CLASS 564, | ORGANIC COMPOUNDS -- PART OF THE CLASS 532-570 SERIES |
| Click here for a printable version of this file | |
SUBCLASSES
1 | AMINO NITROGEN CONTAINING (E.G., UREA, SULFONAMIDES, NITROSAMINES, OXYAMINES, ETC., AND SALTS THEREOF) | ||||||||||||
This subclass is indented under subclass 1. Compounds under Class 532, ... which contain nitrogen in
a form other than as nitrogen in an inorganic ion of an addition
salt, nitro, or nitroso.
SEE OR SEARCH CLASS:
| |||||||||||||
1.5 | Adducts or inclusion compounds of urea per se or of of thiourea per se with organic compounds (e.g., urea-alkane inclusion compounds, etc.) | ||||
This subclass is indented under subclass 1. Compounds wherein urea, per se, of thiourea, per se, forms
an adduct or inclusion compound with an organic compound.
| |||||
2 | With preservative or stabilizer |
| This subclass is indented under subclass 1. Products wherein the amino nitrogen containing compound is mixed with a preserving agent whose sole function is to prevent physical or chemical change. | |
3 | Ureas or thioureas with preservative or stabilizer |
| This subclass is indented under subclass 2. Products wherein the compound stabilized or preserved contains the grouping below, wherein X is O or S. NN | |
4 | Carboxamides with preservative or stabilizer |
| This subclass is indented under subclass 2. Products wherein the compound stabilized or preserved is a carboxamide containing the grouping RN | |
5 | Benzene ring containing compound with preservative or stabilizer |
| This subclass is indented under subclass 2. Products wherein the compound being preserved contains a benzene ring. | |
6 | Inorganic preservative or stabilizer |
| This subclass is indented under subclass 5. Products wherein the preserving or stabilizing agent is inorganic. | |
7 | Sulfur or phenol containing preservative or stabilizer |
| This subclass is indented under subclass 5. Products wherein the preserving or stabilizing agent contains sulfur or a phenolic group. | |
8 | Boron containing (e.g., boron containing complexes, salts, etc.) | ||||
This subclass is indented under subclass 1. Compounds which contain boron.
| |||||
9 | Boron attached directly to amino nitrogen by nonionic bonding | ||
This subclass is indented under subclass 8. Compounds wherein the boron is directly attached to an amino
nitrogen by nonionic bonding.
| |||
10 | The boron and amino nitrogen are members of the same ring | ||
This subclass is indented under subclass 9. Compounds wherein the nonionically bonded boron and amino
nitrogen are both members of the same ring.
| |||
11 | Polycyclo ring system having the nitrogen and boron containing ring as one of the cyclos | ||
This subclass is indented under subclass 10. Compounds wherein the boron and nitrogen containing ring
is part of a polycyclo ring system.
| |||
12 | Phosphorus attached directly to amino nitrogen by nonionic bonding | ||
This subclass is indented under subclass 1. Compounds which contain phosphorus directly attached to
an amino nitrogen by nonionic bonding.
| |||
13 | The phosphorus and nitrogen are members of the same ring | ||
This subclass is indented under subclass 12. Compounds wherein the phosphorus and amino nitrogen are
both members of the same ring.
| |||
14 | Chalcogen and plural nitrogens bonded directly to the same phosphorus | ||
This subclass is indented under subclass 12. Compounds wherein at least two amino nitrogens and oxygen
or sulfur are bonded to the same phosphorus.
| |||
15 | Phosphorus attached indirectly to amino nitrogen by nonionic bonding | ||
This subclass is indented under subclass 1. Compounds which contain phosphorus indirectly attached to
amino nitrogen by nonionic bonding.
| |||
16 | The phosphorus is a ring member | ||
This subclass is indented under subclass 15. Compounds wherein the phosphorus is a member of a ring.
| |||
17 | Thioureas (i.e., HNH-C(=S)-HNH, wherein substitution may be made for hydrogen only) | ||||
This subclass is indented under subclass 1. Compounds which contain the grouping
NN
SEE OR SEARCH CLASS:
| |||||
18 | Thiocarbazides or thiosemicarbazides (i.e. HNH-NH-C(=S)-HNH, wherein the N bonded directly to the thiourea N is an amino N and substitution may be made for hydrogen only) | ||
This subclass is indented under subclass 17. Compounds which contain the thiocarbazide radical wherein
an amino nitrogen is bonded directly to each of the thiorea nitrogens,
or the thiosemicarbazide radical wherein an amino nitrogen is
bonded to one thiourea nitrogen -N- .
| |||
19 | Thiocarbazones or thiosemicarbazones (i.e., HCH=N-NH-C(=S)-HNH, wherein substitution may be made for hydrogen only) | ||
| This subclass is indented under subclass 18. Compounds which contain the thiocarbazone radical (Figure
1) or the thiosemicarbazone radical (Fig.2).
FIGURE 1
FIGURE 2
| |||
20 | Benzene ring containing | ||
This subclass is indented under subclass 19. Compounds which contain a benzene ring.
| |||
21 | Additional nitrogen attached indirectly to the thiocarbonyl by nonionic bonding | ||
This subclass is indented under subclass 20. Compounds which contain nitrogen in addition to that of
the thiocarbazone or thiosemicarbazone.
| |||
22 | Thiobiurets (i.e., HNH-C(=S)-NH-C(=X)-HNH, wherein X is S or O and substitution may be made for hydrogen only) | ||
This subclass is indented under subclass 17. Compounds which contain the grouping in the figure below,
wherein X may be oxygen or sulfur, i.e., mono- or dithiobiurets.
--
| |||
23 | Carbonyl, sulfur, or cyano attached directly to thiourea nitrogen by nonionic bonding | ||
This subclass is indented under subclass 17. Compounds wherein a thiourea nitrogen has carbonyl, sulfur,
or cyano group directly attached by nonionic bonding.
| |||
24 | Processes utilizing carbon disulfide | ||
This subclass is indented under subclass 17. Processes wherein carbon disulfide is utilized in preparing
a thiourea.
| |||
25 | Processes utilizing cyano containing compound | ||
This subclass is indented under subclass 17. Processes wherein a cyano compound is utilized in preparing
a thiourea.
| |||
26 | Benzene ring containing | ||
This subclass is indented under subclass 17. Compounds which contain a benzene ring.
| |||
27 | Nitrogen attached indirectly to the thiocarbonyl by nonionic bonding | ||
This subclass is indented under subclass 26. Compounds which contain nitrogen in addition to the thiourea
nitrogen.
| |||
28 | Hydroxy, bonded directly to carbon, or ether containing (H of -OH may be replaced by a substituted or unsubstituted ammonium ion or a Group IA or IIA light metal) | ||
This subclass is indented under subclass 26. Compounds which contain a hydroxyl group bonded directly
to a carbon, or an ether, wherein H of the -OH may be replaced by
a substituted or unsubstituted ammonium ion or a group IA or IIA
light metal.
| |||
29 | Halogen attached indirectly to the thiocarbonyl by nonionic bonding | ||
This subclass is indented under subclass 26. Compounds which contain halogen nonionically bonded.
| |||
30 | Acyclic | ||
This subclass is indented under subclass 17. Compounds which do not contain any ring.
| |||
31 | Thiourea per se or salt thereof |
| This subclass is indented under subclass 30. The compound which is thiourea, or its salts and processes of preparation not provided for above. | |
32 | Ureas (i.e., HNH-CO-HNH, wherein substitution may be made for hydrogen only) | ||||||||
This subclass is indented under subclass 1. Compounds which have the grouping
- -
SEE OR SEARCH THIS CLASS, SUBCLASS:
| |||||||||
33 | Nitro or nitroso bonded directly to nitrogen | ||
This subclass is indented under subclass 32. Compounds which contain a nitro or nitroso group bonded
directly to an amino nitrogen (i.e., nitramine or nitrosamine containing).
| |||
34 | Carbazides or semicarbazides (i.e., HNH-NH-CO-HNH, wherein substitution may be made for hydrogen only) | ||
| This subclass is indented under subclass 32. Compounds which are carbazides or semicarbazides containing
the grouping.
| |||
35 | Carbonyl or sulfur attached directly to carbazide or semicarbazide nitrogen by nonionic bonding | ||
This subclass is indented under subclass 34. Compounds wherein a carbonyl group or sulfur is attached
directly to a carbazide or semicarbazide nitrogen by nonionic bonding.
| |||
36 | Carbazones or semicarbazones (i.e., HCH=N-NH-CO-HNH, wherein substitution may be made for hydrogen only) | ||
| This subclass is indented under subclass 34. Compounds which contain the carbazone radical (Fig. 1)
or the semicarbazone radical (Fig. 2).
FIGURE 1
FIGURE 2
| |||
37 | Acyclic | ||
This subclass is indented under subclass 34. Compounds which do not contain any ring.
| |||
38 | Biurets (i.e., HNH-CO-NH-CO-HNH, wherein substitution may be made for hydrogen only) | ||
This subclass is indented under subclass 32. Compounds which are biurets and contain the grouping --
| |||
39 | Sulfur attached directly to urea nitrogen by nonionic bonding | ||
This subclass is indented under subclass 32. Compounds which contain sulfur attached directly to urea
nitrogen by nonionic bonding.
| |||
40 | The sulfur is part of a substituent which contains nitrogen | ||
This subclass is indented under subclass 39. Compounds wherein the sulfur is part of a group which contains
additional nitrogen.
| |||
41 | The substituent nitrogen is the nitrogen of a benzamido group (e.g., Cl benzene-CO-NH-HCH-(O=)S(=O)-, bonded directly to urea nitrogen, etc.) | ||
This subclass is indented under subclass 40. Compounds wherein the additional nitrogen is the nitrogen
of a benzamido group.
| |||
42 | The sulfur is part of a monocyclic benzene ring containing substituent | ||
This subclass is indented under subclass 39. Compounds wherein the sulfur is part of a substituent which
is monocyclic and aromatic.
| |||
43 | Alicyclic ring bonded directly to urea nitrogen | ||
This subclass is indented under subclass 42. Compounds wherein an alicyclic ring is bonded directly to
a urea nitrogen.
| |||
44 | Additional carbonyl bonded directly to urea nitrogen | ||
This subclass is indented under subclass 32. Compounds in which a urea nitrogen has been amidated by
a carboxylic acid.
| |||
45 | The additional carbonyl is in a substituent which is acyclic | ||||
This subclass is indented under subclass 44. Compounds wherein the carboxylic acid contains no ring.
SEE OR SEARCH CLASS:
| |||||
46 | Carbon to carbon unsaturation in the substituent | ||
This subclass is indented under subclass 45. Compounds wherein the carboxylic acid contains a double
or triple bond.
| |||
47 | Benzene ring containing | ||
This subclass is indented under subclass 32. Compounds which contain a benzene ring (i.e., aromatic).
| |||
48 | Benzene ring bonded directly to urea nitrogen (i.e., anilides) | ||
This subclass is indented under subclass 47. Compounds which are anilides, wherein a benzene ring is
directly bonded to a urea nitrogen.
| |||
49 | The benzene ring is part of a substituent which contains sulfur | ||
This subclass is indented under subclass 48. Compounds wherein the benzene ring is part of a substituent
which contains sulfur
| |||
50 | The benzene ring is part of a substituent which contains nitrogen | ||
This subclass is indented under subclass 48. Compounds wherein the benzene ring is part of a substituent
which contains additional nitrogen.
| |||
51 | The substituent nitrogen is attached indirectly to the benzene ring by acyclic nonionic bonding | ||
This subclass is indented under subclass 50. Compounds wherein the additional nitrogen is indirectly
bonded to the benzene ring by acyclic nonionic bonding.
| |||
52 | The benzene ring is part of a substituent which contains oxygen | ||
This subclass is indented under subclass 48. Compounds wherein the benzene ring is part of a substituent
which contains oxygen.
| |||
53 | The benzene ring is part of a substituent which contains halogen bonded directly to carbon | ||
This subclass is indented under subclass 48. Compounds wherein the benzene ring is part of a substituent
which contains halogen bonded directly to carbon.
| |||
54 | The halogen is fluorine | ||
This subclass is indented under subclass 53. Compounds wherein the halogen is fluorine.
| |||
55 | Plural benzene rings bonded directly to urea nitrogen | ||
This subclass is indented under subclass 48. Compounds wherein more than one benzene ring is bonded directly
to the same urea nitrogen or to different urea nitrogen.
| |||
56 | Aralkyl bonded directly to urea nitrogen | ||
This subclass is indented under subclass 47. Compounds wherein an aralkyl group is bonded directly to
a urea nitrogen.
| |||
57 | Alicyclic ring containing | ||
This subclass is indented under subclass 32. Compounds which contain an alicyclic group.
| |||
58 | Additional carbon bonded directly to urea nitrogen | ||
This subclass is indented under subclass 32. Compounds which contain an alkyl or substituted alkyl group
bonded directly to a urea nitrogen.
| |||
59 | The additional carbon is part of a substituent which contains nitrogen | ||
This subclass is indented under subclass 58. Compounds wherein the alkyl group contains an additional
nitrogen.
| |||
60 | The additional carbon is part of a substituent which contains oxygen | ||
This subclass is indented under subclass 58. Compounds wherein the alkyl group contains oxygen as a substituent.
| |||
61 | Processes |
| This subclass is indented under subclass 58. Processes for the preparation, purification, separation, or recovery of compounds classified therein. | |
62 | Preparing directly from compound having carbon to carbon unsaturation |
| This subclass is indented under subclass 61. Processes wherein one of the starting materials contain a double or triple bond between two carbons. | |
63 | Urea per se or salt thereof | ||
| This subclass is indented under subclass 32. The compound which is urea or salts thereof.
