CLASS 549, | ORGANIC COMPOUNDS -- PART OF THE CLASS 532-570 SERIES |
| Click here for a printable version of this file | |
SUBCLASSES
1 | Sulfur containing hetero ring (e.g., thiiranes, etc.) | ||
This subclass is indented under subclass 1. Compounds under Class 540, ... which contain a hetero ring
having sulfur as a ring hetero atom.
| |||
2 | With preservative or stabilizer |
| This subclass is indented under subclass 1. Compounds which occur in admixture with agents which function to prevent physical or chemical change. | |
3 | Heavy metal or aluminum containing | ||||
This subclass is indented under subclass 1. Compounds which include aluminum or a metal with a specific
gravity greater than 4.
| |||||
4 | Boron or silicon containing | ||
This subclass is indented under subclass 1. Compounds which include boron or silicon.
| |||
5 | Phosphorus attached directly or indirectly to the hetero ring by nonionic bonding | ||
This subclass is indented under subclass 1. Compounds wherein phosphorus is attached directly or indirectly
to the hetero ring by nonionic bonding.
| |||
6 | The hetero ring is five-membered |
| This subclass is indented under subclass 5. Compounds wherein the hetero ring is five-membered. | |
7 | Plural ring hetero atoms in the hetero ring |
| This subclass is indented under subclass 6. Compounds wherein the five-membered hetero ring contains at least one ring hetero atom in addition to the ring sulfur. | |
8 | Four chalcogens bonded directly to the same phosphorus |
| This subclass is indented under subclass 6. Compounds having exactly four chalcogens (i.e., oxygen, sulfur, selenium, or tellurium) bonded directly to the same phosphorus atom. | |
9 | The hetero ring has at least seven members |
| This subclass is indented under subclass 1. Compounds wherein the hetero ring has seven or more members. | |
10 | Plural ring hetero atoms in the hetero ring |
| This subclass is indented under subclass 9. Compounds wherein the hetero ring contains at least one hetero atom in addition to the ring sulfur. | |
11 | Plural ring sulfurs in the hetero ring |
| This subclass is indented under subclass 10. Compounds wherein the hetero ring contains at least two ring sulfurs. | |
12 | Polycyclo ring system having at least three cyclos and having the hetero ring as one of the cyclos | ||
This subclass is indented under subclass 9. Compounds wherein the hetero ring having at least seven
members is a cyclo in a polycyclo ring system containing at least
three cyclos.
| |||
13 | The hetero ring is six-membered |
| This subclass is indented under subclass 1. Compounds wherein the hetero ring is six-membered. | |
14 | Plural ring hetero atoms in the hetero ring |
| This subclass is indented under subclass 13. Compounds wherein the hetero ring contains at least one ring hetero atom in addition to the ring sulfur. | |
15 | Polycyclo ring system having the hetero ring as one of the cyclos |
| This subclass is indented under subclass 14. Compounds wherein the hetero ring is one of the cyclos of a polycyclo ring system. | |
16 | Tricyclo ring system having the hetero ring as one of the cyclos |
| This subclass is indented under subclass 15. Compounds wherein the polycyclo ring system consists of exactly three rings. | |
17 | Plural ring sulfurs in the hetero ring |
| This subclass is indented under subclass 16. Compounds wherein the hetero ring contains at least two ring sulfurs. | |
18 | Three or more ring hetero atoms in the hetero ring |
| This subclass is indented under subclass 14. Compounds wherein the six-membered hetero ring contains at least two ring hetero atoms in addition to the ring sulfur. | |
19 | Plural ring sulfurs in the hetero ring |
| This subclass is indented under subclass 18. Compounds wherein the hetero ring contains at least two ring sulfurs. | |
20 | Two ring sulfurs in the hetero ring |
| This subclass is indented under subclass 14. Compounds wherein the hetero ring contains exactly two ring sulfurs. | |
21 | Chalcogen or nitrogen attached directly to the hetero ring by nonionic bonding |
| This subclass is indented under subclass 20. Compounds wherein nitrogen or chalcogen (i.e., oxygen, sulfur, selenium, or tellurium) is attached directly to the hetero ring by nonionic bonding. | |
22 | Chalcogen or nitrogen attached indirectly to the hetero ring by nonionic bonding |
| This subclass is indented under subclass 20. Compounds wherein chalcogen (i.e., oxygen, sulfur, selenium, or tellurium) or nitrogen is attached indirectly to the hetero ring by nonionic bonding. | |
23 | Polycyclo ring system having the hetero ring as one of the cyclos |
| This subclass is indented under subclass 13. Compounds wherein the six-membered hetero ring is one of the cyclos of a polycyclo ring system. | |
24 | The polycyclo ring system has at least four cyclos |
| This subclass is indented under subclass 23. Compounds wherein the polycyclo ring system has at least four cyclos. | |
25 | Chalcogen attached directly to the hetero ring by nonionic bonding | ||
This subclass is indented under subclass 24. Compounds in which chalcogen (i.e., oxygen, sulfur, selenium,
or tellurium) is attached directly to the hetero ring by nonionic
bonding.
| |||
26 | Tricyclo ring system having the hetero ring as one of the cyclos |
| This subclass is indented under subclass 23. Compounds wherein the polycyclo ring system consists of exactly three rings. | |
27 | Chalcogen attached directly to the hetero ring by nonionic bonding | ||
This subclass is indented under subclass 26. Compounds in which chalcogen (i.e., oxygen, sulfur, selenium,
or tellurium) is attached directly to the hetero ring by nonionic
bonding.
| |||
28 | Chalcogen or nitrogen attached directly to the hetero ring by nonionic bonding |
| This subclass is indented under subclass 13. Compounds in which chalcogen (i.e., oxygen, sulfur, selenium, or tellurium) or nitrogen is attached directly to the hetero ring by nonionic bonding. | |
29 | The hetero ring is five-membered |
| This subclass is indented under subclass 1. Compounds wherein the hetero ring is five-membered. | |
30 | Plural ring hetero atoms in the hetero ring |
| This subclass is indented under subclass 29. Compounds wherein the hetero ring contains at least one ring hetero atom in addition to the ring sulfur. | |
31 | Polycyclo ring system having the hetero ring as one of the cyclos | ||
This subclass is indented under subclass 30. Compounds wherein the hetero ring is one of the cyclos of
a polycyclo ring system.
| |||
32 | Bicyclo ring system having the hetero ring as one of the cyclos | ||
This subclass is indented under subclass 31. Compounds wherein the polycyclo ring system consists of
exactly two rings.
| |||
33 | Chalcogen attached directly to the hetero ring by nonionic bonding | ||
This subclass is indented under subclass 22. Compounds wherein chalcogen (i.e., oxygen, sulfur, selenium,
or tellurium) is attached directly to the hetero ring by nonionic
bonding.
| |||
34 | Three or more ring hetero atoms in the hetero ring | ||
This subclass is indented under subclass 30. Compounds wherein the hetero ring contains at least two
ring hetero atoms in addition to the ring sulfur.
| |||
35 | Two ring sulfurs in the hetero ring |
| This subclass is indented under subclass 30. Compounds wherein the hetero ring contains exactly two ring sulfurs. | |
36 | Chalcogen bonded directly to ring carbon of the hetero ring |
| This subclass is indented under subclass 35. Compounds wherein chalcogen (i.e., oxygen, sulfur, selenium, or tellurium) is bonded directly to ring carbon of the hetero ring. | |
37 | Nitrogen or chalcogen attached indirectly to the hetero ring by nonionic bonding | ||
This subclass is indented under subclass 36. Compounds wherein nitrogen or chalcogen (i.e., oxygen, sulfur,
selenium, or tellurium) is attached indirectly to the hetero ring
by nonionic bonding.
| |||
38 | Nitrogen attached directly to the hetero ring by nonionic bonding | ||
This subclass is indented under subclass 35. Compounds wherein nitrogen is attached directly to the hetero
ring by nonionic bonding.
| |||
39 | Chalcogen attached indirectly to the hetero ring by nonionic bonding | ||
This subclass is indented under subclass 35. Compounds wherein chalcogen (i.e., oxygen, sulfur, selenium,
or tellurium) is attached directly to the hetero ring by nonionic
bonding.
| |||
40 | Chalcogen attached directly to ring sulfur of the hetero ring by nonionic bonding |
| This subclass is indented under subclass 30. Compounds wherein chalcogen (i.e., oxygen, sulfur, selenium, or tellurium) is attached directly to ring sulfur of the hetero ring by nonionic bonding. | |
41 | Polycyclo ring system having the hetero ring as one of the cyclos |
| This subclass is indented under subclass 29. Compounds wherein the five-membered hetero ring is one of the cyclos of a polycyclo ring system. | |
42 | Tetracyclo ring system having the hetero ring as one of the cyclos |
| This subclass is indented under subclass 41. Compounds wherein the polycyclo ring system consists of exactly four rings. | |
43 | Tricyclo ring system having the hetero ring as one of the cyclos |
| This subclass is indented under subclass 41. Compounds wherein the polycyclo ring system consists of exactly three rings. | |
44 | Chalcogen attached directly to the tricyclo ring system by nonionic bonding | ||
This subclass is indented under subclass 43. Compounds wherein chalcogen (i.e., oxygen, sulfur, selenium,
or tellurium) is attached directly to the tricyclo ring system by
nonionic bonding.
| |||
45 | Chalcogen attached directly to the hetero ring by nonionic bonding | ||
This subclass is indented under subclass 44. Compounds wherein chalcogen (i.e., oxygen, sulfur, selenium,
or tellurium) is attached directly to the hetero ring by nonionic
bonding.
| |||
46 | Chalcogen attached directly to ring sulfur of the hetero ring by nonionic bonding |
| This subclass is indented under subclass 45. Compounds wherein chalcogen (i.e., oxygen, sulfur, selenium, or tellurium) is attached directly to ring sulfur of the hetero ring by nonionic bonding. | |
47 | Halogen attached directly to the tricyclo ring system by nonionic bonding |
| This subclass is indented under subclass 45. Compounds wherein halogen is attached directly to the tricyclo ring system by nonionic bonding. | |
48 | Nitrogen attached directly or indirectly to the tricyclo ring system by nonionic bonding | ||
This subclass is indented under subclass 44. Compounds wherein nitrogen is attached directly or indirectly
to the tricyclo ring system by nonionic bonding.
| |||
49 | Bicyclo ring system having the hetero ring as one of the cyclos |
| This subclass is indented under subclass 41. Compounds wherein the polycyclo ring system consists of exactly two rings. | |
50 | Plural ring hetero atoms in the bicyclo ring system | ||
This subclass is indented under subclass 49. Compounds wherein the bicyclo ring system contains at least
one ring hetero atom in addition to the ring sulfur of the five-membered hetero
ring.
| |||
51 | Chalcogen attached directly to the bicyclo ring system by nonionic bonding | ||
This subclass is indented under subclass 49. Compounds wherein chalcogen (i.e., oxygen, sulfur, selenium,
or tellurium) is attached directly to the bicyclo ring system by
nonionic bonding.
| |||
52 | Chalcogen attached directly to the hetero ring by nonionic bonding | ||
This subclass is indented under subclass 51. Compounds wherein chalcogen (i.e., oxygen, sulfur, selenium,
or tellurium) is attached directly to the hetero ring by nonionic
bonding.
| |||
53 | Chalcogen attached directly to ring sulfur of the hetero ring by nonionic bonding |
| This subclass is indented under subclass 52. Compounds wherein chalcogen (i.e., oxygen, sulfur, selenium, or tellurium) is attached directly to the ring sulfur of the five-membered hetero ring by nonionic bonding. | |
54 | Plural chalcogens bonded directly to the bicyclo ring system | ||
This subclass is indented under subclass 52. Compounds wherein at least two chalcogens (i.e., oxygen,
sulfur, selenium, or tellurium) are bonded directly to the bicyclo
ring system.
| |||
55 | Nitrogen attached directly or indirectly to the bicyclo ring system by nonionic bonding | ||
This subclass is indented under subclass 52. Compounds wherein nitrogen is attached directly or indirectly
to the bicyclo ring system by nonionic bonding.
| |||
56 | Halogen attached directly or indirectly to the bicyclo ring system by nonionic bonding |
| This subclass is indented under subclass 52. Compounds wherein halogen is attached directly or indirectly to the bicyclo ring system by nonionic bonding. | |
57 | Nitrogen or a -C(=X)- group, wherein X is chalcogen, attached directly to the bicyclo ring system by nonionic bonding | ||
This subclass is indented under subclass 49. Compounds wherein X nitrogen or --, in which X is chalcogen
(i.e., oxygen, sulfur, selenium, or tellurium), is attached directly
to the bicyclo ring system by nonionic bonding.
| |||
58 | Chalcogen attached indirectly to the bicyclo ring system by nonionic bonding | ||
This subclass is indented under subclass 49. Compounds wherein chalcogen (i.e., oxygen, sulfur, selenium,
or tellurium) is attached indirectly to the bicyclo ring system
by nonionic bonding.
| |||
59 | Additional hetero ring containing | ||
This subclass is indented under subclass 29. Compounds which contain an additional hetero ring.
| |||
60 | Ring oxygen in the additional hetero ring | ||
This subclass is indented under subclass 59. Compounds wherein the additional hetero ring contains oxygen
as a ring hetero atom.
