base analog (e.g., 5-bromouracil, etc.): | ||||
This subclass is indented under subclass 441. Processes involving a compound which is incorporated into
a DNA strand by replacing a normally present deoxynucleotide triphosphate
thereby altering its base-pair sequence.
| |||||
443 | By use of intercalating agent (e.g., acridine orange, etc.): | ||||
This subclass is indented under subclass 441. Processes involving a compound which intercalates between
bases in a DNA molecule.
| |||||
444 | By use of alkylating agent (e.g., nitrosoguanidine, etc.): | ||
This subclass is indented under subclass 441. Processes involving a compound which alkylates a base moiety
in a DNA molecule.
| |||
445 | By use of oxidative deamination agent (e.g., nitrous acid, etc.): |
| This subclass is indented under subclass 441. Processes involving a compound which oxidatively deaminates one or more bases in a DNA molecule. | |
446 | Mutation employing radiation or electricity: | ||||||
This subclass is indented under subclass 440. Processes wherein structural change in a gene is effected
by exposure of an animal, plant, or microbial
cell to radiation or an electric field.
SEE OR SEARCH THIS CLASS, SUBCLASS:
SEE OR SEARCH CLASS:
| |||||||
447 | X-ray irradiation: |
| This subclass is indented under subclass 446. Processes involving irradiation with x-rays. | |
448 | Ultraviolet irradiation: |
| This subclass is indented under subclass 446. Processes involving irradiation with ultraviolet (UV) light. | |
449 | Fusion of cells: | ||||||||||||||||||||
This subclass is indented under subclass 440. Processes wherein cellular matter of two or more fusing
partners is combined, thereby producing a cell which initially
contains the genes of both of the fusing partners.
SEE OR SEARCH THIS CLASS, SUBCLASS:
| |||||||||||||||||||||
450 | Employing electric current: | ||
This subclass is indented under subclass 449. Processes wherein the fusion is effected by exposure of
the fusing partners to an electric current.
| |||
451 | One of the fusing cells is a human antibody-producing cell: |
| This subclass is indented under subclass 449. Processes wherein one or more of the fusing partners is of human origin and expresses a functional immunoglobulin, e.g., a human B-lymphocyte, etc. | |
452 | One of the fusing cells is a mouse antibody-producing cell: |
| This subclass is indented under subclass 449. Processes wherein one or more of the fusing partners is of mouse origin and expresses a functional immunoglobulin, e.g., a mouse B-lymphocyte, etc. | |
453 | One of the fusing cells is a microorganism (e.g., prokaryote, fungus, etc.): | ||
This subclass is indented under subclass 449. Processes wherein one or more of the fusing partners is
of plant origin.
| |||
454 | One of the fusing cells is a microorganism (e.g., prokaryote, fungus, etc.): | ||
This subclass is indented under subclass 449. Processes wherein one or more of the fusing partners is
a cell which is a unicellular organism (e.g., prokaryote, fungus, etc.).
| |||
455 | Introduction of a polynucleotide molecule into or rearrangement of nucleic acid within an animal cell: | ||||||||||||||||||||||
This subclass is indented under subclass 440. Processes of inserting polynucleotide molecules into or
rearranging genetic material within an animal cell.
SEE OR SEARCH THIS CLASS, SUBCLASS:
SEE OR SEARCH CLASS:
| |||||||||||||||||||||||
456 | The polynucleotide is encapsidated within a virus or viral coat: | ||
This subclass is indented under subclass 455. Processes wherein the nucleic acid which is to be introduced
into the cell is surrounded, entirely or substantially, by
viral coat protein when brought into contact or proximity to said cell.
| |||
457 | Helper virus is present: | ||||
This subclass is indented under subclass 456. Processes wherein a helper virus is present.
| |||||
458 | The polynucleotide is coated with or encapsulated within a lipid containing material (e.g., liposome, etc.): |
| This subclass is indented under subclass 455. Processes wherein the nucleic acid molecule is entrapped within a liposome, lipidic particle, or other lipid containing artificial membrane vesicle, or is coated with a cationic lipid, e.g., DOTMA, etc. | |
459 | Involving particle-mediated transfection (i.e., biolistic transfection): |
| This subclass is indented under subclass 455. Processes wherein the nucleic acid is present upon or within a particle which is inserted into the cell, wherein said particle penetrates the cell membrane in a ballistic fashion, i.e., due to a relatively high velocity. | |
460 | Involving laser treatment of the cell before or during transfection: |
| This subclass is indented under subclass 455. Processes wherein the cell membrane is rendered permeable to entry of the nucleic acid by means of irradiation with a laser beam or pulse. | |
461 | Involving electroporation: |
| This subclass is indented under subclass 455. Processes wherein the cell membrane is rendered permeable to entry of the nucleic acid by means of a pulse of electric current. | |
462 | Involving site-specific recombination (e.g., Cre-lox, etc.): | ||||
This subclass is indented under subclass 455. Processes wherein recombination between the nucleic acid
and another nucleic acid, or within the nucleic acid, occurs
in a site-specific fashion, directed by a specific
enzyme or other specific catalytic agent.
SEE OR SEARCH THIS CLASS, SUBCLASS:
| |||||
463 | Involving general or homologous recombination (e.g., gene targeting, etc.): | ||||
This subclass is indented under subclass 455. Processes wherein one or more segments of nucleic acid of
sufficient length and similarity to target said nucleic acid to
a region or regions of DNA in the cell are present on the nucleic acid
molecule and wherein the segment or segments direct homologous recombination
into said region or regions in the cell by means of the general
recombination mechanism of the cell.
SEE OR SEARCH THIS CLASS, SUBCLASS:
| |||||
464 | Involving gene duplication within the cell (e.g., amplification, co-amplification, etc.) | ||||
This subclass is indented under subclass 455. Processes wherein copy number of a segment of the nucleic
acid within the cell, e.g., a
gene, etc., is increased in tandem or
head-to-tail fashion without a concomitant increase
in the copy number of the entire nucleic acid molecule.
SEE OR SEARCH THIS CLASS, SUBCLASS:
| |||||
465 | Involving co-transfection: |
| This subclass is indented under subclass 455. Processes wherein the nucleic acid is introduced into a cell simultaneously with a second, separate and different nucleic acid molecule, such that the cell becomes transfected by both nucleic acid molecules. | |
466 | The polynucleotide is a shuttle vector or a trasiently replicating hybrid vector: | ||
This subclass is indented under subclass 455. Processes wherein the nucleic acid contains at least two
different origins of replication with said different origins being
functional in cells from different organisms and at least one of said
origins being of animal origin and functional in the transfected
cell.
| |||
467 | Inroducing an oncogene to establish a cell line: |
| This subclass is indented under subclass 455. Processes wherein the introduced nucleic acid immortalizes or transforms the cell to allow continuous growth and division of said cell and its progeny, as a cell line. | |
468 | Introduction of a polynucleotide molecule into or rearrangement of a nucleic acid within a plant cell: | ||
| This subclass is indented under subclass 440. Processes of inserting polynucleotide molecules into or
rearranging genetic material within a plant cell.
