CLASS 554, | ORGANIC COMPOUNDS -- PART OF THE CLASS 532-570 SERIES |
| Click here for a printable version of this file | |
SUBCLASSES
1 | Fatty compounds having an acid moiety which contains the carbonyl of a carboxylic acid, salt, ester, or amide group bonded directly to one end of an acyclic chain of at least seven (7) uninterrupted carbons, wherein any additional carbonyl in the acid moiety is (1) part of an aldehyde or ketone group, (2) bonded directly to a noncarbon atom which is between the additional carbonyl and the chain, or (3) attached indirectly to the chain via ionic bonding | ||||||||||||||||||||||||
This subclass is indented under subclass 1. Compounds under Class 532, ... , which are long-chain aliphatic
monocarboxylic acid derivatives, herein referred to as "fatty
compounds", characterized by having the carbonyl of (1)
a carboxylic acid, (2) a carboxylic acid salt, (3) a carboxylic
acid ester, or (4) a carboxylic acid amide bonded directly to one
end of an acyclic chain of at least seven uninterrupted carbons,
i.e., the acid moiety; wherein any additional carbonyl group in
the acid moiety is (1) part of an aldehyde or ketone group, (2) bonded
directly to a noncarbon atom which is between the additional carbonyl
and the chain, or (3) attached indirectly to the chain by ionic bonding.
SEE OR SEARCH CLASS:
| |||||||||||||||||||||||||
2 | With preservative or stabilizer | ||||
| This subclass is indented under subclass 1. Products wherein the compound is mixed with a preserving
or stabilizing agent which functions to prevent physical or chemical
change.
SEE OR SEARCH CLASS:
| |||||
3 | Oxygen containing hetero ring in preservative or stabilizer |
| This subclass is indented under subclass 2. Products wherein the preservative or stabilizer contains an oxygen containing hetero ring. | |
4 | Phosphorus containing preservative or stabilizer |
| This subclass is indented under subclass 2. Products wherein the preservative or stabilizer contains phosphorus. | |
5 | Nitrogen containing preservative or stabilizer |
| This subclass is indented under subclass 2. Products wherein the preservative or stabilizer contains nitrogen. | |
6 | Sulfur containing preservative or stabilizer |
| This subclass is indented under subclass 2. Products wherein the preservative or stabilizer contains sulfur. | |
7 | Phenolic preservative or stabilizer |
| This subclass is indented under subclass 2. Products wherein the preservative or stabilizer contains at least one benzene ring having at least one -OH group bonded directly thereto, wherein H of the -OH may be replaced by metal or substituted or unsubstituted ammonium. | |
8 | Extraction directly from animal or plant source material (e.g., recovery from garbage, fish offal, slaughter house waste, whole fish, olive fruit, etc.) | ||||||||
This subclass is indented under subclass 1. Processes which include the extraction of the fatty compound(s)
directly from animal or plant source material.
SEE OR SEARCH THIS CLASS, SUBCLASS:
SEE OR SEARCH CLASS:
| |||||||||
9 | Legume, nut, or seed source material (e.g., peanut, soya bean, rice bran, etc.) |
| This subclass is indented under subclass 8. Processes wherein the fatty compound is extracted from legumes, nuts, or seeds, such as soya beans, peanuts, flax seed, cotton seed, or portions thereof, e.g., shells, kernels, germs, oil cake, etc. | |
10 | Fatty or sugar containing treating agent utilized (e.g., miscella, molasses, lecithin, cocoa butter used; heated cashew oil used to extract more oil from cashew nuts; using soap as emulsifier, etc.) | ||
This subclass is indented under subclass 9. Processes wherein sugar or fatty material is utilized to
facilitate extraction.
| |||
11 | Carbon dioxide, peroxy, sulfur, nitrogen, or metal containing treating agent utilized |
| This subclass is indented under subclass 9. Processes wherein carbon dioxide or a peroxy-, sulfur-, nitrogen-, or metal-containing material is utilized facilitate extraction. | |
12 | Organic solvent extraction | ||||
| This subclass is indented under subclass 9. Processes wherein the legume, nut, or seed source material
is subjected to the action of an organic solvent to dissolve out
the fatty compound(s).
SEE OR SEARCH THIS CLASS, SUBCLASS:
| |||||
13 | Halogen or oxygen in the solvent (e.g., carbon tetrachloride, ethanol, etc.) |
| This subclass is indented under subclass 12. Processes wherein the solvent contains halogen or oxygen. | |
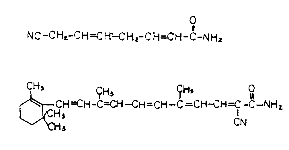
14 | Plural diverse solvents utilized together or sequentially (e.g., solvent is mixture of acetone and hexane, ethyl and isopropyl alcohols, etc.) |
| This subclass is indented under subclass 13. Processes wherein two or more different solvents are utilized simultaneously or in succession. | |
15 | Steam or water added |
| This subclass is indented under subclass 12. Processes wherein water or water vapor is utilized to facilitate extraction. | |
16 | Vacuum or pressure utilized (e.g., normally gaseous hydrocarbon solvent kept liquid under pressure, etc.) | ||
This subclass is indented under subclass 12. Processes wherein the extraction is carried out under a
pressure greater or less than atmospheric.
| |||
17 | Steam or water added or vacuum utilized |
| This subclass is indented under subclass 9. Processes wherein water vapor, water, or a pressure less than atmospheric is utilized. | |
18 | Fish liver source material |
| This subclass is indented under subclass 8. Processes wherein fish liver is employed as the source material. | |
19 | Sulfur, silicon, nitrogen, or metal containing treating agent utilized (e.g., salt or brine, clay, lime, etc.) |
| This subclass is indented under subclass 8. Processes wherein a material containing sulfur, silicon, nitrogen, or a metal is utilized to facilitate extraction. | |
20 | Organic solvent extraction |
| This subclass is indented under subclass 8. Processes wherein the source material is subjected to the action of an organic solvent to dissolve out the fatty compound. | |
21 | Halogen or oxygen in the solvent (e.g., trichloroethylene, alcohol, etc.) |
| This subclass is indented under subclass 20. Processes wherein the solvent contains halogen or oxygen. | |
22 | Vacuum utilized |
| This subclass is indented under subclass 8. Processes wherein a pressure less than atmospheric is utilized. | |
23 | Steam or water added (e.g., wet rendering, etc.) | ||
This subclass is indented under subclass 8. Processes wherein water vapor or water is added to the source
material to facilitate extraction.
| |||
24 | Chemical modification of oils to improve their drying properties and products thereof | ||||||
This subclass is indented under subclass 1. Processes which are directed to chemically treating fatty
oils to impart drying or film-forming properties thereto, and the
products produced by said treatment.