| |||
61 | Cyano bonded directly to the hetero ring |
| This subclass is indented under subclass 29. Compounds wherein the -CN group is bonded directly to ring carbon of the hetero ring. | |
62 | Chalcogen bonded directly to ring carbon of the hetero ring |
| This subclass is indented under subclass 29. Compounds wherein chalcogen (i.e., oxygen, sulfur, selenium, or tellurium) is bonded directly to ring carbon of the hetero ring. | |
63 | Nitrogen attached directly to the hetero ring by nonionic bonding | ||
This subclass is indented under subclass 62. Compounds wherein nitrogen is attached directly to the hetero
ring by nonionic bonding.
| |||
64 | Having -C(=X)-, wherein X is chalcogen, bonded directly to the hetero ring |
| This subclass is indented under subclass 62. Compounds wherein --, in which X is chalcogen (i.e., oxygen, sulfur, selenium, or tellurium), is bonded directly to the hetero ring. | |
65 | Nitrogen attached indirectly to the hetero ring by nonionic bonding | ||
This subclass is indented under subclass 62. Compounds wherein nitrogen is attached indirectly to the
hetero ring by nonionic bonding.
| |||
66 | Chalcogen attached indirectly to the hetero ring by nonionic bonding | ||
This subclass is indented under subclass 62. Compounds wherein chalcogen (i.e., oxygen, sulfur, selenium,
or tellurium) is attached indirectly to the hetero ring by nonionic
bonding.
| |||
67 | Chalcogen attached directly to ring sulfur of the hetero ring by nonionic bonding |
| This subclass is indented under subclass 62. Compounds wherein chalcogen (i.e., oxygen, sulfur, selenium, or tellurium) is attached directly to ring sulfur of the hetero ring by nonionic bonding. | |
68 | Nitrogen attached directly to the hetero ring by nonionic bonding | ||
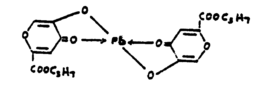
This subclass is indented under subclass 29. Compounds wherein nitrogen is attached directly to the hetero
ring by nonionic bonding.
| |||
69 | Having -C(=X)-, wherein X is chalcogen, bonded directly to the nitrogen |
| This subclass is indented under subclass 68. Compounds wherein --, in which X is chalcogen (i.e., oxygen, sulfur, selenium, or tellurium) is bonded directly to the nitrogen atom. | |
70 | Having -C(=X)-, wherein X is chalcogen, bonded directly to the hetero ring |
| This subclass is indented under subclass 29. Compounds wherein --, in which X is chalcogen, (i.e., oxygen, sulfur, selenium, or tellurium), is bonded directly to the hetero ring. | |
71 | The -C(=X)- is part of a -C(=X)X- group, wherein the X's are the same or diverse chalcogens | ||
This subclass is indented under subclass 70. Compounds wherein the -C-is part of a --X- group, in which
the X"s are the same or diverse chalcogens (i.e., oxygen,
sulfur, selenium, or tellurium).
| |||
72 | Nitrogen or chalcogen attached indirectly to the hetero ring by nonionic bonding | ||
This subclass is indented under subclass 70. Compounds wherein nitrogen or chalcogen (i.e., oxygen, sulfur,
selenium, or tellurium) is attached indirectly to the hetero ring
by nonionic bonding.
| |||
73 | Halogen attached directly or indirectly to the hetero ring by nonionic bonding |
| This subclass is indented under subclass 70. Compounds wherein halogen is attached directly or indirectly to the hetero ring by nonionic bonding. | |
74 | Nitrogen attached indirectly to the hetero ring by nonionic bonding | ||
This subclass is indented under subclass 29. Compounds wherein nitrogen is attached indirectly to the
hetero ring by nonionic bonding.
| |||
75 | Chalcogen attached indirectly to the hetero ring by nonionic bonding | ||
This subclass is indented under subclass 74. Compounds wherein chalcogen (i.e., oxygen, sulfur, selenium,
or tellurium) is attached indirectly to the hetero ring by nonionic
bonding.
| |||
76 | The chalcogen, X, is in a -C(=X)- group | ||
This subclass is indented under subclass 75. Compounds wherein the chalcogen, X (i.e., oxygen, sulfur,
selenium, or tellurium), is in a -- group.
| |||
77 | Unsaturated carbocyclic ring or acyclic carbon to carbon unsaturation containing | ||
This subclass is indented under subclass 76. Compounds which contain an unsaturated carbocyclic ring
or acyclic carbon to carbon unsaturation.
| |||
78 | Chalcogen attached indirectly to the hetero ring by nonionic bonding | ||
This subclass is indented under subclass 29. Compounds wherein chalcogen (i.e., oxygen, sulfur, selenium,
or tellurium) is attached indirectly to the hetero ring by nonionic
bonding.
| |||
79 | The chalcogen, X, is part of a -C(=X)X- group, wherein the X's are the same or diverse chalcogens |
| This subclass is indented under subclass 78. Compounds in which the chalcogen, X, is part of a --X- group, wherein the X"s are the same or diverse chalcogens (i.e., oxygen, sulfur, selenium, or tellurium). | |
80 | Unsaturated carbocyclic ring or acyclic carbon to carbon unsaturation containing | ||
This subclass is indented under subclass 29. Compounds which contain an unsaturated carbocyclic ring
or acyclic carbon to carbon unsaturation.
| |||
81 | Halogen attached directly to the hetero ring by nonionic bonding |
| This subclass is indented under subclass 29. Compounds wherein halogen is attached directly to the hetero ring by nonionic bonding. | |
82 | Three or more halogens attached directly to the hetero ring by nonionic bonding |
| This subclass is indented under subclass 81. Compounds wherein at least three halogen atoms are attached directly to the hetero ring by nonionic bonding. | |
83 | The compound consists of the ring sulfur, carbon, and hydrogen |
| This subclass is indented under subclass 29. Compounds in which the five-membered hetero ring is unsubstituted or substituted by hydrocarbon radicals only. | |
84 | Process of forming the hetero ring from acyclic reactants only |
| This subclass is indented under subclass 83. Processes of forming the five-membered hetero ring utilizing acyclic reactants only. | |
85 | Metal containing catalyst utilized |
| This subclass is indented under subclass 84. Processes which utilize a metal containing catalyst. | |
86 | Process of alkylating the hetero ring |
| This subclass is indented under subclass 83. Processes in which the five-membered hetero ring is alkylated. | |
87 | Plural chalcogens double bonded directly to ring sulfur of the hetero ring |
| This subclass is indented under subclass 29. Compounds wherein at least two chalcogens (i.e., oxygen, sulfur, selenium, or tellurium) are double bonded directly to ring sulfur of the hetero ring. | |
88 | The hetero ring is four-membered | ||
This subclass is indented under subclass 1. Compounds wherein the hetero ring is four-membered.
| |||
89 | Plural ring hetero atoms in the hetero ring | ||
This subclass is indented under subclass 88. Compounds wherein the hetero ring contains at least one
ring hetero atom in addition to ring sulfur.
| |||
90 | The hetero ring is three-membered and has chalcogen or nitrogen attached directly or indirectly thereto by nonionic bonding | ||
This subclass is indented under subclass 1. Compounds wherein the hetero ring is three-membered and
contains chalcogen (i.e., oxygen, sulfur, selenium, or tellurium)
or nitrogen attached directly or indirectly thereto by nonionic
bonding.
| |||
200 | Oxygen containing hetero ring (e.g., dioxirane, etc.) | ||
This subclass is indented under subclass 1. Compounds under Class 540, ... which contain a hetero ring
having oxygen as a ring hetero atom.
| |||
201 | With preservative or stabilizer |
| This subclass is indented under subclass 200. Products which contain a compound having an oxygen containing hetero ring in admixture with a preserving or stabilizing agent whose sole function is to prevent physical or chemical change. | |
202 | Oxirane containing compound with preservative or stabilizer |
| This subclass is indented under subclass 201. Products wherein the hetero ring is oxirane, i.e., a three-member hetero ring consisting of two ring carbons and one ring oxygen. | |
203 | Cyclic anhydride containing compound with preservative or stabilizer |
| This subclass is indented under subclass 201. Products wherein the hetero ring is a cyclic anhydride, i.e., -C(=X)OC(=X)- is part of the ring, wherein the X"s are the same or diverse chalcogens (i.e., oxygen, sulfur, selenium or tellurium). | |
204 | Lactone containing compound with preservative or stabilizer |
| This subclass is indented under subclass 201. Products wherein the hetero ring is a lactone, i.e., -C(=X)0- is part of the ring, wherein X represents chalcogen (i.e., oxygen, sulfur, selenium, or tellurium). | |
205 | Compound in which the hetero ring is five-membered with preservative or stabilizer |
| This subclass is indented under subclass 201. Products wherein the hetero ring is five-membered. | |
206 | Heavy metal or aluminum containing | ||||
This subclass is indented under subclass 200. Compounds which include aluminum or a metal having a specific
gravity greater than four.
| |||||
207 | Arsenic containing | ||
This subclass is indented under subclass 206. Compounds which contain arsenic.
| |||
208 | The hetero ring has three members or at least seven members | ||
This subclass is indented under subclass 206. Compounds wherein the hetero ring contains either (1) three
members, or (2) seven or more members.
| |||
209 | The metal is bonded directly to carbon, which carbon is a ring carbon of the hetero ring or which carbon is attached directly or indirectly to the hetero ring by nonionic bonding | ||||||
This subclass is indented under subclass 206. Compounds wherein the metal is bonded directly to (1) a
ring carbon of the oxygen-containing hetero ring, or (2) a carbon
atom which additionally is attached directly or indirectly to the
oxygen-containing hetero ring by nonionic bonding.
| |||||||
210 | The metal is bonded directly to chalcogen, which chalcogen is attached directly or indirectly to the hetero ring by nonionic bonding | ||
This subclass is indented under subclass 206. Compounds wherein the metal is bonded directly to chalcogen
(i.e., oxygen, sulfur, selenium, or tellurium), which chalcogen
is attached directly or indirectly to the hetero ring by nonionic
bonding.
| |||
211 | The chalcogen, X, is part of a -C(=X)X- group, wherein the X's are the same or diverse chalcogens | ||||
This subclass is indented under subclass 210. Compounds in which the chalcogen, X, is part of a --X- group,
wherein the X"s are the same or diverse chalcogens.
| |||||
212 | Polycyclo ring system having the hetero ring as one of the cyclos | ||
This subclass is indented under subclass 206. Compounds wherein the hetero ring is a cyclo in a polycyclo
ring system.
| |||
213 | Boron containing | ||
This subclass is indented under subclass 200. Compounds which contain boron.
| |||
214 | Silicon containing | ||
This subclass is indented under subclass 200. Compounds which contain silicon.
| |||
215 | Oxirane ring containing | ||
| This subclass is indented under subclass 214. Compounds which contain a three-membered ring consisting
of one oxygen and two carbons:
| |||
216 | Phosphorus bonded directly to the hetero ring | ||
This subclass is indented under subclass 200. Compounds in which phosphorus is bonded directly to the
hetero ring.
| |||
217 | Oxirane ring containing | ||
This subclass is indented under subclass 216. Compounds which contain a three-membered ring consisting
of one oxygen and two carbons, i.e., oxirane.
| |||
218 | Phosphorus attached indirectly to the hetero ring by nonionic bonding | ||
This subclass is indented under subclass 200. Compounds in which phosphorus is attached indirectly to
the hetero ring by nonionic bonding.
| |||
219 | Oxirane ring containing | ||
This subclass is indented under subclass 218. Compounds which contain a three-membered ring consisting
of one oxygen and two carbons, i.e., oxirane.
| |||
220 | Polycyclo ring system having the hetero ring as one of the cyclos | ||
This subclass is indented under subclass 218. Compounds wherein the hetero ring is a cyclo in a polycyclo
ring system.
| |||
221 | Plural ring oxygens in the hetero ring | ||
This subclass is indented under subclass 218. Compounds in which the hetero ring contains at least two
ring oxygens.
| |||
222 | Chalcogen bonded directly to the hetero ring | ||
This subclass is indented under subclass 218. Compounds in which chalcogen (i.e., oxygen, sulfur, selenium,
or tellurium) is bonded directly to the hetero ring.
| |||
223 | Xanthene ring system having a benzene ring bonded directly thereto para to the xanthene ring oxygen, wherein the carbon of a -COO- group is bonded directly to the benzene ring ortho to its position of attachment to the xanthene ring system, and spirolactone derivatives thereof (e.g., fluoresceins, chlorofluorans, etc.) | ||
| This subclass is indented under subclass 200. Compounds having one of the following basic structures which
may contain double bonds between ring members of the tricyclo ring
system:
| |||
224 | The xanthene ring system is three cyclos of a polycyclo ring system having at least four rings (e.g., benz(c)fluorans, etc.) | ||
This subclass is indented under subclass 223. Compounds which contain the xanthene ring system as three
cyclos of a polycyclo ring system containing four or more rings.
| |||
225 | Nitrogen bonded directly to the xanthene ring system (e.g., rhodols, aminofluorans, etc.) | ||
This subclass is indented under subclass 223. Compounds in which nitrogen is bonded directly to the xanthene
ring system.
| |||
226 | Plural nitrogens bonded directly to the xanthene ring system (e.g., 2,6 diaminofluorans, etc.) | ||
This subclass is indented under subclass 225. Compounds in which at least two nitrogens are bonded directly
to the xanthene ring system.