SEE OR SEARCH CLASS:
| |||
469 | Introduction via Agrobacterium: |
| This subclass is indented under subclass 468. Processes wherein the nucleic acid is introduced into the plant cell by means of an Agrobacterium. | |
470 | Introduction via electroporation, particle, fiber or microprojectile mediated insertion, or injection: | ||
This subclass is indented under subclass 468. Processes wherein the nucleic acid molecule is introduced
into the plant cell by electroporation, particle, fiber
or microprojectile mediated insertion, or injection.
| |||
471 | Introduction of a polynucleotide molecule into or rearrangement of nucleic acid within a microorganism (e.g., bacteria, protozoa, bacteriophage, etc.): | ||||||||||||
This subclass is indented under subclass 440. Processes of inserting polynucleotide molecules into or
rearranging genetic material within a microorganism such as bacteria, protozoa, bacteriophage, etc.
SEE OR SEARCH THIS CLASS, SUBCLASS:
| |||||||||||||
472 | The polynucleotide is encapsidated within a bacteriophage, bacteriophage coat, or transducing particle: | ||||||||||
This subclass is indented under subclass 471. Processes wherein the nucleic acid which is to be introduced
into a microbial cell is surrounded entirely or substantially by
phage coat protein when brought into contact or proximity with said
cell.
SEE OR SEARCH THIS CLASS, SUBCLASS:
| |||||||||||
473 | The polynucleotide contains a transposon: | ||
This subclass is indented under subclass 471. Processes wherein the nucleic acid inserted into the microbial
cell contains a transposon.
| |||
474 | The polynucleotide is a cosmid: | ||
This subclass is indented under subclass 471. Processes wherein the nucleic acid inserted into the microbial
cell is in the form of a cosmid vector.
| |||
475 | The polynucleotide is unencapsidated bacteriophage or viral nucleic acid: | ||||||||||||||
This subclass is indented under subclass 471. Processes wherein the nucleic acid is that of a bacteriophage
or virus which when inserted into the microbial cell is not surrounded
by phage or viral coat protein.
SEE OR SEARCH THIS CLASS, SUBCLASS:
| |||||||||||||||
476 | The polynucleotide is a plasmid or episome: | ||||||||||
This subclass is indented under subclass 471. Processes wherein the nucleic acid is a plasmid or episome
and therefore capable of autonomous replication in the microorganism
cell.
SEE OR SEARCH THIS CLASS, SUBCLASS:
| |||||||||||
477 | Plasmid or episome contains DNA targeting homologous recombination to bacteriophage, viral, or chromosomal DNA within a microorganism: | ||
This subclass is indented under subclass 476. Processes wherein one or more DNA segments of sufficient
length and similarity to target said DNA to a region or regions
of DNA in a microbial cell are present on the plasmid or episome, which
segment or segments direct homologous recombination into said region
or regions in the microorganism.
| |||
478 | Plasmid or episome contains at least part of a gene encoding a restriction endonuclease or modification enzyme: | ||||
This subclass is indented under subclass 476. Processes wherein at least part of a gene for a restriction
endonuclease or at least part of a gene for a modification enzyme
is present on the plasmid or episome.
| |||||
479 | Plasmid or episome confers the ability to utilize directly a compound which a wild type microoraganism is unable to utilize: | ||||||||
This subclass is indented under subclass 476. Processes wherein the plasmid or episome contains nucleic
acid which enables a microorganism transformed with said plasmid
or episome to metabolize a compound not metabolizable by the wild
type microorganism.
| |||||||||
480 | Plasmid or episome contains at least part of a gene encoding a toxin or encoding for virulence or pathogenicity: | ||||||||||
This subclass is indented under subclass 476. Processes wherein at least part of a gene for a toxin or
at least part of a gene for causing virulence or pathogenicity is
present on the plasmid or episome.
| |||||||||||
481 | Plasmid or episome contains a gene which complements a nutritional deficiency mutation: |
| This subclass is indented under subclass 476. Processes wherein the plasmid or episome contains a gene which restores an ability to import and/or utilize one or more nutrient compounds to a microorganism where such an ability is normally present in the wild type microorganism but has been lost. | |
482 | Plasmid or episome contains a gene which confers resistance to metal, silicon, selenium, or tellurium toxicity: | ||
This subclass is indented under subclass 476. Processes wherein the plasmid or episome contains a gene
which confers resistance to metals, silicon, selenium, or
tellurium which are toxic to a microorganism.
| |||
483 | Yeast is a host for the plasmid or episome: | ||||||||
This subclass is indented under subclass 476. Processes wherein the plasmid or episome is introduced into
a yeast.
SEE OR SEARCH THIS CLASS, SUBCLASS:
| |||||||||
484 | Mycelial fungus is a host for the plasmid or episome: | ||||||||||
This subclass is indented under subclass 476. Processes wherein the plasmid or episome is introduced into
a mycelial fungus.
SEE OR SEARCH THIS CLASS, SUBCLASS:
SEE OR SEARCH CLASS:
| |||||||||||
485 | Microorganism of the genus Bacillus is a host for the plasmid or episome: |
| This subclass is indented under subclass 476. Processes wherein the plasmid or episome is introduced into a microorganism of genus Bacillus. | |
486 | Microorganism of the genus Streptomyces is a host for the plasmid or episome: |
| This subclass is indented under subclass 476. Processes wherein the plasmid or episome is introduced into a microorganism of genus Streptomyces. | |
487 | Microorganism of the genus Brevibacterium or genus Corynebacterium is a host for the plasmid or episome: |
| This subclass is indented under subclass 476. Processes wherein the plasmid or episome is introduced into a microorganism of genus Brevibacterium or a microorganism of genus Corynebacterium. | |
488 | Microorganism of the genus Escherichia is a host for the plasmid or episome: |
| This subclass is indented under subclass 476. Processes wherein the plasmid or episome is introduced into a microorganism of genus Escherichia. | |
489 | Plural nonidentical plasmids are introduced into a host microorganism or culture thereof (e.g., plasmid is part of a library, etc.): | ||
This subclass is indented under subclass 476. Processes wherein two or more nonidentical plasmids are
present in a mixture to be used for transforming a microorganism
or culture thereof.
| |||
490 | The polynucleotide is an unbranched linear fragement: | ||
This subclass is indented under subclass 471. Processes wherein the inserted nucleic acid is an unbranched
linear molecule.
