CLASS 504, | PLANT PROTECTING AND REGULATING COMPOSITIONS |
| Click here for a printable version of this file | |
SECTION I - CLASS DEFINITION
STATEMENT OF CLASS SUBJECT MATTER
This class provides for compositions for treating living terrestrial and aquatic plants or their habitats for the purpose of stimulating or inhibiting growth, or any regulating action on plant growth, and the processes of using such compositions or compounds, per se, for such purposes which are not more than their mere application to the plant or habitat. The compositions or compounds included in this class will alter the plant growth through a chemical modification of the plant metabolism.
This class also provides for: (1) Seeds coated or impregnated with agricultural chemicals other than fertilizers, e.g., antidotes, plant growth regulators, micro-organisms, fungicides, disinfectants, etc. (2) Processes and their products which are of definite fertilizer value and are also insecticides, fungicides, or deodorants. These patents are cross-referenced to Classes 424 and 514. (3) Antidotal compositions, i.e., compositions which contain compounds capable of protecting cultivated plants from being damaged by herbicidal chemicals without affecting the herbicidal action of said chemicals against the weeds or unwanted plants to be controlled. (4) Soil life extenders, i.e., compositions which contain a herbicide and a compound useful for extending the soil life of said herbicide. (5) Compositions for preserving cut flowers. (6) Compositions for stimulating or increasing the sprouting of seeds, roots, tubers, or bulbs. (7) Compositions for regulating aquatic plants, particularly algae. (8) Compositions for regulating plant growth which use micro-organisms or products derived therefrom.
CLASSIFICATION GUIDELINES FOR THIS CLASS
In this class the chemical structure of the ingredient disclosed as having a utility set forth in the Statement of Class Subject Matter, above, is used as the primary basis of classification. Processes of using compositions or compounds, per se, and processes of making compositions, not provided for elsewhere are classified in the first appearing subclass providing for the particular active ingredient being employed or prepared.
The subclasses drawn to plural active ingredients include compositions which contain two or more active plant growth regulating agents, e.g., two or more herbicides.
No weight is given to a synergist or potentiator agent in classifying a composition for this class unless the synergist or potentiator agent is also an active plant growth regulator.
A patent claiming a Class 504 active ingredient broadly in terms of its function in combination with a specific adjuvant or carrier has been classified as original in the first appearing subclass providing for any one of the disclosed specific active ingredients and cross-referenced to all other subclasses providing for the remaining disclosed active ingredients.
SECTION II - NOTES TO THE CLASS DEFINITION
| (1) Note. Compounds included within this definition, but not considered organic are hydrocyanic acid, cyanogen, isocyanic acid, cyanamide, dicyanamide, cyanogen halides, isothiocyanic acid, fulminic acid, and metal carbides. |
SECTION III - LINES WITH OTHER CLASSES AND WITHIN THIS CLASS
GENERAL GUIDELINES:
(1) Compositions which are disclosed as having a plurality of functions provided for in different main classes and only a single use, property, or function is claimed, are originally classified in the composition class providing for such claimed use, property, or function and cross-referenced to other classes for disclosed uses, properties, or functions when desirable.
(2) The rules for determining Class placement of the Original Reference (OR) for claimed chemical compositions are set forth in the Class Definition of Class 252 in the section LINES WITH OTHER CLASSES AND WITHIN THIS CLASS, subsection COMPOSITION CLASS SUPERIORITY, which includes a hierarchical ORDER OF SUPERIORITY FOR COMPOSITION CLASSES.
SEARCHING OF FOREIGN PATENTS IN THIS CLASS (504)
The foreign patents for subclasses 100 and 103-357 of Class 504 have been placed in the International Patent Classification System (in subclass A01N) and will be searched in that system according to its rules of classification.
SECTION IV - REFERENCES TO OTHER CLASSES
SEE OR SEARCH CLASS:
| 47, | Plant Husbandry, subclass 57.6 for processes of treating the soil and its product (1) which do not involve the application of a specific plant growth regulating composition to terrestrial or aquatic plants or their habitats, or (2) which are more than mere application of a specific composition to the plant or the soil, e.g., include some mechanical manipulation of the plant or soil. Search particularly subclass 57.6 for coated or impregnated seeds not more specifically provided for elsewhere. |
| 71, | Chemistry: Fertilizers, for compositions having a nutrient or fertilizing effect on plant growth and methods of using such compositions, and for compositions of seeds and fertilizers. Compositions which include a plant stimulant and a fertilizer are classified in Class 504. |
| 204, | Chemistry: Electrical and Wave Energy, appropriate subclasses for electrical or wave energy methods involving chemical reactions which are caused by more than the mere thermal effects of the electrical or wave energy for the preparation of compounds or elements useful for plant growth regulating compositions. |
| 424, | Drug, Bio-Affecting and Body Treating Compositions, appropriate subclasses for processes of application of insecticides, fungicides, fumigants, disinfectants, etc., to plants or soil as well as seeds coated with a Class 424 composition wherein the seed functions as a bait material. Compositions which include a plant growth regulator and a biocide are classified in Class 504. If claims are drawn to a "pesticide" composition or method without specifically reciting the nature of the "pest" to be controlled or eradicated, the patent is placed as an original in Class 424 or 514 when only a Class 424 or 514 type of "pest" (e.g., fungi, insect, rodent, etc.) is revealed in the patent disclosure. However, if both Class 504 and Class 424 or 514 types of "pest" are specifically disclosed or if no disclosure is made as to the specific type of pest, the patent is placed in Class 504 as an original and cross-referenced to Class 424 or 514. |
| 435, | Chemistry: Molecular Biology and Microbiology, for making, separating, or purifying substances by processes that include fermentations; for processes of making or treating living organisms, enzymes, or ferments; and for compositions or apparatus for use in such processes. |
| 514, | Drug, Bio-Affecting and Body Treating Compositions, appropriate subclasses for processes of application of insecticides, fungicides, fumigants, disinfectants, etc., to plants or soil as well as seeds coated with a Class 514 composition wherein the seed functions as a bait material. Compositions which include a plant growth regulator and a biocide are classified in Class 504. If claims are drawn to a "pesticide" composition or method without specifically reciting the nature of the "pest" to be controlled or eradicated, the patent is placed as an original in Class 424 or 514 when only a Class 424 or 514 type of "pest" (e.g., fungi, insect, rodent, etc.) is revealed in the patent disclosure. However, if both Class 504 and Class 424 or 514 types of "pest" are specifically disclosed or if no disclosure is made as to the specific type of pest, the patent is placed in Class 504 as an original and cross-referenced to Class 424 or 514. |
| 516, | Colloid Systems and Wetting Agents; Subcombinations Thereof; Processes of Making, Stabilizing, Breaking, or Inhibiting, appropriate subclasses for subject matter relating to: colloid systems (such as sols*, emulsions, dispersions, foams, aerosols, smokes, gels, or pastes) or wetting agents (such as leveling, penetrating, or spreading); subcombination compositions of colloid systems containing at least an agent specialized and designed for or peculiar to use in making or stabilizing colloid systems; compositions and subcombination compositions specialized and designed for or peculiar to use in breaking (resolving) or inhibiting colloid systems; processes of making the compositions or systems of the class; processes of breaking (resolving) or inhibiting colloid systems; in each instance, when generically claimed or when there is no hierarchically superior provision in the USPC for the specifically claimed art. |
| 800, | Multicellular Living Organisms and Unmodified Parts Thereof and Related Processes, appropriate subclasses for living multicellular organisms, e.g., plants, etc., and separated or severed parts thereof that have not undergone any modification or treatment subsequent to their separation, e.g., untreated seeds, etc. |
SECTION V - GLOSSARY
The organic chemical structure terminology used in this class is consistent with that used in the Glossary for Class 532 - Organic Compounds -- Part of the Class 532-570 Series
ACTIVE
The expression active as used herein denotes a plant growth regulating effect.
HERBICIDE
The term denotes a compound or composition which adversely affects the growth or the life span of a plant.
ORGANIC
The term organic denotes compounds containing carbon, which are further characterized by the presence in a molecule thereof of two carbon atoms bonded together; or one atom of carbon bonded to at least one atom of hydrogen or halogen; or one atom of carbon bonded to at least one atom of nitrogen by a single or double bond.
PLANT
The term plant refers to all physical parts of a plant, including seeds, seedlings, saplings, roots, tubers, stems, stalks, foliage, and fruits.
PLANT GROWTH
Plant growth includes all phases of development from seed germination to natural or induced cessation of life.
POTENTIATOR or SYNERGIST
The terms denote an agent (A) which will cooperatively act with an active ingredient for this class (B) to the extent that the total effect (A+B) will be greater than the sum of the two effects taken independently.
SUBCLASSES
100 | SEEDS COATED WITH AGRICULTURAL CHEMICALS OTHER THAN FERTILIZERS: | ||||||||
This subclass is indented under the class definition. Products which comprise seeds coated or impregnated with
agricultural chemicals other than fertilizers, e.g., antidotes,
safeners, plant growth regulators, micro-organisms, fungicides,
bactericides, disinfectants, etc.
SEE OR SEARCH CLASS:
| |||||||||
101 | FERTILIZERS WITH INSECTICIDE, FUNGICIDE, DISINFECTANT, OR DEODORANT: | ||
| This subclass is indented under the class definition. Products which are of definite fertilizer value and are
also insecticides, fungicides, deodorants, or disinfectants.