| |||
227 | Rhodamines | ||
| This subclass is indented under subclass 226. Compounds in which nitrogens are bonded directly to the
xanthene ring system at the 2- and 7- positions according to the
following structure:
| |||
228 | The hetero ring contains -O-C(=X)-O- as part of its structure, wherein X is chalcogen (e.g., cyclic carbonates, etc.) | ||||
This subclass is indented under subclass 200. Compounds in which the hetero ring contains as part of its
structure -O-C(=X)-O-, wherein X represents chalcogen (i.e.,
oxygen, sulfur, selenium, or tellurium).
| |||||
229 | The hetero ring is five-membered | ||
This subclass is indented under subclass 228. Compounds wherein the hetero ring has five ring members.
| |||
230 | The five-membered hetero ring, except for the =X to the ring, is unsubstituted or hydrocarbyl substituted only | ||
This subclass is indented under subclass 229. Compounds in which the five-membered hetero ring, except
for the single =X to the ring, has only hydrogen or hydrocarbyl
group(s) bonded to it.
| |||
231 | Cyclic anhydrides (i.e., -C(=X)OC(=X)-, wherein the X's are the same or diverse chalcogens, is part of the hetero ring) | ||
This subclass is indented under subclass 200. Compounds wherein the hetero ring is a cyclic anhydride;
i.e., --O- is part of the ring, X"s are the same or different
chalcogens (i.e., oxygen, sulfur, selenium or tellurium).
| |||
232 | The cyclic anhydride has at least six members and is a cyclo in a polycyclo ring system | ||
This subclass is indented under subclass 231. Compounds wherein the cyclic anhydride has at least six
ring members and is one of the cyclos in a polycyclo ring system.
| |||
233 | The cyclic anhydride is five-membered (e.g., succinic anhydride, etc.) | ||
This subclass is indented under subclass 231. Compounds wherein the cyclic anhydride has five ring members.
| |||
234 | Polycyclo ring system having the cyclic anhydride as one of the cyclos | ||
This subclass is indented under subclass 233. Compounds wherein the five-membered cyclic anhydride is
one of the cyclos of a polycyclo ring system.
| |||
235 | Tetracyclo ring system having the cyclic anhydride as one of the cyclos | ||
This subclass is indented under subclass 234. Compounds wherein the polycyclo ring system consists of
exactly four rings.
| |||
236 | Tricyclo ring system having the cyclic anhydride as one of the cyclos | ||
This subclass is indented under subclass 234. Compounds wherin the polycyclo ring system consists of exactly
three rings.
| |||
237 | Two of the cyclos share at least three ring members (i.e., bridged) | ||
This subclass is indented under subclass 236. Compounds wherein at least three ring members of one cyclo
are ring members of an additional cyclo in the tricyclo ring system
(i.e., bridged).
| |||
238 | Halogen bonded directly to the tricyclo ring system | ||
This subclass is indented under subclass 237. Compounds wherein halogen is bonded directly to the bridged
tricyclo ring system.
| |||
239 | Plural ring oxygens in the tricyclo ring system | ||
This subclass is indented under subclass 236. Compounds wherein the tricyclo ring system includes at least
two ring oxygens.
| |||
240 | Bicyclo ring system having the cyclic anhydride as one of the cyclos | ||
This subclass is indented under subclass 234. Compounds wherein the polycyclo ring system consists of
exactly two rings.
| |||
241 | Plural bicyclo ring systems each having the cyclic anhydride as one of the cyclos | ||
This subclass is indented under subclass 240. Compounds wherein at least two bicyclo ring systems, each
having a cyclic anhydride as one of the cyclos, are present.
| |||
242 | Having -C(=X)-, wherein X is chalcogen, bonded directly to at least one of the bicyclo ring systems | ||
This subclass is indented under subclass 241. Compounds wherein a -- group, in which X is chalcogen (i.e.,
oxygen, sulfur, selenium or tellurium), is bonded directly to at
least one of the bicyclo ring systems that has a cyclic anhydride
as one of the cyclos.
| |||
243 | Nitrogen or additional chalcogen bonded directly to the bicyclo ring system | ||
This subclass is indented under subclass 240. Compounds wherein chalcogen (i.e., oxygen, sulfur, selenium,
or tellurium) or nitrogen is bonded directly to the bicyclo ring
system.
| |||
244 | Having -C(=X)-, wherein X is chalcogen, bonded directly to the bicyclo ring system | ||
This subclass is indented under subclass 240. Compounds wherein a -- group, in which X is chalcogen (i.e.,
oxygen, sulfur, selenium or tellurium), is bonded directly to the
bicyclo ring system.
| |||
245 | The -C(=X)- is part of a -C(=X)XH group, wherein the X's are the same or diverse chalcogens, or salt thereof (e.g., trimellitic anhydride, etc.) | ||
This subclass is indented under subclass 244. Compounds in which the -- is part of a --XH group, wherein
the X"s are the same or diverse chalcogens (i.e., oxygen,
sulfur, selenium or tellurium); and wherein H of -XH may be replaced
by a substituted or unsubstituted ammonium ion or a Group IA or
IIA light metal.
| |||
246 | Halogen bonded directly to the bicyclo ring system | ||
This subclass is indented under subclass 240. Compounds wherein halogen is bonded directly to the bicyclo
ring system.
| |||
247 | Phthalic anhydride per se |
| This subclass is indented under subclass 240. The compound which has the following structural formula:
| |
248 | Preparing by oxidation | ||
This subclass is indented under subclass 247. Processes for the preparation of phthalic anhydride, per
se, by an oxidation reaction.
| |||
249 | Fluidized catalyst |
| This subclass is indented under subclass 248. Processes wherein a catalyst, which is fluidized by passing gaseous reactants through it, is employed. | |
250 | Purification or recovery |
| This subclass is indented under subclass 247. Processes wherein the phthalic anhydride is separated from impurities or from the reaction medium. | |
251 | By chemical reaction of impurity in presence of added chemical substance |
| This subclass is indented under subclass 250. Processes which include the step of subjecting impurities contaminating phathalic anhydride to chemical reaction. | |
252 | Plural hetero rings | ||
This subclass is indented under subclass 233. Compounds which contain the cyclic anhydride and at least
one additional hetero ring which may also be a cyclic anhydride
ring.
| |||
253 | Nitrogen or additional chalcogen attached directly or indirectly to the cyclic anhydride by nonionic bonding | ||
This subclass is indented under subclass 233. Compounds wherein nitrogen or additional chalcogen (i.e.,
oxygen, sulfur, selenium or tellurium) is attached directly or indirectly
to the cyclic anhydride by nonionic bonding.
| |||
254 | Halogen attached directly or indirectly to the cyclic anhydride by nonionic bonding | ||
This subclass is indented under subclass 233. Compounds wherein halogen is attached directly or indirectly
to the cyclic anhydride by nonionic bonding.
| |||
255 | Acyclic carbon chain containing carbon to carbon unsaturation bonded directly to the cyclic anhydride | ||
This subclass is indented under subclass 233. Compounds wherein an acyclic carbon chain that contains
an olefinic or acetylenic linkage is bonded directly to the cyclic
anhydride ring.
| |||
256 | Preparing by oxidation | ||
This subclass is indented under subclass 233. Processes wherein a five-membered cyclic anhydride is prepared
by an oxidation reaction.
| |||
257 | Of benzene or hydrocarbyl substituted benzene | ||
This subclass is indented under subclass 256. Processes wherein the oxidation reaction is performed on
benzene or on a hydrocarbon that contains the benzene ring.
| |||
258 | Of acyclic or alicyclic hydrocarbon | ||
This subclass is indented under subclass 256. Processes wherein the oxidation reaction is performed on
an acyclic or alicyclic hydrocarbon.
| |||
259 | Vanadium and phosphorus, in compound or elemental form, utilized | ||
This subclass is indented under subclass 258. Processes wherein vanadium and phosphorus, in compound or
elemental form, are utilized.
| |||
260 | Additional heavy metal, other than titanium, utilized | ||
This subclass is indented under subclass 259. Processes wherein, in addition to vanadium and phosphorous,
a further heavy metal, other than titanium, is utilized.
| |||
261 | Double bond between ring members of the cyclic anhydride | ||
This subclass is indented under subclass 233. Compounds wherein the five-membered cyclic anhydride has
a double bond between two of its ring members.
| |||
262 | Maleic anhydride per se | ||
| This subclass is indented under subclass 261. The compound which has the following structural formula:
| |||
263 | Lactones (i.e., -C(=X)O-, wherein X is chalcogen, is part of the hetero ring) | ||
This subclass is indented under subclass 200. Compounds wherein the hetero ring is a lactone, i.e., a
cyclic inner ester, wherein --O- is part of the ring, X is chalcogen
(i.e., oxygen, sulfur, selenium or tellurium).
| |||
264 | Spiro | ||
This subclass is indented under subclass 263. Compounds which contain a spiro ring system.
| |||
265 | The spiro includes the lactone ring | ||
This subclass is indented under subclass 264. Compounds wherein at least one of the rings included in
the spiro ring system is a lactone ring.
| |||
266 | The lactone ring has at least seven members | ||
This subclass is indented under subclass 263. Compounds in which the lactone ring has seven or more ring
members.
| |||
267 | Plural ring oxygens in the lactone ring | ||
This subclass is indented under subclass 266. Compounds in which the lactone ring contains two or more
ring oxygens.
| |||
268 | Polycyclo ring system having the lactone ring as one of the cyclos | ||
This subclass is indented under subclass 266. Compounds wherein the lactone ring having at least seven
members is a cyclo in a polycyclo ring system.
| |||
269 | Bicyclo ring system having the lactone ring as one of the cyclos | ||
This subclass is indented under subclass 268. Compounds wherein the polycyclo ring system consists of
exactly two rings.
| |||
270 | Additional acyclic chalcogen bonded directly to the lactone ring (e.g., zearalanone, etc.) | ||||
This subclass is indented under subclass 269. Compounds wherein an additional acyclic chalcogen (i.e.,
oxygen, sulfur, selenium, or tellurium) is bonded directly to the
lactone ring.
| |||||
271 | Additional chalcogen attached directly or indirectly to the lactone ring by nonionic bonding | ||||
This subclass is indented under subclass 266. Compounds wherein an additional chalcogen (i.e., oxygen,
sulfur, selenium, or tellurium) is attached directly or indirectly
to the lactone ring by nonionic bonding.
| |||||
272 | Preparing from a cyclic ketone (i.e., a ketone where the carbonyl is part of a ring) | ||
This subclass is indented under subclass 266. Processes wherein the compound containing the lactone ring
of seven or more members is prepared from a cyclic ketone, i.e.,
a ketone wherein the carbonyl is part of a ring.
| |||
273 | The lactone ring is six-membered |
| This subclass is indented under subclass 263. Compounds in which the lactone has six ring members, having
the following basic structure, which may contain double bonds between
ring members.
| |
274 | Plural ring oxygens in the lactone ring | ||
This subclass is indented under subclass 273. Compounds in which the lactone ring contains two or more
ring oxygens.
| |||
275 | Polycyclo ring system having the lactone ring as one of the cyclos | ||
This subclass is indented under subclass 273. Compounds wherein the six-membered lactone ring is one of
the cyclos in a polycyclo ring system.
| |||
276 | Tetracyclo ring system having the lactone ring as one of the cyclos |
| This subclass is indented under subclass 275. Compounds wherein the polycyclo ring system consists of exactly four rings. | |
277 | The tetracyclo ring system consists of four six-membered cyclos | ||
This subclass is indented under subclass 276. Compounds wherein the tetracyclo ring system consists of
four six-membered rings.
| |||
278 | At least two additional chalcogens bonded directly to the tetracyclo ring system | ||
This subclass is indented under subclass 277. Compounds in which two or more additional chalcogens (i.e.,
oxygen, sulfur, selenium, or tellurium) are bonded directly to the
tetracyclo ring system.
| |||
279 | Ring oxygen bonded directly to ring carbon which is a member of two cyclos in the tetracyclo ring system | ||
This subclass is indented under subclass 276. Compounds wherein the tetracyclo ring system contains a
ring oxygen bonded directly to a ring carbon, which carbon is a
member of two of the cyclos in the tetracyclo ring system.
| |||
280 | Tricyclo ring system having the lactone ring as one of the cyclos | ||
This subclass is indented under subclass 275. Compounds wherein the polycyclo ring system consists of
exactly three rings.
| |||
281 | Two of the cyclos share at least three ring members or ring carbon is shared by the three cyclos (e.g., bridged or peri compounds, etc.) | ||||
This subclass is indented under subclass 280. Compounds wherein (1) at least three ring members of one
cyclo are ring members of an additional cyclo in the tricyclo ring
system, or (2) a ring carbon is a member of each of the cyclos of
the tricyclo ring system.
| |||||
282 | Plural ring oxygens in the tricyclo ring system | ||
This subclass is indented under subclass 280. Compounds wherein the tricyclo ring system contains at least
one ring oxygen in addition to the ring oxygen of the six-membered
hetero ring.
| |||
283 | Bicyclo ring system having the lactone ring as one of the cyclos | ||
This subclass is indented under subclass 275. Compounds wherein the polycyclo ring system consists of
exactly two rings.
| |||
284 | Plural bicyclo ring systems each having the lactone ring as one of the cyclos | ||
This subclass is indented under subclass 283. Compounds which contain at least two bicyclo ring systems
each of which contains a six-membered lactone as one of its cyclos.