SEE OR SEARCH CLASS:
| |||||||
25 | Polymerization process and product thereof (e.g., thermal polymerization, oxidative polymerization, etc.) | ||||
This subclass is indented under subclass 24. Processes which are directed to polymerizing an oil, such
as by heating or oxidizing, and the polymerized products resulting
therefrom.
| |||||
26 | Additional organic compound utilized (e.g., as catalyst, promoter, etc.) |
| This subclass is indented under subclass 25. Processes which include, in addition to the oil reactant, at least one other organic compound in the polymerization reaction, such as a catalyst, promoter, or reactant. | |
27 | The additional organic compound is an ethylenically unsaturated hydrocarbon monomer (e.g., butadiene, cyclopentadiene, styrene, etc.) |
| This subclass is indented under subclass 26. Processes wherein the additional organic compound is an ethylenically unsaturated monomer containing hydrogen and carbon only. | |
28 | Inorganic material utilized |
| This subclass is indented under subclass 25. Processes wherein an inorganic material is utilized in the polymerization reaction. | |
29 | Purification or recovery |
| This subclass is indented under subclass 25. Processes which include separating the polymerized product from impurities or from the reaction mixture. | |
30 | Esterification or molecular rearrangement (e.g., intra- or inter-esterification, etc.) |
| This subclass is indented under subclass 24. Processes which include esterification or wherein a starting material is treated, such as by heat or with catalysts, to cause a rearrangement of elements. | |
31 | Dehydration or carbon to carbon unsaturation formation (e.g., dehydrating hydroxylated fatty acids or oils, forming conjugated unsaturation by dehydrogenation, dehalogenation, dehydrohalogenation, etc.) | ||
This subclass is indented under subclass 24. Processes which are directed to dehydrating a starting material
or forming carbon to carbon unsaturation in a starting material
to impart drying properties thereto.
| |||
32 | Heavy metal containing compound utilized (e.g., as catalyst, promoter, etc.) |
| This subclass is indented under subclass 31. Processes wherein a compound containing a metal having a specific gravity greater than four is utilized, e.g., as reactant, catalyst, promoter, etc. | |
33 | Sulfur containing compound utilized |
| This subclass is indented under subclass 31. Processes wherein a compound containing sulfur is utilized. | |
34 | Group IA or IIA light metal containing compound utilized | ||
This subclass is indented under subclass 31. Processes wherein a compound containing a Group IA or Group
IIA light metal is utilized.
| |||
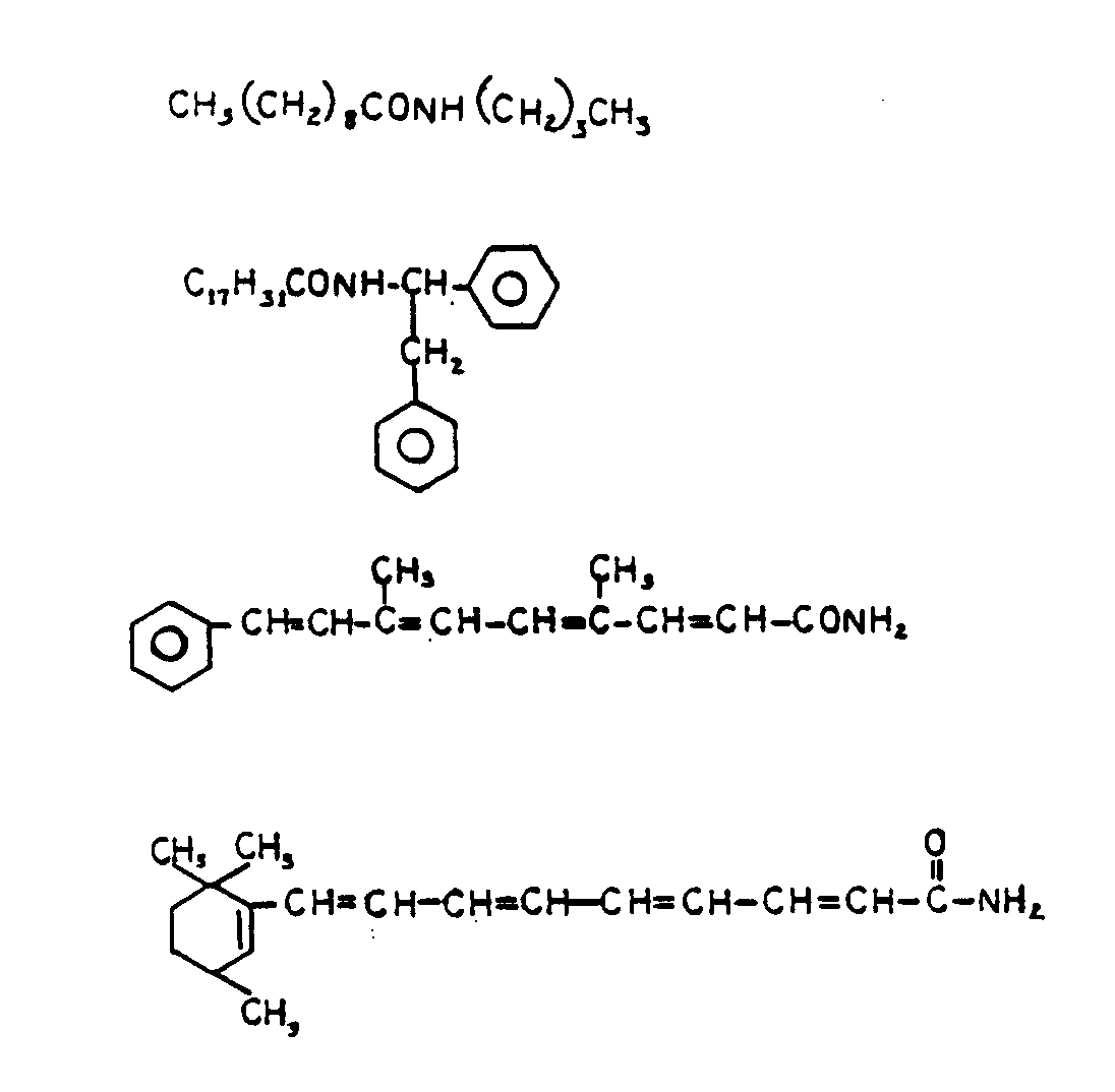
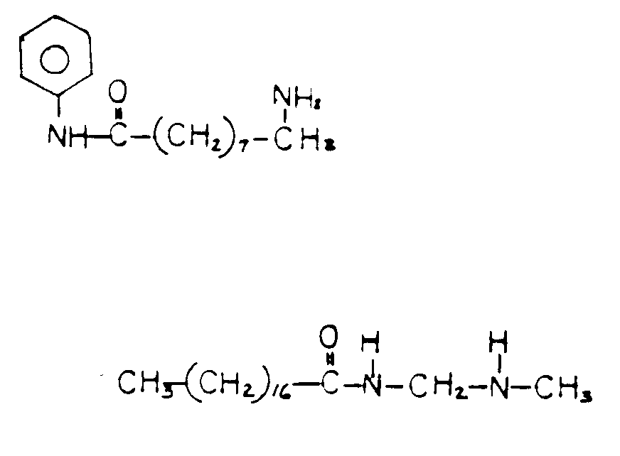
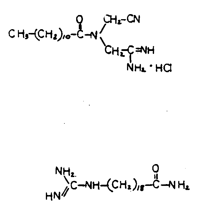
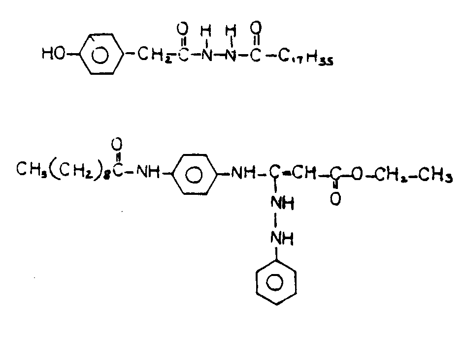
35 | The carbonyl is part of a carboxamide group (i.e., fatty acid amides) | ||||
This subclass is indented under subclass 1. Compounds which are fatty acid amides, i.e., compounds having
an acyclic chain of at least seven uninterrupted carbons bonded
directly to the carbonyl of a -C(=O)- NH(H) group, wherein
the hydrogens may be substituted.
