CLASS 536, | ORGANIC COMPOUNDS -- PART OF THE CLASS 532-570 SERIES |
| Click here for a printable version of this file | |
SUBCLASSES
1.11 | Carbohydrates and derivatives: | ||||||||||||||||||||||||||||||||||||||||||||
| This subclass is indented under subclass 1. Compounds which are carbohydrates or derivatives thereof,
i.e., those compounds which satisfy one of the three criteria set
forth below (unless otherwise indicated, figures are representative
examples only):Criterion 1: compounds whose monomeric units are polyhydroxy
mono-aldehydes [1, 2] or polyhydroxy mono-ketones [3,
4] having the formula Cn(H2O)n (wherein
n = 5 or 6 – subsequent references to "n" refer
to these values), i.e., "acyclic saccharides," of
which representative samples are:
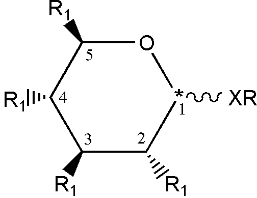
D-ribose [1]
D-glucose [2]
D-ribulose [3]
D-fructose [4] Criterion 2: the correspondingcyclic hemiacetals, i.e. "cyclic saccharides" ofwhich representative examples are:
a-D-ribose D-ribofuranose [5]
a-D-glucose D-glucopyranose [6]
a-D-glucose D-glucopyranose [7]
a-D-glucose D-glucopyranose [8] wherein:(i) figure [5] is the cyclic form of figure [1],(ii) figures [6-8] each depict, in a differentway, a-D-glucose, which is one of the two cyclic forms of D-glucoseshown in figure [2], (iii) figure [2] isa Fischer projection, figure [6] is a conformationalprojection, figure [7] is a Haworth projection,and figure [8] is a Mills projection, (iv) thenumber one carbon atom, the asterisked carbon atom, is the hemiacetalcarbon and is also known as the anomeric carbon. Criterion 3: the derivatives of (1) or (2) wherein: (a) for acyclic saccharides,(i) the 5 or 6 carbon member skeleton and the carbonylfunction are not destroyed, (ii) there are no fewer than(n - 2) total –OR moieties directly bonded to the carbonskeleton (wherein R is H or a group bonded to oxygen through carbon), (iii) no more than one oxygen atom is attached to any one carbonof the carbon skeleton, and structures [9-14] areillustrative:
[9]
[10]
[11]
[12]
[13]
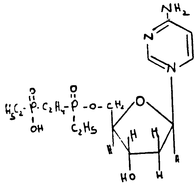
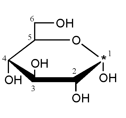
[14] (b) for cyclicsaccharides, except for C-glycosyl compounds describedin section, and (c) there can be substitution by moieties whichdo not destroy the cyclic saccharide structure as long as at least one –XH or –XR group is bonded directly to the hemiacetal/anomeric carbon(this carbon is denoted with an asterisk in the figuresbelow), wherein X is –O–, –S–,or –NRS– and R is H or agroup bonded to X through carbon and RS is asubstituent which completes the valency of the nitrogen atom, andfigures [15-18] represent the minimum structurenecessary to constitute a cyclic saccharide derivative:
[15] n=5
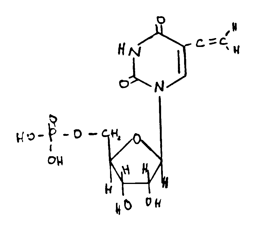
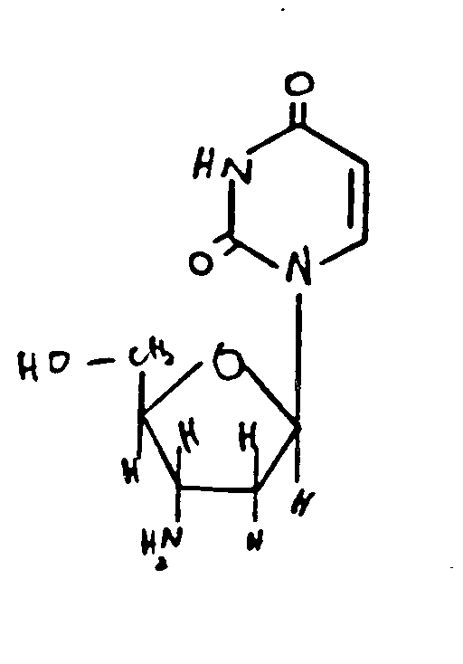
[16] n=6
[17] n=6
[18] n=6 wherein: - at leastone of the R1 (where n = 5) or atleast two of the R1 (where n = 6)must be –OR wherein R is H or a group bonded to the oxygenof –OR through carbon; and the representation of thebond between XR and the ring position 1 in ech of the structures [15-18] signifiesan a (i.e., axial) or b (i.e., equatorial) configuration (c) forcyclic saccharide, C-glycosyl-type compounds (also known as C-glycosides) (i) C-glycosyl compounds will have the structure defined below [19-21]
[19] n=5
[20] n=6
[21] n=6 wherein: - at leastone of the R1 (where n = 5) or atleast two of the R1 (where n = 6)must be –OR wherein R is H or group bonded to the oxygenof –OR through carbon; - R2, R3,and R4 alone or in combination can be any substituentwhich completes the valency of the carbon atom. (ii) "C-glycoside",although often used in the art to represent this type compound,is a misnomer–"C-glycosyl" is the properterm.
SEE OR SEARCH THIS CLASS, SUBCLASS:
SEE OR SEARCH CLASS:
| |||||||||||||||||||||||||||||||||||||||||||||
2 | Pectin or derivative | ||
| This subclass is indented under subclass 1.11. Compounds which are pectins and reaction products thereof.
SEE OR SEARCH CLASS:
| |||
3 | Algin or derivative | ||
| This subclass is indented under subclass 1.11. Compounds which are algins or reaction products thereof.
SEE OR SEARCH CLASS:
| |||
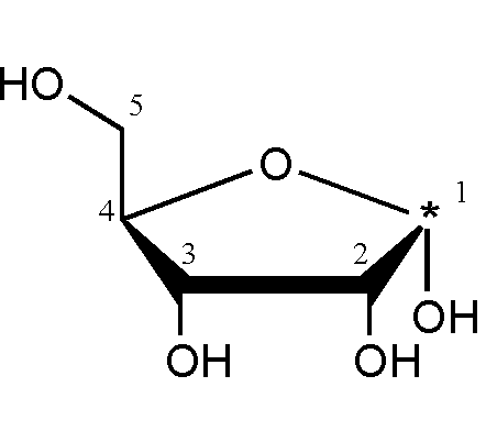
4.1 | O- or S-Glycosides: | ||||||||||||||
This subclass is indented under subclass 1.11. Compounds which an acetal or thiocetal derivatives of the
cyclic forms of sugars in which the hydrogen atom of the hemiacetal
hydroxyl or hemithioacetal sulfhydryl group has been replaced by
an alkyl, aralkyl, or aryl group.
SEE OR SEARCH THIS CLASS, SUBCLASS:
SEE OR SEARCH CLASS:
| |||||||||||||||
4.4 | Aescin or derivative: |
| This subclass is indented under subclass 4.1. Products which consist of a mixture of sapogenin glycosides (saponins) obtained from the seed of the horse chestnut tree (Aesculus hippocastanum). | |
5 | Cyclopentanohydrophenanthrene ring system |
| This subclass is indented under subclass 4.1. Compounds in which the aglycone moiety of the glycoside contains a cyclopentanohydrophenanthrene nucleus. | |
6 | Oxygen containing six-membered hetero ring (e.g., oxathiane, etc.) |
| This subclass is indented under subclass 5. Compounds wherein a six- membered hetero-O-cyclic substituent is connected directly to a carbon atom of the cyclopentanohydrophenathrene nucleus. | |
6.1 | Oxygen containing five-membered hetero ring: | ||||||
This subclass is indented under subclass 5. Compounds wherein a five-membered hetero-O-cyclic substitutent
is connected directly to a carbon atom of the cyclopentanohydrophenanthrene
nucleus.
SEE OR SEARCH THIS CLASS, SUBCLASS:
| |||||||
6.2 | Nitrogen, phosphorus or halogen containing: |
| This subclass is indented under subclass 6.1. Compounds which contain nitrogen, phosphourus, or halogen. | |
6.3 | Processes of extracting from plant materials: |
| This subclass is indented under subclass 6.1. Processes which include extracting the compound from plant materials. | |
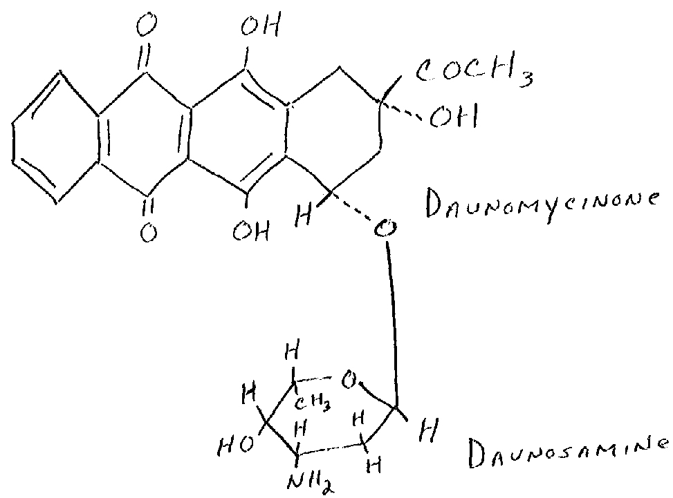
6.4 | Daunomycin or derivative: | ||||
| This subclass is indented under subclass 4.1. Compounds which have the following structural formula and
derivatives thereof:
SEE OR SEARCH THIS CLASS, SUBCLASS:
| |||||
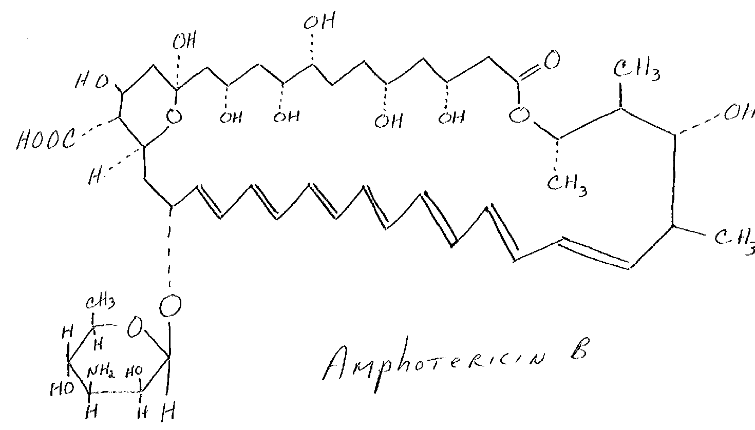
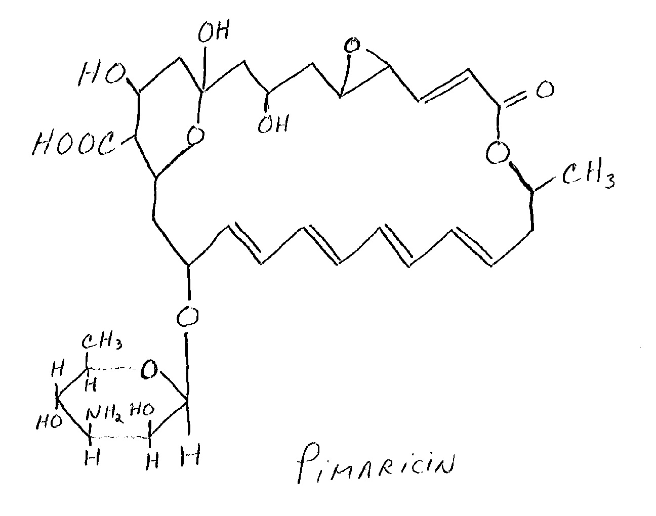
6.5 | Oxygen containg hetero ring of at least twenty ring members (e.g., amphotercin, nystatin, pimaricin, etc.): | ||||
This subclass is indented under subclass 4.1. Compounds which contain a hetero-O-cyclic substitutent of
twenty or more ring members.
| |||||
7.1 | Oxygen containing hetero ring having 12-19 members (e.g., methymycin, carbomycin, spiramycin, etc.): | ||
This subclass is indented under subclass 4.1. Compounds which contain a hetero-O-cyclic substitutent of
twelve or more ring members.
| |||
7.2 | Erythromycin or derivative (e.g., oleandomycin, etc.): | ||||
| This subclass is indented under subclass 7.1. Compounds which have the following structure and derivatives
thereof wherein the three-part structure shown is not destroyed,
and wherein the dimethylamine group of desosamine is not removed,
but may be substituted.