SEE OR SEARCH THIS CLASS, SUBCLASS:
| |||
64 | Preparing directly from cyano containing compound |
| This subclass is indented under subclass 63. Processes which utilize a cyano containing compound, for example, calcium cyanamide in the preparation of urea. | |
65 | Preparing directly from ammonia and carbonmonoxide or carbon oxysulfide (e.g., from ammonia and COS, etc.) |
| This subclass is indented under subclass 63. Processes in which urea is prepared by reacting ammonia with carbon monoxide or carbon oxysulfide. | |
66 | Preparing directly from ammonium carbamate (i.e., from HNH-COO-HHNHH) | ||
| This subclass is indented under subclass 63. Processes in which urea is prepared directly from ammonium
carbamate.
SEE OR SEARCH THIS CLASS, SUBCLASS:
| |||
67 | Preparing directly from ammonia and carbon dioxide |
| This subclass is indented under subclass 63. Processes wherein urea is prepared by the reaction of ammonia with carbon dioxide. | |
68 | With corrosion inhibiting of reactor |
| This subclass is indented under subclass 67. Processes which include the prevention of corrosion of the reactor. | |
69 | With ammonia synthesis |
| This subclass is indented under subclass 67. Processes which include the step of synthesizing ammonia. | |
70 | With decomposition of by-product ammonium carbamate (i.e., decomposition of HNH-COO-HHNHH) | ||
| This subclass is indented under subclass 67. Processes wherein by-product ammonium carbamate is decomposed.
SEE OR SEARCH THIS CLASS, SUBCLASS:
| |||
71 | Utilizing indirect heat exchange |
| This subclass is indented under subclass 70. Processes which utilize indirect heat exchange. | |
72 | In plural stages |
| This subclass is indented under subclass 70. Processes wherein the decomposition of ammonium carbamate is performed in plural stages. | |
73 | Purification or recovery |
| This subclass is indented under subclass 63. Processes directed to the purification, separation, or recovery of urea. | |
74 | Thiocarboxamides (i.e., compounds containing -C(=S)-HNH, wherein substitution may be made for hydrogen only) | ||
This subclass is indented under subclass 1. Compounds which are thiocarboxamides containing the grouping
N.
| |||
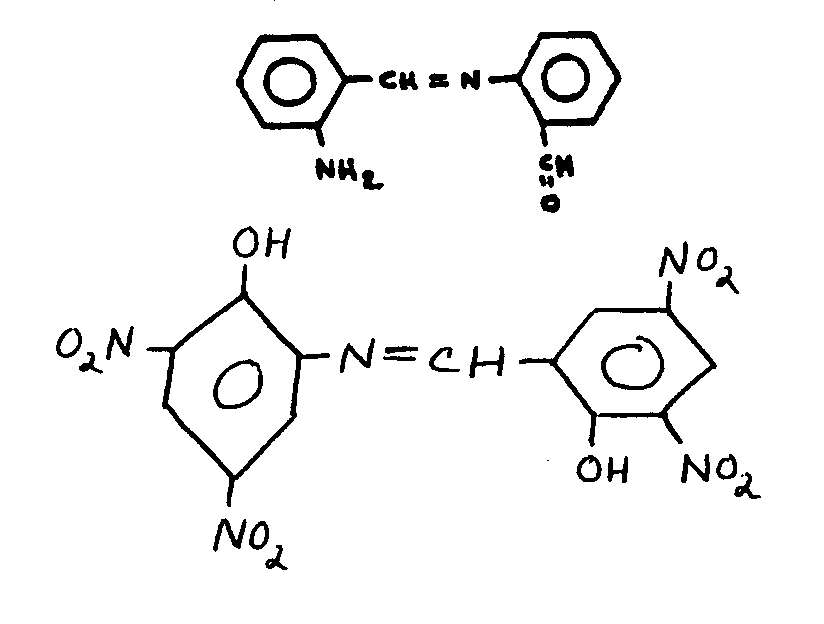
75 | Sulfur bonded directly to the thiocarbonyl | ||
This subclass is indented under subclass 74. Compounds which contain the grouping -S- not provided for
above.
| |||
76 | Thiuram sulfides (e.g., HNH-C(=S)-S-S-C(=S)-HN-alkyl, etc.) | ||
| This subclass is indented under subclass 75. Compounds which are thiuram sulfides containing the grouping
below wherein X is a positive integer.
| |||
77 | Thiooxamides (i.e., HNH-C(=S)-C(=X)-HNH, wherein X is S or O and substitution may be made for hydrogen only) | ||
This subclass is indented under subclass 74. Compounds which are thioxamides containing the grouping
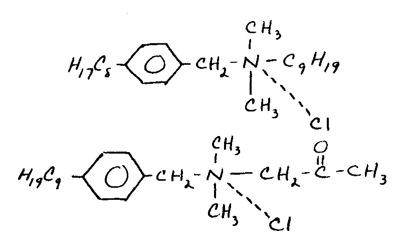
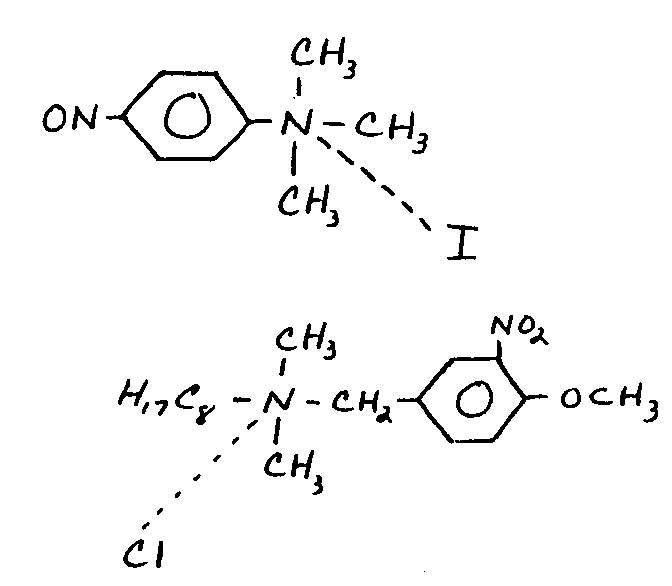
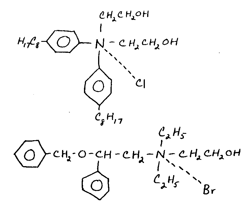
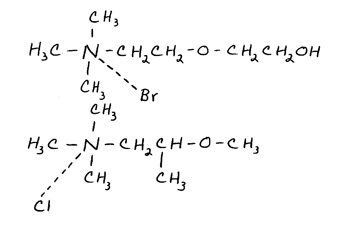
-- wherein X may be oxygen or sulfur.
| |||
78 | Acyclic | ||
This subclass is indented under subclass 74. Compounds which do not contain a ring.
| |||
79 | Sulfamides (i.e., HNH-(O=)S(=O)-HNH, wherein substitution may be made for hydrogen only) | ||
| This subclass is indented under subclass 1. Compounds which are diamides of sulfuric acid (i.e., sulfamides)
and contain the grouping
| |||
80 | Sulfonamides (i.e., Q-(O=)S(=O)-HNH, wherein Q is a substituent and wherein any substituent replacing one or both hydrogens shown will be referred to as E) | ||
| This subclass is indented under subclass 1. Compounds which are sulfonamides and contain the grouping
below wherein R-SO2- is the residue of a sulfonic
acid and N is the residue of an amino nitrogen containing compound.
| |||
81 | Hydrazine containing | ||
This subclass is indented under subclass 80. Compounds which contain a hydrazine group.
| |||
82 | Plural sulfonamide groups containing or containing plural sulfonyls bonded directly to the same nitrogen | ||
This subclass is indented under subclass 80. Compounds which contain more than one sulfonamide group
or contain plural sulfonyls bonded directly to the same nitrogen.
| |||
83 | Two sulfonamido sulfonyls having no sulfonamido nitrogen between the sulfonyls | ||
This subclass is indented under subclass 82. Compounds wherein the sulfonyls of two sulfonamide groups
contain no sulfonamide nitrogen between them.
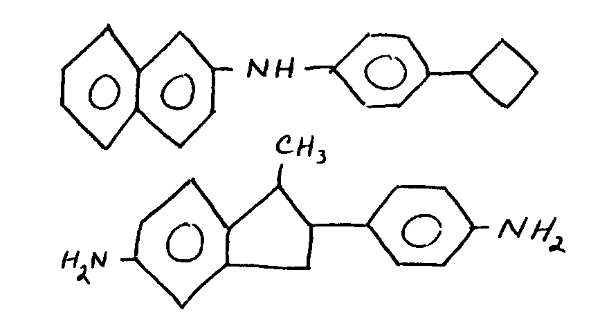
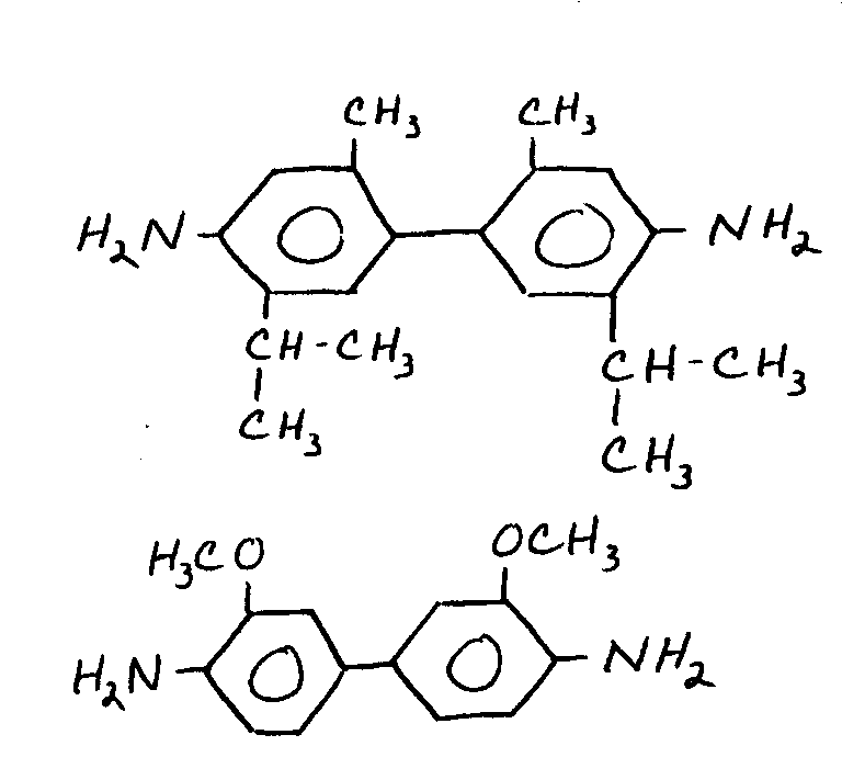
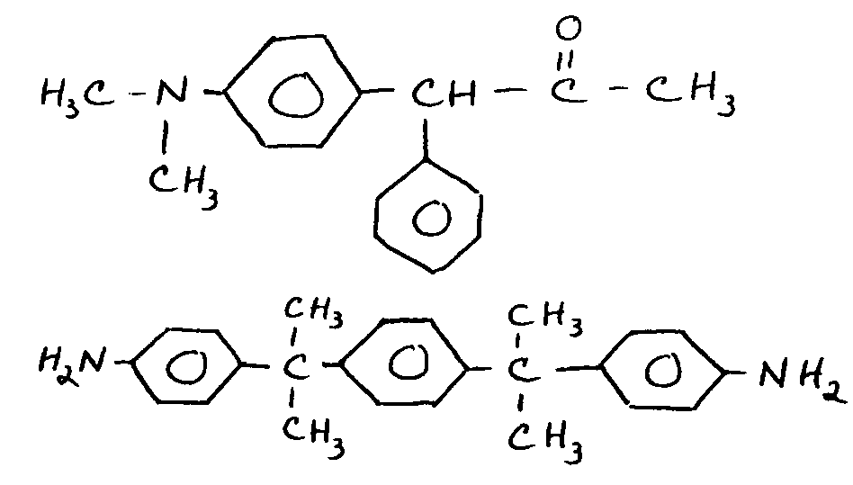
| |||
84 | Substituent Q contains benzene ring | ||
This subclass is indented under subclass 80. Compounds wherein the sulfonic acid residue is aromatic
(i.e., benzene ring containing).