| |||
CROSS-REFERENCE ART COLLECTIONS
Cross-reference Art Collections 960-975 are related to subclasses 7.1 through 7.95
800 | ELIMINATION OR REDUCTION OF CONTAMINATION BY UNDESIRED FERMENTS (E.G., ASEPTIC CULTIVATION): |
| Subject matter in which a culture is subjected to physical or chemical treatment to suppress or reduce the growth of a microorganism present in order to permit another microorganism to propagate. | |
801 | ANEROBIC CULTIVATION: |
| Subject matter in which microorganism cultivation takes place in the absence of oxygen or oxygen bearing gas. | |
802 | LOGARITHMIC GROWTH PHASE: |
| Subject matter in which the initial growth period of a microorganism culture is extended or controlled or is otherwise of interest. | |
803 | PHYSICAL RECOVERY METHODS; E.G., CHROMATOGRAPHY, GRINDING: |
| Subject matter in which a microorganism or microbial product other than an enzyme is recovered or purified by physical means alone. | |
804 | SINGLE CELL PROTEIN: |
| Subject matter in which the suitability of a microorganism to supply palatable protein is disclosed. | |
805 | TEST PAPERS: |
| Subject matter in which a test material is carried on a bibulous material which may be cellulosic or noncellulosic. | |
806 | FERTILITY TESTS: |
| Subject matter in which fecundity or pregnancy is determined. | |
807 | GAS DETECTION APPARATUS: |
| Subject matter in which means is provided to detect the presence of gas in a qualitative or quantitative manner. | |
808 | OPTICAL SENSING APPARATUS: |
| Subject matter in which means senses the production or absorbtion of light by a sample or otherwise optically examines a specimen. | |
809 | INCUBATORS OR RACKS OR HOLDERS FOR CULTURE PLATES OR CONTAINERS: |
| Subject matter including heating means for culture containers or means to support such containers. | |
810 | PACKAGED DEVICE OR KIT: |
| Subject matter in which a measuring or testing device or sample or plurality of such is in a container or package. | |
811 | INTERFERON: |
| Subject matter in which the antiviral agent interferon is isolated or treated. | |
812 | FOAM CONTROL: | ||
| Subject matter in which the formation of froth in fermentors
is suppressed by physical or chemical treatment.
SEE OR SEARCH CLASS:
| |||
813 | CONTINUOUS FERMENTATION: |
| Subject matter which is arranged to facilitate continuous operation. | |
814 | ENZYME SEPARATION OR PURIFICATION: |
| Subject matter in which an enzyme is separated or purified. | |
815 | By sorption: |
| This subclass is indented under subclass 814. Subject matter in which an enzyme is separated or purified by absorption or adsorption. | |
816 | By solubility: |
| This subclass is indented under subclass 814. Subject matter in which an enzyme is separated or purified by manipulation of the relative solubility of the enzyme in a solvent. | |
817 | ENZYME OR MICROBE ELECTRODE: |
| Subject matter in which an enzyme or microbe is part of an electrode. | |
818 | AERATION OR OXYGEN TRANSFER TECHNIQUE: |
| Subject matter in which a fermentor is aerated or other process of oxygen transfer is disclosed. | |
819 | FERMENTATION VESSELS IN SERIES: |
| Subject matter in which two or more fermentation vessels are connected in series. | |
820 | SUBCELLULAR PARTS OF MICROORGANISMS: |
| Subject matter in which the subcellular parts of a microorganism are isolated or treated. | |
821 | MICROORGANISMS USED IN THE DESTRUCTION OF HAZARDOUS OR TOXIC WASTE: |
| Collection of microorganisms specifically disclosed as being useful for the destruction of hazardous or toxic waste. | |
822 | Using bacteria or actinomycetales: |
| The subject matter below are microorganism cross-reference art collections. The bacteria terminology below is based upon "Bergey"s Manual of Determinative Bacteriology," Eighth Edition, which is to be considered dispositive of the subject matter. | |
823 | Acetobacter: |
824 | Achromobacter: |
825 | Actinomadura: |
826 | Actinomyces: |
827 | Actinoplanes: |
828 | Aerobacter: |
829 | Alcaligenes: |
830 | Arthrobacter: |
831 | Azotobacter: |
832 | Bacillus: |
833 | Bacillus brevis: |
834 | Bacillus cereus: |
835 | Bacillus circulans: |
836 | Bacillus licheniformis: |
837 | Bacillus megaterium: |
838 | Bacillus polymyxa: |
839 | Bacillus subtilis: |
840 | Brevibacterium: |
841 | Chainia: |
842 | Clostridium: |
843 | Corynebacterium: |
844 | Corynebacterium diphtheriae: |
845 | Corynebacterium poinsettiae: |
846 | Corynebacterium pyogenes: |
847 | Erwinia: |
848 | Escherichia: |
849 | Escherichia coli: |
850 | Flavobacterium: |
851 | Haemophilus: |
852 | Klebsiella: |
853 | Lactobacillus: |
854 | Lactobacillus acidophilus: |
855 | Lactobacillus brevis: |
856 | Lactobacillus casei: |
857 | Lactobacillus plantarum: |
858 | Methylomonas: |
859 | Micrococcus: |
860 | Micrococcus flavus: |
861 | Micrococcus glutamicus: |
862 | Micrococcus lysodeikticus: |
863 | Mycobacterium: |
864 | Mycobacterium avium: |
865 | Mycobacterium fortuitum: |
866 | Mycobacterium smegmatis: |
867 | Micromonospora: |
868 | Micromonospora chalcea: |
869 | Micromonospora purpurea: |
870 | Mycoplasma: |
871 | Neisseria: |
872 | Nocardia: |
873 | Proteus: |
874 | Pseudomonas: |
875 | Pseudomonas aeruginosa: |
876 | Pseudomonas fluorescens: |
877 | Pseudomonas putida: |
878 | Rhizobium: |
879 | Salmonella: |
880 | Serratia: |
881 | Serratia marcescens: |
882 | Staphylococcus: |
883 | Staphylococcus aureus: |
884 | Staphylococcus epidermidis: |
885 | Streptococcus: |
886 | Streptomyces: |
887 | Streptomyces albus: |
888 | Streptomyces antibioticus: |
889 | Streptomyces aureofaciens: |
890 | Streptomyces aureus: |
891 | Streptomyces bikiniensia: |
892 | Streptomyces candidus: |
893 | Streptomyces chartreusis: |
894 | Streptomyces diastatochromogenes: |
895 | Streptomyces filipinensis: |
896 | Streptomyces fradiae: |
897 | Streptomyces griseus: |
898 | Streptomyces hygroscopicus: |
899 | Streptomyces lavendulae: |
900 | Streptomyces lincolnensis: |
901 | Streptomyces noursei: |
902 | Streptomyces olivaceus: |
903 | Streptomyces platensis: |
904 | Streptomyces rimosus: |
905 | Streptomyces sparogenes: |
906 | Streptomyces venezuelae: |
907 | Streptosporangium: |
908 | Streptovirticillium: |
909 | Vibrio: |
910 | Xanthomonas: |
911 | Using fungi: |
912 | Absidia: |
913 | Aspergillus: |
914 | Aspergillus awamori: |
915 | Aspergillus flavus: |
916 | Aspergillus fumigatus: |
917 | Aspergillus niger: |
918 | Aspergillus oryzae: |
919 | Aspergillus ustus: |
920 | Aspergillus wenti: |
921 | Candida: |
922 | Candida albicans: |
923 | Candida lipolytica: |
924 | Candida tropicalis: |
925 | Cephalosporium: |
926 | Cephalosporium acremonium: |
927 | Cephalosporium caerulens: |
928 | Cephalosporium crotocinigenium: |
929 | Fusarium: |
930 | Hansenula: |
931 | Mucor: |
932 | Paecilomyces: |
933 | Penicillium: |
934 | Penicillium brevi: |
935 | Penicillium chrysogenum: |
936 | Penicillium notatium: |
937 | Penicillium patulum: |
938 | Pichia: |
939 | Rhizopus: |
940 | Saccharomyces: |
941 | Saccharomyces carlsbergensis: |
942 | Saccharomyces cerevisiae: |
943 | Saccharomyces lactis: |
944 | Torulopsis: |
945 | Trichoderma: |
946 | Using algae: |
947 | Using protozoa: |
948 | Using viruses or cell lines: |
960 | IMMUNOHISTOCHEMICAL ASSAY: | ||
Subject matter involving antigen-antibody binding
or ligand-receptor binding involving the study of the structure
or function of intact tissue.