SEE OR SEARCH CLASS:
| |||||
36 | Additional carbonyl in the acid moiety | ||
This subclass is indented under subclass 35. Compounds wherein an additional carbonyl is in the acid
moiety.
| |||
37 | Noncarbon atom bonded directly to the additional carbonyl | ||
This subclass is indented under subclass 36. Compounds wherein an atom other carbon is bonded directly
to the additional carbonyl.
| |||
38 | Heavy metal or aluminum containing |
| This subclass is indented under subclass 35. Compounds which contain aluminum or a metal having a specific gravity greater than four. | |
39 | Boron, silicon, selenium, or tellurium containing |
| This subclass is indented under subclass 35. Compounds which contain boron, silicon, selenium, or tellurium. | |
40 | Phosphorus containing |
| This subclass is indented under subclass 35. Compounds which contain phosphorus. | |
41 | Additional nitrogen containing |
| This subclass is indented under subclass 40. Compounds which contain nitrogen in addition to the carboxamide nitrogen. | |
42 | Sulfur containing |
| This subclass is indented under subclass 35. Compounds which contain sulfur. | |
43 | The sulfur is bonded directly to the carboxamide nitrogen or to an additional nitrogen (e.g., sulfonamide, sulfamic acid, etc.) | ||
This subclass is indented under subclass 42. Compounds wherein sulfur is bonded directly to the carboxamide
nitrogen or to an additional nitrogen.
| |||
44 | Sulfoxy containing |
| This subclass is indented under subclass 42. Compounds which contain oxygen bonded directly to sulfur. | |
45 | Ring bonded directly to the sulfoxy |
| This subclass is indented under subclass 44. Compounds wherein the sulfoxy group is bonded directly to a ring. | |
46 | Additional nitrogen containing |
| This subclass is indented under subclass 44. Compounds which contain nitrogen in addition to the carboxamide nitrogen. | |
47 | Containing -C(=O)O- group (e.g., carboxylic acid, ester, salt, etc.) | ||
This subclass is indented under subclass 46. Compounds which contain a -O- group.
| |||
48 | Additional carboxamide containing |
| This subclass is indented under subclass 46. Compounds which contain two or more carboxamide groups. | |
49 | The carboxamide nitrogen and a -S(=O)(=O)-O-X group attached to each other by an acyclic chain which consists of carbons, wherein X is hydrogen or a metal (e.g., taurides, etc.) | ||
This subclass is indented under subclass 44. Compounds wherein the carboxamide nitrogen and a -S(=O)(=O)-O-X
group are attached to each other through an acyclic carbon chain, where
X is hydrogen or a metal.
| |||
50 | Sulfoxy in acid moiety | ||
This subclass is indented under subclass 44. Compounds which contain sulfur bonded directly to oxygen
in the acid moiety of the carboxamide.
| |||
51 | Additional nitrogen containing | ||
This subclass is indented under subclass 35. Compounds which contain plural nitrogens, i.e., nitrogen
in addition to the carboxamide nitrogen.
| |||
52 | Quaternary ammonium containing | ||
This subclass is indented under subclass 51. Compounds wherein the additional nitrogen is in a quaternary
ammonium group; i.e., a pentavalent nitrogen is bonded by four valences
to carbon.
| |||
53 | Amidino or guanidino containing | ||
This subclass is indented under subclass 51. Compounds which contain the -NH2 or
-NH-NH2 group, wherein substitution may be
made for hydrogen only.
| |||
54 | Cyano or hydrazino containing | ||
This subclass is indented under subclass 51. Compounds which contain a -CN group or a -NH-NH2 group,
wherein substitution may be made for hydrogen only.
| |||
55 | Halogen or additional oxygen containing (e.g., isocyanate containing, etc.) | ||
This subclass is indented under subclass 51. Compounds which contain halogen or plural oxygens, i.e.,
oxygen in addition to the carboxamide oxygen.
| |||
56 | Additional carboxamide group containing (e.g., carbamates, ureas, etc.) | ||
This subclass is indented under subclass 55. Compounds which contain at least two carboxamide groups.
| |||
57 | Plural additional carboxamide groups containing | ||
This subclass is indented under subclass 56. Compounds which contain three or more carboxamide group.
| |||
58 | Additional nitrogen or -C(=O)O- group containing |
| This subclass is indented under subclass 56. Compounds which contain a -O- group or nitrogen in addition to those in the two carboxamide groups. | |
59 | Containing -C(=O)O- group |
| This subclass is indented under subclass 55. Compounds wherein the additional oxygen is in a O- group. | |
60 | Nitro containing or plural oxyalkylene groups bonded directly to each other |
| This subclass is indented under subclass 55. Compounds wherein the additional oxygen is in a nitro group or in a group composed of two or more oxyalkylene groups bonded directly to each other. | |
61 | Additional oxygen containing (e.g., amides of ricinoleic acid, etc.) |
| This subclass is indented under subclass 35. Compounds which contain plural oxygens, i.e., oxygen in addition to the carboxamide oxygen. | |
62 | Halogen containing |
| This subclass is indented under subclass 61. Compounds which contain halogen. | |
63 | Containing -C(=O)O- group |
| This subclass is indented under subclass 61. Compounds which contain a -O- group. | |
64 | Plural oxyalkylene groups bonded directly to each other |
| This subclass is indented under subclass 61. Compounds which contain two or more oxyalkylene groups; i.e., -O-Alkyl-, bonded directly to each other. | |
65 | Oxygen bonded directly to a ring |
| This subclass is indented under subclass 61. Compounds wherein the oxygen is bonded directly to a ring. | |
66 | Hydroxyalkyl substituent on the amido nitrogen | ||
This subclass is indented under subclass 61. Compounds which contain an hydroxyalkyl group bonded directly
to the carboxamide nitrogen through a carbon of the group.