SEE OR SEARCH THIS CLASS, SUBCLASS:
| |||||
7.3 | Boron, phosphorus or sulfur containing: |
| This subclass is indented under subclass 7.2. Compounds which contain boron, phosphorus, or sulfur. | |
7.4 | Additional nitrogen containing: |
| This subclass is indented under subclass 7.2. Compounds which contain at least one nitrogen other than the desosamine nitrogen. | |
7.5 | Purification or recovery: |
| This subclass is indented under subclass 7.2. Processes which include separating the compound from impurities or from the reaction mixture. | |
8 | Flavon sugar compounds | ||||||||
This subclass is indented under subclass 4.1. Compounds which upon hydrolysis yield a sugar, or mixture
of sugars, and the anthoxanthins.
| |||||||||
8.8 | Coumermycin or derivative: |
| This subclass is indented under subclass 4.1. Compounds which have the following structural formula (below)
and derivatives thereof.:
| |
13 | Novobiocin or derivative |
| This subclass is indented under subclass 4.1. Compounds which have the following structural formula (below)
and derivatives thereof.
| |
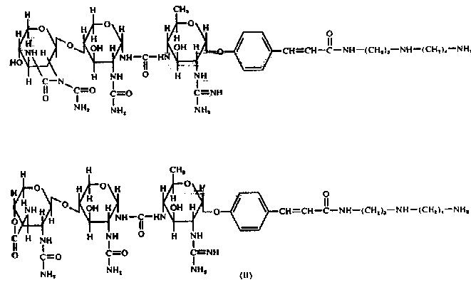
13.1 | Antibiotic BM 123 or derivative: |
| This subclass is indented under subclass 4.1. Compounds which have the following isomeric structural formulae
(below) and derivatives thereof.:
| |
13.2 | Neomycin B or neomycin C or derivative: |
| This subclass is indented under subclass 4.1. Compounds which have the following structural formulae (below):
and derivatives, complexes, or mixtures thereof.
| |
13.3 | Paromomycin or derivative (e.g., neomycin E, etc.): |
| This subclass is indented under subclass 4.1. Compounds which have the following structural formula (below)
and derivatives thereof.:
| |
13.4 | Antibiotic XK or derivative: | ||
| This subclass is indented under subclass 4.1. Compounds which may have any of the following structural
formulae (below) and derivatives thereof.
| |||
13.5 | Butirosin or derivative (e.g., ambutyrosin, etc.): |
| This subclass is indented under subclass 4.1. Compounds which have the following structural formula (below)
and derivatives thereof.
| |
13.6 | Gentamicin or derivative: |
| This subclass is indented under subclass 4.1. Compounds which have the folllowing structural formula (below)
and derivatives thereof.
| |
13.7 | Kanamycin or derivative: |
| This subclass is indented under subclass 4.1. Compounds which have the following structural formula: (below)
and derivatives thereof.
| |
13.8 | Carbonyl bonded directly to kanamycin nitrogen: |
| This subclass is indented under subclass 13.7. Compounds which include at least one carbonyl group directly bonded to a nitrogen of kanamycin. | |
13.9 | Sisomicin or derivative: |
| This subclass is indented under subclass 4.1. Compoounds which have the following structural formula (below)
and derivatives thereof.
| |
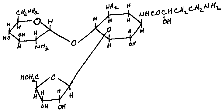
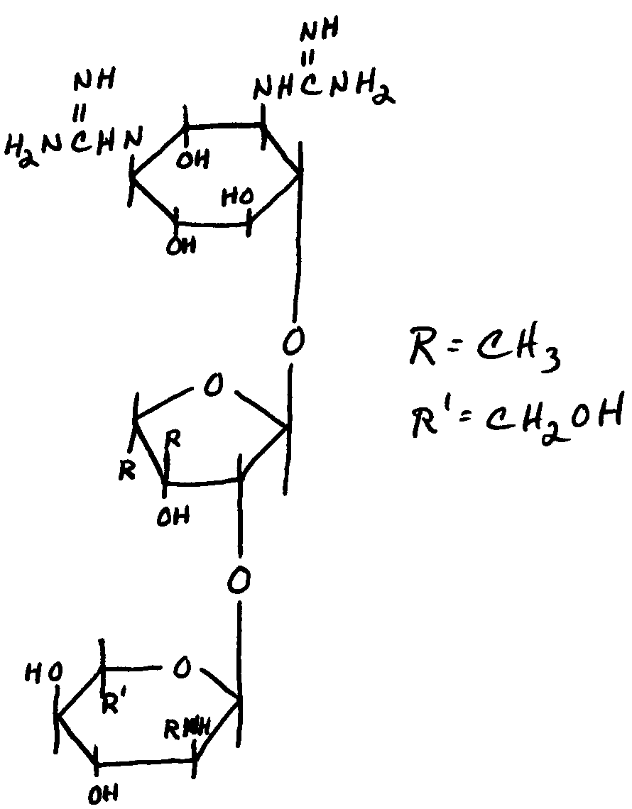
14 | Streptomycin or derivative |
| This subclass is indented under subclass 4.1. Compounds which have the following structural formula (below)
or which have the structure of any of the three main components shown
in the formula; and derivatives thereof.
| |
15 | Dihydrostreptomycin or derivative |
| This subclass is indented under subclass 14. Compounds which are reduction products of streptomycin and
have the following formula (below) and derivatives thereof.
| |
16 | Addition compounds | ||
This subclass is indented under subclass 14. Compounds which result from an addition-type reaction of
streptomycin, or a derivative thereof, with another compound.
| |||
16.1 | Fortimicin or derivative: |
| This subclass is indented under subclass 4.1. Compounds which have the following structural formula (below)
and derivatives thereof.
| |
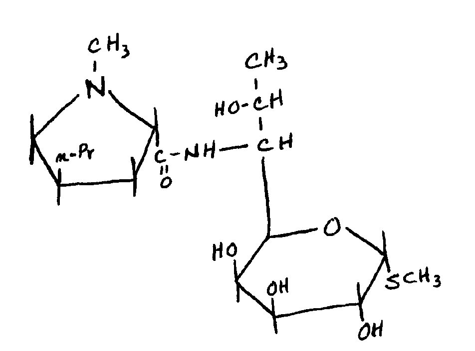
16.2 | Lincomycin or derivative: |
| This subclass is indented under subclass 4.1. Compounds which have the following structural formula (below)
and derivatives thereof.
| |
16.3 | Cyano or -COO- containing: |
| This subclass is indented under subclass 16.2. Compounds which contain a -CN or -COO group. | |
16.4 | Additional sulfur containing: |
| This subclass is indented under subclass 16.2. Compounds which contain at least two sulfurs. | |
16.5 | Phosphorus or halogen containing: |
| This subclass is indented under subclass 16.2. Compounds which contain phosphorus or halogen. | |
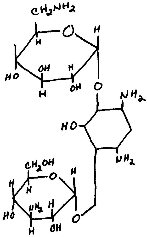
16.6 | Neamine or derivative (e.g., neomycin A, etc.): |
| This subclass is indented under subclass 4.1. Compounds which have the following structural formula (below)
and derivatives thereof.
| |
16.7 | Kasugamycin or derivative: |
| This subclass is indented under subclass 4.1. Compounds which have the following structural formula (below)
and derivatives thereof.
| |
16.8 | Antibiotics: | ||||||||
This subclass is indented under subclass 4.1. Compounds which have the capacity to inhibit the growth
of or destroy micro-organisms and are generally emplyed to kill
disease in aperson or animal.
SEE OR SEARCH CLASS:
| |||||||||
16.9 | Purification or recovery: |
| This subclass is indented under subclass 16.8. Processes which include separating the antibiotic(s) from inpurities or from the reaction mixture. | |
17.1 | Boron, phosphorus, heavey metal or aluminum containing: |
| This subclass is indented under subclass 4.1. Compounds which contain boron, phosphorus, a metal having a specific gravity greater than four, or aluminum. | |
17.2 | Nitrogen containing: |
| This subclass is indented under subclass 4.1. Compound which contain nitrogen. | |
17.3 | Nitrogen containing hetero ring: |
| This subclass is indented under subclass 17.2. Compounds which contain nitrogen containing heterocyclic ring. | |
17.4 | Nitrogen in aglycone moiety: |
| This subclass is indented under subclass 17.3. Compound which contain nitrogen in the aglycone (nonsugar) moiety of the glycoside. | |
17.5 | Sulfur containing (e.g., methylthiolincosaminide, etc.).: |
| This subclass is indented under subclass 17.2. Compounds which contain sulfur. | |
17.6 | Nitrogen or sulfur in aglycone moiety: |
| This subclass is indented under subclass 17.5. Compounds which contain nitrogen or sulfur in the aglycone (nonsugar) moiety of the glycoside. | |
17.7 | Nitro or nitroso containing: |
| This subclass is indented under subclass 17.2. Compounds which contain nitro or nitroso. | |
17.8 | Nitrogen in aglycone moiety: |
| This subclass is indented under subclass 17.7. Compounds which contain nitrogen in the aglycone (nonsugar) moiety of the glycoside. | |
17.9 | Nitrogen in aglycone moiety: |
| This subclass is indented under subclass 17.2. Compounds which contain nitrogen in the aglycone (nonsugar) moiety of the glycoside. | |
18.1 | Polycyclo ring system (e.g., hellebrin, etc.): |
| This subclass is indented under subclass 4.1. Compounds which contain a polycyclo ring system. | |
18.2 | Containing -C(=X)X- wherein the X"s are the same or diverse chalcogens: |
| This subclass is indented under subclass 4.1. Compounds which contain a -C(=X)X- group wherein the X"s are the same of diffierent and are O, S, Se, or Te. | |
18.3 | Plural oxyalkylene groups bonded directly to each other. |
| This subclass is indented under subclass 4.1. Compounds which contain two or more successive oxyalkylene groups. | |
18.4 | Halogen containing: |
| This subclass is indented under subclass 4.1. Compounds which contain halogen. | |
18.5 | Processses: |
| This subclass is indented under subclass 4.1. Processes which are directed to the preparation, purification, recovery, stabilization of treatment of an O- or S- glycoside. | |
18.6 | Reacting a carbohydrate with an organic -O- containing compound (e.g., reacting glucose with methanol, etc.) |
| This subclass is indented under subclass 18.5. Processes which include perparing the glycoside by reacting a carbohydrate with an organic compound containing -O-. | |
18.7 | Nitrogen containing: |
| This subclass is indented under subclass 1.1. Compounds which are nitrogen containing derivatives of carbohydrates. | |
20 | Chitin or derivative | ||
| This subclass is indented under subclass 18.7. Compounds which upon acid hydrolysis yield acetylglucosamine
and which are polysaccharides having the following repeating unit (below)
and derivatives thereof.