| |||
961 | INCLUDING A STEP OF FORMING, RELEASING, OR EXPOSING THE ANTIGEN OR FORMING THE HAPTEN-IMMUNOGENIC CARRIER COMPLEX OR THE ANTIGEN, PER SE: |
| Subject matter involving a step of (1) forming, releasing, or exposing an antigen, (2) forming a hapten-immunogenic carrier complex, or (3) claiming the structure of the antigen, per se. | |
962 | PREVENTION OR REMOVAL OF INTERFERING MATERIALS OR REACTANTS OR OTHER TREATMENT TO ENHANCE RESULTS (E.G., DETERMINING OR PREVENTING NONSPECIFIC BINDING, ETC.): |
| Subject matter involving (1) preventing the formation of interfering reactants or material, (2) removal of interfering reactants or material, or (3) treatment described as improving or enhancing the result of the assay. | |
963 | METHODS OF STOPPING AN ENZYME REACTION OR STABILIZING THE TEST MATERIALS: |
| Subject matter involving (1) methods of stopping an enzyme reaction or (2) methods of stabilizing the test materials. | |
964 | INCLUDING ENZYME-LIGAND CONJUGATE PRODUCTION (E.G., REDUCING RATE OF NONPRODUCTIVE LINKAGE, ETC.): |
| Subject matter involving the production of an enzyme-ligand conjugate. | |
965 | INVOLVING IDIOTYPE OR ANTI-IDIOTYPE ANTIBODY: |
| Subject matter involving idiotype or anti-idiotype antibodies. | |
966 | INVOLVING AN ENZYME SYSTEM WITH HIGH TURNOVER RATE OR COMPLEMENT MAGNIFIED ASSAY (E.G., MULTI-ENZYME SYSTEMS, ETC.): | ||
Subject matter involving (1) an enzyme
system with high turnover rate or (2) the use
of complement to enhance the results of the assay.
| |||
967 | STANDARDS, CONTROLS, MATERIALS (E.G., VALIDATION STUDIES, BUFFER SYSTEMS, ETC.): |
| Subject matter involving the standards, controls, or materials used in antigen-antibody or ligand-receptor binding assays. | |
968 | HIGH ENERGY SUBSTRATES (E.G., FLUORESCENT, CHEMILUMINESCENT, RADIOACTIVE, ETC.): |
| Subject matter involving a high energy substrate such as one which is fluorescent, chemiluminescent, or radioactive. | |
969 | MULTIPLE LAYERING OR REACTANTS: | ||||
Subject matter including the reacting of multiple ligand-binder
components to result in amplification of the detection system.
SEE OR SEARCH THIS CLASS, SUBCLASS:
| |||||
970 | TEST STRIP OR TEST SLIDE: |
| Subject matter involving the use of a test strip or slide which carries the reagents or reactants involved in the test. | |
971 | CAPTURE OF COMPLEX AFTER ANTIGEN-ANTIBODY REACTION: |
| Subject matter involving reaction of antigen with antibody in solution resulting in an antigen-antibody complex which is then captured through insolubilization prior to a determination step. | |
972 | MODIFIED ANTIBODY (E.G., HYBRID, BIFUNCTIONAL, ETC.): |
| Subject matter involving antibodies which have been altered physically or chemically. | |
973 | SIMULTANEOUS DETERMINATION OF MORE THAN ONE ANALYTE: |
| Subject matter involving an analysis in which multiple analytes are determined at the same time. | |
974 | AIDS RELATED TEST: |
| Subject matter involving a test for Acquired Immunodeficiency Syndrome. | |
975 | KIT: |
| Subject matter in which measuring or testing reagents are in kit form. | |
The definitions for FOR 100-FOR 122 below correspond to the definitions of the abolished subclasses under Class 435 from which these collections were formed. See the Foreign Art Collections schedule for specific correspondences. [Note: The titles and definitions for indented art collections include all the details of the one (s) that are hierarchically superior. | |||||||
| FOR 100 | ANIMAL OR PLANT CELL (E.G., CELL LINES, ETC.); COMPOSITION THEREOF; PROCESS OF PROPAGATING, MAINTAINING OR PRESERVING ANIMAL OR PLANT CELL OR COMPOSITION THEREOF; PROCESS OF ISOLATING OR SEPARATING AN ANIMAL OR PLANT CELL OR COMPOSITION THEREOF; PROCESS OF PREPARING A COMPOSITION CONTAINING ANIMAL OR PLANT CELL; CULTURE MEDIA THEREFORE: | ||||||
| Foreign art collections including animal or plant cells, per se; compositions containing animal or plant cells; processes of in vitro propagation of animal or plant cells or groups of cells that are not organized tissues; processes of maintaining or preserving animal or plant cells or compositions thereof; processes of isolating or separating an animal or plant cell or composition thereof; processes of preparing a composition containing animal or plant cells; culture media therefore. | |||||||
| FOR 101 | nimal cells, per se, culture techniques and media: | ||||||
| Foreign art collections including animal cell culture techniques, the media used to culture the cells and the animal cells, per se. | |||||||
| FOR 102 | Techniques of establishing a primary culture: | ||||||
| Foreign art collections wherein a primary culture of animal cells is established. | |||||||
| FOR 103 | Culture of encapsulated cells: | ||||||
| Foreign art collections wherein an encapsulated cell is cultured. | |||||||
| FOR 104 | Culture of cells on solid support (e.g., anchorage dependent cells): | ||||||
| Foreign art collections wherein the animal cells are cultured on a solid support. | |||||||
| FOR 105 | Support is suspendable particle: | ||||||
| Foreign art collections wherein the solid support is a suspendable particle. | |||||||
| FOR 106 | Culture of cells on membrane: | ||||||
| Foreign art collections wherein the solid support is a membrane. | |||||||
| FOR 107 | Hollow fibre membrane: | ||||||
| Foreign art collections wherein the membrane is in the form of a hollow tube or fibre. | |||||||
| FOR 108 | Solid support treated or coated to enhance attachment or growth: | ||||||
| Foreign art collections wherein the solid support is treated or coated to enhance attachment or growth. | |||||||
| FOR 109 | Culture in suspension: | ||||||
| Foreign art collections wherein the cell culture is in suspension. | |||||||
| FOR 110 | Fused or hybrid cells: | ||||||
| Foreign art collections wherein the cell resulting from (a) the fusion of two cells, (b) the insertion of the nucleus or chromocone of one cell into another or (c) the treatment of a cell with an immortalizing agent which results in a cell which will proliferate in long-term culture. | |||||||
| FOR 111 | Ab or Ig fragments producing cells: | ||||||
| Foreign art collections wherein the fused or hybrid cells are immunoglobulin or immunoglobulin fragment producing cells. | |||||||
| FOR 112 | Culture medium, per se: | ||||||
| Foreign art collections wherein the culture medium, per se, is claimed. | |||||||
| FOR 113 | Defined medium: | ||||||
| Foreign art collections wherein the media is composed of purified distinct chemical compounds. | |||||||
| FOR 114 | Plant cells, per se, culture techniques and media: | ||||||
| Foreign art collections including plant cells, per se, and processes of culture of plant cells and the media for the culture or regeneration of plant cells. | |||||||