| |||
67 | Halogen containing |
| This subclass is indented under subclass 35. Compounds which contain halogen. | |
68 | Processes |
| This subclass is indented under subclass 35. Processes which are directed to the preparation, recovery, or treatment of a fatty acid amide. | |
69 | Amidation |
| This subclass is indented under subclass 68. Processes which are directed to the formation of the carboxamide group; e.g., by reacting a fatty acid, salt, ester, acid halide, or anhydride with ammonia or an amino nitrogen containing compound. | |
70 | Purification or recovery |
| This subclass is indented under subclass 68. Processes which are directed to separating the fatty acid amide from impurities or from the reaction mixture. | |
71 | Heavy metal containing (e.g., As, Cr, Mn, Sb, V, etc.) |
| This subclass is indented under subclass 1. Compounds which contain a metal having a specific gravity greater than four. | |
72 | Titanium, zirconium, or cerium containing (Ti, Zr, or Ce) |
| This subclass is indented under subclass 71. Compound wherein the heavy metal is titanium, zirconium, or cerium. | |
73 | Lead or tin containing (Pb or Sn) |
| This subclass is indented under subclass 71. Compounds wherein the heavy metal is lead or tin. | |
74 | Iron, cobalt, nickel, copper, silver, or gold containing (Fe, Co, Ni, Cu, Ag, or Au) |
| This subclass is indented under subclass 71. Compounds wherein the heavy metal is iron, cobalt, nickel, copper, silver, or gold. | |
75 | Zinc, cadmium, or mercury containing (Zn, Cd, or Hg) |
| This subclass is indented under subclass 71. Compounds wherein the heavy metal is zinc, cadmium, or mercury. | |
76 | Aluminum containing |
| This subclass is indented under subclass 1. Compounds which contain aluminum. | |
77 | Boron, selenium, or silicon containing |
| This subclass is indented under subclass 1. Compounds which contain boron, selenium, or silicon. | |
78 | Phosphorus containing |
| This subclass is indented under subclass 1. Compounds which contain phosphorus. | |
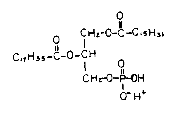
79 | Glycerophosphates (e.g., phosphatidic acids, phosphatidyl inositol, etc.) | ||||
This subclass is indented under subclass 78. Compounds which are phosphoric acid glycerol esters containing
a fatty acid moiety.
| |||||
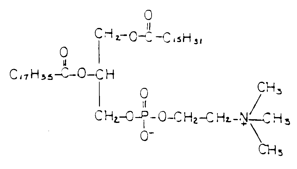
80 | Nitrogen containing (e.g., cephalins, lecithins, etc.) | ||
This subclass is indented under subclass 79. Compounds which contain nitrogen.
| |||
81 | Halogen or sulfur containing |
| This subclass is indented under subclass 80. Compounds which contain halogen or sulfur. | |
82 | Processes of forming the compound |
| This subclass is indented under subclass 80. Processes which are directed to the preparation of nitrogen containing glycerophosphates. | |
83 | Purification on recovery |
| This subclass is indented under subclass 80. Processes which include separating the compound from impurities or the reaction mixture. | |
84 | Nitrogen containing |
| This subclass is indented under subclass 78. Compounds which contain nitrogen. | |
85 | Sulfur containing |
| This subclass is indented under subclass 1. Compounds which contain sulfur. | |
86 | Processes utilizing sulfur chloride |
| This subclass is indented under subclass 85. Processes wherein the sulfur containing compound is treated with or prepared in a reaction utilizing sulfur chloride. | |
87 | Processes utilizing elemental sulfur |
| This subclass is indented under subclass 85. Processes wherein the sulfur containing compound is treated with or prepared in a reaction utilizing elemental sulfur. | |
88 | Sulfoxy containing (e.g., sulfones, etc.) | ||
This subclass is indented under subclass 85. Compounds which contain oxygen bonded directly to sulfur.
| |||
89 | Twitchell or Pfeilring reagent (i.e., product of sulfonation of fatty material in the presence of an aromatic hydrocarbon or phenol) | ||
This subclass is indented under subclass 88. Compounds which are sulfo-aromatic fatty acids prepared
by the action of sulfuric acid on an aromatic hydrocarbon such as
naphthalene, and a fatty compound, such as castor oil or oleic acid.
| |||
90 | The sulfoxy is in the alcohol moiety (e.g., sulfate esters of fatty acid monoglycerides, etc.) | ||
This subclass is indented under subclass 88. Compounds wherein the sulfoxy is in the alcohol moiety.
| |||
91 | Nitrogen bonded directly to carbon in the alcohol moiety |
| This subclass is indented under subclass 90. Compounds which contain nitrogen bonded directly to carbon in the alcohol moiety. | |
92 | Having -S(=O)(=O)-O-X attached indirectly to the single bonded oxygen of the carboxyl group by a single carbon or a chain consisting of carbons, which chain or carbon may include a ring, wherein X is hydrogen or a cation (e.g., isethionates, etc.) | ||
This subclass is indented under subclass 90. Compounds wherein-S(=O)(=O)-O-X is attached
indirectly through a single carbon or carbon chain to the single
bonded oxygen of the -O- group, wherein X is hydrogen or a cation.
| |||
93 | Purification or recovery |
| This subclass is indented under subclass 90. Processes which include separating the compound from impurities or from the reaction mixture. | |
94 | Nitrogen containing (e.g., sulfonamide containing, etc.) | ||
This subclass is indented under subclass 88. Compounds which contain nitrogen.
| |||
95 | Carbocyclic ring in the acid moiety | ||
This subclass is indented under subclass 88. Compounds which contain a carbocyclic ring in the acid moiety.
| |||
96 | Carbon bonded directly to -S(=O)(=O)OH or to -O-S(=O)(=O)OH, wherein H may be replaced by a cation or by an ester forming group (e.g., sulfonic acid sulfate monoester, etc.) |
| This subclass is indented under subclass 88. Compounds which contain a sulfonic acid or a sulfate monoester substituent, or a salt or ester of the substituent. | |
97 | Metal salt | ||
This subclass is indented under subclass 96. Compounds which are metal salts.
| |||
98 | Processes utilizing anhydrous sulfur trioxide (e.g., in gaseous form, in sulfur dioxide solution, etc.) |
| This subclass is indented under subclass 96. Processes which are directed to preparing the compound by reacting anhydrous sulfur trioxide. | |
99 | Processes of sulfonating in the presence of lower carboxylic acid, anhydride, acid halide, or phosphorus containing material |
| This subclass is indented under subclass 96. Processes wherein the compound is prepared by a sulfonation reaction which is carried out in the presence of (1) a lower carboxylic acid (i.e., the uninterrupted carbon chain in the acid moiety contains fewer than seven carbons), (2) an anhydride thereof, (3) an acid halide thereof, or (4) a phosphorus containing material. | |
100 | Purification or recovery |
| This subclass is indented under subclass 96. Processes which are directed to separating the compound from impurities or from the reaction mixture. | |
101 | Thioether, thiol, or mercaptide containing |
| This subclass is indented under subclass 85. Compounds which contain -S- Carbon, -SH or -SM where M is a metal. | |
102 | Plural sulfurs containing |
| This subclass is indented under subclass 101. Compounds which contain two or more sulfur atoms. | |
103 | Nitrogen containing | ||||
| This subclass is indented under subclass 1. Compounds which contain nitrogen.