SEE OR SEARCH CLASS:
| |||
102 | From sewage, human, or animal excrements (e.g., night soil, manure, guano, etc.): |
| This subclass is indented under subclass 101. Products in which fertilizer is derived from sewage, human, or animal excrement. | |
103 | ANTIDOTES (E.G., SAFENERS, ANTAGONISTS, ETC.): | ||
This subclass is indented under the class definition. Compositions containing antidotes, which are compounds capable
of protecting cultivated plants from being damaged by herbicidal
chemicals without affecting the herbicidal action of said chemicals
against the weeds or unwanted plants to be controlled.
| |||
104 | Hetero ring containing antidote: | ||
This subclass is indented under subclass 103. Compositions wherein the antidotal compound contains a hetero
ring.
| |||
105 | Hetero ring is six-membered including nitrogen: | ||
This subclass is indented under subclass 104. Compositions in which the hetero ring is six-membered and
has nitrogen as a ring member.
| |||
106 | Hetero ring is five-membered having two or more ring hetero atoms of which at least one is nitrogen (e.g., thiazoles, etc.): | ||
This subclass is indented under subclass 104. Compositions in which the hetero ring is five-membered and
has two or more hetero atoms as ring members, at least one of which
is nitrogen.
| |||
107 | Having -C(=X)-, wherein X is chalcogen, bonded directly to ring nitrogen of the five-membered hetero ring: | ||
This subclass is indented under subclass 106. Compositions wherein a -C(=X)- group, in which
X is chalcogen (i.e., oxygen, sulfur, selenium, or tellurium), is
bonded directly to the ring nitrogen of the hetero ring.
| |||
108 | Oxygen containing hetero ring: | ||
This subclass is indented under subclass 104. Compositions wherein the hetero ring has oxygen as a ring
member.
| |||
109 | Antidote contains cyano or isocyano bonded directly to carbon: | ||
This subclass is indented under subclass 103. Compositions wherein the antidotal compound contains carbon
bonded directly to a cyano (-CN) or isocyano (-NC) group.
| |||
110 | Antidote contains -C(=X)X-, wherein the X"s are the same or diverse chalcogens (e.g., carbamates, thiocarbamates, carboxylic acids, etc.): | ||
This subclass is indented under subclass 103. Compositions in which the antidotal compound contains a
-C(=X)X- group, wherein the X"s are the same or
diverse chalcogens (i.e., oxygen, sulfur, selenium, or tellurium).
| |||
111 | Antidote contains organic nitrogen compound wherein the nitrogen, other than as nitro or nitroso, is attached directly or indirectly to carbon by nonionic bonding: | ||||
This subclass is indented under subclass 103. Compositions in which the antidotal compound contains an
organic compound wherein nitrogen, other than as nitro or nitroso
(-NO2 or -NO), is attached directly or indirectly
to carbon by nonionic bonding
| |||||
112 | Carboxamides (i.e., R-C(=O)NH2, wherein R is hydrogen or carbon, and substitution may be made for the hydrogens on the nitrogen only; e.g., dichloracetamides, etc.): | ||
This subclass is indented under subclass 111. Compositions which contain R-C(=O)NH2, wherein
R is hydrogen or carbon, and substitution may be made for the hydrogens
on the nitrogen only.
| |||
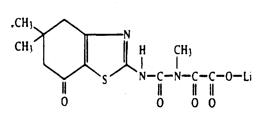
113 | PLANT GROWTH REGULATORS WITH SOIL LIFE EXTENDERS: | ||
This subclass is indented under the class definition. Compositions which contain a plant growth regulator (e.g.,
a herbicide) and a compound useful for extending the soil life of
said plant growth regulator.
| |||
114 | COMPOSITIONS FOR PRESERVATION OR MAINTENANCE OF CUT FLOWERS: | ||
| This subclass is indented under the class definition. Compositions for maintaining the freshness of flowers that
have been severed from a living plant.
SEE OR SEARCH CLASS:
| |||
115 | Containing organic nitrogen compounds: |
| This subclass is indented under subclass 114. Compositions which contain an organic nitrogen compound, i.e., one in which nitrogen is attached directly or indirectly, by nonionic bonding, to carbon of an organic compound. | |
116.1 | PLANT GROWTH REGULATING COMPOSITIONS (E.G., HERBICIDES, ETC.): | ||||||||||||||||||
This subclass is indented under the class definition. Compositions s not more specifically provided for elsewhere,
for treating growing or living terrestrial or aquatic plants or
their habitats for the purpose of stimulating, inhibiting, defoliating,
retarding, or killing said plants, and the processes of using said
compositions or compounds, per se, for such purposes, which processes
are not more than the mere application of the compositions or compounds
to the plant or habitat.
SEE OR SEARCH CLASS:
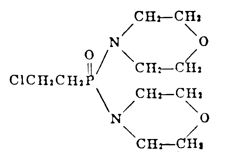
| |||||||||||||||||||
117 | Micro-organisms or from micro-organisms (e.g., fermentates, fungi, bacteria, viruses, etc.): | ||||
This subclass is indented under subclass 116.1. Compositions which contain micro-organisms or products derived
from micro-organisms or fermentation processes as the active ingredient.
SEE OR SEARCH THIS CLASS, SUBCLASS:
| |||||
118 | Plural active ingredients: |
| This subclass is indented under subclass 116.1. Compositions which contain two or more active plant growth regulating agents. | |
119 | Inorganic active ingredient containing: |
| This subclass is indented under subclass 118. Compositions which contain at least one inorganic active element or compound and one or more additional active ingredients. | |
120 | Inorganic active ingredient contains heavy metal or aluminum: |
| This subclass is indented under subclass 119. Compositions wherein the inorganic active ingredient is elemental aluminum, elemental metal having a specific gravity greater than four, or inorganic compounds thereof. | |
121 | With an organic active ingredient: |
| This subclass is indented under subclass 120. Compositions which contain, in addition to the inorganic active ingredient, an organic active compound. | |
122 | Inorganic active ingredient contains boron: |
| This subclass is indented under subclass 119. Compositions wherein the inorganic active ingredient is elemental boron or an inorganic compound thereof. | |
123 | With an organic active compound: |
| This subclass is indented under subclass 119. Compositions which contain, in addition to the inorganic active ingredient, an organic active compound. | |
124 | Hetero ring containing: |
| Compositions under 123 wherein the organic active compound contains a hetero ring. | |
125 | Containing -C(=X)X- or -C(=X)NH-, wherein the X"s are the same or diverse chalcogens and substitution may be made for hydrogen only (e.g., phenoxyacetic acids, ureas, etc.): | ||
This subclass is indented under subclass 123. Compositions in which the organic active compound contains
a -C(=X)X- or -C(=X)NH- group, wherein the X"s
are the same or diverse chalcogens (i.e., oxygen, sulfur, selenium,
or tellurium) and substitution may be made for hydrogen only.
| |||
126 | Heavy metal or aluminum containing active ingredient: |
| This subclass is indented under subclass 118. Compositions wherein an organic active ingredient contains aluminum or a metal having a specific gravity greater than four. | |
127 | Phosphorus containing active ingredient wherein the phosphorus is other than solely as part of an inorganic ion in an addition salt: | ||||
This subclass is indented under subclass 118. Compositions wherein an organic active ingredient contains
phosphorus attached directly or indirectly to carbon by nonionic
bonding.
| |||||
128 | With an active heterocyclic compound: |
| This subclass is indented under subclass 127. Compositions which contain in addition to the organo-phosphorus active ingredient, an active heterocyclic compound. | |
129 | Hetero ring containing active ingredient: |
| This subclass is indented under subclass 118. Compositions wherein an organic active ingredient contains a hetero ring. | |
130 | Hetero ring is six-membered including nitrogen: |
| This subclass is indented under subclass 129. Compositions wherein the hetero ring is six-membered and has nitrogen as a ring member. | |
131 | The hetero ring also contains sulfur (e.g., benzothiadiazinones, etc.): | ||
This subclass is indented under subclass 130. Compositions wherein the six-membered hetero ring also has
sulfur as a ring member.
| |||
132 | With additional hetero ring active ingredient: |
| This subclass is indented under subclass 131. Compositions which contain, in addition to the active six-membered hetero ring compound, an additional active hetero ring compound. | |
133 | The hetero ring consists of three nitrogens and three carbons: |
| This subclass is indented under subclass 130. Compositions wherein the six-membered hetero ring consists of three ring nitrogens and three ring carbons. | |
134 | With additional hetero ring active ingredient: |
| This subclass is indented under subclass 133. Compositions which contain, in addition to the active six-membered hetero ring compound, an additional active hetero ring compound. | |
135 | With an active ingredient containing -C(=X)X-, wherein the X"s are the same or diverse chalcogens (e.g., thiocarbamates, carbamates, carboxylic acids, etc.): | ||
This subclass is indented under subclass 133. Compositions which contain, in addition to the active six-membered
hetero ring compound, an active compound which has a -C(=X)X-
group, wherein the X"s are the same or diverse chalcogens
(i.e., oxygen, sulfur, selenium, or tellurium).
| |||
136 | The hetero ring consists of two nitrogens and four carbons: |
| This subclass is indented under subclass 130. Compositions wherein the six-membered hetero ring consists of two ring nitrogens and four ring carbons. | |
137 | 1, 2-diazines (e.g., pyridazones, etc.): | ||
This subclass is indented under subclass 136. Compositions wherein the six-membered hetero ring has nitrogens
in the 1- and 2-positions and carbons in the remaining four positions.
| |||
138 | Hetero ring is five-membered including nitrogen: |
| This subclass is indented under subclass 129. Compositions wherein the hetero ring is five-membered and has nitrogen as a ring member. | |
139 | Plural ring nitrogens in the hetero ring: |
| This subclass is indented under subclass 138. Compositions wherein the hetero ring contains at least two ring nitrogens. | |
140 | Oxygen containing hetero ring: |
| This subclass is indented under subclass 129. Compositions wherein the hetero ring has oxygen as a ring member. | |
141 | Cyano, isocyano, cyanate, isocyanate, thiocyanate, or isothiocyanate (i.e., -CN, -NC, -OCN, -NCO, -SCN, or -NCS) containing active ingredient: |
| This subclass is indented under subclass 118. Compositions wherein an organic active ingredient contains a cyano (-CN), isocyano (-NC), cyanate (-O-CN), isocyanate (-NCO), thiocyanate (-S-CN), or isothiocyanate (-NCS) group. | |
142 | Active ingredient contains -C(=X)X-, wherein the X"s are the same or diverse chalcogens: |
| This subclass is indented under subclass 118. Compositions in which an organic active ingredient contains a -C(=X)X- group, wherein the X"s are the same or diverse chalcogens (i.e., oxygen, sulfur, selenium, or tellurium). | |
143 | Nitrogen bonded directly to the carbon of the -C(=X)X- group (e.g., carbamates, thiocarbamates, etc.): | ||
This subclass is indented under subclass 142. Compositions wherein the carbon of the -C(=X)X-
group is bonded directly to nitrogen.
| |||
144 | Carbocyclic ring bonded directly to the carbon of the -C(=X)X- group (e.g., benzoic acids, etc.): | ||
This subclass is indented under subclass 142. Compositions wherein the carbon of the -C(=X)X-
group is bonded directly to a carbocyclic ring.
| |||
145 | Oxygen is bonded directly to a benzene ring and is part of an acyclic chain between the benzene ring and the -C(=O)O- group (e.g., 2,4-dichlorophenoxyacetic acids, naphthoxypropionic acids, etc.): | ||
This subclass is indented under subclass 142. Compositions in which oxygen is bonded directly to a benzene
ring and is also part of an acyclic chain between the benzene ring
and the -C(=O)O- group.