| FOR 115 | Culture techniques (e.g., meristem culture, etc.): | ||||||
| Foreign art collections directed to the process of culture of plant cells. | |||||||
| FOR 116 | Culture in suspension: | ||||||
| Foreign art collections wherein the cell culture is carried out in suspension. | |||||||
| FOR 117 | Protoplasts: | ||||||
| Foreign art collections wherein a plant protoplast is cultured. | |||||||
| FOR 118 | Callus culture: | ||||||
| Foreign art collections wherein a callus culture is grown. | |||||||
| FOR 119 | Regeneration (includes nonflowering ornamentals): | ||||||
| Foreign art collections wherein the callus is used to regenerated a differentiated plant. | |||||||
| FOR 120 | Agronomic crops (e.g., tobacco, grains, etc.): | ||||||
| Foreign art collections wherein the plant is an agronomic crop. | |||||||
| FOR 121 | Fruit and vegetable crops (e.g., tobacco, etc.): | ||||||
| Foreign art collections wherein the plant is a fruit or vegetable crop. | |||||||
| FOR 122 | Culture medium, per se, or regeneration medium, per se: | ||||||
| Foreign art collections wherein a culture medium, per se, or a regeneration medium, per se, is claimed. | |||||||
| FOR 123 | MUTATION OR GENETIC ENGINEERING: | ||||||
| Foreign art collections including processes for producing a stable inheritable change in the genotype of an animal or plant cell or a microorganism by artificially inducing a structural change in a gene or by the incorporation of genetic material from an outside source. | |||||||
| FOR 124 | Fused or hybrid cell formation: | ||||||
| Foreign art collections including processes in which the cellular matter of two or more fusing partners is combined producing a cell which initially contains the genes of the fusing partners, or a cell is treated with a virus or oncogene to permit proliferation in long-term culture. | |||||||
| FOR 125 | Recombination: | ||||||
| Foreign art collections including the methods and materials of recombinant DNA technology. | |||||||
| FOR 126 | OBTAINING DESIRED GENE; DNA, RNA, PER SE, AND MODIFICATION THEREOF OTHER THAN VECTOR MODIFICATION: | ||||||
| Foreign art collections including subject matter directed to (1) obtaining a desired DNA or RNA sequence by chemical or biochemical and/or physical means and (2) to the chemical or biochemical modification of a DNA or RNA and (3) to the isolation or purification DNA or RNA. | |||||||
| FOR 127 | DNA-RNA hybrid: | ||||||
| Foreign art collections including subject matter directed to DNA hydrogen-bonded to RNA and to covalently bonded molecules containing both DNA and RNA. | |||||||
| FOR 128 | RNA: | ||||||
| Foreign art collections including subject matter directed to the synthesis, modification, isolation, or purification of ribonucleic acid sequences and the product of such processes. | |||||||
| FOR 129 | mRNA: | ||||||
| Foreign art collections including subject matter in which the ribonucleic acid sequence functions as messenger RNA or is claimed or disclosed as part of a messenger RNA sequence. | |||||||
| FOR 130 | 2-100 nucleotides in length, e.g., t-RNA, etc.: | ||||||
| Foreign art collections including subject matter in which the ribonucleic acid sequence is from 2 to 100 bases long. | |||||||
| FOR 131 | DNA, e.g., regulatory sequences, etc.: | ||||||
| Foreign art collections including subject matter directed to the synthesis, modification, or purification of deoxryribonucleic acid sequences and the products of such processes. | |||||||
| FOR 132 | Homopolymeric, e.g., poly d(A) sequence, etc.: | ||||||
| Foreign art collections including subject matter in which the deoxyribonucleic acid sequence is composed of repeating units of the same nucleotide base. | |||||||
| FOR 133 | 12-75 nucleotides in length, e.g., primers, etc.: | ||||||
| Foreign art collections including subject matter in which the nucleotide of interest is composed of 12 to 75 bases. | |||||||
| FOR 134 | Structural gene sequence: | ||||||
| Foreign art collections including subject matter in which the DNA sequence codes for the production of the amino acid sequence of a polypeptide. | |||||||
| FOR 135 | Modified structural gene, e.g., nonnaturally occurring sequence, etc.: | ||||||
| Foreign art collections including subject matter in which the structural gene is not homologous with a gene isolated from a plant, animal, or microorganism. | |||||||
| FOR 136 | Polypeptide: | ||||||
| Foreign art collections including subject matter in which the structural gene codes for production of a polypeptide of two or more amino acid residues. | |||||||
| FOR 137 | Antigenic material: | ||||||
| Foreign art collections including subject matter in which the polypeptide is identified as an antigen. | |||||||
| FOR 138 | Hormone, e.g., human growth factor, insulin, etc.: | ||||||
| Foreign art collections including subject matter in which the structural gene codes for the production of a plant or animal hormone. | |||||||
| FOR 139 | Enzyme: | ||||||
| Foreign art collections including subject matter in which the structural gene sequence codes for the production of an enzyme. | |||||||
| FOR 140 | Antibody: | ||||||
| Foreign art collections including subject matter in which the structural gene codes for the production of an antibody. | |||||||
| FOR 141 | Methods of producing DNA or RNA other than by expression vectors, e.g., culture of cells high in DNA, etc.: | ||||||
| Foreign art collections including subject matter directed to methods of producing DNA or RNA by the production and use of a cloning vector or by chemical synthesis. | |||||||
| FOR 142 | Cell free production: | ||||||
| Foreign art collections including subject matter in which nucleotide sequences are produced in the absence of cells. | |||||||
| FOR 143 | cDNA synthesis: | ||||||
| Foreign art collections including subject matter in which the nucleotide produced is complementary DNA to a template RNA starting material. | |||||||
| FOR 144 | Isolation or purification of DNA or RNA: | ||||||
| Foreign art collections including subject matter directed to the isolation or purification of preexisting DNA or RNA by chemical or physical means. | |||||||
| FOR 145 | RNA: | ||||||
| Foreign art collections including subject matter directed to the isolation or purification of RNA. | |||||||
| FOR 146 | mRNA: | ||||||
| Foreign art collections including subject matter in which the RNA is messenger RNA. | |||||||
| FOR 147 | VECTORS AND METHODS OF MODIFYING VECTORS: | ||||||
| Foreign art collections including subject matter directed to (1) microscopic agents for the introduction of foreign nucleic acid sequences into cells and (2) methods of forming or modifying such agents. | |||||||
| FOR 148 | Inserting gene into vector to form recombinant vector, i.e., cleavage and ligation: | ||||||