SEE OR SEARCH THIS CLASS, SUBCLASS:
SEE OR SEARCH CLASS:
| |||||
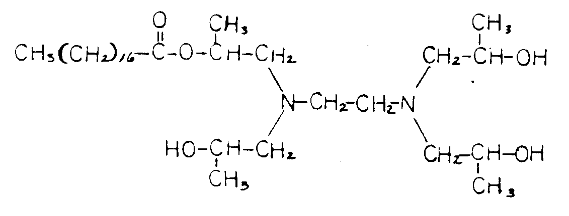
104 | Plural nitrogens containing (e.g., guanidine, hydrazine, etc.) | ||||
This subclass is indented under subclass 103. Compounds which contain two or more nitrogen atoms.
| |||||
105 | Additional oxygen containing | ||
This subclass is indented under subclass 104. Compounds which contain oxygen in addition to the oxygens
of the -C(=O)O- group.
| |||
106 | The additional oxygen is in a carboxamide, carbamate, or urea group (e.g., chloramphenicol palmitate, etc.) | ||
This subclass is indented under subclass 105. Compounds wherein the additional oxygen is in a carboxamide
group.
| |||
107 | The additional oxygen is in a -C(=O)O- group | ||
This subclass is indented under subclass 105. Compounds wherein the additional oxygen is in a C(=O)O-
group.
| |||
108 | Additional oxygen containing (e.g., hydroxy, ether, etc.) |
| This subclass is indented under subclass 103. Compounds which contain oxygen in addition to the oxygens of the -C(=O)O- group. | |
109 | Plural additional oxygens containing |
| This subclass is indented under subclass 108. Compounds which contain two or more oxygens in addition to the oxygens of the -C(=O)O- group. | |
110 | The additional oxygens are in a -C(=O)O- group |
| This subclass is indented under subclass 109. Compounds wherein the additional oxygens are in a -C(=O)O- group. | |
111 | Nitro or carboxamide containing |
| This subclass is indented under subclass 109. Compounds which contain a -N(=O)(=O) or -C(=O)-- group. | |
112 | Carboxamide, cyano, or isocyanate containing |
| This subclass is indented under subclass 108. Compounds which contain a -C(=O)--, -CN or -N=C=O group. | |
113 | Cyano containing |
| This subclass is indented under subclass 103. Compounds which contain a -CN group. | |
114 | Processes |
| This subclass is indented under subclass 103. Processes which are directed to the preparation, recovery or treatment of a nitrogen containing fatty compound. | |
115 | Additional carbonyl in the acid moiety (e.g., oiticica oil, licanic acid, etc.) | ||
This subclass is indented under subclass 1. Compounds which contain, in addition to the carbonyl of
the -C(=O)O- group, a carbonyl group, i.e., -C(=O)-,
in the acid moiety.
| |||
116 | Benzene ring in the acid moiety | ||
This subclass is indented under subclass 115. Compounds which contain a benzene ring in the acid moiety.
| |||
117 | Alicyclic ring in the acid moiety (e.g., prostaglandin analogs, etc.) | ||
This subclass is indented under subclass 115. Compounds which contain an alicyclic ring in the acid moiety.
| |||
118 | Oxygen double bonded directly to the ring (i.e., the carbon of the additional carbonyl is part of the ring; e.g., homo prostaglandins, etc.) | ||
This subclass is indented under subclass 117. Compounds wherein the carbon of the additional carbonyl
is a ring carbon.
| |||
119 | Additional oxygen bonded directly to the ring | ||
This subclass is indented under subclass 118. Compounds which contain an additional oxygen bonded directly
to the ring.
| |||
120 | Hydrogen bonded directly to the additional carbonyl (i.e., aldehyde containing) |
| This subclass is indented under subclass 115. Compounds wherein hydrogen is bonded directly to the additional carbonyl, i.e., aldehyde containing. | |
121 | The additional carbonyl is in a -C(=O)O- group | ||
This subclass is indented under subclass 115. Compounds wherein the additional carbonyl is in a -C(=O)O-
group.
| |||
122 | Plural additional carbonyls in the acid moiety | ||
This subclass is indented under subclass 121. Compounds which contain, in addition to the carbonyl of
the -C(=O)O- group, two or more carbonyls in the acid moiety,
at least one of which is in a -C(=O)O- group.
| |||
123 | Halogen or plural additional carbonyls in the acid moiety |
| This subclass is indented under subclass 115. Compounds which contain halogen or at least two additional carbonyls in the acid moiety. | |
124 | Processes of forming the compound |
| This subclass is indented under subclass 1. Processes which are directed to the chemical preparation of a fatty compound. | |
125 | Geometric isomer formation (e.g., cis-trans, syn-anti, etc.) |
| This subclass is indented under subclass 124. Processes wherein an optically inactive fatty compound with a double bond is treated to effect a spatial rearrangement of the atoms therein, such as converting elaidic acid (trans -9- octadecenoic acid) to oleic acid (cis -9- octadecenoic acid). | |
126 | Double bond shift (e.g., conjugation, etc.) |
| This subclass is indented under subclass 124. Processes wherein a fatty compound containing ethylenic unsaturation is treated to cause a double bond to shift to another position. | |
127 | Forming carbon to carbon unsaturation (i.e., forming a double or triple bond) |
| This subclass is indented under subclass 124. Processes which are directed to forming a double or triple bond in a compound, such as by dehydration. | |
128 | Carbonylation, carbonation, or hydroformylation |
| This subclass is indented under subclass 124. Processes wherein the fatty compound is prepared by reacting an organic compound (usually an unsaturated hydrocarbon) with (1) carbon monoxide, (2) carbon dioxide, or (3) a carbon oxide and hydrogen or water. | |
129 | Phosphorus or sulfur containing material utilized |
| This subclass is indented under subclass 128. Processes utilizing a phosphorus or sulfur containing material, e.g., as a catalyst or promoter. | |
130 | Halogen containing material utilized |
| This subclass is indented under subclass 128. Processes utilizing a halogen containing material. | |
131 | Group VIII metal containing material utilized |
| This subclass is indented under subclass 128. Processes utilizing a Group VIII metal containing material. | |
132 | Oxidation |
| This subclass is indented under subclass 124. Processes wherein the fatty compound is prepared by oxidation. | |
133 | Ozone utilized |
| This subclass is indented under subclass 132. Process utilizing ozone. | |
134 | Molecular oxygen utilized as oxidizing agent |
| This subclass is indented under subclass 132. Processes wherein molecular oxygen is utilized as the oxidizing agent. | |
135 | Heavy metal containing catalyst utilized |
| This subclass is indented under subclass 134. Processes wherein a catalyst containing a metal having a specific gravity greater than four (4) is utilized. | |
136 | Cobalt containing catalyst |
| This subclass is indented under subclass 135. Processes wherein the heavy metal is cobalt. | |
137 | Manganese containing catalyst |
| This subclass is indented under subclass 135. Processes wherein the heavy metal is manganese. | |
138 | Peroxy containing material utilized as oxidizing agent |
| This subclass is indented under subclass 132. Processes utilizing a peroxy containing material as the oxidizing agent. | |
139 | Nitric acid utilized as oxidizing agent |
| This subclass is indented under subclass 132. Processes utilizing nitric acid as the oxidizing agent. | |
140 | Chromium containing compound utilized as oxidizing agent (e.g., chromic acid, chromosulfuric acid, etc.) |
| This subclass is indented under subclass 132. Processes utilizing a chromium containing compound as the oxidizing agent. | |
141 | Catalytic hydrogenation | ||
This subclass is indented under subclass 124. Processes wherein the fatty compound is prepared by the
addition of hydrogen in the presence of a catalyst.