| |||
85 | Sulfur in substituent Q | ||
This subclass is indented under subclass 84. Compounds wherein the aromatic sulfonic acid residue contains
sulfur.
| |||
86 | Nitrogen in substituent Q | ||
This subclass is indented under subclass 84. Compounds wherein the residue of the aromatic sulfonic acid
contains nitrogen.
| |||
87 | Nitro or nitroso in substituent Q | ||
This subclass is indented under subclass 86. Compounds wherein the residue of the aromatic sulfonic acid
contains a nitro or nitroso group bonded directly to a carbon atom.
| |||
88 | Carbonyl in substituent Q | ||
This subclass is indented under subclass 84. Compounds wherein the residue of the aromatic sulfonic acid
contains a carbonyl group.
| |||
89 | Hydroxy, bonded directly to carbon, or ether in substituent Q (H of -OH may be replaced by a substituted or unsubstituted ammonium ion or a Group IA or IIA light metal) | ||
This subclass is indented under subclass 84. Compounds wherein the residue of the aromatic sulfonic acid
contains a hydroxyl group bonded directly to carbon or an ether
wherein the H of the OH may be replaced by a substituted or unsubstituted
ammonium ion or a Group IA or IIA light metal.
| |||
90 | Substituent Q is monocyclic | ||
This subclass is indented under subclass 84. Compounds wherein the residue of the aromatic sulfonic acid
is monocyclic.
| |||
91 | Carbonyl, cyano, nitro, nitroso, halogen, or sulfur attached directly to the sulfonamide nitrogen or to an amino nitrogen in a substituent E by nonionic bonding | ||||
This subclass is indented under subclass 90. Compounds wherein the amino nitrogen compound residue contains
a carbonyl, cyano, nitro, nitroso, halogen, or sulfur attached directly
to the sulfonamido nitrogen or to an amino nitrogen by nonionic
bonding.
| |||||
92 | Benzene ring in a substituent E | ||
This subclass is indented under subclass 90. Compounds wherein the amino nitrogen compound residue contains
a benzene ring.
| |||
93 | Hydroxy, bonded directly to carbon, or ether in a substituent E (H of -OH may be replaced by a substituted or unsubstituted ammonium ion or a Group IA or IIA light metal) | ||
This subclass is indented under subclass 90. Compounds wherein the amino nitrogen compound residue contains
a hydroxyl bonded directly to carbon, or an ether, wherein the H
of the -OH may be replaced by a substituted or unsubstituted ammonium
ion or by a Group IA or IIA light metal.
| |||
94 | Nitrogen in an acyclic substituent E | ||
This subclass is indented under subclass 90. Compounds wherein the amino nitrogen compound residue contains
an additional nitrogen.
| |||
95 | Substituent Q is acyclic | ||
This subclass is indented under subclass 80. Compounds wherein the sulfonic acid residue contains no
ring.
| |||
96 | Halogen in substituent Q attached indirectly to the sulfonamide sulfur by nonionic bonding | ||||||
This subclass is indented under subclass 95. Compounds wherein the sulfonic acid residue contains halogen
nonionically bonded.
| |||||||
97 | Benzene ring in a substituent E | ||
This subclass is indented under subclass 96. Compounds wherein the amino nitrogen compound residue contains
a benzene ring.
| |||
98 | Substituent Q is alkyl | ||||
This subclass is indented under subclass 95. Compounds wherein the sulfonic acid residue consists of
unsubstituted alkyl.
| |||||
99 | Benzene ring in a substituent E | ||
This subclass is indented under subclass 98. Compounds wherein the amine nitrogen compound residue contains
a benzene ring.
| |||
100 | Sulfur and amino nitrogen attached directly to the same sulfur by nonionic bonding | ||
This subclass is indented under subclass 1. Compounds which are thiosulfenamides containing the grouping
-- S - S -
| |||
101 | Plural amino nitrogens attached directly to the same sulfur, or oxygen double bonded and amino nitrogen attached directly to the same sulfur, all by nonionic bonding (e.g., sulfinamides, etc.) | ||
This subclass is indented under subclass 1. Compounds which contain two amino nitrogens nonionically
bonded directly to the same sulfur or which contain sulfur doubly
bonded to oxygen and directly attached to an amino nitrogen by nonionic
bonding, as for example, sulfinamides.
| |||
102 | Sulfur attached directly to amino nitrogen by nonionic bonding (e.g., sulfenamides, etc.) | ||
This subclass is indented under subclass 1. Compounds which contain sulfur bonded directly to an amino
nitrogen by nonionic bonding, as for example, sulfenamides.
| |||
103 | Cyanamides (i.e., compounds containing cyano bonded directly to amino nitrogen) | ||
This subclass is indented under subclass 1. Compounds which are cyanamides wherein a cyano group is
bonded directly to an amino nitrogen.
| |||
104 | Cyanoguanidines (i.e., HNH-C(=NH)-HNH, wherein -CN is substituted for one of the hydrogens and substitution may be made for the remaining hydrogens only) | ||
This subclass is indented under subclass 103. Compounds wherein the cyano group is bonded directly to
a nitrogen of a guanidine group.
| |||
105 | Benzene ring containing | ||
This subclass is indented under subclass 103. Compounds which contain a benzene ring.
| |||
106 | Acyclic | ||
This subclass is indented under subclass 103. Compounds which contains no ring.
| |||
107 | Nitramines (i.e., compounds containing nitro bonded directly to amino nitrogen) | ||
This subclass is indented under subclass 1. Compounds which are nitramines wherein a nitro group is
attached directly to an amino nitrogen.
| |||
108 | Containing nitrogen double bonded directly to carbon (e.g., nitroguanidines, etc.) | ||
This subclass is indented under subclass 107. Compounds which contain an amino nitrogen doubly bonded
to carbon.
| |||
109 | Acyclic | ||
This subclass is indented under subclass 107. Compounds which do not contain a ring.
| |||
110 | Containing nitro bonded directly to carbon (i.e., plural nitro groups containing) | ||
This subclass is indented under subclass 109. Compounds which contain a nitro group bonded directly to
carbon.
| |||
111 | Hydroxy, bonded directly to carbon, or ether containing (H of -OH may be replaced by a substituted or unsubstituted ammonium ion or a Group IA or IIA light metal) | ||
This subclass is indented under subclass 110. Compounds which contain hydroxy bonded directly to carbon,
or an ether, wherein the H of the -OH may be replaced by a substituted
or unsubstituted ammonium ion or by a Group IA or IIA light metal.
| |||
112 | Nitrosamines (i.e., compounds containing nitroso bonded directly to amino nitrogen) | ||
This subclass is indented under subclass 1. Compounds which are nitrosamines, wherein a nitroso group
is attached directly to an amino nitrogen.
| |||
113 | Acyclic | ||
This subclass is indented under subclass 112. Compounds which do not contain a ring.
| |||
114 | Haloamines (i.e., compounds containing halogen attached directly to amino nitrogen by nonionic bonding) | ||||
This subclass is indented under subclass 1. Compounds which are haloamines, wherein halogen is attached
directly to an amino nitrogen by nonionic bonding.
SEE OR SEARCH CLASS:
| |||||
115 | Containing nitrogen double bonded directly to carbon | ||
This subclass is indented under subclass 114. Compounds which contain nitrogen doubly bonded to carbon.
| |||
116 | Amidine containing (i.e., containing -C(=N)-HNH, wherein substitution may be made for hydrogen only) | ||
| This subclass is indented under subclass 115. Compounds which contain the amidine group
| |||
117 | Alicyclic ring containing | ||
This subclass is indented under subclass 114. Compounds which contain an alicyclic group.
| |||
118 | Acyclic | ||
This subclass is indented under subclass 114. Compounds which do not contain a ring.
| |||
119 | Hydroxy, bonded directly to carbon, or ether containing (H of -OH may be replaced by a substituted or unsubstituted ammonium ion or a Group IA or IIA light metal) | ||
This subclass is indented under subclass 118. Compounds which contain a hydroxyl bonded directly to carbon,
or an ether, wherein the H of the -OH may be replaced by a substituted
or unsubstituted ammonium ion or by a Group IA or IIA light metal.
| |||
120 | Carbon to carbon unsaturation containing | ||
This subclass is indented under subclass 118. Compounds which contain a carbon to carbon double or triple
bond.
| |||
121 | Plural difluoramine groups containing | ||
This subclass is indented under subclass 118. Compounds which contain plural difluoramino groups.
| |||
122 | Plural difluoramine groups bonded directly to the same carbon | ||
This subclass is indented under subclass 121. Compounds wherein the plural difluoramino groups are bonded
directly to the same carbon.
| |||
123 | Carboxamides (i.e., Q-CO-HNH, wherein Q is a substituent having carbon bonded directly to the carbonyl or is hydrogen and wherein any substituent replacing one or both hydrogens shown will be referred to as E) | ||||||||
| This subclass is indented under subclass 1. Compounds which are carboxamides and contain one of the
groupings
SEE OR SEARCH CLASS:
| |||||||||
124 | Preparing directly from cyano containing compound | ||
This subclass is indented under subclass 123. Processes wherein a carboxamide is prepared directly from
a cyano containing compound.
| |||
125 | From HCN or cyanogen | ||
This subclass is indented under subclass 124. Processes which utilize HCN or cyanogen in the preparation
of a carboxamide.
| |||
126 | Catalytic hydration only of nitrile | ||||
This subclass is indented under subclass 124. Processes wherein the sole chemical reaction for amide formation
is the hydrolysis of a nitrile in water in the presence of a catalyst.
| |||||
127 | Copper containing catalyst utilized |
| This subclass is indented under subclass 126. Processes which utilize a copper containing catalyst. | |
128 | Of acrylonitriles |
| This subclass is indented under subclass 126. Processes wherein acrylonitriles are catalytically hydrated. | |
129 | Acid hydrolysis only of nitrile | ||||
This subclass is indented under subclass 124. Processes wherein the sole chemicl reaction for amide formation
is the acid hydrolysis of a nitrile.