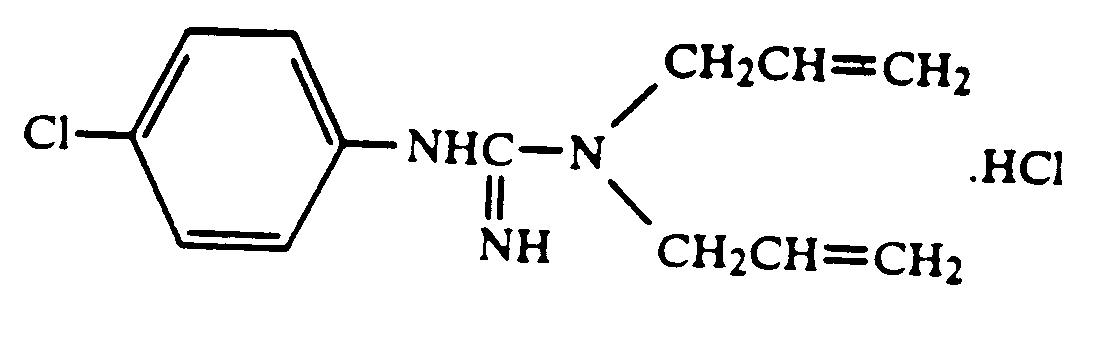
| |||
146 | With an active ingredient containing nitrogen, other than as nitro or nitroso, wherein the nitrogen is attached directly or indirectly to carbon by nonionic bonding: | ||
This subclass is indented under subclass 145. Compositions which contain an additional active organic
compound wherein carbon is attached directly or indirectly to nitrogen,
other than as nitro or nitroso (-NO2 or -NO),
by nonionic bonding.
| |||
147 | Nitrogen or halogen attached indirectly to the carbon of the -C(=X)X- group by acyclic nonionic bonding: |
| This subclass is indented under subclass 142. Compositions wherein the carbon of the -C(=X)X- group is attached indirectly to nitrogen or halogen by acyclic nonionic bonding. | |
148 | Active ingredient contains nitrogen, other than as nitro or nitroso, wherein the nitrogen is attached directly or indirectly to carbon by nonionic bonding: | ||
This subclass is indented under subclass 118. Compositions wherein an organic active ingredient contains
carbon attached directly or indirectly to nitrogen, other than as
nitro or nitroso (-NO2 or -NO), by nonionic
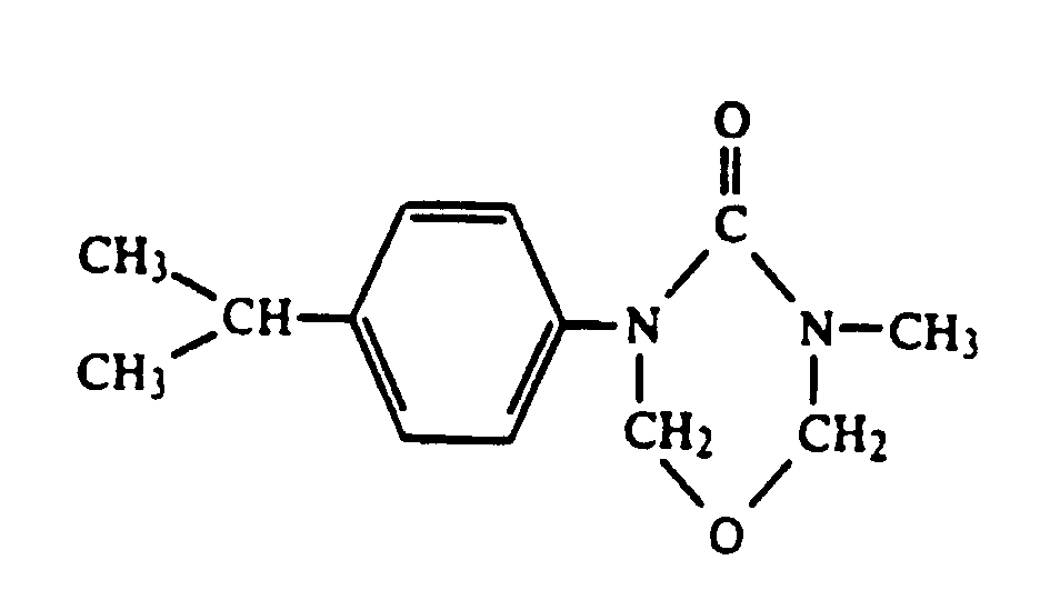
bonding.
| |||
149 | Carboxamides (i.e., R-C(=O)NH2, wherein R is hydrogen or carbon, and substitution may be made for the hydrogens on the nitrogen only; e.g., dichloroacetamides, etc.): | ||
This subclass is indented under subclass 148. Compositions which contain R-C(=O)NH2, wherein
R is hydrogen or carbon, and substitution may be made for the hydrogens
on the nitrogen only.
| |||
150 | Aquatic plant regulator (e.g., algicides, etc.): | ||||||||||||||||
This subclass is indented under subclass 116.1. Compositions which are designed or intended for positively
or negatively influencing the life span of aquatic plants.
SEE OR SEARCH CLASS:
| |||||||||||||||||
151 | Inorganic active ingredient containing: |
| This subclass is indented under subclass 150. Compositions wherein the active aquatic plant regulating agent is an element or an inorganic compound. | |
152 | Heavy metal or aluminum containing active ingredient: | ||
This subclass is indented under subclass 150. Compositions wherein the active aquatic plant regulating
agent is an organic compound which contains aluminum or a metal
having a specific gravity greater than four.
| |||
153 | Boron, silicon, or phosphorus containing active ingredient wherein the boron, silicon, or phosphorus is other than solely as part of an inorganic ion in an addition salt: | ||
This subclass is indented under subclass 150. Compositions in which the active aquatic plant regulating
agent contains an organic compound wherein boron, silicon, or phosphorus
is attached directly or indirectly to carbon by nonionic bonding.
| |||
154 | Hetero ring containing active ingredient: |
| This subclass is indented under subclass 150. Compositions wherein the active aquatic plant regulating agent contains a hetero ring. | |
155 | Hetero ring includes nitrogen: | ||
This subclass is indented under subclass 154. Compositions wherein the hetero ring contains nitrogen as
a ring member.
| |||
156 | Hetero ring is five-membered (e.g., thiadiazoles, etc.): | ||
This subclass is indented under subclass 155. Compositions wherein the hetero ring is five-membered.
| |||
157 | Active ingredient contains -C(=X)X-, wherein the X"s are the same or diverse chalcogens (e.g., carbamates, thiocarbamates, carboxylic acids, etc.): | ||
This subclass is indented under subclass 150. Compositions in which the active aquatic plant regulating
agent contains a -C(=X)X- group, wherein the X"s
are the same or diverse chalcogens (i.e., oxygen, sulfur, selenium,
or tellurium).
| |||
158 | Active ingredient contains nitrogen, other than as nitro or nitroso, wherein the nitrogen is attached directly or indirectly to carbon by nonionic bonding: | ||||
This subclass is indented under subclass 150. Compositions in which the active aquatic plant regulating
agent contains an organic compound wherein carbon is attached directly
or indirectly to nitrogen, other than as nitro or nitroso (-NO2 or
-NO), by nonionic bonding.
| |||||
159 | Having -C(=X)-, wherein X is chalcogen, bonded directly to the nitrogen (e.g., carboxamides, etc.): | ||||
This subclass is indented under subclass 158. Compositions which contain a -(C=X)- group, wherein
X is chalcogen (i.e., oxygen, sulfur, selenium, or tellurium), bonded
directly to the nitrogen.
| |||||
160 | Chalcogen attached directly or indirectly to the nitrogen by nonionic bonding: |
| This subclass is indented under subclass 158. Compositions wherein chalcogen (i.e., oxygen, sulfur, selenium, or tellurium) is attached directly or indirectly to the nitrogen by nonionic bonding. | |
161 | Active ingredient contains a ketone, aldehyde, ether, or hydroxy group, wherein the H of the hydroxy group may be replaced by a substituted or unsubstituted ammonium or a Group IA or IIA light metal: | ||
This subclass is indented under subclass 150. Compositions in which the active aquatic plant regulating
agent contains a -C(=O)- group, a -HCH-O-HCH- group, or
an -OH group, wherein substitution may be made for hydrogen only
and the hydrogen of the -OH group may be replaced by a substituted
or unsubstituted ammonium ion or a Group IA or IIA light metal.
| |||
162 | Abscission agent, defoliant, or dessicant: |
| This subclass is indented under subclass 116.1. Compositions which are designed or intended for facilitating or causing fruit, blossom, or leaf drop, or for desiccating a living plant, e.g., premature drying. | |
163 | Inorganic active ingredient containing: |
| This subclass is indented under subclass 162. Compositions wherein the active abscission, defoliant, or desiccant agent is an element or an inorganic compound. | |
164 | Boron, silicon, heavy metal, or aluminum containing active ingredient: | ||
This subclass is indented under subclass 162. Compositions wherein the active abscission, defoliant, or
desiccant agent is an organic compound which contains boron, silicon,
aluminum, or a metal having a specific gravity greater than four.
| |||
165 | Phosphorus containing active ingredient wherein the phosphorus is other than solely as part of an inorganic ion in an addition salt: | ||
This subclass is indented under subclass 162. Compositions in which the active abscission, defoliant,
or desiccant agent contains an organic compound wherein phosphorus
is attached directly or indirectly to carbon by nonionic bonding.
| |||
166 | Hetero ring containing active ingredient: |
| This subclass is indented under subclass 162. Compositions wherein the active abscission, defoliant, or desiccant agent contains a hetero ring. | |
167 | Hetero ring is six-membered including nitrogen: |
| This subclass is indented under subclass 166. Compositions wherein the hetero ring is six-membered and has nitrogen as a ring member. | |
168 | Plural ring nitrogens in the hetero ring: |
| This subclass is indented under subclass 167. Compositions wherein the hetero ring contains at least two ring nitrogens. | |
169 | Hetero ring is five-membered having two or more ring hetero atoms of which at least one is nitrogen: | ||
This subclass is indented under subclass 166. Compositions in which the hetero ring is five-membered and
has two or more hetero atoms as ring members, at least one of which
is nitrogen.
| |||
170 | Ring chalcogen in the hetero ring: | ||
This subclass is indented under subclass 169. Compositions wherein the hetero ring also has chalcogen
as a ring member.