| |||
21 | Heparin or derivative | ||
| This subclass is indented under subclass 18.7. Compounds which are polysaccharides containing the following
repeating unit wherein the degree of sulfation of the individual
components in the polysaccharide is apparently not uniform and may
vary at different areas of the carbohydrate chain, and derivatives
thereof.
| |||
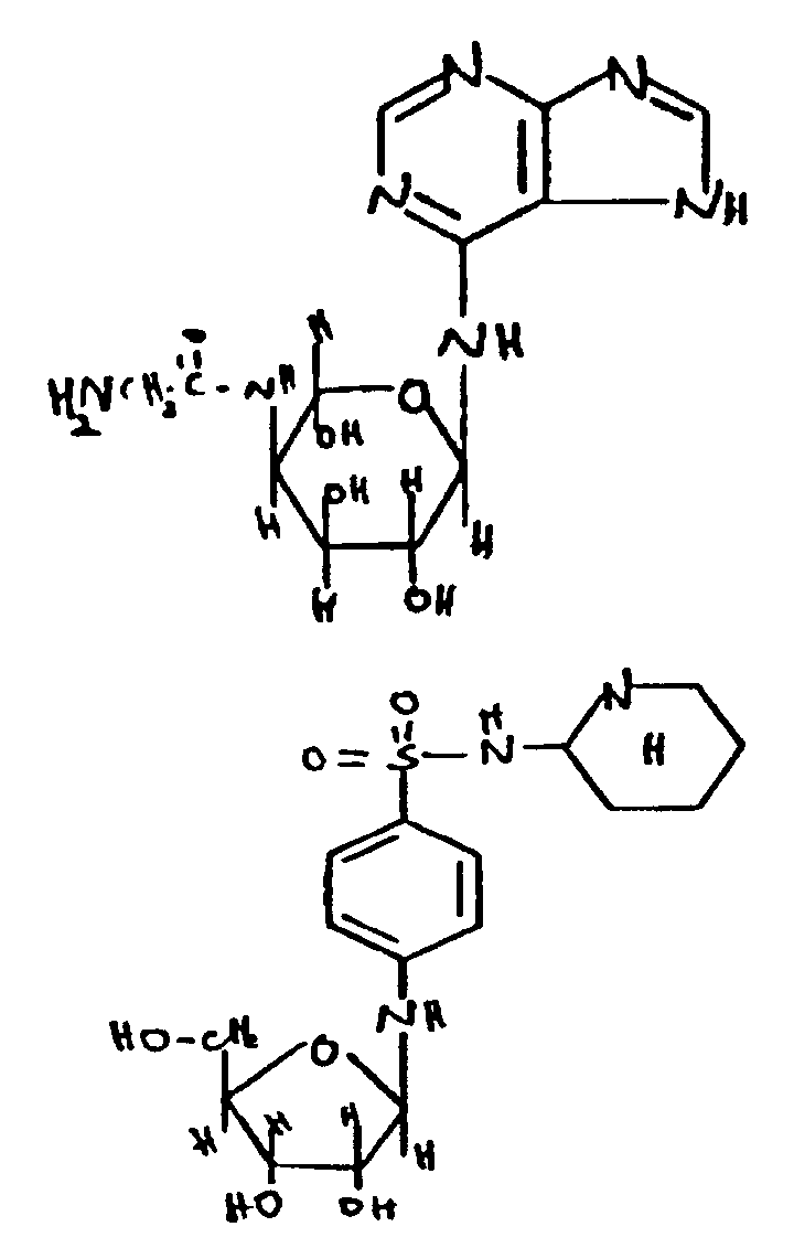
22.1 | N-glycosides, polymers thereof, metal derivatives (e.g., nucleic acids, oligonucleotides, etc.): | ||||||||||||||||||
This subclass is indented under subclass 18.7. Compounds which are glycosidic derivatives of the cyclic
forms of sugars in which the aglycone portion is attached thru nitrogen
to the sugar moiety by substituting it for the hemiacetal hydroxyl
of the sugar.
SEE OR SEARCH THIS CLASS, SUBCLASS:
SEE OR SEARCH CLASS:
| |||||||||||||||||||
23.1 | DNA or RNA fragments or modified forms thereof (e.g., genes, etc.): | ||||||||||||||||
This subclass is indented under subclass 22.1. Compounds which are fragments of nucleic acid having a specific
sequence of deoxyribonucleotide units, or ribonucleotide units,
linked by successive 3i-5i phosphodiester linkages, or modified
derivatives thereof.
SEE OR SEARCH THIS CLASS, SUBCLASS:
SEE OR SEARCH CLASS:
| |||||||||||||||||
23.2 | Encodes an enzyme: | ||
| This subclass is indented under subclass 23.1. Compounds which are DNA fragments which encode specific
enzymes.
SEE OR SEARCH CLASS:
| |||
23.4 | Encodes a fusion protein: | ||
| This subclass is indented under subclass 23.1. Compounds which are DNA fragments which encode specific
fusion proteins.
SEE OR SEARCH CLASS:
| |||
23.5 | Encodes an animal polypeptide: | ||
| This subclass is indented under subclass 23.1. Compounds which are DNA fragments which encode specific
animal polypeptides.
SEE OR SEARCH CLASS:
| |||
23.51 | Hormone: | ||
| This subclass is indented under subclass 23.5. Compounds which are DNA fragments which encode specific
hormones.
SEE OR SEARCH CLASS:
| |||
23.52 | Interferon: | ||
| This subclass is indented under subclass 23.5. Compounds which are DNA fragments which encode specific
interferons.
SEE OR SEARCH CLASS:
| |||
23.53 | Immunoglobulin: | ||
| This subclass is indented under subclass 23.5. Compounds which are DNA fragments which encode specific
immunoglobulins.
SEE OR SEARCH CLASS:
| |||
23.6 | Encodes a plant polypeptide: | ||
| This subclass is indented under subclass 23.1. Compounds which are DNA fragments which encode specific
plant polypeptides.
SEE OR SEARCH CLASS:
| |||
23.7 | Encodes a microbial polypeptide: | ||
| This subclass is indented under subclass 23.1. Compounds which are DNA fragments which encode specific
microbial polypeptides.
SEE OR SEARCH CLASS:
| |||
23.71 | Bacillus thuringiensis insect toxin: | ||
| This subclass is indented under subclass 23.7. Compounds which are DNA fragments which encode Bacillus
thuringiensis insect toxins.
SEE OR SEARCH CLASS:
| |||
23.72 | Viral protein: | ||
| This subclass is indented under subclass 23.7. Compounds which are DNA fragments which encode specific
viral proteins.
SEE OR SEARCH CLASS:
| |||
23.74 | Fungal protein: | ||
| This subclass is indented under subclass 23.7. Compounds which are DNA fragments encode specific fungal
proteins.
SEE OR SEARCH CLASS:
| |||
24.1 | Non-coding sequences which control transcription or translation processes (e.g., promoters, operators, enhancers, ribosome binding sites, etc.): | ||
This subclass is indented under subclass 23.1. Fragments of DNA which are sequences of nucleotides which
do not encode polypeptides in recombinant processes, but which regulate the
expression of such chemical compounds in such processes.
| |||
24.2 | Non-coding sequences having no known regulatory function and which are adaptors or linkers for vector or gene construction: | ||||
This subclass is indented under subclass 23.1. Compounds which are fragments of DNA, which have utility
in constructing a desired gene or in the insertion of genetic material
into a vector.
SEE OR SEARCH CLASS:
| |||||
24.3 | Probes for detection of specific nucleotide sequences or primers for the synthesis of DNA or RNA: | ||||||
This subclass is indented under subclass 23.1. Fragments of nucleic acids which have utility as probes
for the detection of specific nucleotide sequences, or as primers
for the synthesis of DNA or RNA.
SEE OR SEARCH CLASS:
| |||||||
24.31 | Probes for detection of animal nucleotide sequences: |
| This subclass is indented under subclass 24.3. Fragments of nucleic acid which are single strands of DNA or RNA with utility in analytical processes for the detection of complementary nucleotide sequences of animal origin. | |
24.32 | Probes for detection of microbial nucleotide sequences: |
| This subclass is indented under subclass 24.3. Fragments of nucleic acid which are single strands of DNA or RNA with utility in analytical processes for the detection of complementary nucleotide sequences of microbial origin. | |
24.33 | Primers: | ||
This subclass is indented under subclass 24.3. Fragments of nucleic acids which have utility as primers.
| |||
24.5 | Nucleic acid expression inhibitors: | ||||
This subclass is indented under subclass 23.1. Fragments of DNA or RNA which are effective inhibitors of
transcription or translation.
| |||||
25.1 | 3i-5i linked RNA: |
| This subclass is indented under subclass 22.1. Compounds which are polyribonucleotides of a specific sequence wherein the ribonucleotide units are linked by 3i-5i phosphodiester linkages. | |
25.2 | 2i-5i linked RNA: |
| This subclass is indented under subclass 22.1. Compounds which are polyribonucleotides of a specific sequence wherein theribonucleotide units are linked by 2i-5i phosphodiester linkages. | |
25.3 | Synthesis of polynucleotides or oligonucleotides: | ||
| This subclass is indented under subclass 22.1. Process for the synthesis of polynucleotides or oligonucleotides,
which process may be, or include, a crosslinking step.
SEE OR SEARCH CLASS:
| |||
25.31 | Deprotection step: |
| This subclass is indented under subclass 25.3. Processes for the synthesis of polynucleotides or oligonucleotides which include a deprotection step. | |
25.32 | Labels or markers utilized (e.g., radiotracer, affinity, fluorescent, phosphorescent markers, etc.): | ||
| This subclass is indented under subclass 25.3. Processes for the synthesis of polynucleotides or oligonucleotides
in which a label or marker is used to indicate the presence of a
particular product.
SEE OR SEARCH CLASS:
| |||
25.33 | Pentavalent phosphorus compound utilized: |
| This subclass is indented under subclass 25.3. Processes for the synthesis of polynucleotides and oligonucleotides which utilize pentavalent phosphorus compounds. | |
25.34 | Trivalent phosphorus compound utilized: |
| This subclass is indented under subclass 25.3. Processes for the synthesis of polynucleotides and oligonucleotides which utilize trivalent phosphorus compounds. | |
25.4 | Separation or purification of polynucleotides or oligonucleotides: | ||
| This subclass is indented under subclass 22.1. Processes for the purification or separation of polynucleotides
or oligonucleotides.