SEE OR SEARCH THIS CLASS, SUBCLASS:
| |||||
130 | From acyclic nitrile |
| This subclass is indented under subclass 124. Processes wherein a carboxamide is prepared from a nitrile which contains no ring. | |
131 | Which contains carbon to carbon unsaturation |
| This subclass is indented under subclass 130. Processes wherein the nitrile contains a double or triple bond between two carbons. | |
132 | Preparing directly from carbon monoxide or carbon dioxide | ||
This subclass is indented under subclass 123. Processes wherein a carboxamide is prepared by a reaction
utilizing carbon monoxide or carbon dioxide.
| |||
133 | Preparing directly by amidation of -C(=O)X group, where X is O- or halogen |
| This subclass is indented under subclass 123. Processes wherein a carboxamide is formed by reaction of a carboxylic acid, salt, ester, acid halide, or anhydride with ammonia or an amino nitrogen containing compound. | |
134 | Of carboxylic acid ester |
| This subclass is indented under subclass 133. Processes wherein a carboxylic acid ester is utilized. | |
135 | Having acyclic acid moiety |
| This subclass is indented under subclass 134. Processes wherein the carboxylic acid of the ester does not contain a ring. | |
136 | Additional oxygen in the acid moiety |
| This subclass is indented under subclass 135. Processes wherein the carboxylic acid of the ester contains additional oxygen. | |
137 | Lower fatty acid |
| This subclass is indented under subclass 135. Processes wherein the carboxylic acid of the ester is a lower fatty acid. | |
138 | Of carboxylic acid |
| This subclass is indented under subclass 133. Processes wherein a carboxylic acid is utilized. | |
139 | Benzene ring containing |
| This subclass is indented under subclass 138. Processes wherein the carboxylic acid contains a benzene ring. | |
140 | Hydroxy naphthoic |
| This subclass is indented under subclass 139. Processes wherein hydroxy naphthoic acid is utilized. | |
141 | Lower fatty acid |
| This subclass is indented under subclass 138. Processes wherein a lower fatty acid is utilized. | |
142 | Of carboxylic acid halide |
| This subclass is indented under subclass 133. Processes wherein a carboxylic acid halide is utilized. | |
143 | Acyclic |
| This subclass is indented under subclass 142. Processes wherein the carboxylic acid halide does not contain a ring. | |
144 | Of acyclic carboxylic acid anhydride |
| This subclass is indented under subclass 133. Processes wherein a carboxylic acid anhydride which does not have a ring is utilized. | |
145 | Preparing directly by reacting sulfur or sulfur containing compound with ammonia; or directly from ammonium polysulfide |
| This subclass is indented under subclass 123. Processes wherein a carboxamide is prepared by utilizing a mixture of sulfur or a sulfur containing compound with ammonia or by utilizing an ammonium polysulfide, as for example, by the Willgerodt reaction. | |
146 | Preparing directly by nitration |
| This subclass is indented under subclass 123. Processes wherein a nitro group is introduced into a carboxamide. | |
147 | Aminimine containing | ||
| This subclass is indented under subclass 123. Compounds which are aminimines and contain the grouping
| |||
148 | Hydrazine containing | ||
This subclass is indented under subclass 123. Compounds which contain a hydrazine group.
| |||
149 | Substituent Q contains benzene ring | ||
This subclass is indented under subclass 148. Compounds wherein the carboxylic acid residue contains a
benzene ring.
| |||
150 | Hydroxy, bonded directly to carbon, or ether in substituent Q (H of -OH may be replaced by a substituted or unsubstituted ammonium ion or a Group IA or IIA light metal) | ||
This subclass is indented under subclass 149. Compounds wherein the carboxylic acid residue contains hydroxy
bonded directly to carbon, or an ether, wherein the H of the -OH
may be replaced by a substituted or unsubstituted ammonium ion or
a Group IA or IIA light metal.
| |||
151 | Substituent Q is acyclic | ||
This subclass is indented under subclass 148. Compounds wherein the carboxylic acid residue does not contain
a ring.
| |||
152 | Plural carboxamide groups containing or containing plural carbonyls bonded directly to the same nitrogen | ||
This subclass is indented under subclass 123. Compounds which contain more than one carboxamide group
or contain plural carbonyls bonded directly to the same nitrogen.
| |||
153 | Three or more carboxamide groups | ||
This subclass is indented under subclass 152. Compounds which contain three or more carboxamides.
| |||
154 | Sulfur containing | ||
This subclass is indented under subclass 152. Compounds which contain nonionically bonded sulfur.
| |||
155 | Benzene ring containing | ||
This subclass is indented under subclass 152. Compounds which contain a benzene ring.
| |||
156 | Two carboxamido carbonyls having benzene ring between the carbonyls and no carboxamido nitrogen between the carbonyls | ||
This subclass is indented under subclass 155. Compounds wherein the carbonyls of two carboxamides have
a benzene ring between them and no carboxamide nitrogen between
them.
| |||
157 | Amino nitrogen, not bonded directly to carbonyl, containing | ||
This subclass is indented under subclass 155. Compounds which contain a noncarboxamide amino nitrogen.
| |||
158 | Hydroxy, bonded directly to carbon, or ether containing (H of -OH may be replaced by a substituted or unsubstituted ammonium ion or a Group IA or IIA light metal) | ||
This subclass is indented under subclass 155. Compounds which contain a hydroxyl bonded directly to carbon,
or ether, wherein the H of -OH may be replaced by a substituted
or unsubstitued ammonium ion or by a Group IA or IIA light metal.
| |||
159 | Acyclic | ||
This subclass is indented under subclass 152. Compounds which contain no ring.
| |||
160 | Two carboxamido carbonyls having no carboxamido nitrogen between the carbonyls | ||
This subclass is indented under subclass 159. Compounds wherein the carbonyls of two carboxamides have
no carboxamide nitrogen between them.
| |||
161 | Substituent Q contains benzene ring | ||
This subclass is indented under subclass 123. Compounds wherein the residue of the carboxylic acid contains
a benzene ring.
| |||
162 | Sulfur in substituent Q | ||||
This subclass is indented under subclass 161. Compounds wherein the residue of the carboxylic acid contains
sulfur.
SEE OR SEARCH THIS CLASS, SUBCLASS:
| |||||
163 | Nitrogen in substituent Q | ||
This subclass is indented under subclass 161. Compounds wherein the carboxylic acid residue contains nitrogen.
| |||
164 | The substituent nitrogen is an amino nitrogen attached indirectly to a ring by acyclic nonionic bonding | ||
This subclass is indented under subclass 163. Compounds wherein the carboxylic acid residue contains an
amine nitrogen indirectly attached to a ring through a carbon or
through an acyclic chain.
| |||
165 | Hydroxy, bonded directly to carbon, or ether in substituent Q (H of -OH may be replaced by a substituted or unsubstituted ammonium ion or a Group IA or IIA light metal) | ||
This subclass is indented under subclass 164. Compounds wherein the carboxylic acid residue contains a
hydroxyl bonded directly to carbon or an ether, wherein the H of
the -OH may be replaced by a substituted or unsubstituted ammonium
ion or by a Group IA or IIA light metal.
| |||
166 | Nitro in substituent Q | ||
This subclass is indented under subclass 163. Compounds wherein the residue of the carboxylic acid contains
a nitro group.
| |||
167 | Hydroxy, bonded directly to carbon, or ether in substituent Q (H of -OH may be replaced by a substituted or unsubstituted ammonium ion or a Group IA or IIA light metal) | ||
This subclass is indented under subclass 163. Compounds wherein the carboxylic acid residue contains a
hydroxyl bonded directly to carbon or an ether, wherein the H of
the -OH may be replaced by a substituted or unsubstituted ammonium
ion or by a Group IA or IIA light metal.
| |||
168 | Ring in a substituent E | ||
This subclass is indented under subclass 163. Compounds wherein the amino nitrogen containing residue
contains a ring.
| |||
169 | Carbonyl in substituent Q | ||
This subclass is indented under subclass 161. Compounds wherein the carboxylic acid residue contains an
aldehyde or ketone group.
| |||
170 | Hydroxy, bonded directly to carbon, or ether in substituent Q (H of -OH may be replaced by a substituted or unsubstituted ammonium ion or a Group IA or IIA light metal) | ||
This subclass is indented under subclass 161. Compounds wherein the carboxylic acid residue contains a
hydroxyl bonded directly to carbon or an ether, wherein the H of
the -OH may be replaced by a substituted or unsubstituted ammonium
ion or by a Group IA or IIA light metal.
| |||
171 | Plural rings in substituent Q | ||
This subclass is indented under subclass 170. Compounds wherein the carboxylic acid residue contains more
than one ring.
| |||
172 | Polycyclo ring system in substituent Q | ||
This subclass is indented under subclass 171. Compounds wherein the carboxylic acid residue contains a
polycyclo ring system.
| |||
173 | Q contains an ortho-hydroxy naphthyl bicyclo ring system, or its partially hydrogenated form, bonded directly to the carbonyl (H of -OH may be replaced by a substituted or unsubstituted ammonium ion or a Group IA or IIA light metal) | ||
This subclass is indented under subclass 172. Compounds wherein the carboxylic acid residue is an ortho-hydroxy
naphthoic acid or a partially hydrogenated form thereof.
| |||
174 | Ring in a substituent E | ||
This subclass is indented under subclass 171. Compounds wherein the amino nitrogen residue contains a
ring.
| |||
175 | Oxygen, bonded directly to the benzene ring, is part of an acyclic chain between the benzene ring and the carbonyl | ||
This subclass is indented under subclass 170. Compounds wherein the carboxylic acid residue contains oxygen
which is directly bonded to a benzene ring and is part of an acyclic
chain which also contains the acid carbonyl group.
| |||
176 | Benzene ring bonded directly to the carbonyl | ||
This subclass is indented under subclass 170. Compounds wherein the carboxylic acid residue contains a
benzene ring bonded directly to the acid carbonyl group.
| |||
177 | Hydroxy bonded directly to the benzene ring (H of -OH may be replaced by a substituted or unsubstituted ammonium ion or a Group IA or IIA light metal) | ||
This subclass is indented under subclass 176. Compounds wherein the carboxylic acid residue contains a
hydroxy group or its Group IA or IIA light metal or ammonium derivative bonded
directly to a benzene ring.
| |||
178 | Preparing directly by halogenation |
| This subclass is indented under subclass 177. Processes wherein the compounds are prepared directly by halogenation. | |
179 | Benzene ring in a substituent E | ||
This subclass is indented under subclass 177. Compounds wherein the amino nitrogen containing residue
has a benzene ring.
| |||
180 | Polycyclo ring system in substituent Q | ||
This subclass is indented under subclass 161. Compounds wherein the carboxylic acid residue contains a
polycyclo ring system.
| |||
181 | Two rings bonded directly to the same carbon in substituent Q | ||
This subclass is indented under subclass 161. Compounds wherein the carboxylic acid residue contains two
rings bonded directly to the same carbon.
| |||
182 | Substituent Q is monocyclic | ||
This subclass is indented under subclass 161. Compounds wherein the carboxylic acid residue contains only
one ring.
| |||
183 | The ring is bonded directly to the carbonyl | ||
This subclass is indented under subclass 182. Compounds wherein the carboxylic acid residue contains a
benzene ring bonded directly to the acid carbonyl.
| |||
184 | Benzene ring in a substituent E | ||
This subclass is indented under subclass 183. Compounds wherein the amino nitrogen containing residue
contains a benzene ring.
| |||
185 | Ring or polycyclo ring system in substituent E is attached indirectly to the carboxamide nitrogen or to an amino nitrogen in substituent E by acyclic nonionic bonding | ||
This subclass is indented under subclass 184. Compounds wherein the amino nitrogen containing residue
contains a ring or a polycyclo ring system which is attached indirectly
to the carboxamido nitrogen or to an additional amino nitrogen in
the amino nitrogen containing residue by acyclic nonionic bonding.
| |||
186 | Oxygen in a substituent E | ||
This subclass is indented under subclass 183. Compounds wherein the amino nitrogen containing residue
contains oxygen.
| |||
187 | Acyclic carbon to carbon unsaturation in a substituent E | ||
This subclass is indented under subclass 183. Compounds wherein the amino nitrogen containing residue
contains a double or triple bond between two carbons.
| |||
188 | Plural alicyclic rings in substituent Q | ||
This subclass is indented under subclass 123. Compounds wherein the carboxylic acid residue contains more
than one alicyclic ring.
| |||
189 | Five-membered ring in substituent Q | ||
This subclass is indented under subclass 123. Compounds wherein the carboxylic acid residue contains a
five-membered ring.
| |||
190 | Three-membered ring in substituent Q | ||
This subclass is indented under subclass 123. Compounds wherein the carboxylic acid residue contains a
three-membered ring.
| |||
191 | Alicyclic ring and an atom other than oxygen, carbon, or hydrogen in substituent Q | ||
This subclass is indented under subclass 123. Compounds wherein the carboxylic acid residue contains an
alicyclic ring and an atom other than carbon, hydrogen, or oxygen.
| |||
192 | Substituent Q is acyclic | ||
This subclass is indented under subclass 123. Compounds wherein the carboxylic acid residue does not contain
a ring.
| |||
193 | Nitrogen in substituent Q | ||
This subclass is indented under subclass 192. Compounds wherein the carboxylic acid residue contains nitrogen.
| |||
194 | Benzene ring in a substituent E | ||
This subclass is indented under subclass 193. Compounds wherein the amino nitrogen containing residue
contains a benzene ring.
| |||
195 | Two rings bonded directly to the same carbon in a substituent E | ||
This subclass is indented under subclass 194. Compounds wherein the amino nitrogen containing residue
contains two rings bonded directly to the same carbon.