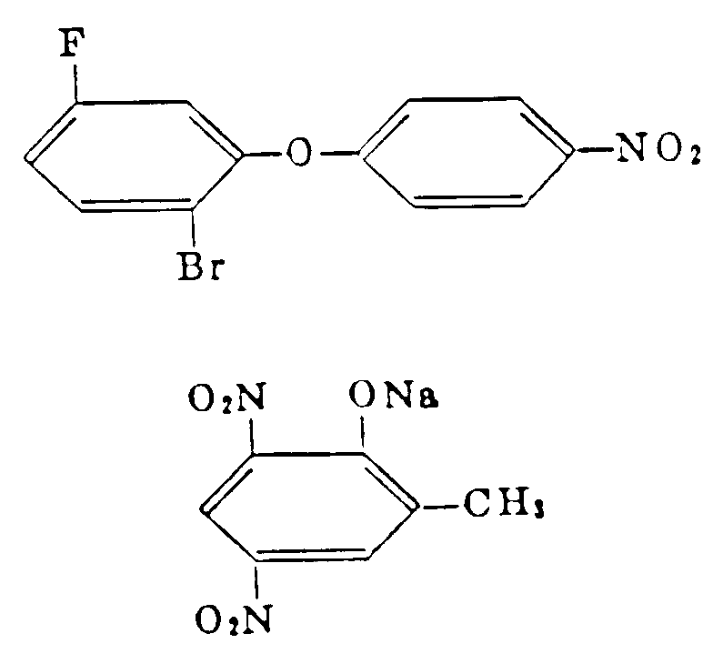
| |||
171 | Active ingredient contains -C(=X)X-, wherein the X"s are the same or diverse chalcogens: |
| This subclass is indented under subclass 162. Compositions in which the active abscission, defoliant, or desiccant agent contains a -C(=X)X- group, wherein the X"s are the same or diverse chalcogens (i.e., oxygen, sulfur, selenium, or tellurium). | |
172 | Nitrogen or additional chalcogen bonded directly to the carbon of the -C(=X)X- group (e.g., thiocarbamates, carbamates, xanthates, etc.): | ||
This subclass is indented under subclass 171. Compositions wherein the carbon of the -C(=X)X-
group is bonded directly to nitrogen or an additional chalcogen.
| |||
173 | Active ingredient contains nitrogen, other than as nitro or nitroso, wherein the nitrogen is attached directly or indirectly to carbon by nonionic bonding: | ||
This subclass is indented under subclass 162. Compositions in which the active abscission, defoliant,
or desiccant agent contains an organic compound wherein carbon is
attached directly or indirectly to nitrogen, other than as nitro
or nitroso (-NO2 or -NO), by nonionic bonding.
| |||
174 | Stunting or dwarfing agent: |
| This subclass is indented under subclass 116.1. Compositions which are designed or intended for retarding, suppressing, or inhibiting the rate of growth or size, particularly the height, of the plant. | |
175 | Phosphorus containing active ingredient wherein the phosphorus is attached directly or indirectly to carbon by nonionic bonding: | ||
This subclass is indented under subclass 174. Compositions wherein the active stunting or dwarfing agent
contains carbon attached directly or indirectly to phosphorus by
nonionic bonding.
| |||
176 | Hetero ring containing active ingredient: |
| This subclass is indented under subclass 174. Compositions wherein the active stunting or dwarfing agent contains a hetero ring. | |
177 | Hetero ring is six-membered including nitrogen: |
| This subclass is indented under subclass 176. Compositions wherein the hetero ring is six-membered and has nitrogen as a ring member. | |
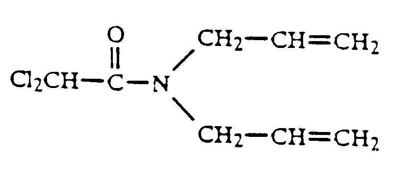
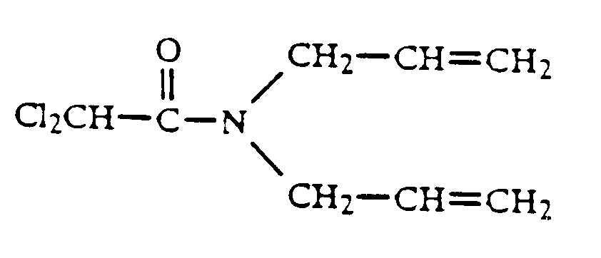
178 | Chalcogen, nitrogen, or -C(=X)-, wherein X is chalcogen, bonded directly to ring carbon of the six-membered hetero ring: |
| This subclass is indented under subclass 177. Compositions in which chalcogen (i.e., oxygen, sulfur, selenium, or tellurium), nitrogen, or -C(=X)-, wherein X is chalcogen, is bonded directly to a ring carbon of the six-membered hetero ring. | |
179 | Hetero ring is five-membered including nitrogen: |
| This subclass is indented under subclass 176. Compositions wherein the hetero ring is five-membered and has nitrogen as a ring member. | |
180 | Plural ring nitrogens in the hetero ring: |
| This subclass is indented under subclass 179. Compositions wherein the hetero ring contains at least two ring nitrogens. | |
181 | Oxygen attached indirectly to the five-membered hetero ring by acyclic nonionic bonding: |
| This subclass is indented under subclass 180. Compositions wherein the five-membered hetero ring is attached indirectly to oxygen by acyclic nonionic bonding. | |
182 | Active ingredient contains -C(=X) X-, wherein the X"s are the same or diverse chalcogens: |
| This subclass is indented under subclass 174. Compositions wherein the active stunting or dwarfing agent contains a -C(=X) X- group, where the X"s are the same or diverse chalcogens (i.e., oxygen, sulfur, selenium, or tellurium). | |
183 | Active ingredient contains organic nitrogen, other than as nitro or nitroso, wherein the nitrogen is attached directly or indirectly to carbon by nonionic bonding: | ||
This subclass is indented under subclass 174. Compositions in which the active stunting or dwarfing agent
contains an organic compound wherein carbon is attached directly
or indirectly to nitrogen, other than as nitro or nitroso (-NO2 or
-NO), by nonionic bonding.
| |||
184 | Desuckering or sucker control agent: |
| This subclass is indented under subclass 116.1. Compositions containing a desuckering or sucker control agent which inhibits, retards, destroys, or removes sucker growth from a living plant. | |
185 | Hetero ring containing active ingredient: |
| This subclass is indented under subclass 184. Compositions wherein the active desuckering or sucker control agent contains a hetero ring. | |
186 | Active ingredient contains organic nitrogen, other than as nitro or nitroso, wherein the nitrogen is attached directly or indirectly to carbon by nonionic bonding: | ||
This subclass is indented under subclass 184. Compositions in which the active desuckering or sucker control
agent contains an organic compound wherein carbon is attached directly or
indirectly to nitrogen, other than as nitro or nitroso (-NO2 or
-NO), by nonionic bonding.
| |||
187 | Inorganic active ingredient which contains boron, silicon, phosphorus, heavy metal, or aluminum: |
| This subclass is indented under subclass 116.1. Compositions wherein an inorganic active ingredient contains elemental boron, silicon, phosphorus, aluminum, or metal having a specific gravity greater than four, or an inorganic compound of one of these elements. | |
188 | Inorganic active ingredient is elemental nitrogen, elemental sulfur, or is a compound of nitrogen or sulfur: |
| This subclass is indented under subclass 116.1. Compositions wherein an inorganic active ingredient is elemental nitrogen, elemental sulfur, or is a compound of nitrogen or sulfur. | |
189 | Organic active compound containing: | ||
This subclass is indented under subclass 116.1. Compositions containing an organic compound as an active
plant growth regulating agent.
| |||
190 | Heavy metal or aluminum containing: | ||
This subclass is indented under subclass 189. Compositions wherein the organic active compound contains
aluminum or a metal having a specific gravity greater than four.
| |||
191 | Hetero ring containing: |
| This subclass is indented under subclass 190. Compositions which contain a hetero ring. | |
192 | Group IV or V heavy metal (e.g., Sn, As, Ti, etc.): |
| This subclass is indented under subclass 190. Compositions wherein the heavy metal is germanium, tin, lead, titanium, zirconium, hafnium, arsenic, antimony, bismuth, vanadium, niobium, or tantalum. | |
193 | Boron or silicon containing: |
| This subclass is indented under subclass 189. Compositions wherein the organic active compound contains boron or silicon. | |
194 | Phosphorus containing wherein the phosphorus is other than solely as part of an inorganic ion in an addition salt: | ||
This subclass is indented under subclass 189. Compositions wherein the organic active compound contains
phosphorus attached directly or indirectly to carbon by nonionic
bonding.
| |||
195 | Hetero ring containing: |
| This subclass is indented under subclass 194. Compositions which contain a hetero ring. | |
196 | Ring chalcogen in the hetero ring (e.g., morpholines, etc.): | ||
This subclass is indented under subclass 195. Compositions wherein the hetero ring has chalcogen as a
ring member.
| |||
197 | Plural ring nitrogens in the hetero ring: |
| This subclass is indented under subclass 195. Compositions wherein the hetero ring contains at least two ring nitrogens. | |
198 | Having -C(=X)-, wherein X is chalcogen, bonded directly to the phosphorus: |
| This subclass is indented under subclass 194. Compositions wherein the phosphorus is bonded directly to a -C(=X)- group, wherein X is chalcogen (i.e., oxygen, sulfur, selenium, or tellurium). | |
199 | Nitrogen bonded directly to the phosphorus: |
| This subclass is indented under subclass 194. Compositions wherein the phosphorus is bonded directly to nitrogen. | |
200 | Plural nitrogens bonded directly to the phosphorus: | ||
This subclass is indented under subclass 199. Compositions wherein phosphorus is bonded directly to two
or more nitrogens.
| |||
201 | Nitrogen attached indirectly to the phosphorus by acyclic nonionic bonding: |
| This subclass is indented under subclass 194. Compositions wherein the phosphorus is attached indirectly to nitrogen by acyclic nonionic bonding. | |
202 | The nitrogen is part of a cyano or isocyano group: | ||
This subclass is indented under subclass 201. Compositions in which the nitrogen is part of a cyano (-CN)
or isocyano (-NC) group.
| |||
203 | Nitrogen or chalcogen bonded directly to the nitrogen: | ||
This subclass is indented under subclass 201. Compositions wherein the nitrogen is bonded directly to
nitrogen or chalcogen (i.e., oxygen, sulfur, selenium, or tellurium).
| |||
204 | Having -C(=X)-, wherein X is chalcogen, bonded directly to the nitrogen: |
| This subclass is indented under subclass 201. Compositions which contain a -(C=X)- group, wherein X is chalcogen (i.e., oxygen, sulfur, selenium, or tellurium), bonded directly to the nitrogen. | |
205 | Additional -C(=X)- or additional nitrogen attached indirectly to the phosphorus by acyclic nonionic bonding: | ||
This subclass is indented under subclass 204. Compositions wherein the phosphorus is attached indirectly
to an additional -C(=X)- group or an additional nitrogen
by acyclic nonionic bonding.