SEE OR SEARCH CLASS:
| |||
25.41 | Extraction processes (e.g., solvent extraction process, etc.): |
| This subclass is indented under subclass 25.4. Processes for the purification or separation of polynucleotides or oligonucleotides which include extraction steps, e.g., solvent extraction processes, etc. | |
25.42 | Denaturant utilized: |
| This subclass is indented under subclass 25.41. Processes for the separation or purification of polynucleotides or oligonucleotides which include extraction steps, which processes utilize a denaturant. | |
25.5 | Homopolymers having repeating sequences of four or more identical nucleotide units: |
| This subclass is indented under subclass 22.1. Polynucleotides consisting of four or more identical nucleotide units linked by phosphodiester linkages. | |
25.6 | Nucleic acids which include two or three nucleotide units: | ||||
This subclass is indented under subclass 22.1. Compounds which include two or three nucleotide units linked
by phosphodiester linkages.
SEE OR SEARCH THIS CLASS, SUBCLASS:
| |||||
26.1 | Phosphorus containing N-glycoside wherein the N is part of an N-hetero ring: | ||||
This subclass is indented under subclass 22.1. Compounds which are N-glycosides which contain phosphorus
and wherein the N of the N-glycoside moiety is part of a nitrogen
containing hetero ring.
| |||||
26.11 | The phosphorus is part of a ring: | ||
This subclass is indented under subclass 26.1. Compounds wherein the phosphorus is part of a ring structure.
| |||
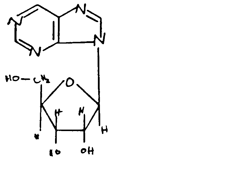
26.12 | The N-hetero ring is part of a purine ring system: | ||
This subclass is indented under subclass 26.11. Compounds in which the nitrogen containing hetero ring is
part of a purine ring system.
| |||
26.13 | Adenine or substituted adenine: | ||
This subclass is indented under subclass 26.12. Compounds in which the purine ring system is adenine, i.e.,
6-aminopurine, which may be substituted.
| |||
26.14 | The N-hetero ring is a diazine or a diazole ring, including hydrogenated: | ||
This subclass is indented under subclass 26.11. Compounds in which the nitrogen containing hetero ring is
a diazine ring, i.e., a six-membered hetero ring with two nitrogens
and four carbons, or a diazole ring, i.e., a five-membered hetero
ring with two nitrogens and three carbons, which nitrogen containing
hetero ring could be hydrogenated.
| |||
26.2 | Plural phosphorus atoms in N-glycoside: | ||
This subclass is indented under subclass 26.1. Compounds which contain more than one phosphorus atom.
| |||
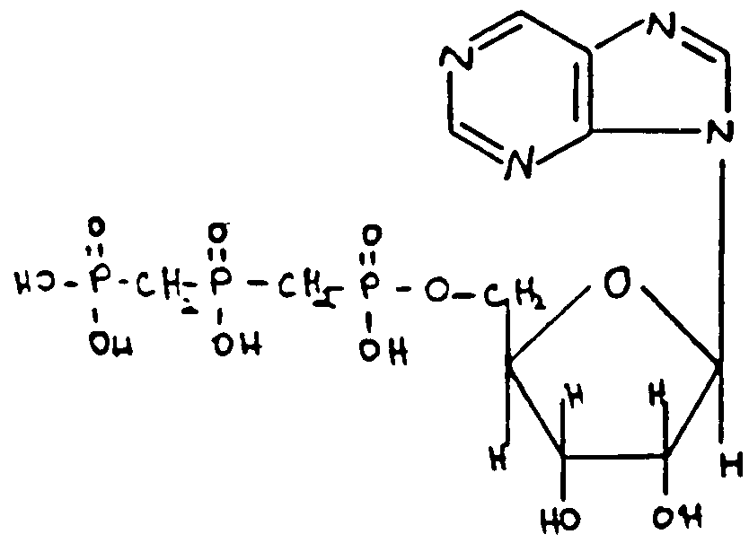
26.21 | Plural phosphorus atoms bonded directly to the same chalcogen in a chain (e.g., pyrophosphates, polyanhydrides of phosphorus acids, etc.): | ||
This subclass is indented under subclass 26.2. Compounds which contain two phosphorus bonded directly
to the same chalcogen (i.e., oxygen, sulfur selenium or tellurium)
in a chain.
| |||
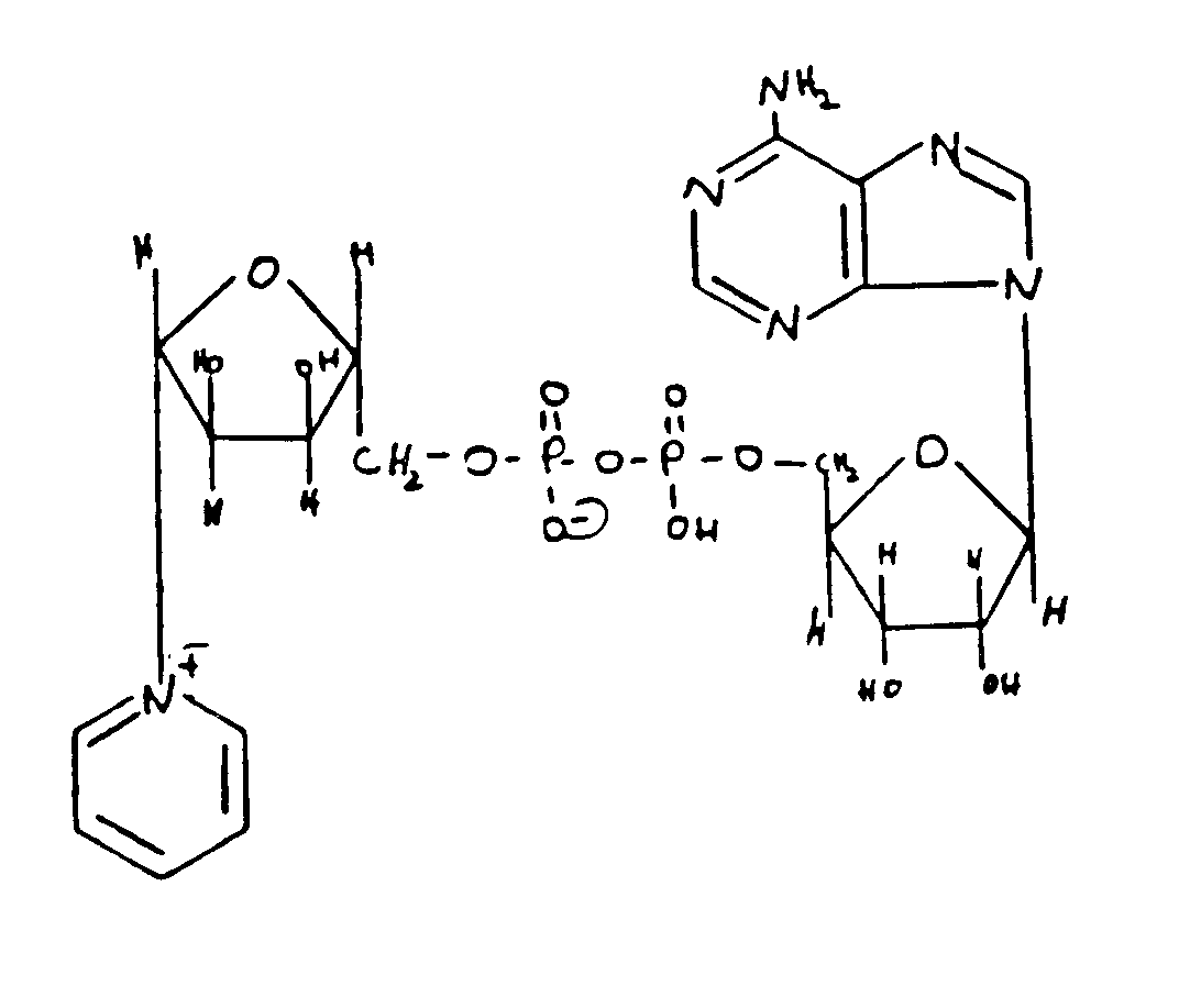
26.22 | Both terminal phosphorus atoms are esterified by organic groups wherein one of these organic groups is the sugar moiety: | ||
This subclass is indented under subclass 26.21. Compounds wherein both terminal phosphorus atoms are esterified
by organic groups wherein one of the organic groups is the sugar
moiety.
| |||
26.23 | Exactly two phosphorus atoms in the chain (e.g., coenzyme A, etc.): | ||
This subclass is indented under subclass 26.22. Compounds in which the chain consists of two phosphorus
groups bonded directly to the same chalcogen in the chain.
| |||
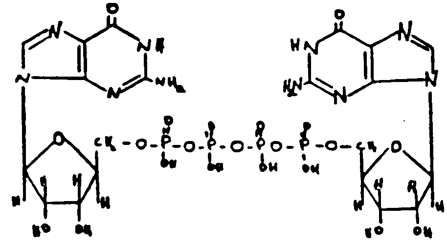
26.24 | NAD (nicotinamide adenine dinucleotide) and derivatives thereof: | ||
This subclass is indented under subclass 26.23. The compound which is nicotinamide adenine dinucleotide
and derivatives thereof.
| |||
26.25 | FAD (flavin adenine dinucleotide) and derivatives thereof: | ||
This subclass is indented under subclass 26.23. The compound which is flavin adenine dinucleotide and derivatives
thereof.
| |||
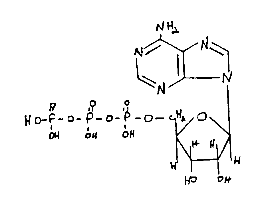
26.26 | Triphosphates (in same chain): | ||
This subclass is indented under subclass 26.21. Compounds which contain a chain of three phosphorus joined
by chalcogen atoms.
| |||
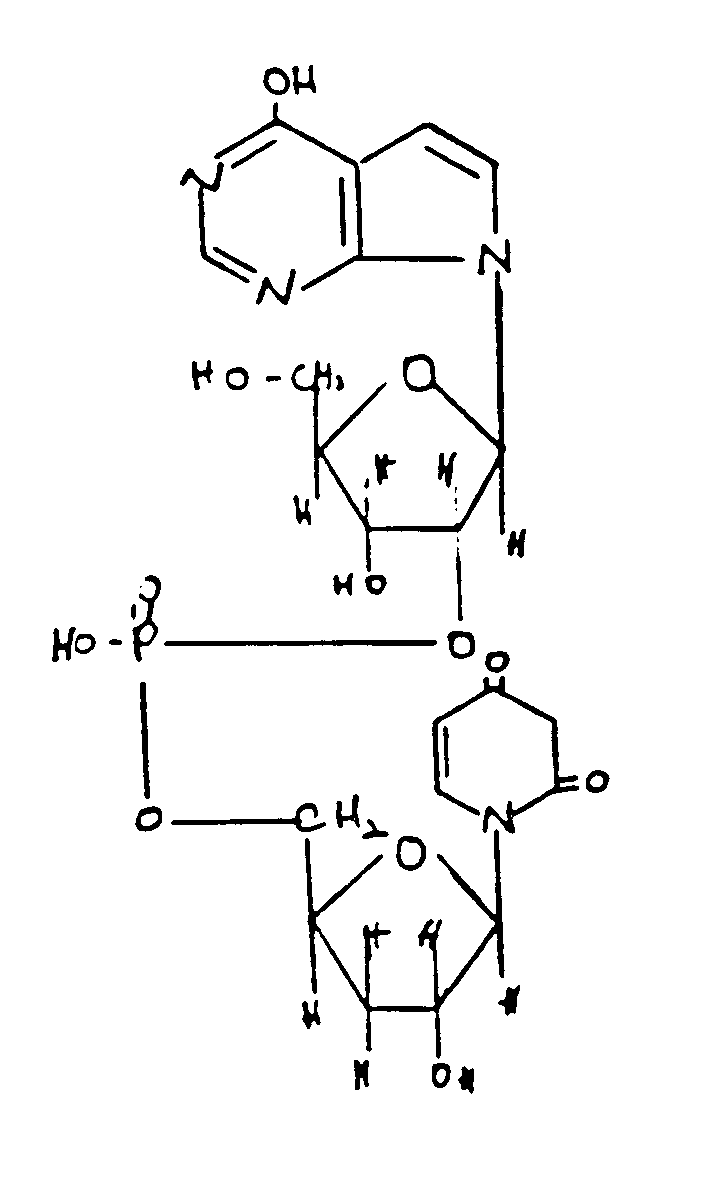
26.3 | Plural monophosphate groups (e.g., adenosine -3i,5i- biscarboxymethyl phosphonate, cytidine nucleoside diphosphate, etc.): | ||
This subclass is indented under subclass 26.2. Compounds which include two or more monophosphate groups
attached indirectly to each other.