| |||
196 | A ring or polycyclo ring system in a substituent E is attached indirectly to the carboxamide nitrogen or to an amino nitrogen in substituent E by acyclic nonionic bonding | ||
This subclass is indented under subclass 194. Compounds wherein the amino nitrogen containing residue
contains a ring or a polycyclo ring system which is attached indirectly
to the carboxamido nitrogen or to an additional amino nitrogen in
the amino nitrogen containing residue by acyclic nonionic bonding.
| |||
197 | The compound is acyclic | ||
This subclass is indented under subclass 193. Compounds wherein the amino nitrogen containing residue
does not contain a ring.
| |||
198 | The carboxamide nitrogen is unsubstituted | ||
This subclass is indented under subclass 197. Compounds wherein the amino nitrogen containing residue
is unsubstituted.
| |||
199 | Carbonyl in substituent Q | ||
This subclass is indented under subclass 192. Compounds wherein the carboxylic acid residue contains an
aldehyde or keto group.
| |||
200 | Benzene ring in a substituent E | ||
This subclass is indented under subclass 199. Compounds wherein the amino nitrogen containing residue
contains a benzene ring.
| |||
201 | Hydroxy, bonded directly to carbon, or ether in substituent Q (H of -OH may be replaced by a substituted or unsubstituted ammonium ion or a Group IA or IIA light metal) | ||
This subclass is indented under subclass 192. Compounds wherein the carboxylic acid residue contains a
hydroxyl bonded directly to carbon, or an ether, wherein the H of
the -OH may be replaced by a substituted or unsubstituted ammonium
ion or by a Group IA or IIA light metal.
| |||
202 | Benzene ring in a substituent E | ||
This subclass is indented under subclass 201. Compounds wherein the amino nitrogen containing residue
contains a benzene ring.
| |||
203 | Hydroxy, bonded directly to carbon, or ether in an acyclic substituent E (Hof -OH may be replaced by a substituted or unsubstututed ammonium ion or a Group IA or IIA light metal) | ||
This subclass is indented under subclass 201. Compounds wherein the amino nitrogen containing residue
does not have a ring and contains a hydroxyl bonded directly to
carbon, or an ether, wherein the H of the -OH may be replaced by
a substituted or unsubstituted ammonium ion or by a Group IA or
IIA light metal.
| |||
204 | Carbon to carbon unsaturation in substituent Q | ||
This subclass is indented under subclass 192. Compounds wherein the carboxylic acid residue contains a
double or triple bond between two carbons.
| |||
205 | Process which includes forming the unsaturation |
| This subclass is indented under subclass 204. Processes wherein unsaturation is introduced into the carboxylic acid residue of a carboxamide, as for example, by pyrolyzing an alkoxy or acetoxy alkanoic acid amide to split off the alkoxy or acetoxy groups, respectively. | |
206 | Purification or recovery |
| This subclass is indented under subclass 204. Processes directed to the purification, separation, or recovery of unsaturated carboxylic acid amides. | |
207 | Benzene ring in a substituent E | ||
This subclass is indented under subclass 204. Compounds wherein the amino nitrogen containing residue
contains a benzene ring.
| |||
208 | Hydroxy, bonded directly to carbon, or ether in an acyclic substituent E (H of -OH may be replaced by a substituted or unsubstituted ammonium ion or a Group IA or IIA light metal) | ||
This subclass is indented under subclass 204. Compounds wherein the amino nitrogen containing residue
does not have a ring and contains a hydroxyl bonded directly to
carbon, or an ether, wherein the H of the -OH may be replaced by
a substituted or unsubstituted ammonium ion or by a Group IA or
IIA light metal.
| |||
209 | Halogen, bonded directly to carbon, in substituent Q | ||
This subclass is indented under subclass 192. Compounds wherein the carboxylic acid residue contains halogen
bonded directly to carbon.
| |||
210 | Ring in a substituent E | ||
This subclass is indented under subclass 209. Compounds wherein the amino nitrogen containing residue
contains a ring.
| |||
211 | Benzene ring in a substituent E | ||
This subclass is indented under subclass 210. Compounds wherein the amino nitrogen containing residue
contains a benzene ring.
| |||
212 | A ring or polycyclo ring system in a substituent E is attached indirectly to the carboxamide nitrogen or to an amino nitrogen in substituent E by acyclic nonionic bonding | ||
This subclass is indented under subclass 211. Compounds wherein the amino nitrogen containing residue
contains a ring or a polycyclo ring system which is attached indirectly
to the carboxamido nitrogen or to an additional amino nitrogen in
the amino nitrogen containing residue by acyclic nonionic bonding.
| |||
213 | Nitro and hydroxy, bonded directly to carbon, or ether in the substituent E (H of -OH may be replaced by a substituted or unsubstituted ammonium ion or a Group IA or IIA light metal) | ||
This subclass is indented under subclass 212. Compounds wherein the amino nitrogen containing residue
contains a nitro group and an ether, or contains a nitro group an
a hydroxyl, which hydroxyl is bonded directly to carbon and wherein
the H of the -OH may be replaced by a substituted or unsubstituted
ammonium or a Group IA or IIA light metal.
| |||
214 | The compound is monocyclic | ||
This subclass is indented under subclass 211. Compounds wherein the amino nitrogen containing residue
contains only one ring.
| |||
215 | Q is hydrogen or a lower saturated alkyl substituent | ||
This subclass is indented under subclass 192. Compounds wherein the carboxylic acid residue is from a
lower fatty acid.
| |||
216 | Purification or recovery |
| This subclass is indented under subclass 215. Processes directed to the purification, separation, or recovery of lower fatty acid amides. | |
217 | Ring in a substituent E | ||
This subclass is indented under subclass 215. Compounds wherein the amino nitrogen containing residue
contains a ring.
| |||
218 | Benzene ring in a substituent E | ||
This subclass is indented under subclass 217. Compounds wherein the amino nitrogen containing residue
contains a benzene ring.
| |||
219 | A ring or polycyclo ring system in a substituent E is attached indirectly to the carboxamide nitrogen or to an amino nitrogen in substituent E by acyclic nonionic bonding | ||
This subclass is indented under subclass 218. Compounds wherein the amino nitrogen containing residue
contains a ring or a polycyclo ring system which is attached indirectly
to the carboxamido nitrogen or to an additional amino nitrogen in
the amino nitrogen containing residue by acyclic nonionic bonding.
| |||
220 | Amino nitrogen in the substituent E (i.e.,plural amino nitrogens containing) | ||
This subclass is indented under subclass 219. Compounds wherein the amino nitrogen containing residue
contains an additional amino nitrogen.
| |||
221 | Plural rings in a substituent E | ||
This subclass is indented under subclass 218. Compounds wherein the amino nitrogen containing residue
contains more than one ring.
| |||
222 | Polycyclo ring system in a substituent E | ||
This subclass is indented under subclass 221. Compounds wherein the amino nitrogen containing residue
contains a polycyclo ring system.
| |||
223 | Hydroxy, bonded directly to carbon, or ether in a substituent E (H of -OH may be replaced by a substituted or unsubstituted ammonium ion or a Group IA or IIA light metal) | ||
This subclass is indented under subclass 218. Compounds wherein the amino nitrogen containing residue
contains a hydroxyl bonded directly to carbon, or an ether, where
H of the -OH may be replaced by a substituted or unsubstituted
ammonium ion or by a Group IA or IIA light metal.
| |||
224 | Hydroxy, bonded directly to carbon, ether or nitrogen in a substituent E (H of -OH may be replaced by a substituted or unsubstituted ammonium ion or a Group IA or IIA light metal) | ||
This subclass is indented under subclass 215. Compounds wherein the amino nitrogen residue contains a
hydroxyl bonded directly to carbon, or an ether or an additional
nitrogen, wherein the H of the -OH may be replaced by a substituted
or unsubstituted ammonium ion or a Group IA and IIA light metal.
| |||
225 | Amidines (i.e., HN=CH-HNH, wherein substition may be made for hydrogen only) | ||||
| This subclass is indented under subclass 1. Compounds which are amidines and contains the grouping
| |||||
226 | Amidino hydrazines or hydrazones (i.e., HNH-N=CH-HNH or HN=CH-NH-HNH, wherein substitution may be made for hydrogen only) | ||
| This subclass is indented under subclass 225. Compounds which are amidino hydrazine containing the grouping
in Fig. 1 or amidino hydrazones containing the grouping in Fig.
2.
FIGURE 1
FIGURE 2
| |||
227 | Guanyl hydrazines or hydrozones (i.e., HNH-N=C(-HNH)-HNH or HN=C(-HNH)-NH HNH, wherein substitution may be made for hydrogen only) | ||||
| This subclass is indented under subclass 226. Compounds which are guanylhydrazines containing the grouping
in Fig. 1 below, or guanylhydrazones containing the grouping in
Fig. 2.
FIGURE 1
FIGURE 2
| |||||
228 | Benzene ring containing | ||
This subclass is indented under subclass 227. Compounds which contain a benzene ring.
| |||
229 | Amidoximes (i.e., HON=CH-HNH, wherein substitution may be made for hydrogen only) | ||
| This subclass is indented under subclass 225. Compounds which are amidoximes containing the grouping below,
wherein R may be H, an ester forming group or an ether forming group.
| |||
230 | Guanidines (i.e., HN=C(-HNH)-HNH, wherein substitution may be made for hydrogen only) | ||
| This subclass is indented under subclass 225. Compounds which are guanidines, containing the grouping
| |||
231 | Preparing from thioureas |
| This subclass is indented under subclass 230. Processes wherein a guanidine is prepared from a thiourea, as for example, by reaction with ammonia or an amino nitrogen containing compound in the presence of a desulfurizing agent. | |
232 | Preparing by reacting cyanogen halide with amino nitrogen containing compound |
| This subclass is indented under subclass 230. Processes wherein a guanidine is prepared by reaction of
a cyanogen halide and an amino nitrogen containing compound, as
for example:
| |
233 | Biguanides (i.e., HN=C(-HNH)-NH-(HNH-)C=NH, wherein substitution may be made for hydrogen only) | ||
| This subclass is indented under subclass 230. Compounds which are biguanides, containing the grouping
| |||
234 | Benzene ring containing | ||
This subclass is indented under subclass 233. Compounds wherein a biguanide contains a benzene ring.
| |||
235 | Plural rings containing | ||
This subclass is indented under subclass 234. Compounds wherein a biguanide contains more than one ring.
| |||
236 | Polyguanidines | ||
This subclass is indented under subclass 230. Compounds wherein there are at least two guanidine groups.
| |||
237 | Benzene ring containing | ||
This subclass is indented under subclass 230. Compounds wherein a guanidine contains a benzene ring.
| |||
238 | Benzene ring bonded directly to guanidine nitrogen | ||
This subclass is indented under subclass 237. Compounds wherein a guanidine contains a benzene ring bonded
directly to a guanidine nitrogen.
| |||
239 | Hydroxy, bonded directly to carbon, or ether containing (H of -OH may be replaced by a substituted or unsubstituted ammonium ion or a Group IA or IIA light metal) | ||
This subclass is indented under subclass 238. Compounds wherein a guanidine contains a hydroxyl bonded
directly to carbon, or an ether, wherein the H of the -OH may be replaced
by a substituted or unsubstituted ammonium ion or by a Group IA
or IIA light metal.
| |||
240 | Acyclic | ||
This subclass is indented under subclass 230. Compounds wherein a guanidine does not contain a ring.
| |||
241 | Guanidine per se or salt thereof |
| This subclass is indented under subclass 240. The compound which is guanidine or its salts and processes of preparation not provided for above. | |
242 | Guanidine nitrate |
| This subclass is indented under subclass 241. The compound which is guanidine nitrate and processes of preparation not provided for above. | |
243 | Polyamidines | ||
This subclass is indented under subclass 225. Compounds wherein there is more than one amidine group.
| |||
244 | Benzene ring containing | ||
This subclass is indented under subclass 225. Compounds wherein an amidine contains a benzene ring.
| |||
245 | N(prime)-aryl formimidines (i.e., benzene-N=CH-HNH, wherein substitution may be made for hydrogen, including those bonded directly to the benzene ring only) | ||
| This subclass is indented under subclass 244. Compounds which are N (prime)-aryl formamidines containing
the grouping
| |||
246 | Additional nitrogen attached indirectly to amidine nitrogen by nonionic bonding | ||
This subclass is indented under subclass 244. Compounds wherein an amidine contains an additional nitrogen
which is nonionically bonded.