| |||
285 | Additional acyclic chalcogen bonded directly to the lactone ring | ||||
This subclass is indented under subclass 283. Compounds wherein an additional acyclic chalcogen is bonded
directly to the six-membered lactone ring.
| |||||
286 | Benzene ring and the lactone ring bonded directly to the same acyclic carbon | ||
This subclass is indented under subclass 285. Compounds wherein a benzene ring and the six-membered lactone
ring are both bonded directly to the same acyclic carbon.
| |||
287 | Acyclic -C(=X)-, wherein X is chalcogen, bonded directly to the lactone ring | ||
This subclass is indented under subclass 283. Compounds in which an acyclic -- group, wherein X is chalcogen
(i.e., oxygen, sulfur, selenium or tellurium), is bonded directly
to the lactone ring.
| |||
288 | Nitrogen bonded directly to the bicyclo ring system | ||
This subclass is indented under subclass 283. Compounds in which nitrogen is bonded directly to the bicyclo
ring system.
| |||
289 | The other cyclo of the bicyclo ring system is a six-membered carbocyclic ring to which chalcogen is directly attached | ||
This subclass is indented under subclass 283. Compounds wherein the other cyclo of the bicyclo ring system
is a six-membered carbocyclic ring which has chalcogen (i.e., oxygen,
sulfur, selenium, or tellurium) bonded directly to it.
| |||
290 | The bicyclo lactone consists of two six-membered rings and is unsubstituted or hydrocarbyl substituted only | ||
This subclass is indented under subclass 283. Compounds in which the bicyclo ring system consists of the
six-membered lactone and an additional six-membered ring; said bycyclic lactone
is either unsubstituted or substituted by hydrocarbon groups only.
| |||
291 | Acyclic -C(=X)-, wherein X is chalcogen, bonded directly to the lactone ring | ||
This subclass is indented under subclass 273. Compounds in which an acyclic -- group, wherein X is chalcogen
(i.e., oxygen, sulfur, selenium or tellurium), is bonded directly
to the lactone ring.
| |||
292 | Additional chalcogen bonded directly to the lactone ring | ||||
This subclass is indented under subclass 273. Compounds wherein an additional chalcogen (i.e., oxygen,
sulfur, selenium, or tellurium) is bonded directly to the lactone
ring.
| |||||
293 | Nitrogen attached directly or indirectly to the lactone ring by nonionic bonding | ||
This subclass is indented under subclass 273. Compounds in which nitrogen is attached directly or indirectly
to lactone ring by nonionic bonding.
| |||
294 | Double bond between ring members of the lactone ring | ||
This subclass is indented under subclass 273. Compounds in which there is at least one double bond between
ring members of the lactone ring.
| |||
295 | The lactone ring is five-membered | ||
This subclass is indented under subclass 263. Compounds wherein the lactone has five members.
| |||
296 | Plural ring oxygens in the lactone ring | ||
This subclass is indented under subclass 295. Compounds wherein the five-membered lactone ring contains
at least two ring oxygens.
| |||
297 | Polycyclo ring system having the lactone ring as one of the cyclos | ||
This subclass is indented under subclass 295. Compounds wherein the five-membered lactone is one of the
cyclos of a polycyclo ring system.
| |||
298 | Tetracyclo ring system having the lactone ring as one of the cyclos | ||
This subclass is indented under subclass 297. Compounds wherein the polycyclo ring system consists of
exactly four rings.
| |||
299 | Tricyclo ring system having the lactone ring as one of the cyclos | ||
This subclass is indented under subclass 297. Compounds wherein the polycyclo ring system consists of
exactly three cyclos.
| |||
300 | Two of the cyclos share at least three ring members or ring carbon is shared by the three cyclos (e.g., bridged or peri compounds, etc.) | ||
This subclass is indented under subclass 299. Compounds wherein (1) at least three ring members of one
cyclo are ring members of an additional cyclo in the tricyclo ring
system, or (2) one ring carbon is a member of each of the cyclos
of the tricyclo ring system.
| |||
301 | The tricyclo ring system consists of the lactone ring, a five-membered carbocyclic ring, and a three-membered carbocyclic ring | ||
This subclass is indented under subclass 299. Compounds wherein the tricyclo ring system consists of the
five-membered lactone ring, a five-membered carbocyclic ring and
a three-membered carbocyclic ring.
| |||
302 | Bicyclo ring system having the lactone ring as one of the cyclos | ||
This subclass is indented under subclass 297. Compounds wherein the polycyclo ring system consists of
exactly two rings.
| |||
303 | Nitrogen bonded directly to the lactone ring | ||
This subclass is indented under subclass 302. Compounds wherein nitrogen is bonded directly to the lactone
ring of the bicyclo ring system.
| |||
304 | Nitrogen attached indirectly to the lactone ring by acyclic nonionic bonding | ||
This subclass is indented under subclass 302. Compounds wherein nitrogen is attached indirectly to the
lactone ring of the bicyclo ring system by acyclic nonionic bonding.
| |||
305 | Chalcogen attached indirectly to the lactone ring by acyclic nonionic bonding | ||
This subclass is indented under subclass 302. Compounds wherein chalcogen (i.e., oxygen, sulfur, selenium,
or tellurium) is attached indirectly to the lactone ring of the
bicyclo ring system by acyclic nonionic bonding.
| |||
306 | Plural ring oxygens in the bicyclo ring system | ||
This subclass is indented under subclass 302. Compounds wherein the bicyclo ring system contains at least
two ring oxygens.
| |||
307 | The other cyclo of the bicyclo ring system is benzene (e.g., phthalides, etc.) | ||
This subclass is indented under subclass 302. Compounds wherein the bicyclo ring system consists of the
five-membered lactone ring and a benzene ring.
| |||
308 | Two carbocyclic rings bonded directly to the same ring atom of the lactone ring | ||
This subclass is indented under subclass 307. Compounds wherein two carbocyclic rings are bonded directly
to the same ring atom of the lactone ring of the bicyclo ring system.
| |||
309 | Nitrogen bonded directly to each of the carbocyclic rings | ||
This subclass is indented under subclass 308. Compounds wherein nitrogen is bonded directly to each of
the carbocyclic rings.
| |||
310 | Additional chalcogen bonded directly to the bicyclo ring system | ||||
This subclass is indented under subclass 307. Compounds wherein an additional chalcogen (i.e., oxygen,
sulfur, selenium, or tellurium) is bonded directly to the bicyclo
ring system.
| |||||
311 | The bicyclo ring system consists of two five-membered rings | ||
This subclass is indented under subclass 302. Compounds wherein the bicyclo ring system consists of the
five-membered lactone ring and another five-membered ring.
| |||
312 | Acyclic carbon chain containing carbon to carbon unsaturation attached directly or indirectly to the lactone ring by nonionic bonding | ||
This subclass is indented under subclass 311. Compounds wherein an acyclic carbon chain containing carbon
to carbon unsaturation is attached directly or indirectly to the
lactone ring by nonionic bonding.
| |||
313 | Additional chalcogen bonded directly to the lactone ring | ||||
This subclass is indented under subclass 295. Compounds wherein an additional chalcogen (i.e., oxygen,
sulfur, selenium, or tellurium) is bonded directly to the lactone
ring.
| |||||
314 | At least two additional chalcogens bonded directly to the lactone ring | ||||
This subclass is indented under subclass 313. Compounds wherein two or more additional chalcogens (i.e.,
oxygen, sulfur, selenium, or tellurium) are bonded directly to the
lactone ring.
| |||||
315 | Double bond between ring members of the lactone ring or chalcogen double bonded directly at the 3- or 4-position of the lactone ring (e.g., ascorbic acid, etc.) | ||||
This subclass is indented under subclass 314. Compounds wherein there is a double bond between ring members
of the lactone ring, or chalcogen (i,e., oxygen, sulfur, selenium,
or tellurium) is double bonded directly at the 3- or 4- position
of the lactone ring.
| |||||
316 | Amine addition salts | ||
This subclass is indented under subclass 315. Compounds which are amine addition salts.
| |||
317 | Sulfur or -C(=X)-, wherein X is chalcogen, bonded directly to acyclic chalcogen | ||
This subclass is indented under subclass 315. Compounds in which sulfur or a -- group, wherein X is chalcogen
(i.e., oxygen, sulfur, selenium or tellurium), is bonded directly
to a cyclic chalcogen.
| |||
318 | Acyclic -C(=X)-, wherein X is chalcogen, attached directly or indirectly to the lactone ring by nonionic bonding | ||
This subclass is indented under subclass 313. Compounds wherein an acyclic -- group, in which X is chalcogen
(i.e., oxygen, sulfur, selenium, or tellurium), is attached directly
or indirectly to the lactone ring by nonionic bonding.
| |||
319 | Plural alkyl groups bonded directly to the same ring carbon of the lactone ring (e.g., pantolactone, etc.) | ||
This subclass is indented under subclass 313. Compounds wherein plural alkyl groups are bonded directly
to the same ring carbon of the lactone ring.
| |||
320 | Plural hetero rings | ||
This subclass is indented under subclass 295. Compounds which contain the five-membered lactone ring and
at least one additional hetero ring, which may also be a five-membered
lactone ring.
| |||
321 | Nitrogen attached directly or indirectly to the lactone ring by acyclic nonionic bonding | ||
This subclass is indented under subclass 295. Compounds wherein nitrogen is attached directly or indirectly
to the lactone ring by nonionic bonding.
| |||
322 | Having -C(=X), wherein X is chalcogen, bonded directly to the lactone ring | ||
This subclass is indented under subclass 295. Compounds wherein a -- group, in which X is chalcogen (i.e.,
oxygen, sulfur, selenium, or tellurium), is bonded directly to the
lactone ring.
| |||
323 | Chalcogen attached indirectly to the lactone ring by nonionic bonding | ||
This subclass is indented under subclass 295. Compounds wherein chalcogen (i.e., oxygen, sulfur, selenium,
or tellurium) is attached indirectly to the lactone ring by nonionic
bonding.
| |||
324 | Halogen attached directly or indirectly to the lactone ring by nonionic bonding | ||
This subclass is indented under subclass 295. Compounds wherein halogen is attached directly or indirectly
to the lactone ring by nonionic bonding.
| |||
325 | Preparing by hydrogenation of cyclic anhydrides | ||
This subclass is indented under subclass 295. Processes wherein the lactone ring is prepared by hydrogenation
of a cyclic anhydride.
| |||
326 | Preparing from compound containing -COO- group | ||||
This subclass is indented under subclass 295. Processes wherein the lactone ring is prepared from a compound
containing the --O- group.
| |||||
327 | Acyclic carbon double bonded directly to a ring carbon of a four-membered lactone ring | ||
This subclass is indented under subclass 263. Compounds in which acyclic carbon is double bonded directly
to a ring carbon of a four-membered lactone ring.
| |||
328 | Four-membered lactone ring formed | ||
This subclass is indented under subclass 263. Processes whereby a four-membered lactone ring is formed.
| |||
329 | From a ketene (HCH=C=O, wherein H may be substituted) | ||||
This subclass is indented under subclass 328. Processes whereby the four-membered lactone ring is formed
from a ketene.
| |||||
330 | Spiro | ||
This subclass is indented under subclass 200. Compounds which contain a spiro ring system.
| |||
331 | The spiro includes a hetero ring | ||
This subclass is indented under subclass 330. Compounds wherein at least one of the rings in the spiro
ring system is an oxygen containing hetero ring.
| |||
332 | The spiro includes a three- or four-membered hetero ring | ||
This subclass is indented under subclass 331. Compounds wherein at least one of the rings in the spiro
ring system is a three- or four-membered oxygen containing hetero
ring.
| |||
333 | Plural ring oxygens in a spiro hetero ring | ||
This subclass is indented under subclass 331. Compounds wherein at least one of the rings in the spiro
ring system contains two or more ring oxygens.
| |||
334 | Both rings which form the spiro are hetero rings | ||
This subclass is indented under subclass 333. Compounds wherein both of the rings in the spiro ring system
are oxygen containing hetero rings.
| |||
335 | Two six-membered hetero rings, which each contain plural ring oxygens, form the spiro (e.g., spirobi-(meta-dioxane), etc.) | ||
This subclass is indented under subclass 334. Compounds wherein both of the hetero rings in the spiro
ring system are six-membered rings, each containing at least two
ring oxygens.
| |||
336 | Polycyclo ring system having one of the two rings which form the spiro as one of the cyclos | ||
This subclass is indented under subclass 333. Compounds wherein one of the two rings which form the spiro
ring system is additionally one of the cyclos of a polycyclo ring
system.
| |||
337 | Additional hetero ring containing | ||
This subclass is indented under subclass 336. Compounds which contain an additional oxygen containing
hetero ring.
| |||
338 | Plural five-membered hetero rings | ||
This subclass is indented under subclass 337. Compounds which contain at least two five-membered oxygen
containing hetero rings.
| |||
339 | Spiro ring is a cyclo in a tricyclo-carbocyclic ring system | ||
This subclass is indented under subclass 336. Compounds wherein one of the two rings which form the spiro
ring system is additionally one of the cyclos of a tricyclo-carbocyclic ring
system.
| |||
340 | Acyclic -C(=X)-, wherein X is chalcogen, containing | ||
This subclass is indented under subclass 339. Compounds which contain an acyclic -- group, wherein X is
chalcogen (i.e., oxygen, sulfur, selenium or tellurium).