| |||
142 | Including esterification or inter-esterification (e.g., prior to, simultaneously with, or after hydrogenation, etc.) |
| This subclass is indented under subclass 141. Processes which include esterification or molecular rearrangement before, during or after hydrogenation. | |
143 | Conversion of a functional group in the course of hydrogenation (e.g., hydrogenolysis, etc.) | ||
This subclass is indented under subclass 141. Processes wherein conversion of a functional group occurs
during the course of hydrogenation (addition of hydrogen).
| |||
144 | Plural hydrogenation steps or continuous hydrogenation process |
| This subclass is indented under subclass 141. Processes which include two or more hydrogenation steps or a continuous hydrogenation process. | |
145 | Selective hydrogenation (e.g., of polyunsaturated to monounsaturated, of acetylenic to ethylenic compound, etc.) |
| This subclass is indented under subclass 141. Processes wherein reaction conditions are selected and controlled to produce a high percentage of desired products. | |
146 | Plural heavy metal containing materials utilized |
| This subclass is indented under subclass 141. Processes wherein two or more materials containing a metal having a specific gravity greater than four (4) are utilized. | |
147 | Additional treating agent utilized (e.g., as catalyst carrier or promoter, oil deodorizer, oil solvent, pretreatment agent, oil filtering aid, etc.) |
| This subclass is indented under subclass 141. Processes utilizing an additional treating agent. | |
148 | Oxygen containing hetero ring reactant (e.g., succinic anhydride, etc.) |
| This subclass is indented under subclass 124. Processes directed to preparing the fatty compound from a reactant which contains an oxygen containing heterocyclic ring. | |
149 | Oxirane containing reactant |
| This subclass is indented under subclass 148. Processes wherein the oxygen containing heterocyclic ring is oxirane, i.e., ethylene oxide. | |
150 | Organic halogen containing reactant |
| This subclass is indented under subclass 124. Processes wherein the fatty compound is prepared by reacting an organic halogen containing compound. | |
151 | The reactant contains carbonyl bonded directly to the halogen |
| This subclass is indented under subclass 150. Processes wherein the organic halogen containing reactant has a -C(=O)- group bonded directly to the halogen ( i.e., carboxylic acid halide). | |
152 | Another reactant is a carboxylic acid salt |
| This subclass is indented under subclass 150. Processes which include utilizing a carboxylic acid salt reactant, in addition to the organic halogen containing compound. | |
153 | Metal containing material utilized (e.g., Grignard reagent, Friedel Crafts catalyst, etc.) |
| This subclass is indented under subclass 150. Processes wherein a metal containing material is utilized; this metal may be a part of or in addition to the organic halogen containing reactant. | |
154 | Nitrogen, phosphorus, or sulfur containing reactant |
| This subclass is indented under subclass 124. Processes wherein the fatty compound is prepared by reacting a nitrogen, phosphorus or sulfur containing material. | |
155 | Inorganic sulfur containing reactant (e.g., utilizing sulfuric acid to decompose soap, etc.) |
| This subclass is indented under subclass 154. Processes wherein an inorganic sulfur containing material is utilized. | |
156 | Group IA or IIA metal containing reactant (e.g., forming a soap from fat and alkali, i.e., saponification, etc.) | ||||||
This subclass is indented under subclass 124. Processes wherein the fatty compound is prepared by reacting
a Group IA or Group IIA light metal containing material.
SEE OR SEARCH THIS CLASS, SUBCLASS:
SEE OR SEARCH CLASS:
| |||||||
157 | Organic material, in addition to a fatty material, utilized or plural diverse fatty materials utilized (e.g., as solvent, reaction promoter, etc.) |
| This subclass is indented under subclass 156. Processes wherein at least two different fatty materials are utilized or a fatty material and an additional organic material are utilized. | |
158 | Inorganic boron, halogen, phosphorus, silicon, sulfur, elemental metal, or additional metal containing compound utilized (e.g., utilizing inorganic agent for "salting out", bleaching, purifying, etc.) |
| This subclass is indented under subclass 156. Processes which include utilizing (1) elemental metal, (2) an inorganic boron, halogen, phosphorus, silicon, or sulfur containing compound, or (3) an additional metal containing compound. | |
159 | Inorganic halogen containing reactant |
| This subclass is indented under subclass 124. Processes wherein the fatty compound is prepared by reacting an inorganic halogen containing compound. | |
160 | Hydrolyzing fatty material with water only |
| This subclass is indented under subclass 124. Processes wherein a fatty acid compound is produced by the reaction of water with a fatty material (fat splitting). | |
161 | Reactant contains -C(=O)O- group (e.g., carboxylic acid, salt, anhydride, etc.) |
| This subclass is indented under subclass 124. Processes wherein the fatty compound is prepared from a reactant which contains a -C(=O)O- group. | |
162 | Bonding a hydrocarbyl group to the -C(=O)O- containing reactant |
| This subclass is indented under subclass 161. Processes wherein a moiety containing carbon and hydrogen only is bonded to the -C(=O)O- containing reactant. | |
163 | The -C(=O)O- is part of an ester group |
| This subclass is indented under subclass 161. Processes wherein the single bonded oxygen of the -C(=O)O- group is bonded directly to an additional carbon, which carbon may be single bonded to any atom but may be multiple bonded only to carbon (i.e., a carboxylic acid ester). | |
164 | Another reactant is a carboxylic acid anhydride (i.e., contains -C(=O)-O-C(=O)-) |
| This subclass is indented under subclass 163. Processes which include a carboxylic acid anhydride as an additional reactant, i.e., reactant containing a -C(=O)-O-C(=O)- group. | |
165 | Another reactant is a carboxylic acid |
| This subclass is indented under subclass 163. Processes which include as an additional reactant a carboxylic acid; i.e., reactant containing a -C(=O)-OH group. | |
166 | Polycarboxylic or hydroxy acid (i.e., containing additional -C(=O)OH or an -OH group) |
| This subclass is indented under subclass 165. Processes wherein the carboxylic acid reactant contains plural-C(=O)OH groups or has an -OH group in the acid moiety. | |
167 | Another reactant contains alcoholic or phenolic hydroxy (e.g., methy ricinoleate, etc.) |
| This subclass is indented under subclass 163. Processes which include a reactant containing an -OH group bonded directly to carbon, which carbon may be single bonded to any atom but may be multiple bonded only to carbon (e.g., an alcohol, phenol, etc.). | |
168 | Plural alcoholic or phenolic hydroxys (e.g., glycerol, castor oil, etc.) |
| This subclass is indented under subclass 167. Processes wherein the reactant contains two or more of the hydroxy groups. | |
169 | Molecular rearrangement of the acid moieties of glyceride esters (e.g., random or directed low temperature intra- or inter-esterification of fats, oils, etc.) | ||
This subclass is indented under subclass 163. Processes wherein glycerol esters, i.e., glycerides, are
treated, (e.g., by heat, with catalyst, etc.) to cause the rearrangement
of the -C(=O)O- groups, resulting in a different ester or
mixture of esters.