| |||
247 | Hydroxy, bonded directly to carbon, or ether containing (H of -OH may be replaced by a substituted or unsubstituted ammonium ion or a Group IA or IIA light metal) | ||
This subclass is indented under subclass 244. Compounds wherein an amidine contains a hydroxyl bonded
directly to carbon, or an ether, wherein the H of the -OH may be replaced
by a substituted or unsubstituted ammonium ion or by a Group IA
or IIA light metal.
| |||
248 | Containing nitrogen double bonded directly to carbon | ||
| This subclass is indented under subclass 1. Compounds which are characterized by the presence of the
grouping below and correspond in constitution to those formed by
reacting an aldehyde or ketone with ammonia or an amino nitrogen
containing compound.
| |||
249 | Azines (i.e., HCH=N-N=HCH, wherein substitution may be made for hydrogen) | ||
| This subclass is indented under subclass 248. Compounds which are azines and contain the grouping below.
| |||
250 | Hydrazones (i.e., HCH=N-HNH, wherein substitution may be made for hydrogen only) | ||
| This subclass is indented under subclass 248. Compounds which are hydrazones containing the grouping below.
| |||
251 | Benzene ring containing | ||
This subclass is indented under subclass 250. Compounds wherein the hydrazone contains a benzene ring.
| |||
252 | Carbodiimides (i.e., HN=C=NH, wherein substitution may be made for hydrogen only) | ||
| This subclass is indented under subclass 248. Compounds which are carbodiimides containing the grouping
below.
| |||
253 | Oximes (HCH=N-OH, i.e., wherein substitution may be made for hydrogen only) | ||
| This subclass is indented under subclass 248. Compounds which are oximes containing the grouping below
wherein X may be hydrogen, the carbon of an ether forming group
or the residue of an ester forming compound not provided for above.
| |||
254 | O-esters (i.e., H of oxime -OH replaced by ester forming group) | ||||
This subclass is indented under subclass 253. Compounds which are O-esters of oximes wherein X is the
residue of an ester forming compound.
SEE OR SEARCH THIS CLASS, SUBCLASS:
| |||||
255 | O-carbamoyl | ||
This subclass is indented under subclass 254. Compounds wherein the residue of the ester forming group
is that of a carbamic acid.
| |||
256 | O-ethers (i.e., H of oxime -OH replaced by ether forming group) | ||
This subclass is indented under subclass 253. Compounds which are O-ethers of oximes wherein X is the
carbon of an ether forming group.
| |||
257 | Polycyclo ring system | ||
This subclass is indented under subclass 256. Compounds wherein the O-ether oxime contains a polycyclo
ring system.
| |||
258 | Oxygen double bonded, or hydroxy or ether oxygen bonded directly to an alpha carbon (H of -OH may be replaced by a substituted or unsubstituted ammonium ion or a Group Ia or IIA light metal) | ||
This subclass is indented under subclass 253. Compounds wherein a carbon atom in a position alpha to the
oxime group is substituted by a double-bonded oxygen or an -OX,
wherein X may be H, C, or a substituted or unsubstituted ammonium
ion or a Group IA or IIA light metal.
| |||
259 | Preparing directly by reacting carbonyl with hydroxylamine or salt thereof |
| This subclass is indented under subclass 253. Processes wherein an oxime is produced directly by reaction of an aldehyde or ketone with hydroxyl amine or a salt thereof. | |
260 | Preparing directly by reducing nitronic acid salt |
| This subclass is indented under subclass 253. Processes wherein an oxime is produced directly by reduction of a nitronic acid salt, as for example, an alkali metal salt of a nitroparaffin. | |
261 | Preparing directly by reducing nitro group |
| This subclass is indented under subclass 253. Processes wherein an oxime is produced directly by reduction of a nitro group, as for example, with hydrogen or carbon monoxide. | |
262 | Preparing directly by oxidizing a hydroxyl amine |
| This subclass is indented under subclass 253. Processes wherein an oxime is produced directly by oxidation of a hydroxyl amine group. | |
263 | Preparing directly by nitrosation of olefin |
| This subclass is indented under subclass 253. Processes wherein an oxime is produced directly by reaction of an olefinic compound with a nitrosating agent such as, for example, nitrous acid or nitrosyl chloride. | |
264 | Purification or recovery |
| This subclass is indented under subclass 253. Processes which are directed to the purification, separation, or recovery of oximes. | |
265 | Benzene ring containing | ||
This subclass is indented under subclass 253. Compounds wherein an oxime contains a benzene ring.
| |||
266 | The oxime carbon is acyclic and has two rings bonded directly thereto | ||
This subclass is indented under subclass 265. Compounds wherein two rings are bonded directly to the carbon
of an oxime group.
| |||
267 | Six-membered alicyclic ring double bonded directly to the oxime nitrogen | ||
This subclass is indented under subclass 253. Compounds wherein a carbon of a cyclohexyl group is bonded
directly to the oxime nitrogen.
| |||
268 | Acyclic | ||||
This subclass is indented under subclass 253. Compounds wherein an oxime does not contain a ring.
| |||||
269 | Nitrogen double bonded and two rings bonded directly to the same acyclic carbon (e.g., auramines, etc.) | ||
This subclass is indented under subclass 248. Compounds wherein two rings are directly bonded to the same
carbon which, in turn, is double bonded to an amino nitrogen, e.g., auramines.
| |||
270 | Polycyclo ring system | ||
This subclass is indented under subclass 248. Compounds wherein an aldimine or ketimine containing compound
contains a polycyclo ring system.
| |||
271 | Aldimines or ketimines which contain benzene ring (i.e., HCH=NH, wherein substitution may be made for hydrogen only but a hydrogen or carbon must be bonded directly to the carbon) | ||
This subclass is indented under subclass 248. Compounds which are aldimines or ketimines and contain a
benzene ring.
| |||
272 | Benzylidene imines (i.e., Q-benzene-CH=NH, wherein Q is a substituent or hydrogen and substitution may be made for hydrogen only) | ||
| This subclass is indented under subclass 271. Compounds which are benzylideneimines containing the grouping
below.
| |||
273 | Substituent Q contains nitrogen bonded directly to carbon | ||
This subclass is indented under subclass 272. Compounds wherein a substituent attached to the ring of
the benzylidene group contains a nitrogen which is directly bonded
to carbon.
| |||
274 | Substituent Q contains hydroxy, bonded directly to carbon, or ether (H of -OH may be replaced by a substituted or unsubstituted ammonium ion or a Group IA or IIA light metal) | ||
This subclass is indented under subclass 272. Compounds wherein a substituent attached to the ring of
the benzylidene group contains an OH bonded directly to carbon,
or an ether, wherein the H of the -OH may be replaced by a substituted
or unsubstituted ammonium ion or by a Group IA or IIA light metal.
| |||
275 | Q is hydrogen only | ||
This subclass is indented under subclass 272. Compounds wherein the benzene of the benzylidene group is
unsubstituted.
| |||
276 | Hydroxy, bonded diretly to carbon, or ether containing (H of -OH may be replaced by a substituted or unsubstituted ammonium ion or a Group IA or IIA light metal) | ||
This subclass is indented under subclass 271. Compounds wherein the aldimine or ketimine contains hydroxyl
bonded directly to carbon, or an ether, wherein the H of the -OH
may be replaced by a substituted or unsubstituted ammonium ion or
by a Group IA or IIA light metal.
| |||
277 | Unsubstituted phenyl bonded directly to the aldimine or ketimine nitrogen | ||
This subclass is indented under subclass 271. Compounds wherein an unsubstituted benzene is directly attached
to the imino nitrogen.
| |||
278 | Aldimines or ketimines which are acyclic | ||
This subclass is indented under subclass 248. Compounds wherein an aldimine or ketimine does not contain
a ring.
| |||
279 | Carbon to carbon unsaturation containing | ||||
This subclass is indented under subclass 278. Compounds wherein the aldimine or ketimine contains a double
or triple bond between two carbons.
| |||||
280 | Phenol or thiophenol addition salts |
| This subclass is indented under subclass 1. Compounds which are formed by addition of a phenol or thiophenol to an amino nitrogen containing compound, as for example: RNH2 . HOC6H5. | |
281 | Quaternary ammonium containing | ||
This subclass is indented under subclass 1. Compounds which are quaternary ammonium compounds wherein
a pentavalent nitrogen is bonded by four valences to carbon.
| |||
282 | Benzene ring containing | ||
This subclass is indented under subclass 281. Compounds wherein the quaternary ammonium compound contains
a benzene ring.
| |||
283 | Two rings bonded directly to the same carbon | ||
This subclass is indented under subclass 282. Compounds wherein the quaternary ammonium contains two rings
bonded directly to the same carbon.
| |||
284 | Nitro or nitroso, bonded directly to carbon containing | ||
This subclass is indented under subclass 282. Compounds wherein the quaternary ammonium contains a nitro
or nitroso group directly bonded to carbon.
| |||
285 | Hydroxy, bonded directly to carbon, or ether containing (H of -OH may be replaced by a substituted or unsubstituted ammonium ion or a Group IA or IIA light metal) | ||
This subclass is indented under subclass 282. Compounds wherein the quaternary ammonium contains an OH
bonded directly to carbon, or an ether group, wherein the H of the
-OH may be replaced by a substituted or unsubstituted ammonium
ion or by a Group IA or IIA light metal.
| |||
286 | Polyquaternary ammonium | ||
This subclass is indented under subclass 285. Compounds which contain more than one quaternary ammonium
group.
| |||
287 | The hydroxy or ether oxygen is bonded directly to a ring | ||
This subclass is indented under subclass 285. Compounds wherein the quaternary ammonium contains an -OX
group bonded directly to a ring carbon, where X may be H, C, a substituted
or unsubstituted ammonium ion or a Group IA or IIA light metal.
| |||
288 | Acyclic carbon to carbon unsaturation containing | ||
This subclass is indented under subclass 282. Compounds wherein the quaternary ammonium contains a double
or triple bond between two acyclic carbons.
| |||
289 | Halogen attached indirectly to the ammonium nitrogen by nonionic bonding | ||
This subclass is indented under subclass 282. Compounds wherein the quaternary ammonium contains nonionically
bonded halogen.
| |||
290 | Polyquaternary ammonium | ||
This subclass is indented under subclass 282. Compounds which contain more than one quaternary ammonium
group.
| |||
291 | Acyclic | ||
This subclass is indented under subclass 281. Compounds wherein a quaternary ammonium compound does not
contain a ring.
| |||
292 | Hydroxy, bonded directly to carbon, or ether containing (H of -OH may be replaced by a substituted or unsubstituted ammonium ion or a Group IA or IIA light metal) | ||
This subclass is indented under subclass 291. Compounds which contain an OH bonded directly to carbon,
or an ether group, wherein the H of the -OH may be replaced by a
substituted or unsubstituted ammonium ion or by a Group IA or IIA
light metal.
| |||
293 | Choline, beta-alkylcholines, ethers thereof, and salts thereof | ||
| This subclass is indented under subclass 292. Compounds which are choline, beta-alkyl cholines, or ethers
thereof and their salts having the structure below wherein X and
Y are H or C.
| |||
294 | Polyoxyalkylene | ||
| This subclass is indented under subclass 292. Compounds wherein a quaternary ammonium contains the grouping
below where n and m are positive integers and m is greater than
one.
| |||
295 | Polyquaternary ammonium | ||
This subclass is indented under subclass 291. Compounds which contain more than one quaternary ammounium
group.
| |||
296 | Processes |
| This subclass is indented under subclass 291. Processes for the preparation, purification, separation, or recovery of quaternary ammonium compounds classifiable only in that subclass. | |
297 | Amine oxides | ||
| This subclass is indented under subclass 1. Compounds which are amine oxides characterized by the structure
below.
| |||
298 | Processes |
| This subclass is indented under subclass 297. Processes for the preparation, purification, separation, or recovery of amine oxides. | |
299 | Benzene ring containing | ||||
This subclass is indented under subclass 297. Compounds wherein the amine oxide contains a benzene ring.
| |||||
300 | Nitroxides, oxyamines or hydroxylamines (i.e., HNH-O or HNH-OH, wherein substitution may be made for hydrogen only, including O-ether and O-ester derivatives) | ||||
| This subclass is indented under subclass 1. Compounds which are nitroxides, free radicals, containing
the structure in Fig. 1, or hydroxyl amines or their O-ethers or
O- esters containing the structure in Fig. 2 wherein X is H, C,
or the residue of an esterifying acid group.