| |||
341 | The spiro hetero ring is five-membered | ||
This subclass is indented under subclass 333. Compounds in which the spiro hetero ring is a five-membered
ring.
| |||
342 | Acyclic -C(=X)-, wherein X is chalcogen, containing | ||
This subclass is indented under subclass 341. Compounds which contain an acyclic -- group, wherein X is
chalcogen (i.e., oxygen, sulfur, selenium or tellurium).
| |||
343 | Both rings which form the spiro are hetero rings | ||
This subclass is indented under subclass 331. Compounds wherein both rings in the spiro ring system are
oxygen containing hetero rings.
| |||
344 | Polycyclo ring system having one of the two hetero rings which form the spiro as one of the cyclos | ||
This subclass is indented under subclass 343. Compounds wherein one of the two oxygen containing hetero
rings in the spiro ring system is additionally one of the cyclos
of a polycyclo ring system.
| |||
345 | Bicyclo ring system having the spiro hetero ring as one of the cyclos (e.g., griseofulvin, etc.) | ||
This subclass is indented under subclass 331. Compounds in which the spiro hetero ring is one of the cyclos
in a bicyclo ring system.
| |||
346 | The hetero ring has at least seven members | ||
This subclass is indented under subclass 200. Compounds in which the oxygen containing hetero ring has
seven or more ring members.
| |||
347 | Plural ring oxygens in the hetero ring | ||
This subclass is indented under subclass 346. Compounds in which the hetero ring contains at least two
ring oxygens.
| |||
348 | Polycyclo ring system having the hetero ring as one of the cyclos |
| This subclass is indented under subclass 347. Compounds in which the hetero ring is one of the cyclos in a polycyclo ring system. | |
349 | Tricyclo ring system having the hetero ring as one of the cyclos | ||
This subclass is indented under subclass 348. Compounds in which the polycyclo ring system consists of
exactly three cyclos.
| |||
350 | Bicyclo ring system having the hetero ring as one of the cyclos | ||
This subclass is indented under subclass 348. Compounds in which the polycyclo ring system consists of
exactly two cyclos.
| |||
351 | Three or more ring oxygens in the bicyclo ring system | ||
This subclass is indented under subclass 350. Compounds wherein the bicyclo ring system contains at least
three ring oxygens.
| |||
352 | Three or more ring oxygens in the hetero ring | ||
This subclass is indented under subclass 347. Compounds in which the hetero ring contains at least three
ring oxygens.
| |||
353 | Exactly four oxygens in the hetero ring | ||
This subclass is indented under subclass 352. Compounds in which the hetero ring contains exactly four
oxygens.
| |||
354 | Polycyclo ring system having the hetero ring as one of the cyclos | ||
This subclass is indented under subclass 346. Compounds in which the hetero ring is one of the cyclos
of a polycyclo ring system.
| |||
355 | Bicyclo ring system having the hetero ring as one of the cyclos | ||
This subclass is indented under subclass 354. Compounds wherein the polycyclo ring system consists of
exactly two rings.
| |||
356 | The hetero ring is six-membered | ||
This subclass is indented under subclass 200. Compounds in which the oxygen containing hetero ring has
six ring members.
| |||
357 | Plural ring oxygens in the hetero ring (e.g., 1,2-dioxin, etc.) | ||
This subclass is indented under subclass 356. Compounds in which the hetero ring contains at least two
ring oxygens.
| |||
358 | Polycyclo ring system having the hetero ring as one of the cyclos | ||
This subclass is indented under subclass 357. Compounds wherein the hetero ring is one of the cyclos in
a polycyclo ring system.
| |||
359 | Tricyclo ring system having the hetero ring as one of the cyclos | ||
This subclass is indented under subclass 358. Compounds in which the polycyclo ring system consists of
exactly three rings.
| |||
360 | Two of the cyclos share at least three ring members (i.e., bridged) | ||
This subclass is indented under subclass 359. Compounds wherein at least three ring members of one cyclo
are ring members of an additional cyclo in the tricyclo ring system
(i.e., bridged).
| |||
361 | Three or more ring oxygens in the tricyclo ring system (e.g., actinospectacin, etc.) | ||
This subclass is indented under subclass 359. Compounds wherein the tricyclo ring system contains at least
three ring oxygens.
| |||
362 | Bicyclo ring system having the hetero ring as one of the cyclos | ||
This subclass is indented under subclass 358. Compounds in which the polycyclo ring system consists of
exactly two rings.
| |||
363 | The two cyclos share at least three ring members (i.e., bridged) | ||
This subclass is indented under subclass 362. Compounds wherein at least three ring members of one cyclo
are ring members of the other cyclo in the bicyclo ring system (i.e.,
bridged).
| |||
364 | Three or more ring oxygens in the bicyclo ring system | ||
This subclass is indented under subclass 362. Compounds wherein the bicyclo ring system contains at least
three ring oxygens.
| |||
365 | The ring oxygens are in the 1,2- or 1,3-positions of the hetero ring | ||
This subclass is indented under subclass 362. Compounds in which the hetero ring consists of two ring
oxygens and four ring carbons wherein the ring oxygens are in the
1,2-positions or 1,3-positions of the hetero ring.
| |||
366 | Nitrogen attached indirectly to the hetero ring by acyclic nonionic bonding | ||
This subclass is indented under subclass 362. Compounds in which nitrogen is attached indirectly to the
hetero ring by acyclic nonionic bonding.
| |||
367 | Three or more ring oxygens in the hetero ring | ||
This subclass is indented under subclass 357. Compounds in which the hetero ring contains at least three
ring oxygens.
| |||
368 | Trioxane per se | ||
| This subclass is indented under subclass 367. The compound which has the following structure:
| |||
369 | The ring oxygens are in the 1,3-positions of the hetero ring (e.g., 1,3 dioxane, etc.) | ||
This subclass is indented under subclass 357. Compounds in which the hetero ring consists of two ring
oxygens and four ring carbons wherein the ring oxygens are in the
1,3-positions of the hetero ring.
| |||
370 | Plural hetero rings | ||
This subclass is indented under subclass 369. Compounds which contain an additional oxygen containing
hetero ring.
| |||
371 | Nitrogen bonded directly to the hetero ring | ||
This subclass is indented under subclass 369. Compounds in which nitrogen is bonded directly to the hetero
ring.
| |||
372 | Chalcogen or -C(=X), wherein X is chalcogen, bonded directly to the hetero ring | ||
This subclass is indented under subclass 369. Compounds in which chalcogen (i.e., sulfur selenium, or
tellurium) or a -- group, wherein X is chalcogen, is bonded directly
to the hetero ring.
| |||
373 | Nitrogen attached indirectly to the hetero ring by nonionic bonding | ||
This subclass is indented under subclass 369. Compounds in which nitrogen is attached indirectly to the
hetero ring by nonionic bonding.
| |||
374 | Chalcogen attached indirectly to the hetero ring by nonionic bonding | ||
This subclass is indented under subclass 369. Compounds in which chalcogen (i.e., oxygen, sulfur, selenium,
or tellurium) is attached indirectly to the hetero ring by nonionic
bonding.
| |||
375 | The chalcogen, X, is in a -C(=X)- group | ||
This subclass is indented under subclass 374. Compounds wherein the chalcogen, X, is in a -C- group.
| |||
376 | Preparing by reacting an aldehyde with a compound containing acyclic carbon to carbon unsaturation | ||
This subclass is indented under subclass 369. Processes in which an aldehyde is reacted with a compound
containing acyclic carbon to carbon unsaturation to prepare a 1,3-dioxane
compound.
| |||
377 | The ring oxygens are in the 1,4-positions of the hetero ring (e.g., 1,4 dioxane, etc.) | ||
This subclass is indented under subclass 357. Compounds in which the hetero ring consists of two ring
oxygens and four ring carbons wherein the ring oxygens are in the
1,4-positions of the hetero ring.
| |||
378 | Chalcogen attached directly or indirectly to the hetero ring by nonionic bonding | ||
This subclass is indented under subclass 377. Compounds in which chalcogen (i.e., oxygen, sulfur, selenium,
or tellurium) is attached directly or indirectly to the hetero ring
by nonionic bonding.
| |||
379 | Plural chalcogens bonded directly to the hetero ring | ||
This subclass is indented under subclass 378. Compounds in which at least two chalcogens (i.e., oxygen,
sulfur, selenium, or tellurium) are bonded directly to the hetero
ring.
| |||
380 | Halogen attached directly or indirectly to the hetero ring by nonionic bonding | ||
This subclass is indented under subclass 377. Compounds in which halogen is attached directly or indirectly
to the hetero ring by nonionic bonding.
| |||
381 | Polycyclo ring system having the hetero ring as one of the cyclos | ||
This subclass is indented under subclass 356. Compounds in which the hetero ring is one of the cyclos
in a polycyclo ring system.
| |||
382 | Pentacyclo ring system having the hetero ring as one of the cyclos | ||
This subclass is indented under subclass 381. Compounds wherein the polycyclo ring system consists of
exactly five rings.
| |||
383 | Tetracyclo ring system having the hetero ring as one of the cyclos | ||
This subclass is indented under subclass 381. Compounds wherein the polycyclo ring system consists of
exactly four rings.
| |||
384 | The tetracyclo ring system consists of four six-membered cyclos | ||
This subclass is indented under subclass 383. Compounds wherein the four rings of the tetracyclo ring
system are each six membered.
| |||
385 | Tricyclo ring system having the hetero ring as one of the cyclos | ||
This subclass is indented under subclass 381. Compounds wherein the polycyclo ring system consists of
exactly three rings.
| |||
386 | Two of the cyclos share at least three ring members or ring carbon is shared by the three cyclos (e.g., bridged or peri compounds, etc.) | ||
This subclass is indented under subclass 385. Compounds wherein (1) at least three ring members of one
cyclo are ring members of an additional cyclo in the tricyclo ring
system, or (2) a ring carbon is a member of each of the cyclos of
the tricyclo ring system.
| |||
387 | Plural ring oxygens in the tricyclo ring system | ||
This subclass is indented under subclass 385. Compounds wherein the tricyclo ring system includes at least
one ring oxygen in addition to the ring oxygen of the six-membered
hetero ring.
| |||
388 | The tricyclo ring system consists of three six-membered cyclos (e.g., xanthene, etc.) | ||
This subclass is indented under subclass 385. Compounds wherein the three rings of the tricyclo ring system
are each six-membered.
| |||
389 | Naphtho-pyrans (including hydrogenated) | ||
This subclass is indented under subclass 388. Compounds wherein the tricyclo ring system consists of a
naphthalene ring system, which may be hydrogenated, sharing two
adjacent carbons with the six-membered hetero ring.
| |||
390 | Dibenzo(b,d)pyrans (including hydrogenated) | ||
This subclass is indented under subclass 388. Compounds wherein the tricyclo ring system has the following
basic structure which may contain double bonds between ring members.
| |||
391 | Plural chalcogens bonded directly to the tricyclo ring system | ||
This subclass is indented under subclass 390. Compounds in which at least two chalcogens are bonded directly
to the tricyclo ring system.
| |||
392 | Chalcogen bonded directly to the hetero ring | ||
This subclass is indented under subclass 388. Compounds wherein chalcogen (i.e., oxygen, sulfur, selenium,
or tellurium) is bonded directly to the hetero ring of the tricyclo
ring system.
| |||
393 | Having -C(=X)-, wherein X is chalcogen, bonded directly to the tricyclo ring system | ||
This subclass is indented under subclass 392. Compounds in which a -- group, wherein X is chalcogen (i.e.,
oxygen, sulfur, selenium or tellurium), is bonded directly to the
tricyclo ring system.
| |||
394 | Nitrogen bonded directly to the tricyclo ring system | ||
This subclass is indented under subclass 388. Compounds in which nitrogen is bonded directly to the tricyclo
ring system.
| |||
395 | Acyclic chalcogen bonded directly to the hetero ring | ||
This subclass is indented under subclass 385. Compounds in which acyclic chalcogen (i.e., oxygen, sulfur,
selenium, or tellurium) is bonded directly to the hetero ring of
the tricyclo ring system.
| |||
396 | Bicyclo ring system having the hetero ring as one of the cyclos | ||
This subclass is indented under subclass 381. Compounds wherein the polycyclo ring system consists of
exactly two rings.
| |||
397 | The two cyclos share at least three ring members (i.e., bridged) | ||
This subclass is indented under subclass 396. Compounds wherein at least three ring members of one cyclo
are ring members of the other cyclo in the bicyclo ring system (i.e.,
bridged).
| |||
398 | The bicyclo ring system consists of the hetero ring and a six-membered carbocyclic ring | ||
This subclass is indented under subclass 396. Compound in which the bicyclo ring system consists of the
six-membered hetero ring and a six-member carbocyclic ring.
| |||
399 | Chalcogen bonded directly to the hetero ring | ||
This subclass is indented under subclass 398. Compounds wherein chalcogen (i.e., oxygen, sulfur, selenium,
or tellurium) is bonded directly to the hetero ring of the bicyclo
ring system.
| |||
400 | Plural chalcogens bonded directly to the hetero ring | ||
This subclass is indented under subclass 399. Compounds wherein at least two chalcogens are bonded directly
to the hetero ring.
| |||
401 | Chalcogen bonded directly to the ring carbon para to the ring oxygen (e.g., chromones, etc.) | ||
This subclass is indented under subclass 399. Compounds in which chalcogen (i.e., oxygen, sulfur, selenium,
or tellurium) is bonded directly to the ring carbon in the position
which is para to the ring oxygen.