| Foreign art collections including subject matter including the covalent attachment of an exogenous gene sequence to the nucleic acid sequence of a vector. | |||||||
| FOR 149 | Vector utilized, e.g., episomes, etc.: | ||||||
| Foreign art collections including subject matter including a vector, per se, i.e., a nonchromosomal nuclei acid sequence capable of directing its own replication within a host cell and capable of carrying a segment of exogenous nucleic acid. | |||||||
| FOR 150 | Plant virus: | ||||||
| Foreign art collections including subject matter in which the vector is a plant virus. | |||||||
| FOR 151 | Cosmid: | ||||||
| Foreign art collections including subject matter in which the vector is a plasmid carrying the ligated cohesive ends (cos) of bateriophage which permit in vitro packaging. | |||||||
| FOR 152 | Plasmid: | ||||||
| Foreign art collections including subject matter in which the vector is an extrachromosomal genetic element consisting of a closed circular DNA molecule. | |||||||
| FOR 153 | Yeast: | ||||||
| Foreign art collections including subject matter in which the plasmid is capable of replicating in ortransforming yeast. | |||||||
| FOR 154 | Prokaryotic: | ||||||
| Foreign art collections including subject matter in which the plasmid is one capable of replicating in ortransforming a cell having a single chromosome. | |||||||
| FOR 155 | Plant: | ||||||
| Foreign art collections including subject matter in which the plasmid is one capable of replicating in or transforming a plant cell. | |||||||
| FOR 156 | Bacteriophage: | ||||||
| Foreign art collections including subject matter in which the vector is a single-stranded ordouble-stranded DNA bacterial virus or single- ordouble-stranded RNA bacterial virus. | |||||||
| FOR 157 | Animal virus, e.g., SV40, etc.: | ||||||
| Foreign art collections including subject matter in which the vector comprises a single- or double-stranded DNA orRNA animal virus. | |||||||
| FOR 158 | METHODS OF ENHANCING OR DIMINISHING EXPRESSION: | ||||||
| Foreign art collections including subject matter directed to processes ofachieving the maximum production ofthe desired translation product ofa genetically engineered cell or minimizing the production ofthe undesired products of the cell. | |||||||
| FOR 159 | Eukaryotic cell: | ||||||
| Foreign art collections including subject matter in which the cell expressing the genetic information contains a nucleus composed ofmultiple chromosomes surrounded by a membrane. | |||||||
| FOR 160 | Plant cell: | ||||||
| Foreign art collections including subject matter in which expression is modified in a plant cell. | |||||||
| FOR 161 | Transcription: | ||||||
| Foreign art collections including subject matter in which the transfer ofgenetic information from DNA to messenger RNA by DNA-directed RNA polymerase is modified. | |||||||
| FOR 162 | Yeast cell: | ||||||
| Foreign art collections including subject matter in which the cell is a fungus that reproduces by budding and has either short ornonexistent mycelia. | |||||||
| FOR 163 | Prokaryotic cell: | ||||||
| Foreign art collections including subject matter in which the cell expressing the genetic information is a simple cell having no nuclear membrane and the cell membrane is usually surrounded by a rigid cell wall and contains only a single chromosome. | |||||||
| FOR 164 | Transcription: | ||||||
| Foreign art collections including subject matter in which the transfer of genetic information from DNA to messenger RNA by DNA-directed RNA polymerase is modified. | |||||||
| FOR 165 | Operon selection: | ||||||
| Foreign art collections including subject matter in which the structural gene, regulator gene orgenes orcontrol elements of the operon are modified to enhance ordiminish expression. | |||||||
| FOR 166 | Promoter, e.g., portable promoters, etc.: | ||||||
| Foreign art collections including subject matter in which the region of DNA involved in binding RNA polymerase toinitiate transcription is altered orsubstituted. | |||||||
| FOR 167 | Gene dosage modification, e.g., copy number amplification, etc.: | ||||||
| Foreign art collections including subject matter in which a process is carried out to increase or decrease the number oftimes a structural gene ofinterest appears in a cell population. | |||||||
| FOR 168 | Inducible, e.g., temperature inducible, etc.: | ||||||
| Foreign art collections including subject matter in which the gene dosage modification is brought about by altering the physical orchemical surroundings ofthe cell carrying the desired gene. | |||||||
| FOR 169 | Translation: | ||||||
| Foreign art collections including subject matter in which the synthesis ofa protein or peptide by a cell on the mRNA template is modified. | |||||||
| FOR 170 | Ribosome binding site: | ||||||
| Foreign art collections including subject matter in which the site of mRNA at which ribosomes initiate protein synthesis is modified or the position of the binding site on the mRNA is changed to optimize expression. | |||||||
| FOR 171 | Initiation: | ||||||
| Foreign art collections including subject matter in which the initiation of peptide or protein synthesis is modified. | |||||||
| FOR 172 | Fused protein or peptide: | ||||||
| Foreign art collections including subject matter in which a DNA sequence coding forat least portions of two or more different polypeptides directs expression of a single po1ypeptide chain. | |||||||
| FOR 173 | Signal peptide, e.g., secretion, etc.: | ||||||
| Foreign art collections including subject matter in which the fused peptide or protein is a peptide or protein that initiates or permits some cellular activity. | |||||||
| FOR 174 | Post translational modification: | ||||||
| Foreign art collections including subject matter which includes addition to, removal of, or rearrangement of the peptide or protein products in the cell. | |||||||
| FOR 175 | Glycosylation: | ||||||
| Foreign art collections including subject matter in which the post translational modification is the addition of saccharide moieties. | |||||||
| FOR 176 | Peptide bond cleavage: | ||||||
| Foreign art collections including subject matter in which the post translational modification is the cleavage of a peptide bond. | |||||||
| FOR 177 | METHODS OF INTRODUCING GENE INTO CELL, E.G., TRANSFORMATION OR TRANSFECTION, ETC.: | ||||||
| Foreign art collections including subject matter forthe physical introduction ofan exogenous gene into the cytoplasm of a cell. | |||||||
| FOR 178 | Microinjection: | ||||||
| Foreign art collections including subject matter in which exogenous DNA is introduced into the cytoplasm of a cell by physical piercing of the cell wall and/or nuclear membrane. | |||||||
| FOR 179 | Microencapsulation, e.g., liposome vesicle, etc.: | ||||||