| |||
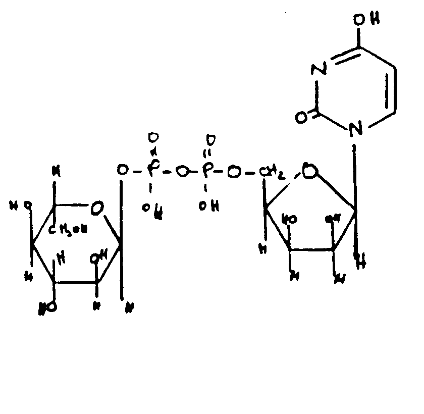
26.4 | Cobalamin nucleotides (e.g., vitamin B-12, etc.): | ||
This subclass is indented under subclass 26.1. Compounds which are cobalt containing nucleotides.
| |||
26.41 | Processes of preparing or labelling: |
| This subclass is indented under subclass 26.4. Processes for the preparation of cobalamin nucleotide compounds or for the labelling of these compounds. | |
26.42 | Processes of concentration, separation, recovery, or extraction (e.g., recovery from organ extracts, from fermentation broth, from sewage sludge, etc.): |
| This subclass is indented under subclass 26.4. Processes for the separation, extraction, recovery, or concentration of cobalamin nucleotide compounds. | |
26.43 | Adsorbent used (e.g., activated alumina, ion exchange resins, etc.): |
| This subclass is indented under subclass 26.42. Processes for the separation, extraction, recovery or concentration wherein an adsorbent is used. | |
26.44 | Cobalamin analogs (i.e., compounds wherein the benzimidazole ring system has been replaced by another organic ring structure, or compounds wherein cobalt has been removed or replaced by another metal, or is substituted by a group other than -OH or -CN): |
| This subclass is indented under subclass 26.1. Compounds which are cobalamin analogs, e.g., compounds wherein the benzimidazole ring system has been replaced by another ring structure, or wherein the cobalt metal has been removed or replaced by another metal or the cobalt is substituted by a group other than -OH or -CN, etc. | |
26.5 | Plural N-glycosidic moieties bonded to the same phosphorus ester group: | ||||
This subclass is indented under subclass 26.1. Compounds wherein plural N-glycosidic groups are bonded
directly to the same phosphorus ester group.
SEE OR SEARCH THIS CLASS, SUBCLASS:
| |||||
26.6 | Labelled (e.g., tagged with radioactive tracer, fluorescent marker, intercalator, etc.): |
| This subclass is indented under subclass 26.1. Compounds to which a marker (chemical, radioactive, fluorescent, etc.) has been added to indicate its presence. | |
26.7 | The N-hetero ring is part of a bicyclic ring system: | ||
This subclass is indented under subclass 26.1. Compounds wherein the N-hetero ring is part of a bicyclic
hetero ring system.
| |||
26.71 | Preparing purine nucleotides: |
| This subclass is indented under subclass 26.7. Processes for the preparation of purine nucleotides. | |
26.72 | Guanosine nucleotide preparation: |
| This subclass is indented under subclass 26.71. Processes for the preparation of guanosine nucleotide. | |
26.73 | Separation or purification of purine nucleotides: |
| This subclass is indented under subclass 26.7. Processes for the separation or purification of purine nucleotides. | |
26.74 | Inosine nucleotide: | ||
This subclass is indented under subclass 26.7. The compound which is inosine nucleotide.
| |||
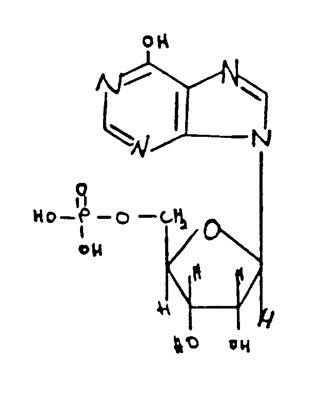
26.8 | The N-hetero ring is six-membered and monocyclic (e.g., uridine-5i-monophosphate, etc.): | ||
This subclass is indented under subclass 26.1. Compounds wherein the N-hetero ring is six-membered and
is not part of a polycyclic ring system.
| |||
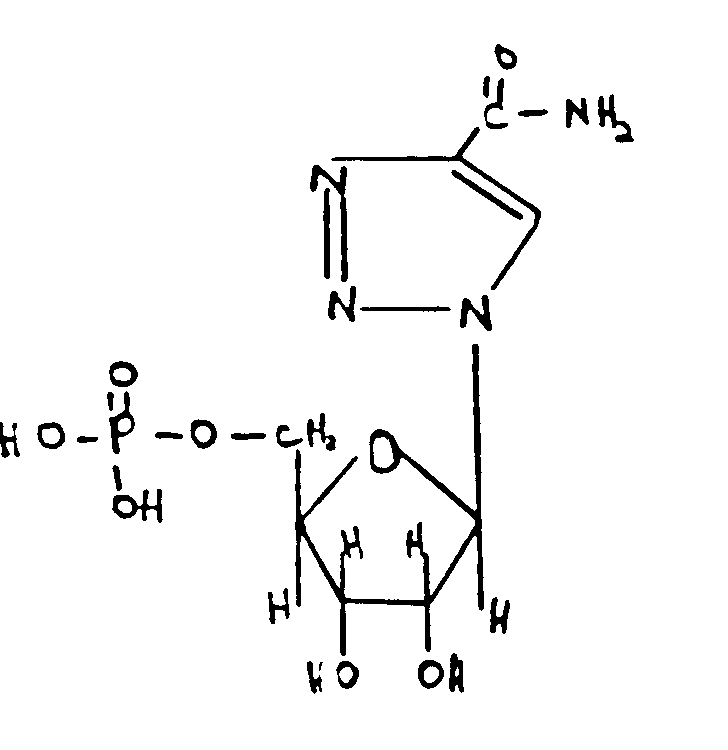
26.9 | The N-hetero ring is five-membered (e.g., l-b-D-ribofuranosyl-1,2,3-triazole-4-carboxamide-5i-phosphate, etc.): | ||
This subclass is indented under subclass 26.1. Compounds wherein the N-hetero ring is five-membered.
| |||
27.1 | N-glycosides wherein the N is part of an N-hetero ring which hetero ring is part of a polycyclo ring system containing an N-hetero ring and an additional hetero ring (e.g., rebeccamycin, etc.): | ||||||||
This subclass is indented under subclass 22.1. Compounds which are N-glycosylamines wherein the N of the
N-glycoside moiety is part of a nitrogen containing hetero ring
which hetero ring is part of a polycyclo ring system that contains
the N-hetero ring and an additional hetero ring.
SEE OR SEARCH THIS CLASS, SUBCLASS:
| |||||||||
27.11 | Preparing by cleaving nucleic acids or by attaching an N-heterocyclic base to a sugar ring: | ||||
This subclass is indented under subclass 27.1. Processes for the preparation of N-hetero glycosides which
include cleaving (degradation) of nucleic acids or bonding an N-heterocyclic base
to a sugar ring.
SEE OR SEARCH CLASS:
| |||||
27.12 | Separation or purification (e.g., resolving isomeric mixtures, etc.): | ||||
This subclass is indented under subclass 27.1. Processes for the separation, isolation, or purification
of the N-hetero glycosides.
SEE OR SEARCH CLASS:
| |||||
27.13 | Bicyclic ring system consisting of the N-hetero ring fused to another hetero ring (e.g., 2-azaadenines, 6-azaadenines, etc.): | ||
This subclass is indented under subclass 27.1. Compounds wherein the N-hetero ring is part of a bicyclic
ring system which consists of an N-hetero ring fused to another
hetero ring.
| |||
27.14 | Multideoxy or didehydro: | ||
This subclass is indented under subclass 27.13. Compounds wherein two or more -OH groups, which would normally
be attached to the sugar ring, have been replaced by hydrogen or another
chemical group.
| |||
27.2 | The bicyclic ring system consists of a 1,3 diazine ring, which may be hydrogenated, fused to a five-membered N-hetero ring (e.g., purine isoesters like tubercidin, toyocamycin, sangivamycin, sparsomycin A, etc.): | ||
This subclass is indented under subclass 27.13. Compounds wherein a 1,3-diazine hetero ring, which may be
hydrogenated, is fused to a five-membered N-hetero ring.
| |||
27.21 | The five-membered N-hetero ring is 1,3-diazole, which may be hydrogenated (e.g., 6-chloropurine nucleoside, nebularin, etc.): | ||
This subclass is indented under subclass 27.2. Compounds wherein the fused five-membered N-hetero ring
is 1,3-diazole, which may be hydrogenated.
| |||
27.22 | Carbonyl, thiocarbonyl, or nitrogen, other than as nitro or nitroso, bonded directly to the sugar ring: | ||
This subclass is indented under subclass 27.21. Compounds wherein the sugar ring of the nucleoside is bonded
directly to carbonyl, thiocarbonyl, or nitrogen, other than as nitro
or nitroso.
| |||
27.23 | Carbonyl, thiocarbonyl, additional hetero ring or nitrogen, other than as nitro or nitroso attached indirectly to the sugar ring by acyclic nonionic bonding: | ||
This subclass is indented under subclass 27.21. Compounds wherein thiocarbonyl, carbonyl, nitrogen, other
than as nitro or nitroso, or an additional hetero ring is attached
indirectly to the sugar ring of the nucleoside by acyclic nonionic
bonding.
| |||
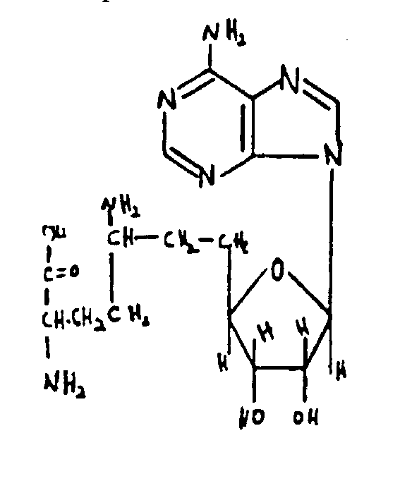
27.3 | Adenosyl: | ||
This subclass is indented under subclass 27.23. Compounds wherein the bicyclic ring system is adenine (6-aminopurine).