| |||
402 | Having -C(=X)-, wherein X is chalcogen, bonded directly to the hetero ring | ||
This subclass is indented under subclass 401. Compounds in which a -- group, wherein X is chalcogen (i.e.,
oxygen, sulfur, selenium or tellurium), is bonded directly to the
hetero ring.
| |||
403 | Benzene ring bonded directly to the hetero ring (e.g., flavones, etc.) | ||
This subclass is indented under subclass 401. Compounds in which a benzene ring is bonded directly to
the hetero ring.
| |||
404 | Nitrogen bonded directly to the bicyclo ring system | ||
This subclass is indented under subclass 398. Compounds in which nitrogen is bonded directly to the bicyclo
ring system.
| |||
405 | Having -C(=X)-, wherein X is chalcogen, bonded directly to the bicyclo ring system | ||
This subclass is indented under subclass 398. Compounds in which a -- group, wherein X is chalcogen (i.e.,
oxygen, sulfur, selenium or tellurium), is bonded directly to the
bicyclo ring system.
| |||
406 | Carbocyclic ring bonded directly to the hetero ring of the bicyclo ring system (e.g., flavanes, etc.) | ||
This subclass is indented under subclass 398. Compounds in which a carbocyclic ring is bonded directly
to the hetero ring of the bicyclo ring system.
| |||
407 | Chalcogen or nitrogen attached indirectly to the hetero ring by acyclic nonionic bonding | ||
This subclass is indented under subclass 398. Compounds in which chalcogen (i.e., oxygen, sulfur, selenium,
or tellurium) or nitrogen is attached indirectly to the hetero ring
by acyclic nonionic bonding.
| |||
408 | Chalcogen bonded directly to the carbocyclic ring of the bicyclo ring system (e.g., tocopherols, etc.) | ||
This subclass is indented under subclass 398. Compounds in which chalcogen (i.e., oxygen, sulfur, selenium,
or tellurium) is bonded directly to the carbocyclic ring of the
bicyclo ring system.
| |||
409 | Chalcogen double bonded or plural chalcogens bonded directly to the carbocyclic ring (e.g., coenzyme Q, etc.) | ||
This subclass is indented under subclass 408. Compounds in which chalcogen is double bonded or at least
two chalcogens are bonded directly to the carbocyclic ring.
| |||
410 | Chalcogen of a -C(=X)X- group, wherein the X's are the same or diverse chalcogens, bonded directly to the carbocyclic ring of the bicyclo ring system (e.g., tocopherol esters, etc.) | ||
This subclass is indented under subclass 408. Compound wherein the singly bonded chalogen of a --X-group,
in which the X"s are the same or diverse chalcogens (i.e.,
oxygen, sulfur, selenium or tellurium), is bonded directly to the
carbocyclic ring of the bicyclo ring system.
| |||
411 | Preparing from 1,4-di-oxygen substituted carbocyclic ring (e.g., of p benzoquinones, p-hydroquinones, etc.) | ||||
This subclass is indented under subclass 408. Processes wherein a 1,4-di-oxygen substituted carbocyclic
ring is utilized as a reactant.
| |||||
412 | Processes for chemical modification of substituents on the carbocyclic ring of the bicyclo ring system (e.g., alkylation of tocopherols, etc.) |
| This subclass is indented under subclass 408. Processes whereby substituents on the carbocyclic ring of the bicyclo ring system are modified chemically. | |
413 | Purification or recovery |
| This subclass is indented under subclass 408. Processes whereby the product is separated from impurities or from the reaction medium. | |
414 | Plural hetero rings | ||
This subclass is indented under subclass 356. Compounds which contain an additional oxygen containing
hetero ring.
| |||
415 | Plural six-membered hetero rings | ||
This subclass is indented under subclass 414. Compounds wherein the additional oxygen containing hetero
ring is six-membered.
| |||
416 | Chalcogen bonded directly to the hetero ring | ||
This subclass is indented under subclass 356. Compounds in which chalcogen (i.e., oxygen, sulfur, selenium,
or tellurium) is bonded directly to the hetero ring.
| |||
417 | Plural chalcogens bonded directly to the hetero ring | ||
This subclass is indented under subclass 416. Compounds wherein at least two chalcogens are bonded directly
to the hetero ring.
| |||
418 | Hydroxy bonded directly at the 3-position and oxygen double bonded directly at the 4-position of the hetero ring (H of -OH may be replaced by a substituted or unsubstituted ammonium ion or a Group IA or IIA light metal) | ||
This subclass is indented under subclass 417. Compounds in which hydroxy is bonded directly at the 3-position
and oxygen is double bonded directly at the 4-position of the hetero ring,
wherein the -H of the hydroxy may be replaced by a substituted or
unsubstituted ammonium ion or a Group IA or IIA light metal.
| |||
419 | Nitrogen attached directly or indirectly to the hetero ring by acyclic nonionic bonding | ||
This subclass is indented under subclass 416. Compounds in which nitrogen is attached directly or indirectly
to the hetero ring by acyclic nonionic bonding.
| |||
420 | Having -C(=X)-, wherein X is chalcogen, attached directly or indirectly to the hetero ring by acyclic nonionic bonding | ||
This subclass is indented under subclass 416. Compounds in which a -- group, wherein X is chalcogen (i.e.,
oxygen, sulfur, selenium or tellurium), is attached directly or
indirectly to the hetero ring by acyclic nonionic bonding.
| |||
421 | Alicyclic ring bonded directly to the chalcogen | ||
This subclass is indented under subclass 416. Compounds in which an alicyclic ring is bonded directly
to the chalcogen.
| |||
422 | Five-membered carbocyclic ring having the hetero ring as part of one substituent and -COO- as part of another substituent (e.g., prostaglandin intermediates, etc.) | ||
This subclass is indented under subclass 416. Compounds containing a carbocyclic ring which has at least
two substituents, one of which contains the hetero ring and another
one of which contains a -COO- group.
| |||
423 | Hydroxy or halogen attached directly or indirectly to the hetero ring by acyclic nonionic bonding (H of -OH may be replaced by a substituted or unsubstituted ammonium ion or a Group IA or IIA light metal) | ||
This subclass is indented under subclass 416. Compounds in which hydroxy or halogen is attached directly
or indirectly to the hetero ring by acyclic nonionic bonding, wherein
the -H of the hydroxy may be replaced by a substituted or unsubstituted
ammonium ion or a Group IA OR IIA light metal.
| |||
424 | Nitrogen bonded directly to the hetero ring | ||
This subclass is indented under subclass 356. Compounds in which nitrogen is bonded directly to the hetero
ring.
| |||
425 | Having -C(=X)-, wherein X is chalcogen, bonded directly to the hetero ring | ||
This subclass is indented under subclass 356. Compounds wherein a -- group, in which X is chalcogen (i.e.,
oxygen, sulfur, selenium or tellurium), is bonded directly to the
hetero ring.
| |||
426 | Nitrogen attached indirectly to the hetero ring by nonionic bonding | ||
This subclass is indented under subclass 356. Compounds wherein nitrogen is attached indirectly to the
hetero ring by nonionic bonding.
| |||
427 | Chalcogen attached indirectly to the hetero ring by nonionic bonding | ||
This subclass is indented under subclass 356. Compounds in which chalcogen (i.e., oxygen, sulfur, selenium,
or tellurium) is attached indirectly to the hetero ring by nonionic
bonding.
| |||
428 | Halogen attached directly or indirectly to the hetero ring by nonionic bonding | ||
This subclass is indented under subclass 356. Compounds in which halogen is attached directly or indirectly
to the hetero ring by nonionic bonding.
| |||
429 | The hetero ring is five-membered | ||
This subclass is indented under subclass 200. Compounds wherein the oxygen containing hetero ring has
five ring members.
| |||
430 | Plural ring oxygens in the hetero ring | ||
This subclass is indented under subclass 429. Compounds wherein the hetero ring contains at least two
ring oxygens.
| |||
431 | Three or more ring oxygens in the hetero ring (e.g., ozonides, etc.) | ||
This subclass is indented under subclass 430. Compounds wherein the hetero ring contains at least three
ring oxygens.
| |||
432 | Polycyclo ring system having the hetero ring as one of the cyclos | ||
This subclass is indented under subclass 430. Compounds wherein the hetero ring is one of the cyclos of
a polycyclo ring system.
| |||
433 | Tricyclo ring system having the hetero ring as one of the cyclos | ||
This subclass is indented under subclass 432. Compounds wherein the polycyclo ring system consists of
exactly three rings.
| |||
434 | Bicyclo ring system having the hetero ring as one of the cyclos | ||
This subclass is indented under subclass 432. Compounds wherein the polycyclo ring system consists of
exactly two rings.
| |||
435 | Plural hetero rings | ||||
This subclass is indented under subclass 434. Compounds wherein at least two hetero rings are present.
| |||||
436 | Having -C(=X)-, wherein X is chalcogen, bonded directly to the bicyclo ring system | ||
This subclass is indented under subclass 434. Compounds wherein a -- group, in which X is chalcogen (i.e.,
oxygen, sulfur, selenium or tellurium), is bonded directly to the
bicyclo ring system.
| |||
437 | Acyclic chalcogen bonded directly to the bicyclo ring system | ||
This subclass is indented under subclass 434. Compounds wherein the acyclic chalcogen (i.e., oxygen, sulfur,
selenium, or tellurium) is bonded directly to the bicyclo ring system.
| |||
438 | Having -C(=X)-, wherein X is chalcogen, attached indirectly to the bicyclo ring system by nonionic bonding | ||
This subclass is indented under subclass 437. Compounds wherein a -- group, in which X is chalcogen (i.e.
oxygen, sulfur, selenium or tellurium), is attached indirectly to
the bicyclo ring system by nonionic bonding.
| |||
439 | Nitrogen bonded directly to the bicyclo ring system | ||
This subclass is indented under subclass 434. Compounds wherein nitrogen is bonded directly to the bicyclo
ring system.
| |||
440 | Nitrogen attached indirectly to the bicyclo ring system by nonionic bonding | ||
This subclass is indented under subclass 434. Compounds wherein nitrogen is attached indirectly to the
bicyclo system by nonionic bonding.
| |||
441 | The nitrogen is bonded directly to a -C(=X)- group, wherein X is chalcogen | ||
This subclass is indented under subclass 440. Compounds wherein the nitrogen is bonded directly to a X
-- group, in which X is chalcogen (i.e., oxygen, sulfur, selenium
or tellurium).
| |||
442 | The nitrogen is attached directly to carbon by a double or triple bond | ||
This subclass is indented under subclass 440. Compounds wherein the nitrogen is attached directly to carbon
by a double or triple bond.
| |||
443 | Chalcogen attached indirectly to the bicyclo ring system by nonionic bonding | ||
This subclass is indented under subclass 440. Compounds wherein chalcogen (i.e., oxygen, sulfur, selenium,
or tellurium) is attached indirectly to the bicyclo ring system
by nonionic bonding.
| |||
444 | The chalcogen, X, is in a -C(=X)- group | ||
This subclass is indented under subclass 443. Compounds in which the chalogen, X, is in a -- group.
| |||
445 | Chalcogen attached indirectly to the ring system by nonionic bonding | ||
This subclass is indented under subclass 434. Compounds wherein chalcogen (i.e., oxygen, sulfur, selenium,
or tellurium) is attached indirectly to the bicyclo ring system
by nonionic bonding.
| |||
446 | The chalcogen, X, is in a -C(=X)- group | ||
This subclass is indented under subclass 445. Compounds in which the chalcogen, X, is in a -- group.
| |||
447 | The -C(=X)- is part of a -C(=X)X- group, wherein the X's are the same or diverse chalcogens | ||
This subclass is indented under subclass 446. Compounds in which the -- is part of a --X- group, wherein
the X"s are the same or diverse chalcogens.
| |||
448 | Plural hetero rings | ||
This subclass is indented under subclass 430. Compounds which contain at least two hetero rings, which
may be the same or different.
| |||
449 | Nitrogen or chalcogen bonded directly to the hetero ring | ||
This subclass is indented under subclass 430. Compounds wherein nitrogen or chalcogen (i.e., oxygen, sulfur,
selenium, or tellurium) is bonded directly to the hetero ring.
| |||
450 | Having -C(=X)-, wherein X is chalcogen, bonded directly to the hetero ring | ||
This subclass is indented under subclass 430. Compounds wherein a -- group, in which X is chalcogen (i.e.,
oxygen, sulfur, selenium or tellurium), is bonded directly to the
hetero ring.
| |||
451 | Nitrogen attached indirectly to the hetero ring by nonionic bonding | ||
This subclass is indented under subclass 430. Compounds wherein nitrogen is attached indirectly to the
hetero ring by nonionic bonding.
| |||
452 | The nitrogen is bonded directly to a -C(=X)- group, wherein X is chalcogen | ||
This subclass is indented under subclass 451. Compounds in which the nitrogen is bonded directly to a
-- group, wherein X is chalcogen (i.e., oxygen, sulfur, selenium
or tellurium).
| |||
453 | Chalcogen attached indirectly to the hetero ring by nonionic bonding | ||
This subclass is indented under subclass 430. Compounds wherein chalcogen (i.e., oxygen, sulfur, selenium,
or tellurium) is attached indirectly to the hetero ring by nonionic
bonding.