| |||
206 | Containing -C(=X)X-, wherein the X"s are the same or diverse chalcogens (e.g., N-phosphonomethylglycines, etc.): | ||
This subclass is indented under subclass 201. Compositions which contain a -C(=X)X- group, wherein
the X"s are the same or diverse chalcogens (i.e., oxygen,
sulfur, selenium, or tellurium).
| |||
207 | Carbon bonded directly to the phosphorus: |
| This subclass is indented under subclass 194. Compositions wherein the phosphorus is bonded directly to carbon. | |
208 | Halogen attached indirectly to the phosphorus by acyclic nonionic bonding: | ||
This subclass is indented under subclass 207. Compositions wherein the phosphorus is attached indirectly
to halogen by acyclic nonionic bonding.
| |||
209 | Hetero ring containing: |
| This subclass is indented under subclass 189. Compositions wherein the organic active compound contains a hetero ring. | |
210 | Acyclic urea or thiourea bonded directly to ring carbon of the hetero ring (i.e., HNH-C(=X)-NH-, wherein X is sulfur or oxygen and substitution may be made for hydrogen only): | ||||||
This subclass is indented under subclass 209. Compositions in which a HNH-C(=X)-NH- group, wherein
X is sulfur or oxygen and substitution may be made for hydrogen
only, is bonded directly to a ring carbon of the hetero ring.
| |||||||
211 | Sulfonyl bonded directly to the urea or thiourea nitrogen (e.g., N-phenylsulfonyl-N"- pyridinylureas, etc.): | ||
This subclass is indented under subclass 210. Compositions wherein the urea or thiourea nitrogen is bonded
directly to a sulfonyl, -S(=O)-, group.
| |||
212 | The hetero ring consists of three nitrogens and three carbons: | ||
This subclass is indented under subclass 211. Compositions wherein the hetero ring consists of three ring
nitrogens and three ring carbons.
| |||
213 | Additional hetero ring containing: |
| This subclass is indented under subclass 212. Compositions which contain an additional hetero ring. | |
214 | The hetero ring consists of two nitrogens and four carbons: | ||
This subclass is indented under subclass 211. Compositions wherein the hetero ring consists of two ring
nitrogens and four ring carbons.
| |||
215 | Additional hetero ring containing: |
| This subclass is indented under subclass 214. Compositions which contain an additional hetero ring. | |
216 | The hetero ring is five-membered including nitrogen: | ||
This subclass is indented under subclass 210. Compositions wherein the hetero ring is five-membered and
has nitrogen as a ring member.
| |||
217 | Plural ring nitrogens and a single ring chalcogen in the hetero ring (e.g., 1, 3, 4-thiadiazoles, etc.): | ||
This subclass is indented under subclass 216. Compositions wherein the five-membered hetero ring has at
least two ring nitrogens and only one ring chalcogen (i.e., oxygen,
sulfur, selenium, or tellurium) as ring members.
| |||
218 | Hetero ring contains at least seven members including nitrogen: | ||
This subclass is indented under subclass 209. Compositions which contain a hetero ring having at least
seven ring members of which one or more is nitrogen.
| |||
219 | Additional hetero ring containing: |
| This subclass is indented under subclass 218. Compositions which contain an additional hetero ring. | |
220 | Having -C(=X)-, wherein X is chalcogen, bonded directly to ring nitrogen of the hetero ring: |
| This subclass is indented under subclass 218. Compositions in which -C(=X)-, wherein X is chalcogen (i.e., oxygen, sulfur, selenium, or tellurium), is bonded directly to a ring nitrogen. | |
221 | Hetero ring is six-membered including nitrogen and sulfur: |
| This subclass is indented under subclass 209. Compositions wherein the hetero ring is six-membered and has nitrogen, sulfur, and carbon as ring members. | |
222 | Plural ring nitrogens in the hetero ring (e.g., thiadiazines, etc.): | ||
This subclass is indented under subclass 221. Compositions wherein the hetero ring contains at least two
ring nitrogens.
| |||
223 | Hetero ring is six-membered including nitrogen and oxygen: | ||
This subclass is indented under subclass 209. Compositions wherein the hetero ring is six-membered and
has nitrogen, oxygen, and carbon as ring members.
| |||
224 | 1, 4-oxazines (including hydrogenated): |
| This subclass is indented under subclass 223. Compositions wherein the six-membered hetero ring has oxygen in the 1-position, nitrogen in the 4-position, and carbons in the remaining four positions. | |
225 | Additional hetero ring containing: | ||
This subclass is indented under subclass 224. Compositions which contain an additional hetero ring.
| |||
226 | Nitrogen or -C(=X)-, wherein X is chalogen, bonded directly to ring nitrogen of the oxazine ring: |
| This subclass is indented under subclass 224. Compositions in which nitrogen or -C(=X)-, wherein X is chalcogen (i.e., oxygen, sulfur, selenium, or tellurium), is bonded directly to ring nitrogen of the oxazine ring. | |
227 | Hetero ring is six-membered consisting of three nitrogens and three carbons: |
| This subclass is indented under subclass 209. Compositions which contain a hetero ring consisting of three ring nitrogens and three ring carbons. | |
228 | Polycyclo ring system having the six-membered hetero ring as one of the cyclos: | ||
This subclass is indented under subclass 227. Compositions wherein the hetero ring is one of the cyclos
of a polycyclo ring system.
| |||
229 | Asymmetrical (e.g., 1, 2, 4-triazines, etc.): | ||
This subclass is indented under subclass 227. Compositions in which two of the ring nitrogens of the six-membered
hetero ring are bonded directly to each other.
| |||
230 | Additional hetero ring containing: |
| This subclass is indented under subclass 227. Compositions which contain an additional hetero ring. | |
231 | Nitrogen bonded directly to ring carbon of the six-membered hetero ring: |
| This subclass is indented under subclass 227. Compositions wherein nitrogen is bonded directly to a ring carbon of the six-membered hetero ring. | |
232 | Plural nitrogens bonded directly to ring carbons of the six-membered hetero ring: | ||
This subclass is indented under subclass 231. Compositions wherein at least two nitrogens are bonded directly
to ring carbons of the six-membered hetero ring.
| |||
233 | Chalcogen, -C(=X)-, wherein X is chalcogen, or cycloalkyl bonded directly to one of the nitrogens: | ||
This subclass is indented under subclass 232. Compositions in which chalcogen (i.e., oxygen, sulfur, selenium,
or tellurium), -C(=X)-, wherein X is chalcogen, or cycloalkyl
is bonded directly to one of the nitrogens.
| |||
234 | The nitrogens are further bonded to hydrogen or hydrocarbyl only: |
| This subclass is indented under subclass 232. Compositions wherein only hydrogen or hydrocarbon radicals can satisfy the remaining valences of the nitrogens. | |
235 | Hetero ring is six-membered consisting of two nitrogens and four carbons (e.g., 1, 4-diazines, etc.): | ||
This subclass is indented under subclass 209. Compositions which contain a six-membered hetero ring consisting
of two ring nitrogens and four ring carbons.
| |||
236 | 1, 2-diazines (including hydrogenated): | ||
This subclass is indented under subclass 235. Compositions wherein the six-membered hetero ring has nitrogens
in the 1- and 2-positions, and carbons in the remaining four positions.
| |||
237 | Nitrogen attached directly to the diazine ring by nonionic bonding: |
| This subclass is indented under subclass 236. Compositions wherein the diazine ring is attached directly to nitrogen by nonionic bonding. | |
238 | Chalcogen bonded directly to ring carbon of the diazine ring: |
| This subclass is indented under subclass 236. Compositions wherein chalcogen (i.e., oxygen, sulfur, selenium, or tellurium) is bonded directly to a ring carbon of the diazine ring. | |
239 | 1, 3-diazines (including hydrogenated): | ||||
This subclass is indented under subclass 235. Compositions wherein the six-membered hetero ring has nitrogens
in the 1- and 3-positions, and carbons in the remaining four positions.
| |||||
240 | Polycyclo ring system having the diazine ring as one of the cyclos: |
| This subclass is indented under subclass 239. Compositions wherein the diazine ring is one of the cyclos of a polycyclo ring system. | |
241 | Three or more ring hetero atoms in the polycyclo ring system: | ||
This subclass is indented under subclass 240. Compositions wherein the polycyclo ring system includes
at least one ring hetero atom in addition to the two ring nitrogens
of the diazine ring.
| |||
242 | Chalcogen bonded directly to ring carbon of the diazine ring: |
| This subclass is indented under subclass 239. Compositions wherein chalcogen (i.e., oxygen, sulfur, selenium, or tellurium) is bonded directly to a ring carbon of the diazine ring. | |
243 | Plural chalcogens bonded directly to ring carbons of the diazine ring (e.g., uracils, etc.): | ||
This subclass is indented under subclass 242. Compositions wherein at least two chalcogens (i.e., oxygen,
sulfur, selenium, or tellurium) are bonded directly to ring carbons
of the diazine ring.
| |||
244 | Hetero ring is six-membered consisting of one nitrogen and five carbons: | ||
This subclass is indented under subclass 209. Compositions which contain a six-membered hetero ring consisting
of one ring nitrogen and five ring carbons.
| |||
245 | Polycyclo ring system having the six-membered hetero ring as one of the cyclos: |
| This subclass is indented under subclass 244. Compositions wherein the six-membered hetero ring is one of the cyclos of a polycyclo ring system. | |
246 | Bicyclo ring system having the six-membered hetero ring as one of the cyclos: |
| This subclass is indented under subclass 245. Compositions in which the polycyclo ring system consists of exactly two rings. | |
247 | Quinolines or isoquinolines (including hydrogenated): | ||
This subclass is indented under subclass 246. Compositions wherein the bicyclo ring system is characterized
by having a six-membered carbocyclic ring orthofused to two carbons
of the six-membered hetero ring.
| |||
248 | Piperidines: |
| This subclass is indented under subclass 244. Compositions in which the six-membered hetero ring, consisting of one ring nitrogen and five ring carbons, contains no double bonds between ring members, i.e., the piperidine ring. | |
249 | Having -C(=X)-, wherein X is chalcogen, bonded directly to ring nitrogen of the piperidine ring: |
| This subclass is indented under subclass 248. Compositions in which -C(=X)-, wherein X is chalcogen (i.e., oxygen, sulfur, selenium, or tellurium), is bonded directly to the ring nitrogen of the piperidine ring. | |
250 | Plural pyridine or partially hydrogenated pyridine rings: | ||
This subclass is indented under subclass 244. Compositions which contain at least two of the six-membered
hetero rings, each consisting of one nitrogen and five carbons and
having at least one double bond between ring members, i.e., pyridine
or partially hydrogenated pyridine rings.