| |||
27.31 | S-Adenosyl-L-methionine, S-Adenosyl-L-homocysteine, salts, or esters thereof: | ||
This subclass is indented under subclass 27.3. A compound which is S-Adenosyl-L-methionine, S-Adenosyl-L-homocysteine,
a salt thereof or an ester thereof.
| |||
27.4 | Arabinose is sugar moiety: | ||||
This subclass is indented under subclass 27.21. Compounds wherein the sugar ring is arabinose.
| |||||
27.5 | Ketose is sugar moiety (e.g., decoyinine, psicofuranosyl purines, etc.): | ||||
This subclass is indented under subclass 27.21. Compounds wherein the sugar moiety is a ketose.
| |||||
27.6 | Nitrogen, other than nitro or nitroso, bonded directly to the 6-position of a purine ring system (e.g., adenosine, etc.): | ||
This subclass is indented under subclass 27.21. Compounds wherein a nitrogen, other than as nitro or nitroso,
is bonded directly to the 6-position of a purine ring system.
| |||
27.61 | Additional nitrogen bonded directly to the 2-position of the purine ring system: | ||
This subclass is indented under subclass 27.6. Compounds wherein the 2-position of the purine ring system
has an additional nitrogen substituent bonded directly thereto.
| |||
27.62 | Nitrogen, chalcogen, or additional carbon bonded directly to the 6-position nitrogen (e.g., 6-position nitrogen is substituted, etc.): | ||
This subclass is indented under subclass 27.6. Compounds wherein chalcogen (i.e., oxygen, sulfur, selenium,
or tellurium), nitrogen, or additional carbon is bonded directly
to the 6-position nitrogen.
| |||
27.63 | Halogen, chalcogen, or cyano bonded directly to the 2-position of the purine ring system: | ||
This subclass is indented under subclass 27.62. Compounds wherein chalcogen (i.e., oxygen, sulfur, selenium,
or tellurium), cyano, or halogen is bonded directly to the 2-position
of the purine ring system.
| |||
27.7 | Chalcogen, halogen, or benzene bonded directly to carbon of the purine ring system (e.g., isoguanosine, 2-fluoroadenosine, etc.): | ||
This subclass is indented under subclass 27.6. Compounds wherein benzene, chalcogen (i.e., oxygen, sulfur,
selenium, or tellurium), or halogen is bonded to a carbon of the
purine ring system.
| |||
27.8 | Chalcogen bonded directly to the 6- or 2-position of a purine ring system (e.g., inosine, etc.): | ||
This subclass is indented under subclass 27.21. Compounds wherein chalcogen (i.e., oxygen, sulfur, selenium,
or tellurium) is bonded directly to the 2-position or the 6-position
of the purine ring system.
| |||
27.81 | Nitrogen, other than nitro or nitroso, bonded directly to the 2-position of the purine ring system (e.g., guanosine, etc.): | ||
This subclass is indented under subclass 27.8. Compounds wherein nitrogen, other than nitro or nitroso,
is bonded directly to the 2-position carbon of the diazine ring
in the purine ring system.
| |||
28.1 | N-glycosides wherein the N is part of a six-membered hetero ring (e.g., diazines, etc.): | ||
This subclass is indented under subclass 22.1. Compounds which are N-glycosides wherein the N of the N-glycoside
moiety is part of a six-membered nitrogen containing hetero ring.
| |||
28.2 | Multideoxy or didehydro: | ||
This subclass is indented under subclass 28.1. Compounds wherein two or more -OH groups which would normally
be attached to the sugar ring have been replaced by hydrogen or
by another chemical group.
| |||
28.3 | The N-hetero ring is a triazine ring, including hydrogenated (e.g., 6-azauridine, etc.): | ||
This subclass is indented under subclass 28.1. Compounds wherein the N-hetero ring has exactly three nitrogens
and three carbons.
| |||
28.4 | The N-hetero ring is a 1,3-diazine ring, including hydrogenated (e.g., pyrimidines, etc.): | ||
This subclass is indented under subclass 28.1. Compounds wherein the N-hetero ring is a 1,3-diazine ring
which may be hydrogenated.
| |||
28.5 | Nitrogen, other than nitro or nitroso, bonded directly to the 4-position, and chalcogen bonded directly to the 2-position of the diazine ring (e.g., cytidines, etc.): | ||
This subclass is indented under subclass 28.4. Compounds wherein nitrogen, other than nitro or nitroso,
is bonded directly to the 4-position and chalcogen (i.e., oxygen,
sulfur, selenium or tellurium) is bonded directly to the 2-position of
the diazine ring.
| |||
28.51 | Having chalcogen, carbonyl, or thiocarbonyl bonded directly to the 4-position substituent nitrogen: | ||
This subclass is indented under subclass 28.5. Compounds wherein carbonyl, thiocarbonyl, or chalcogen (i.e.,
oxygen, sulfur, selenium, or tellurium) is bonded directly to the
4-position substituent nitrogen.
| |||
28.52 | Halogen or alkyl group of 1-5 carbon atoms bonded directly to the 5-position of the diazine ring: | ||
This subclass is indented under subclass 28.5. Compounds wherein an alkyl group of 1-5 carbon atoms or
halogen is bonded directly to the 5-position carbon of the diazine
ring.
| |||
28.53 | Chalcogen bonded directly to the 2- and 4-positions of the diazine ring (e.g., uridine, etc.): | ||
This subclass is indented under subclass 28.4. Compounds wherein chalcogen (i.e., oxygen, sulfur, selenium,
or tellurium) is bonded directly to the 2- and 4-positions of the
diazine ring.
| |||
28.54 | Alkyl, or substituted alkyl, bonded directly to the 5-position of the diazine ring (e.g., thymidine, 5-methyl uridine, etc.): | ||
This subclass is indented under subclass 28.53. Compounds wherein an alkyl group, or a substituted alkyl
group, is bonded directly to the 5-position of the diazine ring.
| |||
28.55 | Halogen bonded directly to the 5-position of the diazine ring (e.g., 5-fluorouridine, etc.): | ||
This subclass is indented under subclass 28.53. Compounds wherein halogen is bonded directly to the 5-position
of the diazine ring.
| |||
28.6 | N-glycosides wherein the N is part of a five-membered hetero ring (e.g., selenazole nucleosides, pyrrole nucleosides, etc.): | ||
This subclass is indented under subclass 22.1. Compounds which are N-glycosides wherein the N of the N-glycoside
moiety is part of a five-membered nitrogen containing hetero ring.
| |||
28.7 | Plural nitrogens in the N-hetero ring (e.g., triazoles, etc.): | ||
This subclass is indented under subclass 28.6. Compounds wherein the N-hetero ring contains plural nitrogens.
| |||
28.8 | The N-hetero ring is a 1,3-diazole ring, including hydrogenated (e.g., imidazoles, etc.): | ||
This subclass is indented under subclass 28.7. Compounds wherein the N-hetero ring is a 1,3-diazole ring
which may be hydrogenated.
| |||
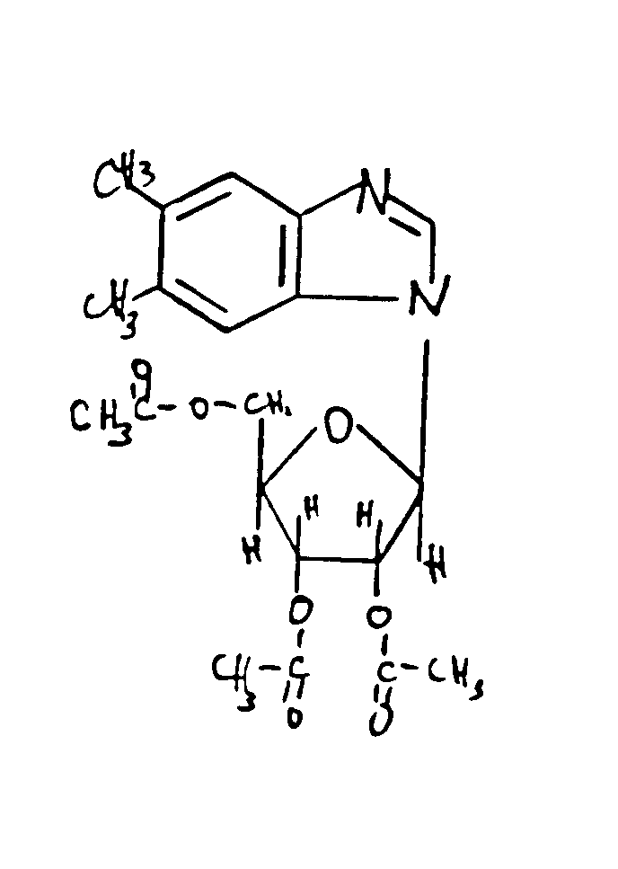
28.9 | Benzimidazoles: | ||
This subclass is indented under subclass 28.8. Compounds wherein the N-hetero ring is part of a benzimidazole
ring system.
| |||
29.1 | Nitrogen of N-glycoside is acyclic nitrogen: | ||
This subclass is indented under subclass 22.1. Compounds wherein the nitrogen of the N-glycoside is acyclic
nitrogen (is not part of cyclic structure).
| |||
29.11 | N-hetero ring bonded directly or indirectly to the acyclic nitrogen: | ||
This subclass is indented under subclass 29.1. Compounds wherein a nitrogen containing hetero ring is bonded
directly or indirectly to the acyclic nitrogen of the N-glycoside.
| |||
29.12 | The acyclic nitrogen is part of a urea or thiourea group: | ||
This subclass is indented under subclass 29.1. Compounds wherein the acyclic nitrogen of the N-glycoside
is part of a urea or a thiourea group.
| |||
29.13 | Sulfur containing (e.g., sulfides, sulfones, sulfates, sulfonamides, etc.): | ||
This subclass is indented under subclass 29.1. Compounds which contain sulfur.
| |||
29.2 | C-glycosides wherein the sugar ring is bonded directly to carbon of an N-hetero ring (e.g., 9-deazaadenosines, etc.): | ||
This subclass is indented under subclass 18.7. Compounds which are glycosidic derivatives of the cyclic
forms of sugars in which the aglycone portion includes an N-hetero
ring, which hetero ring is attached through ring carbon to the sugar
moiety by substituting it for the hemiacetal hydroxyl of the sugar.
| |||
30 | Cellulose derivatives |
| This subclass is indented under subclass 18.7. Compounds which are nitrogen containing derivatives of repeating
glucose units, which units have the following structure:
| |
31 | Nitrogen containing hetero ring (e.g., morpholine, etc.) |
| This subclass is indented under subclass 30. Compounds which include a heterocyclic ring having nitrogen as a ring member. | |
32 | Esters | ||||
This subclass is indented under subclass 30. Compounds which result from the reaction of a hydroxyl group
of cellulose with an acid.
| |||||
33 | Sulfur containing acid |
| This subclass is indented under subclass 32. Compounds in which the acid moiety contains sulfur. | |
34 | Phosphorus containing acid |
| This subclass is indented under subclass 32. Compounds in which the acid moiety contains phosphorus. | |
35 | Nitrates |
| This subclass is indented under subclass 32. Compounds in which the acid is nitric acid, and the resulting compound contains the -NO3 radical. | |
36 | Mixed esters |
| This subclass is indented under subclass 35. Compounds which contain, in addition to the -NO3 radical, adiverse esterifying acid radical. | |
37 | With pretreatment process |
| This subclass is indented under subclass 35. Processes in which cellulose undergoes a physical or chemical treatment prior to the nitration step. | |
38 | Subsequent treatment process | ||
This subclass is indented under subclass 35. Processes in which cellulose nitrate is purified, recovered,
separated, altered physically; or treated chemically wherein the
primary intent is merely to modify a property of cellulose nitrate.
| |||
39 | Comminuting | ||||
This subclass is indented under subclass 38. Processes which include physically subdividing units of
cellulose nitrate to form smaller particles.