| |||
454 | The chalcogen, X, is in a -C(=X)- group | ||
This subclass is indented under subclass 453. Compounds wherein the chalcogen, X, is in a -- group.
| |||
455 | Halogen attached directly or indirectly to the hetero ring by nonionic bonding | ||
This subclass is indented under subclass 430. Compounds wherein halogen is attached directly or indirectly
to the hetero ring by nonionic bonding.
| |||
456 | Polycyclo ring system having the hetero ring as one of the cyclos | ||
This subclass is indented under subclass 429. Compounds wherein the hetero ring is one of the cyclos of
a polycyclo ring system.
| |||
457 | Tetracyclo ring system having the hetero ring as one of the cyclos | ||
This subclass is indented under subclass 456. Compounds wherein the polycyclo ring system consists of
exactly four rings.
| |||
458 | Tricyclo ring system having the hetero ring as one of the cyclos | ||
This subclass is indented under subclass 456. Compounds wherein the polycyclo ring system consists of
exactly three rings.
| |||
459 | Two of the cyclos share at least three ring members (i.e., bridged) | ||
This subclass is indented under subclass 458. Compounds wherein at least three ring members of one cyclo
are ring members of an additional cyclo in the tricyclo ring system.
| |||
460 | Dibenzofurans (including hydrogenated) | ||
This subclass is indented under subclass 458. Compounds wherein the hetero ring shares ring members with
two six-membered carbocyclic rings, which may contain double bonds between
ring members.
| |||
461 | Having -C(=X)-, wherein X is chalcogen, attached directly or indirectly to the tricyclo ring system by nonionic bonding | ||
This subclass is indented under subclass 460. Compounds wherein a -- group, in which X is chalcogen (i.e.,
oxygen, sulfur, selenium or tellurium), is attached directly or
indirectly to the ring system by nonionic bonding.
| |||
462 | Bicyclo ring system having the hetero ring as one of the cyclos | ||
This subclass is indented under subclass 456. Compounds wherein the polycyclo ring system consists of
exactly two rings.
| |||
463 | The two cyclos share at least three ring members (i.e., bridged) | ||
This subclass is indented under subclass 462. Compounds wherein three ring members of one cyclo are ring
members of the other cyclo in the bicyclo ring system.
| |||
464 | Plural ring oxygens in the bicyclo ring system | ||
This subclass is indented under subclass 462. Compounds wherein at least two ring oxygens are present
in the bicyclo ring system.
| |||
465 | The bicyclo ring system consists of two five-membered cyclos | ||
This subclass is indented under subclass 462. Compounds wherein the bicyclo ring system consists of two
five-membered cyclos.
| |||
466 | Acyclic chalcogen bonded directly to the hetero ring | ||
This subclass is indented under subclass 462. Compounds wherein acyclic chalcogen (i.e., oxygen, sulfur,
selenium, or tellurium) is bonded directly to the hetero ring.
| |||
467 | Nitrogen attached directly or indirectly to the hetero ring by acyclic nonionic bonding | ||
This subclass is indented under subclass 462. Compounds wherein nitrogen is attached directly to the hetero
ring or is attached indirectly to the hetero ring by acyclic nonionic bonding.
| |||
468 | Having -C(=X)-, wherein X is chalcogen, bonded directly to the hetero ring | ||
This subclass is indented under subclass 462. Compounds wherein a -- group, wherein X is chalcogen (i.e.,
oxygen, sulfur, selenium or tellurium), is bonded directly to the
hetero ring.
| |||
469 | Benzene ring bonded directly to the hetero ring | ||
This subclass is indented under subclass 462. Compounds wherein a benzene ring is bonded directly to the
hetero ring.
| |||
470 | Chalcogen of -C(=X)X-, wherein the X's are the same or diverse chalcogens, bonded directly to the carbocyclic ring of the bicyclo ring system | ||
This subclass is indented under subclass 462. Compounds wherein the singly bonded chalcogen of a --X-
group, in which the X"s are the same or diverse chalcogens
(i.e., oxygen, sulfur, selenium or tellurium), is bonded directly to
the carbocyclic ring of the bicyclo ring system.
| |||
471 | Plural double bonds between ring members of the hetero ring | ||
This subclass is indented under subclass 462. Compounds wherein there are plural double bonds between
ring members of the hetero ring.
| |||
472 | Plural hetero rings | ||
This subclass is indented under subclass 429. Compounds wherein at least two hetero rings, which may be
the same or different, are present.
| |||
473 | Acyclic -C(=X)-, wherein X is chalcogen, attached directly or indirectly to the hetero ring by nonionic bonding | ||
This subclass is indented under subclass 472. Compounds in which an acyclic -- group, wherein X is chalcogen
(i.e., oxygen, sulfur, selenium or tellurium), is attached directly
or indirectly to the hetero ring by nonionic bonding.
| |||
474 | Cyano bonded directly to the hetero ring | ||
This subclass is indented under subclass 429. Compounds wherein a cyano group (-C=N) is bonded
directly to the hetero ring.
| |||
475 | Chalcogen bonded directly to the hetero ring | ||
This subclass is indented under subclass 429. Compounds wherein chalcogen (i.e., oxygen, sulfur, selenium,
or tellurium) is bonded directly to the hetero ring.
| |||
476 | Plural chalcogens bonded directly to the hetero ring | ||
This subclass is indented under subclass 475. Compounds wherein at least two chalcogens are bonded directly
to the hetero ring.
| |||
477 | Chalcogen double bonded directly to the hetero ring | ||
This subclass is indented under subclass 476. Compounds wherein at least one chalcogen is doubled bonded
directly to the hetero ring.
| |||
478 | Having -C(=X)-, wherein X is chalcogen, attached directly or indirectly to the hetero ring by nonionic bonding | ||
This subclass is indented under subclass 476. Compounds in which a -- group, wherein X is chalcogen (i.e.,
oxygen, sulfur, selenium or tellurium), is attached directly or
indirectly to the hetero ring by nonionic bonding.
| |||
479 | Double bond between ring members of the hetero ring | ||
This subclass is indented under subclass 475. Compounds wherein there is a double bond between ring members
of the hetero ring.
| |||
480 | Nitrogen bonded directly to the hetero ring | ||
This subclass is indented under subclass 429. Compounds wherein nitrogen is bonded directly to the hetero
ring.
| |||
481 | Nitro bonded directly to the hetero ring | ||
This subclass is indented under subclass 480. Compounds wherein a nitro group (-NO2)
is bonded directly to the hetero ring.
| |||
482 | The hetero ring and an additional nitrogen are bonded directly to the same carbon | ||
This subclass is indented under subclass 481. Compounds wherein the hetero ring and an additional nitrogen
are bonded directly to the same carbon.
| |||
483 | Having -C(=X)-, wherein X is chalcogen, bonded directly to the hetero ring | ||
This subclass is indented under subclass 429. Compounds in which a -- group, wherein X is chalcogen (i.e.,
oxygen, sulfur, selenium or tellurium), is bonded directly to the
hetero ring.
| |||
484 | The -C(=X)- is part of a -C(=X)X- group, wherein the X's are the same or diverse chalcogens | ||
This subclass is indented under subclass 483. Compounds in which the -- is part of a --X- group, wherein
the X"s are the same or diverse chalcogens.
| |||
485 | Plural -C(=X)X- groups bonded directly to the hetero ring | ||
This subclass is indented under subclass 484. Compounds wherein at least two --X- groups are bonded directly
to the hetero ring.
| |||
486 | The carbon of the -C(=X)X- group is bonded directly at the 3-position of the hetero ring | ||
This subclass is indented under subclass 484. Compounds in which the carbon of the --X- group is bonded
directly at the 3-position of the hetero ring.
| |||
487 | Nitrogen bonded directly to the -C(=X)- group | ||
This subclass is indented under subclass 483. Compounds wherein nitrogen is bonded directly to the -C-
group.
| |||
488 | Additional chalcogen attached indirectly to the hetero ring by nonionic bonding | ||
This subclass is indented under subclass 483. Compounds wherein an additional chalcogen (i.e., oxygen,
sulfur, selenium, or tellurium) is attached indirectly to the hetero
ring by nonionic bonding.
| |||
489 | Preparation of furfural (i.e., furan-2-aldehyde) | ||
This subclass is indented under subclass 483. Processes for the preparation of furfural, per se.
| |||
490 | Purification or recovery of furfural |
| This subclass is indented under subclass 483. Processes wherein furfural is separated from impurities or from the reaction medium. | |
491 | Nitrogen attached indirectly to the hetero ring by nonionic bonding | ||
This subclass is indented under subclass 429. Compounds wherein nitrogen is attached indirectly to the
hetero ring by nonionic bonding.
| |||
492 | Nitrogen and the hetero ring are single bonded directly to the same acyclic saturated hydrocarbon group | ||||
This subclass is indented under subclass 491. Compounds wherein nitrogen and the hetero ring are single
bonded directly to the same acyclic saturated hydrocarbon group.
| |||||
493 | The nitrogen is bonded directly to a -C(=X)- group, wherein X is chalcogen | ||
This subclass is indented under subclass 492. Compounds wherein the nitrogen is bonded directly to a --
group, in which X is chalcogen (i.e., oxygen, sulfur, selenium or
tellurium).
| |||
494 | Having -C(=X)-, wherein X is chalcogen, attached indirectly to the hetero ring by nonionic bonding | ||
This subclass is indented under subclass 492. Compounds in which a -- group, wherein X is chalcogen (i.e.,
oxygen, sulfur, selenium or tellurium), is attached indirectly to
the hetero ring by nonionic bonding.
| |||
495 | Chalcogen attached indirectly to the hetero ring by acyclic nonionic bonding | ||
This subclass is indented under subclass 492. Compounds wherein chalcogen (i.e., oxygen, sulfur, selenium
or tellurium) is attached indirectly to the hetero ring by acyclic
nonionic bonding.
| |||
496 | Having -C(=X)-, wherein X is chalcogen, attached indirectly to the hetero ring by nonionic bonding | ||
This subclass is indented under subclass 491. Compounds wherein a -- group, wherein X is chalcogen (i.e.,
oxygen, sulfur, selenium or tellurium), is attached indirectly to
the hetero ring by nonionic bonding.
| |||
497 | Chalcogen attached indirectly to the hetero ring by nonionic bonding | ||
This subclass is indented under subclass 429. Compounds wherein chalcogen (i.e., oxygen, sulfur, selenium,
or tellurium) is attached indirectly to the hetero ring by nonionic
bonding.
| |||
498 | The chalcogen, X, is in a -C(=X)- group | ||
This subclass is indented under subclass 497. Compounds wherein the chalcogen, X, is in a -- group.
| |||
499 | The -C(=X)- is part of a -C(=X)X- group, wherein the X's are the same or diverse chalcogens | ||
This subclass is indented under subclass 498. Compounds in which the -- is part of a --X- group, wherein
the X"s are the same or diverse chalcogens.
| |||
500 | Plural -C(=X)X- groups attached indirectly to the hetero ring by nonionic bonding | ||
This subclass is indented under subclass 499. Compounds wherein at least two --X- groups are attached
indirectly to the hetero ring by nonionic bonding.
| |||
501 | Additional chalcogen attached indirectly to the hetero ring by nonionic bonding | ||
This subclass is indented under subclass 499. Compounds wherein an additional chalcogen (i.e., oxygen,
sulfur, selenium, or tellurium) is attached indirectly to the hetero
ring by nonionic bonding.
| |||
502 | Plural chalcogens attached indirectly to the hetero ring by nonionic bonding | ||
This subclass is indented under subclass 497. Compounds wherein at least two chalcogens (i.e., oxygen,
sulfur, selenium, or tellurium) are attached indirectly to the hetero
ring by nonionic bonding.
| |||
503 | Preparing by hydrogenation of furfural | ||
This subclass is indented under subclass 497. Processes wherein furfural is hydrogenated to yield a compound
wherein oxygen is attached indirectly to the hetero ring by nonionic
bonding.
| |||
504 | Halogen attached directly or indirectly to the hetero ring by nonionic bonding | ||
This subclass is indented under subclass 429. Compounds wherein halogen is attached directly or indirectly
to the hetero ring by nonionic bonding.
| |||
505 | Plural double bonds between ring members of the hetero ring | ||||
This subclass is indented under subclass 429. Compounds which contain plural double bonds between ring
members of the hetero ring.
| |||||
506 | Hydrocarbyl substituted | ||
This subclass is indented under subclass 505. Compounds wherein the hetero ring is hydrocarbyl substituted.
| |||
507 | One double bond between ring members of the hetero ring | ||
This subclass is indented under subclass 429. Compounds wherein exactly one double bond is present between
ring members of the hetero ring.
| |||
508 | Preparing from compound containing -COO- group | ||
This subclass is indented under subclass 429. Processes wherein the five-membered hetero ring is prepared
from a compound that contains a -C-O- group.
| |||
509 | Preparing from a hydroxy containing compound | ||
This subclass is indented under subclass 429. Processes wherein the five-membered hetero ring is prepared
from a compound that contains a hydroxy group.
| |||
510 | The hetero ring is four-membered | ||
This subclass is indented under subclass 200. Compounds in which the oxygen containing hetero ring has
four ring members.
| |||
511 | Sulfur or halogen attached directly or indirectly to the hetero ring by nonionic bonding | ||
This subclass is indented under subclass 510. Compounds wherein sulfur or halogen is attached directly
or indirectly to the hetero ring by nonionic bonding.