| |||
170 | Another reactant contains alcoholic or phenolic hydroxy |
| This subclass is indented under subclass 161. Processes which include an additional reactant, which reactant contains an -OH group bonded directly to carbon, which carbon may be single bonded to any atom but may be multiple bonded only to carbon (e.g., an alcohol, phenol, etc.). | |
171 | Ring in the hydroxy containing reactant |
| This subclass is indented under subclass 170. Processes wherein the alcohol reactant contains a ring. | |
172 | Plural hydroxys in the hydroxy containing reactant |
| This subclass is indented under subclass 170. Processes wherein the alcohol reactant is a polyhydric alcohol, i.e., contains plural -OH groups. | |
173 | Glycerol |
| This subclass is indented under subclass 172. Processes wherein the polyhydric alcohol is glycerol; i.e., | |
174 | Esterification of fatty material to reduce the amount of free fatty acid or to facilitate separation of constituents |
| This subclass is indented under subclass 1. Processes wherein the hydrogen of a -C(=O)OH group of a free fatty acid is replaced by a carbon atom, which carbon may be single bonded to any atom but multiple bonded only to carbon, to reduce the free fatty acid content of the fatty compound source material or to facilitate separation of the constituents of the mixture. | |
175 | Purification, recovery, deodorizing, decolorizing or color stabilizing |
| This subclass is indented under subclass 1. Processes which are directed to the purification, recovery, deodorization, decolorization, or color stabilization of fatty compounds. | |
176 | Metal containing contaminant removal (e.g., of colloidal elemental metal catalyst, of metal ions, etc.) | ||
This subclass is indented under subclass 175. Processes wherein a fatty compound is treated to remove
a metal or metal compound therefrom.
| |||
177 | Recovering from industrial waste materials (e.g., foots, textile treating liquors, spent sorbents, filter cake, sewage, sludge, soapstock, etc.) | ||||
| This subclass is indented under subclass 175. Processes wherein waste materials, such as foots, textile
treating liquors, spent absorbents, filter cake, sewage, sludge,
soapstock, or other industrial wastes are utilized as the source material.
SEE OR SEARCH THIS CLASS, SUBCLASS:
SEE OR SEARCH CLASS:
| |||||
178 | Metal oxide, hydroxide, carbonate, or bicarbonate treating agent |
| This subclass is indented under subclass 177. Processes wherein a metal oxide, hydroxide, carbonate, or bicarbonate is utilized as a treating agent. | |
179 | Organic or inorganic acid or anhydride treating agent (e.g., carbon dioxide, sulfur dioxide, etc.) |
| This subclass is indented under subclass 177. Processes which include utilizing an organic or inorganic acid or anhydride as a treating agent. | |
180 | Hydrocarbon or halohydrocarbon treating agent | ||
This subclass is indented under subclass 177. Processes wherein a hydrocarbon or a halohydrocarbon is
utilized as a treating agent.
| |||
181 | Oxidation of impurities |
| This subclass is indented under subclass 175. Processes wherein impurities are oxidized from a mixture containing fatty compounds. | |
182 | Peroxy containing treating agent |
| This subclass is indented under subclass 181. Processes wherein a peroxy containing treating agent is utilized. | |
183 | Air, gaseous oxygen, or halogen containing treating agent |
| This subclass is indented under subclass 181. Processes wherein air, gaseous oxygen or a halogen containing compound is utilized as a treating agent. | |
184 | Nitrogen containing compound treating agent |
| This subclass is indented under subclass 175. Processes wherein a nitrogen containing compound is utilized as a treating agent. | |
185 | The treating agent is organic |
| This subclass is indented under subclass 184. Processes wherein an organic nitrogen containing treating agent is utilized. | |
186 | Urea or nitro group containing |
| This subclass is indented under subclass 185. Processes wherein the organic nitrogen containing treating agent contains a urea (i.e., --) or nitro (i.e., -NO2) group. | |
187 | Sulfur containing treating agent |
| This subclass is indented under subclass 175. Processes wherein a sulfur containing treating agent is utilized. | |
188 | Sulfuric or sulfurous acid treating agent |
| This subclass is indented under subclass 187. Processes wherein the sulfur containing treating agent is sulfuric acid (i.e., H2SO4) or sulfurous acid (i.e., H2SO3). | |
189 | The treating agent is inorganic |
| This subclass is indented under subclass 187. Processes wherein an inorganic sulfur containing treating agent is utilized. | |
190 | Boron or phosphorus containing treating agent |
| This subclass is indented under subclass 175. Processes wherein a boron or phosphorus containing treating agent is utilized. | |
191 | Sorbent material utilized (e.g., activated carbon, decolorizing clay, bentonite, synthetic resin, etc.) | ||
This subclass is indented under subclass 175. Processes wherein a sorbent material, such as activated
carbon, clay, or synthetic resin, is utilized.
| |||
192 | And utilizing Group IA or IIA metal oxide, hydroxide, or carbonate treating agent (e.g., saponification, neutralization, etc.) |
| This subclass is indented under subclass 191. Processes wherein, in addition to the sorbent material, a Group IA or IIA metal oxide, hydroxide or carbonate is utilized as a treating agent. | |
193 | Removal of fatty material from the sorbent or solvent utilized |
| This subclass is indented under subclass 191. Processes in which a solvent is utilized or whereby a fatty compound is separated from the sorbent material. | |
194 | Heavy metal or aluminum containing treating agent |
| This subclass is indented under subclass 175. Processes utilizing a treating agent containing a metal having a specific gravity greater than four or aluminum. | |
195 | Group IA or IIA light metal containing treating agent (i.e., Li, Na, K, Rb, Cs, or Be, Mg, Ca, Sr, Ba) [e.g., carbonates, etc.] | ||
This subclass is indented under subclass 175. Processes wherein the treating agent contains a Group IA
or Group IIA light metal.
| |||
196 | Silicon containing treating agent (e.g., sodium silicate, etc.) | ||
This subclass is indented under subclass 195. Processes which include utilizing a silicon containing treating
agent.