SEE OR SEARCH CLASS:
| |||||
40 | Recovery from photographic film |
| This subclass is indented under subclass 38. Processes in which nitrated cellulose is recovered from photos:graphic film. | |
41 | Viscosity or degree of polymerization changed (e.g., degrading, cross linking, etc.) |
| This subclass is indented under subclass 38. Processes wherein the flow resistance or amount of polymerization of nitrated cellulose is altered. | |
42 | Stabilizing |
| This subclass is indented under subclass 38. Processes for increasing the physical or chemical stability of cellulose nitrate. | |
43 | Ethers | ||||
This subclass is indented under subclass 30. Compounds which have the general formula ROR",
wherein RO is the cellulose residue moiety and R" is an
organic radical.
| |||||
44 | Mixed ethers |
| This subclass is indented under subclass 43. Compounds which contain at least two diverse organic radicals attached via ether linkages to the cellulose residue moiety. | |
45 | Starch derivatives | ||||
This subclass is indented under subclass 18.7. Compounds which have amylose and amylopectin as their two
main components.
| |||||
46 | Dextrin derivatives | ||||
This subclass is indented under subclass 45. Compounds which are any nitrogen containing derivatives
of various gummy polysaccharides produced by thermal or acid degradation
of starch.
| |||||
47 | Cross-linked | ||||
| This subclass is indented under subclass 45. Compounds which result from reacting starch with a reagent
having at least two functional groups which link together starch
molecules, usually via ether or ester linkages between hydroxyls
of said molecule.
SEE OR SEARCH THIS CLASS, SUBCLASS:
| |||||
48 | Esters | ||||||
This subclass is indented under subclass 45. Compounds which result from the reaction of a hydroxyl group
of a nitrogen containing starch derivative with an acid.
SEE OR SEARCH THIS CLASS, SUBCLASS:
| |||||||
49 | Ether-esters or mixed esters | ||
This subclass is indented under subclass 48. Compounds which (1) additionally contain an ether moiety
or (2) contain a plurality of diverse ester radicals.
| |||
50 | Ethers | ||||||
This subclass is indented under subclass 45. Compounds which have the general formula ROR",
wherein RO is the starch residue moiety and R" is an organic
radical.
SEE OR SEARCH THIS CLASS, SUBCLASS:
| |||||||
51 | Dextran derivatives | ||||||
This subclass is indented under subclass 18.7. Compounds which are high molecular weight polysaccharides
containing D-glucose units linked predominately -D (16).
| |||||||
52 | Gum derivatives |
| This subclass is indented under subclass 18.7. Compounds which are exudations of plants produced to cover wounds and prevent attack by micro-organisms and are highly branched polysaccharides composed of two or more monosaccharides. | |
53 | Oxygen double bonded and nitrogen bonded directly to the same carbon | ||
This subclass is indented under subclass 18.7. Compounds which contain a carbon atom to which nitrogen
is directly bonded and to which oxygen is directly attached by a
double bond.
| |||
54 | Sulfur containing |
| This subclass is indented under subclass 18.7. Compounds which contain sulfur in addition to nitrogen. | |
55 | Plural nitrogens containing |
| This subclass is indented under subclass 18.7. Compounds which contain two or more atoms of nitrogen. | |
55.1 | Polysaccharides: |
| This subclass is indented under subclass 55. Products wherein the nitrogen containing carbohydrate consists of two or more sugar moieties. | |
55.2 | Glucosamine containing: |
| This subclass is indented under subclass 18.7. Compounds which include an amine of glucose of the formula
(below) and derivatives thereof.
| |
55.3 | Processes: |
| This subclass is indented under subclass 18.7. Processes which are directed to the preparation, purification, recovery, stabilization or treatment in any way of nitrogen containing derivatives of carbohydrates. | |
56 | Cellulose or derivative | ||
| This subclass is indented under subclass 1.1. Compounds which consist of repeating glucose units having
the following structure:
SEE OR SEARCH THIS CLASS, SUBCLASS:
| |||
57 | Regenerated cellulose | ||
| This subclass is indented under subclass 56. Compounds which are formed by changing a cellulose derivative
back to cellulose.
SEE OR SEARCH THIS CLASS, SUBCLASS:
| |||
58 | Esters | ||||||
This subclass is indented under subclass 56. Compounds which result from the reaction of a hydroxyl group
of cellulose with an acid.
SEE OR SEARCH THIS CLASS, SUBCLASS:
| |||||||
59 | Sulfur containing acid | ||
| This subclass is indented under subclass 58. Compounds in which the acid moiety contains sulfur.
SEE OR SEARCH THIS CLASS, SUBCLASS:
| |||
60 | Xanthate or viscose | ||||||
| This subclass is indented under subclass 59. Compounds which are cellulose derivatives that include the
group:
SEE OR SEARCH THIS CLASS, SUBCLASS:
| |||||||
61 | Subsequent treatment process | ||||
This subclass is indented under subclass 60. Compounds in which cellulose xanthate or viscose is purified,
recovered, separated, altered physically; or treated chemically
wherein the primary intent is merely to modify a property of the
product.
SEE OR SEARCH THIS CLASS, SUBCLASS:
| |||||
62 | Phosphorus containing acid | ||
| This subclass is indented under subclass 58. Compounds in which the acid moiety contains phosphorus.
SEE OR SEARCH THIS CLASS, SUBCLASS:
| |||
63 | Carboxylic acid esters |
| This subclass is indented under subclass 58. Compounds in which the acid moiety is a carboxylic acid. | |
64 | Mixed carboxylate esters | ||
This subclass is indented under subclass 63. Compounds which contain at least two diverse carboxylic
acid moieties.
| |||
65 | Propionate, butyrate or isobutyrate containing |
| This subclass is indented under subclass 64. Compounds in which at least one of the carboxylic acid moieties is a propionate, butyrate or isobutyrate radical. | |
66 | Ether-esters | ||
This subclass is indented under subclass 63. Compounds which additionally contain an ether moiety.
| |||
67 | Formates |
| This subclass is indented under subclass 63. Compounds in which the carboxylic acid moiety is the formate radical. | |
68 | Propionates, butyrates or isobutyrates |
| This subclass is indented under subclass 63. Compounds in which the carboxylic acid moiety is either the propionate, butyrate or isobutyrate radical. | |
69 | Acetates |
| This subclass is indented under subclass 63. Compounds in which the carboxylic acid moiety is the acetate radical. | |
70 | With pretreatment process |
| This subclass is indented under subclass 69. Processes in which cellulose undergoes a physical or chemical treatment prior to the formation of the acetate ester. | |
71 | Acetic acid utilized in pretreatment | ||
This subclass is indented under subclass 70. Processes in which acetic acid is used in the pretreatment.
| |||
72 | Halogen containing compound utilized in process |
| This subclass is indented under subclass 71. Processes in which a halogen containing compound is employed in the pretreatment of the cellulose or in the formation of the cellulose acetate. | |
73 | Sulfur containing compound utilized in pretreatment |
| This subclass is indented under subclass 71. Processes wherein a sulfur containing compound is also used in the pretreatment. | |
74 | Sulfur containing compound utilized in pretreatment |
| This subclass is indented under subclass 70. Processes in which a sulfur containing compound is used in the pretreatment. | |
75 | Halogen containing compound utilized in process |
| This subclass is indented under subclass 70. Processes in which a compound containing a halogen is employed in the pretreatment of the cellulose or in the formation of the cellulose acetate. | |
76 | Subsequent treatment process |
| This subclass is indented under subclass 69. Processes in which cellulose acetates are purified, recovered, separated, altered physically; or treated chemically wherein the primary intent is merely to modify a property of the cellulose acetate. | |
77 | Comminuting or centrifuging | ||
| This subclass is indented under subclass 76. Processes which include physically subdividing units of
the compound to form smaller particles or subjecting the compound
to centrifugal force.
SEE OR SEARCH CLASS:
| |||
78 | Recovery from photographic film |
| This subclass is indented under subclass 76. Processes in which cellulose acetate is recovered from photos:graphic film. | |
79 | Corrosiveness reduced |
| This subclass is indented under subclass 76. Processes which result in the inhibition or reduction of the corrosive properties of cellulose acetates. | |
80 | Viscosity or degree of polymerization changed (e.g., degrading, cross linking, etc.) |
| This subclass is indented under subclass 76. Processes wherein the flow resistance or amount of polymerization is altered. | |
81 | Stabilizing |
| This subclass is indented under subclass 76. Processes whereby the physical or chemical stability of cellulose acetate is increased. | |
82 | Halogen containing compound utilized in process |
| This subclass is indented under subclass 76. Processes in which a halogen containing compound is utilized in the subsequent treatment or in the formation of cellulose acetate. | |
83 | Halogen containing compound utilized in process | ||||
| This subclass is indented under subclass 69. Processes in which a halogen containing compound is utilized
in the formation of cellulose acetate.
SEE OR SEARCH THIS CLASS, SUBCLASS:
| |||||
84 | Ethers | ||||||
This subclass is indented under subclass 56. Compounds having the general formula ROR", wherein
RO- is the cellulose residue moiety and R" is an organic
radical.
SEE OR SEARCH THIS CLASS, SUBCLASS:
| |||||||
85 | Subsequent treatment process | ||||||
This subclass is indented under subclass 84. Processes in which a cellulose ether is purified, recovered,
separated, altered physically; or treated chemically wherein the
primary intent is merely to modify a property of the cellulose ether.
SEE OR SEARCH THIS CLASS, SUBCLASS:
| |||||||
86 | Comminuting | ||||||
This subclass is indented under subclass 85. Processes which include physically subdividing units of
the compound to form smaller particles.
SEE OR SEARCH CLASS:
| |||||||
87 | Liquid interaction properties changed (e.g., solubility, absorbability, etc.) |
| This subclass is indented under subclass 85. Processes which include altering the interworking characteristics of the compound with liquids. | |
88 | Viscosity, degree of polymerization or heat stability changed (e.g., degrading, cross-linking, etc.) |
| This subclass is indented under subclass 85. Processes wherein the flow resistance, amount of polymerization, or high temperature stability is altered. | |
89 | Acid employed in subsequent treatment |
| This subclass is indented under subclass 85. Processes wherein an organic acid or an inorganic acid is employed in the subsequent treatment. | |
90 | Mixed ethers | ||||
This subclass is indented under subclass 84. Compounds which contain at least two diverse organic radicals
attached via ether linkages to the cellulose residue moiety.