| |||
512 | The hetero ring is three-membered consisting of one oxygen and two carbons | ||||
| This subclass is indented under subclass 200. Compounds which contain a three-membered ring consisting
of one ring oxygen and two ring carbons:
| |||||
513 | Processes |
| This subclass is indented under subclass 512. Processes for producing, purifying, or recovering an oxirane containing compound. | |
514 | Epihalohydrin, glycerol monohalohydrin or glycerol dihalohydrin reactant | ||
| This subclass is indented under subclass 513. Processes which include obtaining a glycidyl moiety by a
condensation reaction of an epihalohydrin, (X=halogen)
or a glycerol mono- or di-halohydrin,
| |||
515 | Glycidyl ester formed by bonding the oxy of a -COO- group directly to an acyclic carbon which is bonded directly to an oxirane ring |
| This subclass is indented under subclass 514. Processes which include bonding oxy of a -C(=O)O-
group to the acyclic carbon of the glycidyl moiety to form an ester:
| |
516 | Glycidyl ether formed by bonding oxygen directly to an acyclic carbon which is bonded directly to an oxirane ring |
| This subclass is indented under subclass 514. Processes which include bonding oxygen to the acyclic carbon
of the glycidyl moiety to form an ether:
| |
517 | Phenolic ether formed | ||
This subclass is indented under subclass 516. Processes wherein the glycidyl ether oxygen is bonded to
a benzene ring.
| |||
518 | Oxirane ring formed |
| This subclass is indented under subclass 513. Processes which include the formation of an oxirane ring. | |
519 | Carbonyl of aldehyde or ketone reacted to form oxirane ring |
| This subclass is indented under subclass 518. Processes wherein the functional group -- in an aldehyde or ketone undergoes a reaction to form an oxirane ring. | |
520 | By dehydrohalogenation of a halohydrin or by reacting a hypohalite or hypohalous acid with an ethylenically unsaturated compound at the site of unsaturation | ||
This subclass is indented under subclass 518. Processes wherein (1) a halchydrin (X=halogen)
is dehydrohalogenated to form an oxirane ring or (2) a hypohalite
or hypohalous acid reacts with an ethylenically unsaturated compound
at the site of ethylenic unsaturation.
| |||
521 | Oxirane ring and chalcogen, cyano, nitrogen, or halogen are bonded directly to the same carbon (e.g., glycidyl ester formed, etc.) | ||
This subclass is indented under subclass 520. Processes of forming a glycidyl containing compound wherein
bonded directly to the acyclic carbon of the glycidyl moiety is
chalcogen (e.g., oxygen, sulfur, selenium, or tellurium), cyano
(i.e., -C=N), nitrogen, or halogen.
| |||
522 | Oxirane ring is unsubstituted or hydrocarbyl substituted only |
| This subclass is indented under subclass 520. Processes wherein the substituents on the oxirane ring of the compound formed are limited to hydrogen or hydrocarbon groups. | |
523 | Epoxidation at site of ethylenic unsaturation |
| This subclass is indented under subclass 518. Processes for reacting an ethylenically unsaturated compound with an oxidizing agent so that oxygen supplied by the oxidizing agent forms an oxirane ring at the site of ethylenic unsaturation. | |
524 | Liquid phase epoxidation |
| This subclass is indented under subclass 523. Processes wherein a reactant is in liquid form or wherein the reaction takes place in a substance which is liquid during the reaction. | |
525 | Organic peracid utilized |
| This subclass is indented under subclass 524. Processes wherein the oxidizing agent includes an organic peracid. | |
526 | In situ formation of the organic peracid from carboxylic acid and hydrogen peroxide |
| This subclass is indented under subclass 525. Processes wherein the organic peracid is formed from a carboxylic acid and hydrogen peroxide in the epoxidation reaction medium rather than having been preformed and added to said reaction medium. | |
527 | Epoxidizing unsaturated fat or fatty oil, or unsaturated derivative thereof | ||
This subclass is indented under subclass 526. Processes wherein a naturally occurring unsaturated higher
fatty acid having seven or more carbon atoms bonded to a carboxyl
group, or an unsaturated derivative thereof, is epoxidized.
| |||
528 | Epoxidizing unsaturated fat or fatty oil, or unsaturated derivative thereof | ||
This subclass is indented under subclass 525. Processes wherein a naturally occurring unsaturated fatty
acid having seven or more carbon atoms bonded to a carboxyl group,
or unsaturated derivative thereof, is epoxidized.
| |||
529 | Organic hydroperoxide reactant | ||
| This subclass is indented under subclass 524. Processes in which the oxidizing agent includes R-OOH, wherein
R is a organic radical.
SEE OR SEARCH THIS CLASS, SUBCLASS:
| |||
530 | Boron containing catalyst utilized |
| This subclass is indented under subclass 529. Processes wherein a boron containing catalyst is utilized. | |
531 | Hydrogen peroxide utilized | ||
| This subclass is indented under subclass 524. Processes wherein the epoxidizing agent includes H2O2.
SEE OR SEARCH THIS CLASS, SUBCLASS:
| |||
532 | Air or molecular oxygen utilized |
| This subclass is indented under subclass 524. Processes wherein the epoxidizing agent includes a gas containing molecular oxygen. | |
533 | Heavy metal containing catalyst utilized |
| This subclass is indented under subclass 532. Processes wherein a catalyst which contains a metal having a specific gravity greater than 4 is present. | |
534 | Silver containing catalyst utilized |
| This subclass is indented under subclass 523. Processes wherein a silver containing catalyst is employed. | |
535 | Fluidized catalyst |
| This subclass is indented under subclass 534. Processes wherein the catalyst particles are fluidized by passing gaseous reactants upward through them. | |
536 | Additional heavy metal containing material utilized (e.g., promoter which contains heavy metal utilized, etc.) |
| This subclass is indented under subclass 534. Processes wherein a material containing a metal having a specific gravity greater than 4, in addition to the silver, is utilized. | |
537 | Group IIA light metal containing material utilized |
| This subclass is indented under subclass 534. Processes wherein a material which contains a Group IIA light metal is utilized. | |
538 | Purification or recovery |
| This subclass is indented under subclass 534. Processes which include separating an oxirane containing compound from an impurity or by-product. | |
539 | Ether or -COO- group formed |
| This subclass is indented under subclass 513. Processes wherein an ether group or -COO- group is formed. | |
540 | Isomerization, halogenation, hydrogenation, or dehydrohalogenation to form compound |
| This subclass is indented under subclass 513. Processes wherein the oxirane containing compound is formed by isomerization, halogenation, hydrogenation, or dehydrohalogenation. | |
541 | Purification or recovery |
| This subclass is indented under subclass 513. Processes which include separating an oxirane containing compound from an impurity or by-product. | |
542 | By adsorption or by chemical reaction with impurity |
| This subclass is indented under subclass 541. Processes whereby the purification or recovery is effected by adsorption or by chemical reaction with an impurity. | |
543 | Polycyclo ring system having the hetero ring as one of the cyclos | ||
This subclass is indented under subclass 512. Compounds wherein the oxirane ring is a cyclo in a polycyclo
ring system.
| |||
544 | Tetracyclo ring system having the hetero ring as one of the cyclos | ||
This subclass is indented under subclass 543. Compounds in which the polycyclo ring system consists of
exactly four cyclos.
| |||
545 | Tricyclo ring system having the hetero ring as one of the cyclos | ||
This subclass is indented under subclass 543. Compounds wherein the polycyclo ring system consists of
exactly three cyclos.
| |||
546 | Bicyclo ring system having the hetero ring as one of the cyclos | ||
This subclass is indented under subclass 543. Compounds wherein the polycyclo ring system consists of
exactly two cyclos.
| |||
547 | Plural bicyclo ring systems each having a hetero ring as one of the cyclos | ||
This subclass is indented under subclass 546. Compounds which contain at least two bicyclo ring systems,
each having a hetero ring as one of the cyclos.
| |||
548 | Having -C(=X)-, wherein X is chalcogen, bonded directly to the hetero ring | ||
This subclass is indented under subclass 512. Compounds in which a -- group, wherein X is chalcogen (i.e.,
oxygen, sulfur, selenium or tellurium), is bonded directly to the
oxirane ring.
| |||
549 | The -C(=X)- is part of a -C(=X)X- group, wherein the X's are the same or diverse chalcogens | ||
This subclass is indented under subclass 548. Compounds in which the -- is part of a --X-group, wherein
the X"s are the same or different chalcogens (i.e., oxygen,
sulfur, selenium or tellurium).
| |||
550 | Cyano, nitrogen, or halogen bonded directly to the hetero ring | ||
This subclass is indented under subclass 512. Compounds in which cyano (i.e., -C=N), nitrogen,
or halogen is bonded directly to the oxirane ring.
| |||
551 | Nitrogen attached indirectly to the hetero ring by nonionic bonding | ||
This subclass is indented under subclass 512. Compounds in which nitrogen is attached indirectly to the
oxirane ring by nonionic bonding.
| |||
552 | Cyano or nitrogen and the hetero ring bonded directly to the same carbon | ||
This subclass is indented under subclass 551. Compounds wherein cyano (i.e., -C=N) or nitrogen
and the oxirane ring are bonded directly to the same carbon.
| |||
553 | The nitrogen is bonded directly to a -C(=X)- group, wherein X is chalcogen | ||
This subclass is indented under subclass 551. Compounds wherein the nitrogen is additionally bonded directly
to a -- group, wherein X is chalcogen (i.e., oxygen, sulfur, selenium
or tellurium).
| |||
554 | Chalcogen attached indirectly to the hetero ring by nonionic bonding | ||
This subclass is indented under subclass 512. Compounds in which chalcogen (i.e., oxygen, sulfur, selenium,
or tellurium) is attached indirectly to the oxirane ring by nonionic
bonding.
| |||
555 | Chalcogen and the hetero ring bonded directly to the same carbon (e.g., glycidyl ethers, etc.) | ||
This subclass is indented under subclass 554. Compounds wherein chalcogen (i.e., oxygen, sulfur, selenium,
or tellurium) and the oxirane ring are both bonded directly to the
same carbon.
| |||
556 | Sulfur or -C(=X)-, wherein X is chalcogen, attached indirectly to the hetero ring by nonionic bonding | ||
This subclass is indented under subclass 555. Compounds in which sulfur or a -- group, wherein X is chalcogen
(i.e., oxygen, sulfur, selenium or tellurium), is attached indirectly
to the oxirane ring by nonionic bonding.
| |||
557 | The chalcogen, X, is part of a -C(=X)X- group or a -X-X- group, wherein the X's are the same or diverse chalcogens (e.g., -COO-HCH-oxirane, etc.) | ||
This subclass is indented under subclass 556. Compounds in which the chalcogen, X, is in a --X- group
or in a -X-X- group, wherein the X"s are the same or diverse
chalcogens.
| |||
558 | Halogen attached indirectly to the hetero ring by nonionic bonding | ||
This subclass is indented under subclass 555. Compound in which halogen is attached indirectly to the
oxirane ring by nonionic bonding.
| |||
559 | Carbocyclic ring containing | ||
This subclass is indented under subclass 558. Compounds which contain a carbocyclic ring.
| |||
560 | Carbocyclic ring containing | ||
This subclass is indented under subclass 555. Compounds which contain a carbocyclic ring.
| |||
561 | The chalcogen, X, is part of a -C(=X)X- group, wherein the X's are the same or diverse chalcogens | ||
This subclass is indented under subclass 554. Compounds in which the chalcogen, X, is part of a --X- group,
wherein the X"s are the same or diverse chalcogens.
| |||
562 | Additional -C(=X)- or other sulfur attached indirectly to the hetero ring | ||
This subclass is indented under subclass 561. Compounds in which an additional -C(=X)- group
or sulfur, other than as part of the -C(=X)X- group, is
attached indirectly to the oxirane ring by nonionic bonding.
| |||
563 | Halogen attached indirectly to the hetero ring by nonionic bonding | ||
This subclass is indented under subclass 512. Compounds wherein halogen is attached indirectly to the
oxirane ring by nonionic bonding.
| |||
![[Search a list of Patent Appplications for class 549]](../as.gif)
![[List of Patents for class 549 subclass 1]](../ps.gif)







































































































































































































































































































































































































































































