| |||
251 | Additional hetero ring containing: |
| This subclass is indented under subclass 244. Compositions which contain an additional hetero ring. | |
252 | The additional hetero ring is five-membered including nitrogen: |
| This subclass is indented under subclass 251. Compositions wherein the hetero ring is five-membered and has nitrogen as a ring member. | |
253 | Plural ring nitrogens in the additional hetero ring: |
| This subclass is indented under subclass 252. Compositions wherein the additional hetero ring contains at least two ring nitrogens. | |
254 | Chalcogen bonded directly to ring carbon of the six-membered hetero ring: |
| This subclass is indented under subclass 244. Compositions wherein chalcogen (i.e., oxygen, sulfur, selenium, or tellurium) is bonded directly to a ring carbon of the six-membered hetero ring. | |
255 | Nitrogen, other than as nitro or nitroso, or -C(=X)-, wherein X is chalcogen, bonded directly to ring carbon of the six-membered hetero ring: | ||
This subclass is indented under subclass 254. Compositions in which nitrogen, other than as nitro or nitroso
(-NO2 or -NO), or -C(=X)- wherein
X is chalcogen (i.e., oxygen, sulfur, selenium, or tellurium) is
bonded directly to a ring carbon of the six-membered hetero ring.
| |||
256 | Benzene ring bonded directly to the chalcogen: |
| This subclass is indented under subclass 254. Compositions wherein the chalcogen is bonded directly to a benzene ring. | |
257 | Containing -C(=X)NH-, wherein X is chalcogen and substitution may be made for hydrogen only: |
| This subclass is indented under subclass 256. Compositions which contain a -C(=X)NH- group, wherein X is chalcogen and substitution may be made for hydrogen only. | |
258 | Containing -C(=X)X-, wherein the X"s are the same or diverse chalcogens: |
| This subclass is indented under subclass 256. Compositions which contain a -C(=X)X- group, wherein the X"s are the same or diverse chalcogens. | |
259 | Nitrogen or sulfur attached directly or indirectly to the -C(=X)X- group by acyclic nonionic bonding: |
| This subclass is indented under subclass 258. Compositions wherein the -C(=X)X- group is attached directly or indirectly to nitrogen or sulfur by acyclic nonionic bonding. | |
260 | Nitrogen, other than as nitro or nitroso, or -C(=X)-, wherein X is chalcogen, bonded directly to ring carbon of the six-membered hetero ring: | ||
This subclass is indented under subclass 244. Compositions in which nitrogen, other than as nitro or nitroso
(-NO2 or -NO), or -C(=X)-, wherein
X is chalcogen (i.e., oxygen, sulfur, selenium, or tellurium) is
bonded directly to a ring carbon of the six-membered hetero ring.
| |||
261 | Hetero ring is five-membered having two or more ring hetero atoms of which at least one is nitrogen: | ||
This subclass is indented under subclass 209. Compositions wherein the hetero ring is a five-membered
ring having two or more ring hetero atoms of which at least one
is nitrogen.
| |||
262 | 1, 2, 4-thiadiazoles (including hydrogenated): | ||
This subclass is indented under subclass 261. Compositions in which the five-membered hetero ring has
sulfur in the 1-position, nitrogens in the 2- and 4-positions and
carbons in the remaining two positions.
| |||
263 | 1, 3, 4-thiadiazoles (including hydrogenated): | ||
This subclass is indented under subclass 261. Compositions in which the five-membered hetero ring has
sulfur in the 1-position, nitrogens in the 3- and 4-positions, and
carbons in the remaining two positions.
| |||
264 | Diazole ring (including hydrogenated) attached directly to the thiadiazole ring by nonionic bonding: | ||
This subclass is indented under subclass 263. Compositions wherein a five-membered hetero ring consisting
of two nitrogens and three carbons is attached directly to the thiadiazole
ring by nonionic bonding.
| |||
265 | Oxadiazoles (including hydrogenated): | ||
This subclass is indented under subclass 261. Compositions in which the five-membered hetero ring consists
of two ring nitrogens, one ring oxygen, and two ring carbons.
| |||
266 | 1, 3-thiazoles (including hydrogenated): | ||
This subclass is indented under subclass 261. Compositions in which the five-membered hetero ring has
sulfur in the 1-position, nitrogen in the 3-position, and carbons
in the remaining three positions.
| |||
267 | Benzothiazoles (including hydrogenated): |
| This subclass is indented under subclass 266. Compositions wherein the compounds have the following ring
system in which the bonds between the ring members may be single
or double bonds:
| |
268 | Nitrogen attached directly to the thiazole ring by nonionic bonding: |
| This subclass is indented under subclass 267. Compositions wherein nitrogen is attached directly to the thiazole ring by nonionic bonding. | |
269 | 1, 2-thiazoles (including hydrogenated): | ||
This subclass is indented under subclass 261. Compositions in which the five-membered hetero ring has
sulfur in the 1-position, nitrogen in the 2-position, and carbons
in the remaining three positions.
| |||
270 | 1,3-oxazoles (including hydrogenated): | ||
This subclass is indented under subclass 261. Compositions in which the five-membered hetero ring has
oxygen in the 1-position, nitrogen in the 3-position, and carbons
in the remaining three positions.
| |||
271 | 1, 2-oxazoles (including hydrogenated): | ||
This subclass is indented under subclass 261. Compositions in which the five-membered hetero ring has
oxygen in the 1-position, nitrogen in the 2-position, and carbons
in the remaining three positions.
| |||
272 | 1, 2, 4-triazoles (including hydrogenated): | ||
This subclass is indented under subclass 261. Compositions in which the five-membered hetero ring has
nitrogens in the 1-, 2-, and 4-positions and carbons in the remaining
two positions.
| |||
273 | Chalcogen, nitrogen, or -C(=X)-, wherein X is chalcogen, bonded directly to ring carbon of the triazole ring: |
| This subclass is indented under subclass 272. Compositions in which chalcogen (i.e., oxygen, sulfur, selenium, or tellurium), nitrogen, or -C(=X)-, wherein X is chalcogen, is bonded directly to a ring carbon of the triazole ring. | |
274 | Nitrogen or acyclic carbon chain containing carbon to carbon unsaturation attached directly or indirectly to the triazole ring by acyclic nonionic bonding: | ||
This subclass is indented under subclass 272. Compositions wherein the triazole ring is attached directly
or indirectly to nitrogen or an acyclic carbon chain containing
carbon to carbon unsaturation by acyclic nonionic bonding.
| |||
275 | 1, 3-diazoles (including hydrogenated): | ||
This subclass is indented under subclass 261. Compositions in which the five-membered hetero ring has
nitrogens in the 1- and 3-positions and carbons in the remaining
three positions.
| |||
276 | Polycyclo ring system having the diazole ring as one of the cyclos (e.g., benzimidazoles, etc.): | ||
This subclass is indented under subclass 275. Compositions wherein the diazole ring is one of the cyclos
of a polycyclo ring system.
| |||
277 | Chalcogen or nitrogen bonded directly to ring carbon of the diazole ring: |
| This subclass is indented under subclass 275. Compositions wherein chalcogen (i.e., oxygen, sulfur, selenium, or tellurium) or nitrogen is bonded directly to a ring carbon of the diazole ring. | |
278 | Plural chalcogens bonded directly to ring carbons of the diazole ring: | ||
This subclass is indented under subclass 277. Compositions wherein at least two chalcogens (i.e., oxygen,
sulfur, selenium, or tellurium) are bonded directly to ring carbons
of the diazole ring.
| |||
279 | Having -C(=X)-, wherein X is chalcogen, bonded directly to ring carbon of the diazole ring: |
| This subclass is indented under subclass 275. Compositions in which -C(=X)-, wherein X is chalcogen (i.e., oxygen, sulfur, selenium, or tellurium), is bonded directly to a ring carbon of the diazole ring. | |
280 | 1, 2-diazoles (including hydrogenated): | ||
This subclass is indented under subclass 261. Compositions in which the five-membered hetero ring has
nitrogens in the 1- and 2-positions and carbons in the remaining
three positions.
| |||
281 | Polycyclo ring system having the diazole ring as one of the cyclos: |
| This subclass is indented under subclass 280. Compositions wherein the diazole ring is one of the cyclos of a polycyclo ring system. | |
282 | Chalcogen or nitrogen bonded directly to ring carbon of the diazole ring: |
| This subclass is indented under subclass 280. Compositions wherein chalcogen (i.e., oxygen, sulfur, selenium, or tellurium) or nitrogen is bonded directly to a ring carbon of the diazole ring. | |
283 | Hetero ring is five-membered consisting of one nitrogen and four carbons: |
| This subclass is indented under subclass 209. Compositions which contain a five-membered hetero ring consisting of one ring nitrogen and four ring carbons. | |
284 | Polycyclo ring system having the five-membered hetero ring as one of the cyclos (e.g., indoles, etc.): | ||
This subclass is indented under subclass 283. Compositions wherein the hetero ring is one of the cyclos
of a polycyclo ring system.
| |||
285 | The ring nitrogen is bonded directly to two ring carbons of the same cyclo which carbons are members of one cyclo only (e.g., isoindoles, hydrogenated isoindoles, etc.): | ||
This subclass is indented under subclass 284. Compositions wherein the ring nitrogen of the five-membered
hetero ring is bonded directly to two ring carbons of the same cyclo,
which carbons are members of one cyclo only.
| |||
286 | Benzene ring bonded directly to the ring nitrogen of the five-membered hetero ring: |
| This subclass is indented under subclass 285. Compositions wherein the ring nitrogen of the five-membered hetero ring is bonded directly to a benzene ring. | |
287 | Having -C(=X)-, wherein X is chalcogen, bonded directly to the five-membered hetero ring: |
| This subclass is indented under subclass 283. Compositions in which -C(=X)-, wherein X is chalcogen (i.e., oxygen, sulfur, selenium, or tellurium), is bonded directly to the five-membered hetero ring. | |
288 | Sulfur containing hetero ring: | ||
This subclass is indented under subclass 209. Compositions which contain a hetero ring having sulfur as
a ring member.
| |||
289 | The hetero ring is five-membered: |
| This subclass is indented under subclass 288. Compositions wherein the hetero ring is five-membered. | |
290 | Plural ring hetero atoms in the hetero ring: |
| This subclass is indented under subclass 289. Compositions wherein the hetero ring contains at least one ring hetero atom in addition to the ring sulfur. | |
291 | Oxygen containing hetero ring: |
| This subclass is indented under subclass 209. Compositions which contain a hetero ring having oxygen as a ring member. | |
292 | The hetero ring is six-membered: | ||
| This subclass is indented under subclass 291. Compositions wherein the hetero ring is six-membered.