FIGURE 1
FIGURE 2
| |||||
301 | Acyclic | ||
This subclass is indented under subclass 300. Compounds which are nitroxides, hydroxylamines, or their
O-ethers or O-esters which do not contain a ring.
| |||
302 | Racemization per se or with resolution of optical isomers |
| This subclass is indented under subclass 1. Processes for the formation of a racemic mixture from an amino nitrogen containing enantiomer (optical isomer), per se, or together with the separation of the enantiomers of the racemic mixture. | |
303 | Resolution per se of optical isomers |
| This subclass is indented under subclass 1. Processes which are directed to the resolution (separation) of optical isomers, which may be diastereomers or enantiomers. | |
304 | Of benzene ring containing compounds |
| This subclass is indented under subclass 303. Processes wherein the optical isomers being separated contain a benzene ring. | |
305 | Benzene ring containing | ||||
This subclass is indented under subclass 1. Compounds not provided for above, which contain a benzene
ring.
| |||||
306 | Alicyclic ring or ring system, having plural amino nitrogens attached directly or indirectly thereto by acyclic nonionic bonding, attached indirectly to an aryl ring or ring system by acyclic nonionic bonding | ||
This subclass is indented under subclass 305. Compounds wherein a benzene ring or benzene containing polycyclo
is bonded to an alicyclic ring or ring system through a single atom
or an acyclic chain and the alicyclic group contains more than one
amino nitrogen attached to it either directly or through a single
atom or acyclic chain.
| |||
307 | Amino nitrogen and a ring bonded directly to the same ring, and any other amino nitrogen in the compound is bonded directly to one of the rings | ||
This subclass is indented under subclass 305. Compounds wherein a benzene ring is bonded directly to another
ring and one or more amino nitrogens are bonded directly only to
either ring or both rings.
| |||
308 | Polycyclo ring system | ||
This subclass is indented under subclass 307. Compounds which contain a polycyclo ring system.
| |||
309 | Benzidines | ||
| This subclass is indented under subclass 307. Compounds which are benzidines containing the grouping below.
| |||
310 | Hydrazines | ||
This subclass is indented under subclass 305. Compounds which are hydrazines containing the radical -NHNH-
or its hydrogen substitution products.
| |||
311 | Symmetrical diaryl hydrazines | ||
This subclass is indented under subclass 310. Compounds wherein each nitrogen of the hydrazine radical
is bonded directly to a benzene ring.
| |||
312 | Preparing directly by reducing nitrogen containing group with metal and metallic hydroxide |
| This subclass is indented under subclass 311. Processes wherein the compound is formed by reducing a nitrogen containing group with metal and metallic hydroxide. | |
313 | Aralkyl hydrazines | ||
This subclass is indented under subclass 310. Compounds wherein an aralkyl group is bonded directly to
the nitrogen of a hydrazine radical.
| |||
314 | Processes |
| This subclass is indented under subclass 310. Processes for the preparation, purification, separation or recovery of a hydrazine group containing compound. | |
315 | Two aryl rings or ring systems bonded directly to the same carbon | ||||
This subclass is indented under subclass 305. Compounds wherein two benzene rings or benzene containing
polycyclos are bonded to the same carbon.
SEE OR SEARCH CLASS:
| |||||
316 | Amino nitrogen attached to the carbon by an acyclic carbon or chain | ||
This subclass is indented under subclass 315. Compounds wherein an amino nitrogen is indirectly bonded
to the inter aryl carbon through a single atom or an acyclic chain.
| |||
317 | Oxygen or sulfur is bonded directly to the carbon and is part of the chain | ||
This subclass is indented under subclass 316. Compounds wherein oxygen or sulfur is directly bonded to
the inter aryl carbon and is part of the acyclic chain which contains
the amino nitrogen.
| |||
318 | Processes |
| This subclass is indented under subclass 317. Processes for the preparation, purification, separation or recovery of compounds classified in that subclass. | |
319 | Oxygen, carbonyl or carbon to carbon unsaturation in the chain; or ether, carbonyl, carbon to carbon unsaturation or hydroxy, bonded directly to carbon, is part of a substituent bonded directly to the acyclic carbon or chain (H of -OH may be replaced by a substituted or unsubstituted ammonium ion or a Group IA or IIA light metal) |
| This subclass is indented under subclass 361. Compounds which contain oxygen, carbonyl, a double bond
or a triple bond in the chain; or wherein ether, carbonyl, a double
bond, a triple bond or a hydroxyl, which hydroxyl is bonded directly
to carbon, is part of a substituent, which substituent is bonded
directly to theacyclic carbon or chain, wherein the H of the - OH may
be replaced by a substituted or unsubstituted ammoniom ion or a
Group IA or IIA light metal.
| |
320 | Hydroxy or ether oxygen bonded directly to the carbon (H of -OH may be replaced by a substituted or unsubstituted ammonium ion or a Group IA or IIA light metal) | ||
This subclass is indented under subclass 316. Compounds wherein an -OX is bonded directly to the inter
aryl carbon where X may be H, C, a substituted or unsubstituted
ammonium ion or a Group IA or IIA light metal.
| |||
321 | Amino nitrogen bonded directly to the carbon | ||
This subclass is indented under subclass 315. Compounds wherein an amino nitrogen is bonded directly to
the inter aryl carbon.
| |||
322 | The carbon is a ring member of an alicyclic ring or ring system | ||
This subclass is indented under subclass 315. Compounds wherein the inter aryl carbon is a ring member
of an alicyclic ring or ring system.
| |||
323 | Amino nitrogen attached to aryl ring or ring system by an acyclic carbon or chain | ||
This subclass is indented under subclass 315. Compounds wherein an amino nitrogen is indirectly attached
to the benzene ring or benzene containing polycyclo through a single
atom or an acyclic chain.
| |||
324 | Oxygen or sulfur is bonded directly to the aryl ring or ring system and is part of the chain | ||
This subclass is indented under subclass 323. Compounds wherein oxygen or sulfur bonded directly to the
benzene ring or ring system is part of the acyclic chain which
contains the amino nitrogen.
| |||
325 | Additional similar chain | ||
This subclass is indented under subclass 324. Compounds which contain more than one of the chains described
therein.
| |||
326 | Amino nitrogen is bonded directly to the aryl ring or ring system and is part of the chain | ||
This subclass is indented under subclass 323. Compounds wherein an amino nitrogen bonded directly to the
benzene ring or ring system is part of the acyclic chain which includes
the indirectly attached amino nitrogen.
| |||
327 | Benzhydrols or benzthiols (i.e., -OH or -SH bonded directly to the carbon) | ||||
This subclass is indented under subclass 315. Compounds which are benzhydrols or benzthiols wherein an
-OH or -SH group is bonded directly to the inter aryl carbon.
| |||||
328 | Benzophenones or benzothiophenones (i.e., the carbon is part of a carbonyl or thiocarbonyl) | ||
This subclass is indented under subclass 315. Compounds which are benzophenones or benzothiophenones wherein
the inter aryl carbon is part of a carbonyl or thiocarbonyl group.
| |||
329 | Processes |
| This subclass is indented under subclass 328. Processes for the preparation, purification, separation, recovery of benzophenones or benzothiophenones. | |
330 | Diamino diphenyl methanes (i.e., two phenyls, each having amino nitrogen bonded directly thereto, bonded directly to the carbon) | ||
This subclass is indented under subclass 315. Compounds wherein two phenyl groups, each having an amino
nitrogen directly attached, are directly bonded to the same carbon
(i.e., diamino diphenyl methanes).
| |||
331 | Preparing by reacting carbonyl containing compound with amino nitrogen containing compound | ||
This subclass is indented under subclass 330. Processes wherein an amino nitrogen containing compound
is condensed with an aldehyde or ketone, as for example, the condensation
of formaldehyde or acetone with aniline.
| |||
332 | Solid catalyst utilized |
| This subclass is indented under subclass 331. Processes wherein the reaction is carried out in the presence of a solid catalyst. | |
333 | Hydrochloric acid utilized |
| This subclass is indented under subclass 331. Processes wherein the reaction is carried out in the presence of hydrochloric acid. | |
334 | Purification or recovery |
| This subclass is indented under subclass 330. Processes directed to the purification, separation, or recovery of diamino diphenyl methanes. | |
335 | Halogen or sulfur attached directly or indirectly to the carbon by nonionic bonding | ||
This subclass is indented under subclass 330. Compounds which contain halogen or sulfur nonionically bonded
to carbon.
| |||
336 | Amino nitrogen attached to aryl ring or ring system by an acyclic carbon or chain | ||
This subclass is indented under subclass 305. Compounds wherein an amino nitrogen is indirectly bonded
to an aryl ring or ring system through a single acyclic carbon or
through an acyclic chain.
| |||
337 | The aryl ring or ring system is bonded directly to another ring | ||||
This subclass is indented under subclass 336. Compounds wherein the aryl ring or ring system is bonded
directly to another ring.
SEE OR SEARCH THIS CLASS, SUBCLASS:
| |||||
338 | The other ring is alicyclic | ||
This subclass is indented under subclass 337. Compounds wherein the other ring is alicyclic.
| |||
339 | Double bonded oxygen, ether or hydroxy, bonded directly to carbon, is attached directly or indirectly to the alicyclic ring by acyclic nonionic bonding (H of -OH may be replaced by a substituted or unsubstituted ammonium ion or a Group IA or IIA light metal) |
| This subclass is indented under subclass 338. Compounds wherein the alicyclic ring contains an -OH bonded to carbon wherein the H of the -OH may be replaced by a substituted or unsubstituted ammonium ion or by a Group IA or IIA light metal or an ether or carbonyl group. | |
340 | Sulfur is part of the chain or is attached directly or indirectly to the acyclic carbon or chain by acyclic nonionic bonding with no amino nitrogen between the sulfur and the aryl ring or ring system | ||
This subclass is indented under subclass 336. Compounds wherein the chain contains sulfur or has an acyclic
sulfur substituent and there is no amino nitrogen between the sulfur
and the ring.
| |||
341 | The sulfur is bonded directly to the aryl ring or ring system | ||
This subclass is indented under subclass 340. Compounds wherein the sulfur is part of the chain and is
bonded directly to the aryl ring or ring system.
| |||
342 | Carbonyl is part of the chain or is attached directly or indirectly to the acyclic carbon or chain by acyclic nonionic bonding with no amino nitrogen between the carbonyl and the aryl ring or ring system | ||
This subclass is indented under subclass 336. Compounds wherein the chain contains a carbonyl or has an
acyclic carbonyl substituent and there is no amino nitrogen between
the carbonyl and the ring or ring system.
| |||
343 | Processes |
| This subclass is indented under subclass 342. Processes for the preparation, purification, separation, or recovery of compounds defined therein and in its dependent subclasses. | |
344 | Hydroxy or ether oxygen bonded directly to the aryl ring or ring system | ||
This subclass is indented under subclass 342. Compounds wherein the aryl ring or ring system contains
an -OX group bonded directly to a ring carbon and X may be H or
C or a substituted or unsubstituted ammonium ion or a Group IA or
IIA light metal.
| |||
345 | Halogen bonded directly to the aryl ring or ring system | ||
This subclass is indented under subclass 342. Compounds wherein the aryl ring or ring system contains
halogen bonded directly to a ring carbon.
| |||
346 | Ether oxygen is part of the chain | ||
This subclass is indented under subclass 336. Compounds wherein oxygen is part of the chain.
| |||
347 | The ether oxygen is bonded directly to the aryl ring or ring system | ||
This subclass is indented under subclass 346. Compounds wherein oxygen which is part of the chain is bonded
directly to the aryl ring or ring system.
| |||
348 | Hydroxy, bonded directly to carbon, or ether oxygen is attached directly or indirectly to the chain by acyclic nonionic bonding with no amino nitrogen between the hydroxy or attached ether oxygen and the aryl ring or ring system (H of -OH may be replaced by a substituted or unsubstituted ammonium ion or a Group IA or IIA light metal) | ||
This subclass is indented under subclass 347. Compounds wherein the chain contains an - OH bonded
to carbon wherein the H of the - OH may be replaced by a substituted
or unsubstituted ammonium ion by a Group IA or IIA light metal or
an ether group as substituted and there in no amino nitrogen between
this group and the ring or ring system.
| |||
349 | Alkanol group only between the amino nitrogen and the ether oxygen which is bonded directly to the aryl ring or ring system (i.e., aryloxy alkanol amines) | ||
This subclass is indented under subclass 348. Compounds which are phenoxy alkanol amines wherein the additional
substituent is a hydroxyl group bonded directly to a chain carbon between
the amino nitrogen and the aryl ring or ring system.