| |||
197 | Inorganic halogen containing treating agent |
| This subclass is indented under subclass 195. Processes which include an inorganic halogen containing treating agent; the halogen may be in the same compound as the Group IA or IIA metal or the halogen containing compound may be an additional treating agent. | |
198 | Organic treating agent added to or included with fatty material |
| This subclass is indented under subclass 195. Processes wherein the fatty compound source material is a mixture including another specified organic treating agent, or wherein an organic treating agent is added to the source material. | |
199 | The organic treating agent contains oxygen |
| This subclass is indented under subclass 198. Processes wherein the specified or added organic treating agent contains oxygen. | |
200 | The treating agent is a carboxylic acid, anhydride, or salt thereof |
| This subclass is indented under subclass 199. Processes wherein the organic oxygen containing treating agent is a carboxylic acid, carboxylic acid anhydride or carboxylic acid salt. | |
201 | Water or steam added |
| This subclass is indented under subclass 195. Processes wherein added water or steam (water vapor) is utilized. | |
202 | The treating agent is a metal oxide or hydroxide (e.g., lye, lime, caustic alkali, etc.) |
| This subclass is indented under subclass 195. Processes wherein a metal oxide or hydroxide is utilized. | |
203 | Centrifugal separation |
| This subclass is indented under subclass 202. Processes which include separation by centrifugation, i.e., fast rotation. | |
204 | Carboxylic acid, anhydride, or acid halide treating agent |
| This subclass is indented under subclass 175. Processes wherein a carboxylic acid, carboxylic acid anhydride, or carboxylic acid halide is utilized as a treating agent. | |
205 | Gas or vapor treating agent (e.g., steam, carbon dioxide, hydrocarbon vapors, etc.) |
| This subclass is indented under subclass 175. Processes which include utilizing a gaseous or vaporous material to purify, recover, deodorize, decolor, or to stabilize the color of, the fatty compound. | |
206 | Organic solvent utilized |
| This subclass is indented under subclass 175. Processes wherein an organic compound is utilized as solvent. | |
207 | Water utilized (e.g., solvent-solvent extraction, etc.) |
| This subclass is indented under subclass 206. Processes wherein water is utilized. | |
208 | With crystallization or precipitation (e.g., separation according to degree of saturation, etc.) |
| This subclass is indented under subclass 206. Processes which involve (1) the change in solution from a dissolved, molten, liquid or gaseous state to a solid state of definite, ordered and characteristic shape (crystallization) or (2) the formation of solid particles in a solution with settling out (precipitation). | |
209 | Halogen containing or hydrocarbon solvent |
| This subclass is indented under subclass 208. Processes wherein a halogen containing compound or material or a hydrocarbon is utilized as a solvent. | |
210 | Halogen containing or hydrocarbon solvent |
| This subclass is indented under subclass 206. Processes wherein a halogen containing compound or material or a hydrocarbon is utilized as a solvent. | |
211 | Crystallization or precipitation (e.g., separation according to degree of saturation, etc.) |
| This subclass is indented under subclass 175. Processes which involve (1) the change in solution from a dissolved, molten, liquid or gaseous state to a solid state of definite, ordered and characteristic shape (crystallization) or (2) the formation of solid particles in a solution with settling out (precipitation). | |
212 | Organic treating agent |
| This subclass is indented under subclass 175. Processes wherein an organic material is utilized. | |
213 | Additional oxygen in the acid moiety (e.g., hydroxystearic acid, etc.) | ||
This subclass is indented under subclass 1. Compounds wherein the acid moiety contains oxygen in addition
to those of the carboxylic acid, salt or ester group.
| |||
214 | Alicyclic ring in the acid moiety (e.g., prostaglandin analog, etc.) | ||
This subclass is indented under subclass 213. Compounds which contain an alicyclic ring in the acid moiety.
| |||
215 | Benzene ring in the acid moiety | ||
This subclass is indented under subclass 214. Compounds which contain a benzene ring in the acid moiety.
| |||
216 | Plural oxygens bonded directly to the alicyclic ring | ||
This subclass is indented under subclass 215. Compounds wherein two or more oxygens are bonded directly
to the alicyclic ring.
| |||
217 | Plural oxygens bonded directly to the ring | ||
This subclass is indented under subclass 214. Compounds wherein two or more oxygens are bonded directly
to the alicyclic ring.
| |||
218 | Benzene ring in the acid moiety | ||
This subclass is indented under subclass 213. Compounds which contain a benzene ring in the acid moiety.
| |||
219 | Acyclic carbon-to-carbon unsaturation in the acid moiety (e.g., ricinoleic acid, castor oil, etc.) | ||
This subclass is indented under subclass 213. Compounds wherein the acid moiety contains an acyclic ethylenic
double bond, or an acetylenic triple bond.
| |||
220 | Benzene ring in the acid moiety | ||
This subclass is indented under subclass 1. Compounds wherein the acid moiety contains a benzene ring.
| |||
221 | Alicyclic ring in the acid moiety | ||
This subclass is indented under subclass 1. Compounds wherein the acid radical contains an alicyclic
ring.
| |||
222 | The alicyclic ring is five-membered | ||
This subclass is indented under subclass 221. Compounds wherein the alicyclic ring is a five-membered
ring.
| |||
223 | Acyclic carbon-to-carbon unsaturation in the acid moiety | ||
This subclass is indented under subclass 1. Compounds wherein the acid moiety contains an acyclic ethylenic
double bond or an acetylenic triple bond.
| |||
224 | Plural carbon-to-carbon unsaturation in the acid moiety (e.g., polyunsaturated fatty acids, etc.) | ||
| This subclass is indented under subclass 223. Compounds which contain two or more unsaturated linkages,
which may be ethylenic double bonds, acetylenic triple bonds or
a combination of double and triple bonds.
SEE OR SEARCH THIS CLASS, SUBCLASS:
| |||
225 | Halogen in the acid moiety |
| This subclass is indented under subclass 1. Compounds which contain halogen in the acid moiety. | |
226 | Plural halogens in the acid moiety |
| This subclass is indented under subclass 225. Compounds which contain two or more halogens in the acid moiety. | |
227 | Plural oxy groups in the alcohol moiety (e.g., triglycerides, ethylene glycol monostearate, 2-methoxy ethyl laurate, etc.) |
| This subclass is indented under subclass 1. Compounds wherein, in a fatty acid ester, the alcohol moiety contains, in addition to the esterified hydroxy group, another hydroxy group, wherein the hydrogen of the additional hydroxy group may be substituted by acyl, an alcoholate-forming group or a hydrocarbon radical. | |
228 | Ring in the alcohol moiety |
| This subclass is indented under subclass 227. Compounds wherein the polyoxy alcohol moiety also contains a carbocyclic ring. | |
229 | Ring in the alcohol moiety |
| This subclass is indented under subclass 1. Compounds wherein the alcohol moiety contains a carbocyclic ring. | |
230 | Acyclic carbon-to-carbon unsaturation in the alcohol moiety |
| This subclass is indented under subclass 1. Compounds wherein the alcohol moiety is acyclic and contains an ethylenic double bond or an acetylenic triple bond. | |
231 | Halogen in the alcohol moiety |
| This subclass is indented under subclass 1. Compounds which contain halogen in the alcohol moiety. | |
![[Search a list of Patent Appplications for class 554]](../as.gif)
![[List of Patents for class 554 subclass 1]](../ps.gif)


















