SEE OR SEARCH THIS CLASS, SUBCLASS:
| |||
293 | Plural ring oxygens in the hetero ring: |
| This subclass is indented under subclass 292. Compositions in which the hetero ring contains at least two ring oxygens. | |
294 | The hetero ring is five-membered: |
| This subclass is indented under subclass 291. Compositions wherein the hetero ring is five-membered. | |
295 | Plural ring oxygens in the hetero ring: |
| This subclass is indented under subclass 294. Compositions in which the hetero ring contains at least two ring oxygens. | |
296 | Polycyclo ring system having the hetero ring as one of the cyclos (e.g., methylenedioxyphenyls, etc.): | ||
This subclass is indented under subclass 295. Compositions wherein the hetero ring is one of the cyclos
of a polycyclo ring system.
| |||
297 | Polycyclo ring system having the hetero ring as one of cyclos: |
| This subclass is indented under subclass 294. Compositions wherein the hetero ring is one of the cyclos of a polycyclo ring system. | |
298 | Bicyclo ring system having the hetero ring as one of the cyclos: |
| This subclass is indented under subclass 297. Compositions in which the polycyclo ring system consists of exactly two rings. | |
299 | Chalcogen or -C(=X)-, wherein X is chalcogen, bonded directly to the hetero ring: |
| This subclass is indented under subclass 294. Compositions in which chalcogen (i.e., oxygen, sulfur, selenium, or tellurium), or -C(=X)-, wherein X is chalcogen, is bonded directly to the hetero ring. | |
300 | Containing -NH-C(=X)X-, wherein the X"s are the same or diverse chalcogens and substitution may be made for hydrogen only (e.g., carbamates, thiocarbamates, etc.): | ||
This subclass is indented under subclass 189. Compositions in which the organic active compound contains
the NH-C(=X)X- group, wherein the X"s are the
same or diverse chalcogens (i.e., oxygen, sulfur, selenium, or tellurium)
and substitution may be made for hydrogen only.
| |||
301 | Plural -NH-C(=X)X- groups: |
| This subclass is indented under subclass 300. Compositions wherein the organic active compound contains more than one -NH-C(=X)X- group. | |
302 | Nitrogen, cyano, chalcogen, or additional -C(=X)- bonded directly to the nitrogen: |
| This subclass is indented under subclass 300. Compositions wherein the nitrogen of the -NH-C(=X)X- group is bonded directly to nitrogen, cyano, chalcogen, or an additional -C(=X)- group. | |
303 | Nitrogen or additional chalcogen attached indirectly to the nitrogen by acyclic nonionic bonding: | ||
This subclass is indented under subclass 300. Compositions wherein the nitrogen of the -NH-C(=X)X-
group is attached indirectly to nitrogen or an additional chalcogen
by acyclic nonionic bonding.
| |||
304 | Benzene ring bonded directly to the nitrogen: |
| This subclass is indented under subclass 300. Compositions wherein the nitrogen of the -NH-C(=X)X- group is bonded directly to a benzene ring. | |
305 | Benzene ring attached indirectly to the nitrogen by nonionic bonding: | ||
This subclass is indented under subclass 300. Compositions wherein the nitrogen of the -NH-C(=X)X-
group is attached indirectly to a benzene ring by nonionic bonding.
| |||
306 | Containing -X-C(=X)X-, wherein the X"s are the same or diverse chalcogens (e.g., carbonates, thiocarbonates, xanthates, etc.): | ||
This subclass is indented under subclass 189. Compositions in which the organic active compound contains
the-X-C(=X)X- group, wherein the X"s are the same
or diverse chalcogens (i.e., oxygen, sulfur, selenium, or tellurium).
| |||
307 | Containing -C(=X)X-, wherein the X"s are the same or diverse chalcogens, and at least one X is other than oxygen (e.g., thiocarboxylates, etc.): | ||
This subclass is indented under subclass 189. Compositions in which the organic active compound contains
the-C(=X)X- group, wherein the X"s are the same
or diverse chalcogens (i.e., oxygen, sulfur, selenium, or tellurium)
and at least one X is other than oxygen.
| |||
308 | Carbon bonded directly to -NCX or -XCN, wherein X is chalcogen (e.g., cyanate, thiocyanate, or isothiocyanate, etc.): | ||
This subclass is indented under subclass 189. Compositions in which the organic active compound contains
a -NCX or -XCN group, wherein the X is chalcogen (i.e., oxygen,
sulfur, selenium, or tellurium), bonded directly to carbon.
| |||
309 | Cyano or isocyano bonded directly to carbon: | ||
This subclass is indented under subclass 189. Compositions wherein the organic active compound contains
carbon bonded directly to a cyano (-CN) or isocyano (-NC) group.
| |||
310 | Benzene ring bonded directly to the cyano or isocyano group: |
| This subclass is indented under subclass 309. Compositions wherein the cyano or isocyano group is bonded directly to a benzene ring. | |
311 | Two benzene rings bonded directly to the same oxygen (e.g., phenoxyphenyl compounds, etc.): | ||
This subclass is indented under subclass 310. Compositions wherein a single oxygen is bonded directly
to two benzene rings.
| |||
312 | Nitrogen, other than as nitro or nitroso, attached indirectly to the cyano or isocyano group by nonionic bonding: | ||||
This subclass is indented under subclass 309. Compositions wherein the cyano or isocyano group is attached
indirectly to nitrogen, other than as nitro or nitroso (-NO2 or
-NO), by nonionic bonding.
| |||||
313 | Carboxylic acid ester (i.e., Z-C(=O) O- wherein Z is hydrogen or an organic radical bonded to the -C(=O)- group by a carbon and the single bonded oxygen of the-C(=O)O- group is bonded directly to carbon, which carbon may be single bonded to any atom but may be multiple bonded only to carbon): | ||
This subclass is indented under subclass 189. Compositions in which the organic active compound is of
the formula Z-C(=O) O- wherein Z is hydrogen or an organic
radical bonded to the -C(=O) - group by a carbon and the
single bonded oxygen of the -C (=O) O- group is bonded
directly to carbon which carbon may be single bonded to any atom
but may be multiple bonded only to carbon.
| |||
314 | Z contains a benzene ring: |
| This subclass is indented under subclass 313. Compositions wherein Z contains a benzene ring. | |
315 | Z contains sulfur or nitrogen, other than as nitro or nitroso, attached directly or indirectly to the benzene ring by nonionic bonding: | ||||
This subclass is indented under subclass 314. Compositions wherein Z contains a benzene ring attached
directly or indirectly to sulfur or nitrogen, other than as nitro
or nitroso (-NO2 or -NO), by nonionic bonding.
| |||||
316 | Z contains two benzene rings bonded directly to the same chalcogen (e.g., phenoxybenzoates, etc.): | ||
This subclass is indented under subclass 314. Compositions wherein Z contains two benzene rings bonded
directly to the same chalcogen (i.e., oxygen, sulfur, selenium,
or tellurium).
| |||
317 | Z contains oxygen bonded directly to the benzene ring and indirectly bonded to the -C(=O) O- group through an acyclic carbon or acyclic carbon chain (e.g., phenoxyacetates, etc.): | ||
This subclass is indented under subclass 314. Compositions wherein Z contains oxygen bonded directly to
the benzene ring and indirectly bonded to the-C(=O) O-
group through an acyclic carbon or acyclic carbon chain.
| |||
318 | The benzene ring is bonded directly to the carbon of the -C(=O) O- group (e.g., benzoates, etc.): | ||
This subclass is indented under subclass 314. Compositions wherein the carbon of the -C(=O) O-
group is bonded directly to the benzene ring.
| |||
319 | Z contains nitrogen, sulfur, or halogen attached indirectly to the -C(=O) O- group by nonionic bonding: |
| This subclass is indented under subclass 313. Compositions wherein Z contains nitrogen, sulfur, or halogen attached indirectly to the -C(=O) O- group by nonionic bonding. | |
320 | Carboxylic acid, carboxylic acid salt, carboxylic acid anhydride, or carboxylic acid halide: |
| This subclass is indented under subclass 189. Composition in which the organic active compound contains a -C(=O)-O-C(=O) -, -C (=O) - halo, wherein halo is halogen, or a -C (=O)-O- X group, wherein X is hydrogen or a cation. | |
321 | Benzene ring containing: |
| This subclass is indented under subclass 320. Compositions which contain a benzene ring. | |
322 | Nitrogen, other than as nitro or nitroso, attached directly or indirectly to the benzene ring by nonionic bonding: | ||
This subclass is indented under subclass 321. Compositions wherein the benzene ring is attached directly
or indirectly to nitrogen, other than as nitro or nitroso (-NO2 or
-NO), by nonionic bonding.
| |||
323 | Oxygen is bonded directly to the benzene ring and is part of an acyclic chain between the benzene ring and a -C (=O) O- group (e.g., 2, 4-dichlorophenoxyacetic acids, etc.): | ||
This subclass is indented under subclass 321. Compositions wherein oxygen is bonded directly to the benzene
ring and is part of an acyclic chain between the benzene ring and
a -C (=O) O- group.
| |||
324 | The benzene ring is bonded directly to the carbon of a -C (=O)O- group (e.g., benzoic acids, etc.): | ||
This subclass is indented under subclass 321. Compositions wherein the carbon of a -C (=O) O-
group is bonded directly to the benzene ring.
| |||
325 | Containing halogen bonded directly to carbon (e.g., trichloroacetates, etc.): | ||
This subclass is indented under subclass 320. Compositions which contain carbon bonded directly to halogen.
| |||
326 | Containing nitrogen, other than as nitro or nitroso, attached directly or indirectly to carbon by nonionic bonding: | ||||
This subclass is indented under subclass 189. Compositions wherein the organic active compound contains
carbon attached directly or indirectly to nitrogen, other than as
nitro or nitroso (-NO2 or -NO), by nonionic
bonding.
| |||||
327 | Ureas or thioureas (i.e., HNH-C (=X)-HNH, wherein X is oxygen or sulfur and substitution may be made for hydrogen only): | ||
This subclass is indented under subclass 326. Compositions which contain HNH-C(=X)-HNH, wherein
X is oxygen or sulfur and substitution may be made for hydrogen
only.
| |||
328 | Nitrogen or -C(=X)- attached directly to urea or thiourea nitrogen by nonionic bonding (e.g., biurets, semicarbazones, etc.): | ||
This subclass is indented under subclass 327. Compositions wherein a urea or thiourea nitrogen is attached
directly to nitrogen or -C(=X)- by nonionic bonding.