SEE OR SEARCH THIS CLASS, SUBCLASS:
| |||||
91 | Hydroxyalkyl containing |
| This subclass is indented under subclass 90. Compounds wherein at least one of the radicals attached via the ether linkage is a hydroxyalkyl radical. | |
92 | Sulfur containing |
| This subclass is indented under subclass 84. Compounds wherein the etherifying radical contains sulfur. | |
93 | Unsaturated |
| This subclass is indented under subclass 84. Compounds wherein the etherifying radical contains a double or triple bond. | |
94 | Aromatic nucleus containing |
| This subclass is indented under subclass 93. Compounds wherein an etherifying radical contains a benzene ring. | |
95 | Hydroxyalkyl containing |
| This subclass is indented under subclass 84. Compounds wherein the etherifying radical is a hydoxyalkyl radical. | |
96 | Hydroxyethyl |
| This subclass is indented under subclass 95. Compounds wherein the hydroxyalkyl is hydroxyethyl. | |
97 | Carboxyalkyl or salts thereof |
| This subclass is indented under subclass 84. Compounds wherein the etherifying radical is the carboxyalkyl radical or a salt thereof. | |
98 | Carboxymethyl or salts thereof |
| This subclass is indented under subclass 97. Compounds wherein the etherifying radical is the carboxymethyl radical or a salt thereof. | |
99 | Alkyl or cycloalkyl |
| This subclass is indented under subclass 84. Compounds wherein the etherifying radical is an alkyl or cycloalkyl radical. | |
100 | Ethyl |
| This subclass is indented under subclass 99. Compounds wherein the ehterifying radical is the ethyl radical. | |
101 | Metal containing |
| This subclass is indented under subclass 56. Compounds which include metal. | |
102 | Starch or derivative | ||||||
This subclass is indented under subclass 1.1. Compounds which have amylose and amylopectin as their two
main components, and derivatives of such compounds.
SEE OR SEARCH THIS CLASS, SUBCLASS:
| |||||||
103 | Dextrin or derivative | ||||||
This subclass is indented under subclass 102. Compounds which are any of various gummy polysaccharides
produced by thermal or acid degradation of starch, and derivatives
of such compounds.
SEE OR SEARCH THIS CLASS, SUBCLASS:
| |||||||
104 | Aldehyde reaction product |
| This subclass is indented under subclass 102. Compounds which result from a chemical reaction between
starch, or a derivative thereof, and a reactant containing the functional
group and derivatives of such compounds.
| |
105 | Oxidized starch or derivative |
| This subclass is indented under subclass 102. Compounds which result from reacting starch or a derivative thereof, with an oxidizing reagent, and derivatives of such compounds. | |
106 | Cross-linked | ||||||
| This subclass is indented under subclass 102. Compounds which result from reacting starch with a reagent
having at least two functional groups which link together starch
molecules, usually via ether or ester linkage between hydroxyls
of said molecules.
SEE OR SEARCH THIS CLASS, SUBCLASS:
| |||||||
107 | Esters | ||||||||||
This subclass is indented under subclass 102. Compounds which result from the reaction of a hydroxyl group
of a starch with an acid.
SEE OR SEARCH THIS CLASS, SUBCLASS:
| |||||||||||
108 | Ether-esters or mixed esters | ||
This subclass is indented under subclass 107. Compounds which (1) additionally contain an ether moiety,
or (2) contain at least two diverse ester moieties.
| |||
109 | Phosphorus or sulfur containing |
| This subclass is indented under subclass 107. Compounds which include phosphorus or sulfer. | |
110 | Carboxylic |
| This subclass is indented under subclass 107. Compounds wherein the acid reactant contains a carboxylic
acid group
| |
111 | Ethers | ||||||||||
This subclass is indented under subclass 102. Compounds having the general formula ROR", wherein
RO- is the starch residue moiety and R" is an organic radical.
SEE OR SEARCH THIS CLASS, SUBCLASS:
| |||||||||||
112 | Dextran or derivative | ||||||||
This subclass is indented under subclass 1.1. Compounds which are high molecular weight polysaccharides
containingD-glucose units linked predominately -D (16).
SEE OR SEARCH THIS CLASS, SUBCLASS:
| |||||||||
113 | Iron containing |
| This subclass is indented under subclass 112. Compounds which include iron. | |
114 | Gums or derivatives | ||
| This subclass is indented under subclass 1.1. Compounds which are exudations of plants produced to cover
wounds and prevent attack by micro-organisms and are highly branched polysaccharides
composed of two or more monosaccharides.
SEE OR SEARCH THIS CLASS, SUBCLASS:
| |||
115 | Esters | ||||
This subclass is indented under subclass 1. Compounds which result from the reaction of a hydroxyl group
of a carbohydrate with an acid.
| |||||
116 | Ether-esters | ||||
This subclass is indented under subclass 115. Compounds which additionally contain an ether moiety.
| |||||
117 | Phosphorus containing |
| This subclass is indented under subclass 115. Compounds which include phosphorus. | |
118 | Sulfur containing |
| This subclass is indented under subclass 115. Compounds which include sulfur. | |
119 | Carboxylic |
| This subclass is indented under subclass 115. Compounds wherein the esterifying acid is carboxylic acid. | |
120 | Ethers | ||||
This subclass is indented under subclass 1.1. Compounds having the general formula ROR", wherein
RO- is the carbohydrate residue moiety and R" is an organic
radical.
| |||||
121 | Metal containing | ||
This subclass is indented under subclass 1.1. Compounds which include metal.
| |||
122 | Sulfur or halogen containing |
| This subclass is indented under subclass 1.1. Compounds which include sulfur, fluorine, chlorine, bromine, iodine or astatine. | |
123 | Plural diverse saccharides containing (e.g., heteropolysaccarides, etc.): | ||
This subclass is indented under subclass 1.1. Products which contain three or more sugar moieties, at
least two of which are different.
| |||
123.1 | Polysaccharides: | ||||
| This subclass is indented under subclass 1.11. Compounds which are polymers containing a sugar ring as
the monomeric unit.
SEE OR SEARCH THIS CLASS, SUBCLASS:
| |||||
123.12 | Glucans (e.g., pullulan, etc.): |
| This subclass is indented under subclass 123.1. Compounds which are polymers of D-glucopyranose. | |
123.13 | Disaccharides (e.g., maltose, sucrose, lactose, formaldehyde lactose, etc.): | ||
This subclass is indented under subclass 123.1. Compounds which contain exactly two monosaccharides units
covalently bonded to each other.
| |||
124 | Processes: |
| This subclass is indented under subclass 1.1. Processes which are directed to the preparation, purification, recovery, stabilization, or treatment in any way of carbohydrates or derivatives of carbohydrates. | |
125 | Isomerization: |
| This subclass is indented under subclass 124. Processes wherein a carbohydrate is prepared by transformation or rearrangement of the elements of a starting compound without adding or taking away any element. | |
126 | Polymerization: |
| This subclass is indented under subclass 124. Processes wherein a carbohydrate is prepared by a reaction wherein two or more molecules of the same sugar combine. | |
127 | Purification or recovery: |
| This subclass is indented under subclass 124. Process which include separating a carbohydrate from impurities or from the reaction mixture. | |
128 | From plant material: |
| This subclass is indented under subclass 127. Processes wherein a carbohydrate is separated or recovered from plant material. | |
![[Search a list of Patent Appplications for class 536]](../as.gif)
![[List of Patents for class 536 subclass 1.11]](../ps.gif)
![D-ribose [1]](c536s1-11-1.gif)
![D-glucose [2]](c536s1-11-2.gif)
![D-ribulose [3]](c536s1-11-3.gif)
![D-fructose [4] Criterion 2: the correspondingcyclic hemiacetals, i.e. 'cyclic saccharides' ofwhich representative examples are:](c536s1-11-4.gif)
![a-D-ribose D-ribofuranose [5]](c536s1-11-5.gif)
![a-D-glucose D-glucopyranose [6]](c536s1-11-6.gif)
![a-D-glucose D-glucopyranose [7]](c536s1-11-7.gif)
![a-D-glucose D-glucopyranose [8] wherein:(i) figure [5] is the cyclic form of figure [1],(ii) figures [6-8] each depict, in a differentway, a-D-glucose, which is one of the two cyclic forms of D-glucoseshown in figure [2], (iii) figure [2] isa Fischer projection, figure [6] is a conformationalprojection, figure [7] is a Haworth projection,and figure [8] is a Mills projection, (iv) thenumber one carbon atom, the asterisked carbon atom, is the hemiacetalcarbon and is also known as the anomeric carbon. Criterion 3: the derivatives of (1) or (2) wherein: (a) for acyclic saccharides,(i) the 5 or 6 carbon member skeleton and the carbonylfunction are not destroyed, (ii) there are no fewer than(n - 2) total -OR moieties directly bonded to the carbonskeleton (wherein R is H or a group bonded to oxygen through carbon), (iii) no more than one oxygen atom is attached to any one carbonof the carbon skeleton, and structures [9-14] areillustrative:](c536s1-11-8.gif)
![[9]](c536s1-11-9.gif)
![[10]](c536s1-11-10.gif)
![[11]](c536s1-11-11.gif)
![[12]](c536s1-11-12.gif)
![[13]](c536s1-11-13.gif)
![[14] (b) for cyclicsaccharides, except for C-glycosyl compounds describedin section, and (c) there can be substitution by moieties whichdo not destroy the cyclic saccharide structure as long as at least one -XH or -XR group is bonded directly to the hemiacetal/anomeric carbon(this carbon is denoted with an asterisk in the figuresbelow), wherein X is -O-, -S-,or -NR subscript S- and R is H or agroup bonded to X through carbon and R subscript S is asubstituent which completes the valency of the nitrogen atom, andfigures [15-18] represent the minimum structurenecessary to constitute a cyclic saccharide derivative:](c536s1-11-14.gif)
![[15] n=5](c536s1-11-15.gif)
![[16] n=6](c536s1-11-16.gif)
![[17] n=6](c536s1-11-17.gif)
![[18] n=6 wherein: - at leastone of the R subscript 1 (where n = 5) or atleast two of the R subscript 1 (where n = 6)must be -OR wherein R is H or a group bonded to the oxygenof -OR through carbon; and the representation of thebond between XR and the ring position 1 in ech of the structures [15-18] signifiesan a (i.e., axial) or b (i.e., equatorial) configuration (c) forcyclic saccharide, C-glycosyl-type compounds (also known as C-glycosides) (i) C-glycosyl compounds will have the structure defined below [19-21]](c536s1-11-18.gif)
![[19] n=5](c536s1-11-19.gif)
![[20] n=6](c536s1-11-20.gif)
![[21] n=6 wherein: - at leastone of the R subscript 1 (where n = 5) or atleast two of the R subscript 1 (where n = 6)must be -OR wherein R is H or group bonded to the oxygenof -OR through carbon; - R subscript 2, R subscript 3,and R subscript 4 alone or in combination can be any substituentwhich completes the valency of the carbon atom. (ii) 'C-glycoside',although often used in the art to represent this type compound,is a misnomer-'C-glycosyl' is the properterm.](c536s1-11-21.gif)
![Tetrahydrofuran [22]](c536s1-11-22.gif)
![Tetrahydropyran [23]](c536s1-11-23.gif)
![Tetrahydropyran [24]](c536s1-11-24.gif)
![[25]](c536s1-11-25.gif)
![[26]](c536s1-11-26.gif)
![[27]](c536s1-11-27.gif)
![[28]](c536s1-11-28.gif)
![[29]](c536s1-11-29.gif)




























































" >





