| Foreign art collections including subject matter in which the method of introduction of exogenous DNA into a cell includes enveloping the DNA in a substance which permits or encourages passage of the DNA through the cell wall and nuclear membrane. | |||||||
| FOR 180 | Using vector, e.g., plasmid etc.: | ||||||
| Foreign art collections including subject matter in which exogenous DNA or RNA is introduced into a cell as part of a larger nonchromosomal DNA or RNA sequence capable of directing its own replication within the cell | |||||||
| FOR 181 | Plasmid: | ||||||
| Foreign art collections including subject matter in which the vector is an extra-chromosomal genetic element consisting of a covalently closed circular DNA molecule (cccDNA). | |||||||
| FOR 182 | Virus: | ||||||
| Foreign art collections including subject matter in which the vector is a virus. | |||||||
| FOR 183 | Phage, e.g., phage lambda, etc.: | ||||||
| Foreign art collections including subject matter in which the vector is a single or double stranded DNA bacterial virus or single or double stranded RNA bacterial virus. | |||||||
| FOR 184 | METHOD OF USE OF GENETICALLY ENGINEERED CELLS OTHER THAN HYBRID OR FUSED CELLS, E.G., OIL SPILL CLEANUP, ETC.: | ||||||
| Foreign art collections including a method of use of the recombinant gene-containing cell. | |||||||
| FOR 185 | To produce an identified chemical product, e.g., amino acid, etc.: | ||||||
| Foreign art collections including process of use of a genetically engineered cell to produce a product of known chemical structure. | |||||||
| FOR 186 | Yield optimization: | ||||||
| Foreign art collections including processes including a step which results in increased production of a desired chemical product or reduces production of an undesired product. | |||||||
| FOR 187 | Control of genetic disease or defects by use of added gene e.g., gene therapy, etc.: | ||||||
| Foreign art collections including processes in which a condition caused by a genetic defect is treated by alteration of the defective gene structure. | |||||||
| FOR 188 | Use in animal husbandry: | ||||||
| Foreign art collections including processes of the use of genetically engineered cells or vectors in the breeding or raising of animals. | |||||||
| FOR 189 | Use in agriculture: | ||||||
| Foreign art collections including processes of use of genetically engineered cells or vectors in plant husbandry. | |||||||
| FOR 190 | Vaccine production: | ||||||
| Foreign art collections including processes of use of genetically engineered cells in the production of antigenic compositions for the prevention of disease. | |||||||
| FOR 191 | CELLS CONTAINING A VECTOR AND/OR EXOGENOUS GENE, PER SE; PROPAGATION THEREOF; OTHER MEMBRANE ENCAPSULATED DNA, E.G., PROTOPLASTS, ETC.: | ||||||
| Foreign art collections including microorganisms containing a vector or exogenous gene, compositions containing such microorganisms, processes of propagation of such microorganisms and materials for the propagation of such microorganisms and membrane encapsulated DNA. | |||||||
| FOR 192 | Plant cells: | ||||||
| Foreign art collections including plant cells containing a vector or exogenous gene, compositions containing such cells, processes of propagation of such cells, and materials for the propagation of such cells. | |||||||
| FOR 193 | Fungal cells: | ||||||
| Foreign art collections including microorganisms containing a vector or exogenous gene, compositions containing such microorganisms, processes of propagation of such microorganisms and materials for the propagation of such microorganisms and membrane encapsulated DNA. | |||||||
| FOR 194 | Yeast cells: | ||||||
| Foreign art collections including microorganisms containing a vector or exogenous gene. compositions containing such microorganisms, processes of propagation of such microorganisms and materials for the propagation of such microorganisms. | |||||||
| FOR 195 | Animal cell: | ||||||
| Foreign art collections including animal cells containing a vector or exogenous gene, compositions containing such cells, processes of propagation of such cells and materials for the propagation of such cells. | |||||||
| FOR 196 | Human cell: | ||||||
| Foreign art collections including human cells containing a vector or exogenous gene, compositions containing such cells, processes of propagation of such cells and materials for the propagation of such cells. | |||||||
| FOR 197 | Bacteria: | ||||||
| Foreign art collections including microorganisms containing a vector or exogenous gene, compositions containing such microorganisms, processes of propagation of such microorganisms and materials for the propagation of such microorganisms. | |||||||
| FOR 198 | Escherichia: | ||||||
| Foreign art collections including microorganisms containing a vector or exogenous gene, compositions containing such microorganisms, processes of propagation of such microorganisms and materials for the propagation of such microorganisms. | |||||||
| FOR 199 | Bacillus | ||||||
| Foreign art collections including microorganism containing a vector or exogenous gene, compositions containing such microorganisms, processes of propagation of such microorganisms and materials for the propagation of such microorganisms. | |||||||
| FOR 200 | Streptomyces: | ||||||
| Foreign art collections including microorganisms containing a vector or exogenous gene, compositions containing such microorganisms. processes of propagation of such microorganisms and materials for the propagation of such microorganisms. | |||||||
| FOR 201 | ASSAY RELATED TO GENETIC ENGINEERING: | ||||||
| Foreign art collections including processes and materials under in which there is a direct or indirect qualitative or quantitative test or measurement of(1) the materials used in a process of genetic engineering (2) the effect ofa process of genetic engineering or (3) the expression product of the genetically engineered microorganism. | |||||||
| FOR 202 | Method of analysis of nucleic acids: | ||||||
| Foreign art collections including process for a qualitative or quantitative analysis of nucleic acid by chemical, electrical, or physical means. | |||||||
| FOR 203 | Including hybridization: | ||||||
| Foreign art collections including processes in which a step in the analysis involves DNA or RNA complement binding. | |||||||
| FOR 204 | Methods of selection of recombinant gene containing vector; material therefor, e.g., replica plating, etc.: | ||||||
| Foreign art collections including processes or materials for the selection or identification of cells which contain the exogenous DNA-bearing vector. | |||||||
| FOR 205 | Gene library manipulation: | ||||||
| Foreign art collections including processes and materials for the production of a gene library or the selection of a desired gene from a gene library. | |||||||