| |||
329 | Sulfur attached directly or indirectly to urea or thiourea nitrogen by nonionic bonding: |
| This subclass is indented under subclass 327. Compositions wherein a urea or thiourea nitrogen is attached directly or indirectly to sulfur by nonionic bonding. | |
330 | Benzene ring attached directly or indirectly to urea or thiourea nitrogen by nonionic bonding: |
| This subclass is indented under subclass 327. Compositions wherein a urea or thiourea nitrogen is attached directly or indirectly to a benzene ring by nonionic bonding. | |
331 | Nitrogen, other than as nitro or nitroso, or -C(=X) -, attached indirectly to the urea or thiourea nitrogen by nonionic bonding, or alicyclic ring attached directly or indirectly to urea or thiourea nitrogen by nonionic bonding: | ||
This subclass is indented under subclass 330. Compositions wherein a urea or thiourea nitrogen is attached
directly or indirectly to an alicyclic ring by nonionic bonding,
or is attached indirectly to nitrogen, other than as nitro or nitroso
(-NO2 or -NO), or -C(=X) - by nonionic bonding.
| |||
332 | Plural benzene rings containing: |
| This subclass is indented under subclass 330. Compositions which contain two or more benzene rings. | |
333 | Containing -NH- (O=) S(=O)-, wherein substitution may be made for hydrogen only (e.g., sulfonamides, sulfamides, etc.): | ||
This subclass is indented under subclass 326. Compositions which contain the -NH-(O=) S(=O)-
group, wherein substitution may be made for hydrogen only.
| |||
334 | Carboxamides or thiocarboxamides (i.e., R-(C=X) NH2, wherein X is oxygen or sulfur, R is carbon or hydrogen, and substitution may be made for hydrogen only): | ||
Compositions under 326 which contain R- (C=X) NH2,
wherein X is oxygen or sulfur, R is carbon or hydrogen, and substitution
may be may for hydrogen only.
| |||
335 | Plural R-C (=X) NH2 groups containing: |
| This subclass is indented under subclass 334. Compositions which contain two or more R-C(=X)NH2 groups. | |
336 | R contains benzene ring: |
| This subclass is indented under subclass 334. Compositions wherein R contains a benzene ring. | |
337 | The benzene ring is bonded directly to the carbon of the - (C=X)NH2 group (e.g., benzamides, etc.): | ||
This subclass is indented under subclass 336. Compositions wherein the carbon of the - (C=X)
NH2 group is bonded directly to the benzene
ring.
| |||
338 | Chalcogen is bonded directly to the benzene ring and is part of an acyclic chain between the benzene ring and the -C (=X)NH2 group, (e.g., phenoxyalkylamides, etc.): | ||
This subclass is indented under subclass 336. Compositions wherein chalcogen (i.e., oxygen, sulfur, selenium,
or tellurium) is bonded directly to the benzene ring and is part
of an acyclic chain between the benzene ring and the -C (=X)
NH2 group.
| |||
339 | R is acyclic: |
| This subclass is indented under subclass 334. Compositions wherein R does not contain a ring. | |
340 | Halogen bonded directly to carbon in R (e.g., chloroacetamides, etc.): | ||
This subclass is indented under subclass 339. Compositions wherein a carbon atom in R is bonded directly
to halogen.
| |||
341 | Benzene ring bonded directly to the carboxamide or thiocarboxamide nitrogen: |
| This subclass is indented under subclass 340. Compositions wherein the carboxamide or thiocarboxamide nitrogen is bonded directly to a benzene ring. | |
342 | The carboxamide or thiocarboxamide nitrogen and a chalcogen are directly attached to the same acyclic carbon or acyclic carbon chain: | ||
This subclass is indented under subclass 341. Compositions wherein an acyclic carbon or an acyclic carbon
chain are attached to both a chalcogen and to the carboxamide or
thiocarboxamide nitrogen.
| |||
343 | Nitrogen double bonded directly to carbon: |
| This subclass is indented under subclass 326. Compositions wherein carbon is double bonded directly to the nitrogen. | |
344 | Oximes (i.e, HCH=N-OH, wherein substitution may be made for hydrogen only): | ||
This subclass is indented under subclass 343. Compositions which contain the -CH=N-O- group,
wherein substitution may be made for hydrogen only:
| |||
345 | Quaternary ammonium containing: | ||
This subclass is indented under subclass 326. Compositions which contain a pentavalent nitrogen bonded
by four valences to carbon.
| |||
346 | Containing -N=N-, -NH-NH-, or -NH-X-, wherein X is chalcogen and substitution may be made for hydrogen only: |
| This subclass is indented under subclass 326. Compositions which contain the -N=N-, -NH-NH-, or NH-X- group, wherein X is chalcogen (i.e., oxygen, sulfur, selenium, or tellurium) and substitution may be made for hydrogen only. | |
347 | The nitrogen and a nitro group bonded directly to the same benzene ring (e.g., nitroanilines, etc.): | ||
This subclass is indented under subclass 326. Compositions wherein a single benzene ring is bonded directly
to both the nitrogen and a nitro group.
| |||
348 | Ketones or aldehydes: |
| This subclass is indented under subclass 189. Compositions wherein the organic active compound contains a -(C=O)- group bonded directly to two carbon atoms, to a carbon and a hydrogen atom or to two hydrogen atoms. | |
349 | Sulfur, selenium, or tellurium compound (e.g., thioalcohols, mercaptans, etc.): |
| This subclass is indented under subclass 189. Compositions wherein the organic active compound contains sulfur, selenium, or tellurium. | |
350 | Chalcogen bonded directly to sulfur (e.g., sulfones, etc.): | ||
This subclass is indented under subclass 349. Compositions which contain sulfur bonded directly to chalcogen
(i.e., oxygen, sulfur, selenium, or tellurium).
| |||
351 | Ethers: | ||
This subclass is indented under subclass 189. Compositions wherein the organic active compound contains
an oxygen bonded directly to two carbon atoms.
| |||
352 | Plural benzene rings bonded directly to the same oxygen: |
| This subclass is indented under subclass 351. Compositions wherein the same oxygen is bonded directly to two benzene rings. | |
353 | Hydroxy bonded directly to carbon (H of -OH may be replaced by a substituted or unsubstituted ammonium ion or a Group IA or IIA light metal): |
| This subclass is indented under subclass 189. Compositions in which the organic active compound contains carbon bonded directly to a hydroxy group, wherein the hydrogen of the -OH group may be replaced by a substituted or unsubstituted ammonium ion or a Group IA or IIA light metal. | |
354 | Benzene ring containing: |
| This subclass is indented under subclass 353. Compositions which contain a benzene ring. | |
355 | Nitro containing (e.g., nitrobenzenes, etc.): | ||
This subclass is indented under subclass 189. Compositions wherein the organic active compound contains
a -NO2 group.
| |||
356 | Halogenated hydrocarbons: |
| This subclass is indented under subclass 189. Compositions wherein the organic active compound contains carbon bonded to halogen. | |
357 | Hydrocarbons: |
| This subclass is indented under subclass 189. Compositions wherein the organic active compound consists of carbon and hydrogen only. | |
358 | Designated nonactive ingredient containing: |
| Subject matter under subclass definition 116.1 wherein the active ingredient is stated, or described in nominal terms as a type of plant growth regulant, and a non-plant growth regulating ingredient is specified, i.e., by name, chemical structure, or partial chemical structure. | |
359 | Microencapsulating or encapsulating agent: | ||||
This subclass is indented under subclass 358. Subject matter wherein the plant growth regulant is microcapsulated
or encapsulated by a nonactive ingredient, which usually surrounds the
active ingredient; the active ingredient is often present as a droplet,
with the encapsulating ingredient as a thin film.
SEE OR SEARCH CLASS:
| |||||
360 | Solid resin containing (e.g., film-forming resins, etc.): | ||||||
This subclass is indented under subclass 358. Subject matter wherein the designated nonactive ingredient
is a solid resin.
SEE OR SEARCH CLASS:
| |||||||
361 | The resin is derived from ethylenically unsaturated monomer only (e.g., addition resins, natural rubbers, etc.): | ||||
This subclass is indented under subclass 360. Subject matter wherein the solid resin is derived only
from one or more monomers of the formula: R1HC=CHR2,
wherein R1 and R2 are
H or organic radicals.
| |||||
362 | Liquid carrier containing (e.g., water, hydrocarbon, etc.): |
| This subclass is indented under subclass 358. Subject matter wherein the designated nonactive ingredient is a liquid carrier, which carrier may be a liquid or a mixture of liquids, which liquids may be organic or inorganic. | |
363 | Emulsion or foam (i.e., liquid continuous phase, and liquid or gas discontinuous phase): | ||||
This subclass is indented under subclass 362. Subject matter wherein a continuous liquid phase is present,
and (a) a discontinuous gas phase is present for a foam, or (b)
a discontinuous liquid phase is present for an emulsion.
SEE OR SEARCH CLASS:
| |||||
364 | Emulsifier or foaming agent containing a sulfonic acid, a metal salt thereof, or an unsubstituted or n-monosubstituted amide thereof: |
| This subclass is indented under subclass 363. Subject matter wherein an emulsifier or foaming agent of the formula R1S02R2, wherein R1 is MO, or R3NH, M is H or a metal, R3 is an organic radical or H, and R2 is an organic radical, is present to stabilize the foam or emulsion. | |
365 | Organic nitrogen containing solvent, emulsifier, or foaming agent of formula R1N(R2)2 : | ||
This subclass is indented under subclass 363. Subject matter wherein an organic solvent, emulsifier,
or foaming agent present is of the formula R1N(R2)2,
wherein R1 is an organic radical, and R2 is
H or an organic radical.
| |||
366 | Gel (i.e., a colloidal solution of a liquid in a solid): | ||||
This subclass is indented under subclass 362. Subject matter wherein the plant growth regulant is incorporated
in a gel.
SEE OR SEARCH CLASS:
| |||||
367 | Granular or pulverulent designated nonactive ingredient containing: | ||
This subclass is indented under subclass 358. Subject matter wherein the final form of the composition
is granular (grainy), or pulverulent (fine powder or dust).
| |||
![[Search a list of Patent Appplications for class 504]](../as.gif)
![[List of Patents for class 504 subclass 100]](../ps.gif)




























































































