| FOR 206 | Antigen-antibody: | ||||||
| Foreign art collections including processes and materials in which an antigen-antibody reaction is used to identify the recombinant gene-containing vector. | |||||||
| FOR 207 | Enzyme activity: | ||||||
| Foreign art collections including processes and materials in which the method of selection of the recombinant gene-containing vector involves detection of enzyme activity. | |||||||
| FOR 208 | Host suicide: | ||||||
| Foreign art collections including processes or materials in which particular cells in a culture are selected against by their loss of viability. | |||||||
| FOR 209 | Selection medium: | ||||||
| Foreign art collections including subject matter directed to media which selects for recombinant gene-containing cells. | |||||||
| FOR 210 | GENETIC ENGINEERING APPARATUS: | ||||||
| Foreign art collections including apparatus for use in testing, propagation, or use of a genetically engineered microorganism or ofthe materials used in the production and culture of the genetically engineered microorganisms. | |||||||
| FOR 211 | Analytical, e.g., for autoradiography, etc.: | ||||||
| Foreign art collections including apparatus for the quantitative or qualitative analysis of an intermediate or final product of a process of genetic engineering. | |||||||
| FOR 212 | Automated: | ||||||
| Foreign art collections including apparatus in which the qualitative or quantitative test is performed by a self-operated machine. | |||||||
| FOR 213 | Synthesis, e.g., peptide or gene synthesizers, etc.: | ||||||
| Foreign art collections including apparatus in which (1) the synthesis of a product of a genetically engineered cell is carried out or (2) one of the materials used in the process of transforming a host cell is synthesized. | |||||||
| FOR 214 | HYBRID OR FUSED CELL TECHNOLOGY; METHODS OF IMMORTALIZING CELLS, E.G., HYBRIDOMA, ETC.: | ||||||
| Foreign art collections including subject matter for the production, selection, or use of cells resulting from (1) the fusion of two cells, (2) the insertion of the nucleus or chromosome of one cell into another, or (3) the treatment of a cell with an immortalizing agent which results in a cell which will proliferate in long-term culture. | |||||||
| FOR 215 | Method of selection of the desired cell: | ||||||
| Foreign art collections including processes directed to the identification of the hybrid or fused cells that possess the desired genetic characteristics. | |||||||
| FOR 216 | Of plant cells, e.g., protoplasts, etc.: | ||||||
| Foreign art collections including processes in which one of the fusing partners is a plant cell. | |||||||
| FOR 217 | Using positive selection technique: | ||||||
| Foreign art collections including processes in which cells with the desired genotype or phenotype are chosen after formation by a treatment which specifically identifies the cell with the desired properties. | |||||||
| FOR 218 | Method of production of hybrid or fused cells, e.g., chromosome or genome transfer techniques, etc. | ||||||
| Foreign art collections including processes directed to techniques of production of a single cell containing the genetic material from at least two fusing partners. | |||||||
| FOR 219 | Of plant cells: | ||||||
| Foreign art collections including processes in which one of the fusing partners is a plant cell. | |||||||
| FOR 220 | Fused or hybrid cell, per se: | ||||||
| Foreign art collections including subject matter directed to the fused or hybrid cell, per se. | |||||||
| FOR 221 | Interspecies hybrids: | ||||||
| Foreign art collections including subject matter in which at least two partners are cells of different species. | |||||||
| FOR 222 | Fungi, e.g., yeasts, etc.: | ||||||
| Foreign art collections including subject matter in which one of the partners is a fungus cell. | |||||||
| FOR 223 | Plant cells: | ||||||
| Foreign art collections including subject matter in which one of the partners is a plant cell. | |||||||
| FOR 224 | Human cell: | ||||||
| Foreign art collections including subject matter in which the partners are human cells. | |||||||
| FOR 225 | B lymphocyte: | ||||||
| Foreign art collections including subject matter in which one of the fusing partners is a B lymphocyte. | |||||||
| FOR 226 | T lymphocyte: | ||||||
| Foreign art collections including subject matter in which one of the fusing partners is a T lymphocyte. | |||||||
| FOR 227 | Animal cell: | ||||||
| Foreign art collections including subject matter in which !he fusing partners arc obtained from an nonhuman animal. | |||||||
| FOR 228 | Murine cell, e.g., mouse cell, etc.: | ||||||
| Foreign art collections including subject matter in which the partners are rat or mouse cells. | |||||||
| FOR 229 | B lymphocyte: | ||||||
| Foreign art collections including subject matter in which one of the partners is a B lymphocyte. | |||||||
| FOR 230 | T lymphocyte: | ||||||
| Foreign art collections including subject matter in which one of the partners is a T lymphocyte. | |||||||
| FOR 231 | Method of use of the fused or hybrid cell or the product thereof: | ||||||
| Foreign art collections including processes forthe use of the fused or hybrid cell, or the use of the product produced by the fused or hybrid cell. | |||||||
| FOR 232 | In vivo use of product: | ||||||
| Foreign art collections including processes in which the product of the fused or hybrid cell is used in a living organism. | |||||||
| FOR 233 | In vitro, e.g., cell cultivation techniques, affinity chromatography, etc.: | ||||||
| Foreign art collections including processes in which the fused or hybrid cell is used in culture or the product of a fused or hybrid cell is so used. | |||||||
| FOR 234 | Production of non-antibody product: | ||||||
| Foreign art collections including processes in which the product produced is not an antibody. | |||||||
| FOR 235 | For use as testing material: | ||||||
| Foreign art collections including processes in which the cel1s or their products are claimed or disclosed as used in a qualitative or quantitative test. | |||||||
| FOR 236 | MISCELLANEOUS: | ||||||
| Foreign art collections including subject matter not provided for in any of the preceding subclasses. | |||||||
| FOR 237 | Involving nucleic acid (435/6): | ||||||
This foreign art collection is indented under
unnumbered placeholder 435/4. Foreign art collection
where the material to be tested or the composition in which the
test is conducted contains nucleic acid or the agent used for the
measurement or test contains nucleic acid.
| |||||||
![[Search a list of Patent Appplications for class 435]](../as.gif)
![[List of Patents for class 435 subclass 1.1]](../ps.gif)



