| |||
350 | Nitrogen bonded directly to the aryl ring or ring system | ||
This subclass is indented under subclass 349. Compounds wherein the nitrogen is bonded directly to a ring
carbon of the aryl ring or ring system.
| |||
351 | Halogen bonded directly to the aryl ring oring system | ||
This subclass is indented under subclass 349. Compounds wherein halogen is bonded directly to a ring carbon
of the aryl ring or ring system.
| |||
352 | The aryl ring or ring system is polycyclo | ||
This subclass is indented under subclass 347. Compounds wherein the ring system is polycyclo.
| |||
353 | Hydrogen or acyclic hydrocarbyl substituents only bonded directly to the part of the chain between the ether oxygen and amino nitrogen | ||
This subclass is indented under subclass 347. Compounds wherein the part of the chain between the amino
nitrogen and oxygen is unsubstituted or substituted by acyclic hydrocarbon
groups.
| |||
354 | The part of the chain between the ether oxygen and amino nitrogen consists of two unsubstituted saturated carbons | ||
This subclass is indented under subclass 353. Compounds which are aryloxyethlamines, wherein the part
of the chain between the amino nitrogen and the oxygen contains
two carbons and is unsubstituted.
| |||
355 | Hydroxy, bonded directly to carbon, or ether oxygen attached directly or indirectly to the acyclic carbon or chain by acyclic nonionic bonding with no amino nitrogen between the hydroxy or ether oxygen and the aryl ring or ring system (H of -OH may be replaced by a substituted or unsubstituted ammonium ion or a Group IA or IIA light metal) | ||
This subclass is indented under subclass 336. Compounds which contain hydroxyl, which is bonded directly
to carbon, or an ether oxygen attached directly or indirectly to
the acyclic carbon or chain by acyclic nonionic bonding, with no
amino nitrogen between the hydroxyl or ether oxygen and the aryl
ring or ring system, wherein the H of the -OH may be replaced by
a substituted or unsubstituted ammonium ion or a Group IA or IIA
light metal.
| |||
356 | Preparing directly by reduction, other than by reductive amination | ||
This subclass is indented under subclass 355. Processes wherein the compounds are prepared directly by
reduction.
| |||
357 | By direct hydrogenation |
| This subclass is indented under subclass 356. Processes wherein the reduction is by direct hydrogenation. | |
358 | Group VIII noble metal containing catalyst utilized |
| This subclass is indented under subclass 357. Processes wherein a Group VIII noble metal containing catalyst is utilized in the hydrogenation. | |
359 | Preparing directly by hydrolysis |
| This subclass is indented under subclass 355. Processes wherein the compounds are prepared directly by hydrolysis, as for examples of an amide. | |
360 | Additional hydroxy, bonded directly to carbon, or ether oxygen attached directly or indirectly to the acyclic carbon or chain by acyclic nonionic bonding with no amino nitrogen between the additional hydroxy or ether oxygen and the aryl ring or ring system (H of -OH may be replaced by a substituted or unsubstitited ammonium ion or a Group IA or IIA light metal) | ||
This subclass is indented under subclass 355. Compounds wherein an additional hydroxyl or an ether wherein
the H of the - OH may be replaced by a substituted or unsubstituted ammonium
ion or by a Group IA or IIA light metal is bonded to the carbon
or the chain between the amino nitrogen and the aryl ring or ring
system.
| |||
361 | Plural hydroxy groups bonded directly to the aryl ring or ring system (H of -OH may be replaced by a substituted or unsubstituted ammonium ion or a Group IA or IIA light metal) | ||
This subclass is indented under subclass 355. Compounds wherein the aryl ring or ring system has more
than one hydroxy group wherein the H of the -OH may be replaced
by a substituted or unsubstituted ammonium ion or by a Group IA
or IIA light metal bonded directly to a ring carbon.
| |||
362 | Four or more substituents on the aryl ring or ring system | ||
This subclass is indented under subclass 361. Compounds wherein the aryl ring or ring system contains
at least four substituents bonded directly to ring carbons.
| |||
363 | Beta hydroxy phenethylamines (i.e., hydroxy and the benzene ring are bonded directly to the same carbon of the chain which consists of two carbons; H of -OH may be replaced by a substituted or unsubstituted ammonium ion or a Group IA or IIA light metal) | ||
This subclass is indented under subclass 355. Compounds which are beta - OX phenethylamines wherein the
chain contains two carbon atoms and a benzene ring and - OX group
are bonded directly to the carbon beta to the amino nitrogen, wherein
the X may be H, a substituted or unsubstituted ammonium ion or a Group
IA or IIA light metal.
| |||
364 | Acyclic hydrocarbyl alpha substituent | ||
This subclass is indented under subclass 363. Compounds wherein there is an acyclic hydrocarbyl substituent
bonded directly to the chain carbon which is in a position alpha
to the amino nitrogen.
| |||
365 | Hydroxy or ether oxygen bonded directly to the aryl ring or ring system (H of -OH may be replaced by a substituted or unsubstituted ammonium ion or a Group IA or IIA light metal) | ||
This subclass is indented under subclass 363. Compounds wherein the aryl ring or ring system contains
an -OX group bonded directly to a ring carbon where X is H, C, a
substituted or unsubstituted ammonium ion or a Group IA or IIA light
metal.
| |||
366 | Halogen attached directly or indirectly to the acyclic carbon or chain by acyclic nonionic bonding with no amino nitrogen between the halogen and the aryl ring or ring system |
| This subclass is indented under subclass 336. Compounds wherein a halogen is attached directly or indirectly to the acyclic carbon or chain by acyclic nonionic bonding, and there is no amino nitrogen between the halogen and the aryl ring or ring system. | |
367 | The chain contains nitrogen between the aryl ring or ring system and amino nitrogen | ||
This subclass is indented under subclass 336. Compounds wherein an additional amino nitrogen is part of
the chain between the amino nitrogen and the aryl ring or ring system.
| |||
368 | Ethylene diamines | ||
This subclass is indented under subclass 367. Compounds wherein the chain contains an ethylene diamine
group wherein the ethylene carbons may be substituted by alkyl substituents only.
| |||
369 | Mono ethylene diamines | ||
This subclass is indented under subclass 368. Compounds wherein there is only one ethylene diamine group.
| |||
370 | Plural aryl rings, which are not part of the same polycyclo ring system, or ring systems containing | ||
This subclass is indented under subclass 369. Compounds wherein there are plural discrete benzene ring
or ring systems.
| |||
371 | Methylene diamines | ||
This subclass is indented under subclass 367. Compounds wherein the chain contains a methylene diamine
group.
| |||
372 | Additional amino nitrogen attached directly or indirectly to the acyclic carbon or chain by acyclic nonionic bonding | ||
This subclass is indented under subclass 336. Compounds wherein an additional nonionic amino nitrogen
is bonded to the carbon or the chain either directly or as part
of an acyclic substituent.
| |||
373 | Alpha aralkyl benzyl amines | ||
This subclass is indented under subclass 336. Compounds wherein an aralkyl group is bonded directly to
the alpha carbon of a benzyl amine.
| |||
374 | The chain consists of two or more carbons which are unsubstituted or have acyclic hydrocarbyl substituents only | ||
This subclass is indented under subclass 336. Compounds wherein the chain consists of two or more carbons
which are unsubstituted or substituted by acyclic hydrocarbon groups.
| |||
375 | Forming amine group directly by reduction, other than by reductive amination | ||
This subclass is indented under subclass 374. Processes wherein the amine group is formed directly by
reduction.
| |||
376 | Forming directly by amination which replaces halogen |
| This subclass is indented under subclass 374. Processes wherein the compounds are formed by amination by replacing a halogen by an amino nitrogen or ammonia. | |
377 | Preparing directly by hydrolysis |
| This subclass is indented under subclass 374. Processes wherein the compounds are prepared directly by hydrolysis. | |
378 | The aryl ring or ring system is polycyclo | ||||
This subclass is indented under subclass 374. Compounds wherein the aryl ring system is a polycyclo ring
system.
| |||||
379 | Tricyclo ring system | ||
This subclass is indented under subclass 378. Compounds wherein the polycyclo ring system is tricyclo.
| |||
380 | The chain contains carbon to carbon unsaturation | ||
This subclass is indented under subclass 379. Compounds wherein the chain contains a double or triple
bond between two carbons.
| |||
381 | Phenethylamines having alpha alkyl substituent | ||
This subclass is indented under subclass 374. Compounds which are phenethylamines, having two carbons
in the chain between the amino nitrogen and a benzene ring and an
alkyl substituent on the carbon alpha to the amino nitrogen.
| |||
382 | Phenethylamines having beta alkyl substituent | ||
This subclass is indented under subclass 374. Compounds which are phenethylamines, having two carbons
in the chain between the amine nitrogen and a benzene ring and an
alkyl substituent on the carbon beta to the amino nitrogen.
| |||
383 | The chain contains carbon to carbon unsaturation | ||
This subclass is indented under subclass 374. Compounds wherein the chain contains a double or triple
bond between two carbons.
| |||
384 | The aryl ring or ring system and amino nitrogen are bonded directly to the same acyclic carbon, which carbon additionally has only hydrogen or acyclic hydrocarbyl substituents bonded directly thereto | ||
This subclass is indented under subclass 336. Compounds wherein an aryl ring or ring system and an amino
nitrogen are both directly bonded to the same acyclic carbon, which
carbon additionally has only hydrogen or acyclic hydrocarbyl substituents
bonded directly thereto.
| |||
385 | Forming amine group directly by reduction, other than by reductive amination | ||
This subclass is indented under subclass 384. Processes wherein the amine group is formed directly by
reduction.
| |||
386 | Forming directly by amination which replaces halogen or forming amine group directly by hydrolysis |
| This subclass is indented under subclass 384. Processes wherein the compounds are formed directly by an amination process by replacing a halogen by an amino nitrogen or ammonia or wherein the compounds are formed directly by hydrolysis. | |
387 | The aryl ring or ring system is polycyclo | ||
This subclass is indented under subclass 384. Compounds wherein the aryl ring system is a polycyclo ring
system.
| |||
388 | Plural amino methylene groups bonded directly to the same benzene ring | ||
This subclass is indented under subclass 384. Compounds wherein each of at least two amino nethylene groups
are bonded directly to a benzene ring carbon.
| |||
389 | Benzyl amines having hydroxy or ether oxygen bonded directly to the benzene ring (H of -OH may be replaced by a substituted or unsubstituted ammonium ion or a Group IA or IIA light metal) | ||
This subclass is indented under subclass 384. Compounds wherein the aryl ring has an -OX bonded directly
to a ring carbon and X is H or C, or a substituted or unsubstituted
ammonium ion or a Group IA or IIA light metal.
| |||
390 | Ortho hydroxy benzyl amines | ||
This subclass is indented under subclass 389. Compounds which are ortho hydroxy benzylamines.
| |||
391 | Benzyl amines wherein the benzene ring has no other substituents | ||
This subclass is indented under subclass 384. Compounds which are benzylamines where the benzene ring
has no other substituent.
| |||
392 | Acyclic hydrocarbyl group bonded directly to the methylene carbon | ||
This subclass is indented under subclass 391. Compounds wherein an acyclic hydrocarbyl group is bonded
directly to the methylene carbon.
| |||
393 | Preparing directly from ester other than by reduction of nitrile | ||
| This subclass is indented under subclass 305. Processes wherein a benzene containing amino nitrogen compound
is prepared directly from an ester.
SEE OR SEARCH THIS CLASS, SUBCLASS:
| |||
394 | Preparing directly from organic acid, acid halide or salt |
| This subclass is indented under subclass 305. Processes wherein abenzene containing amino nitrogen compound is prepared directly from an organic acid, acid halide, or salt. | |
395 | Preparing directly by amination | ||
| This subclass is indented under subclass 305. Processes wherein a benzene containing amine nitrogen compound
is prepared directly by reacting an organic compound with ammonia or
an amino nitrogen containing compound replacing a hydrogen thereof
or another organic radical bonded to nitrogen to form a carbon to
nitrogen bond.
SEE OR SEARCH THIS CLASS, SUBCLASS:
| |||
396 | Of carbonyl containing compound |
| This subclass is indented under subclass 395. Processes wherein an aldehyde or ketone compound is aminated. | |
397 | By reductive amination | ||||
This subclass is indented under subclass 396. Processes wherein an aldehyde or ketone is aminated to form
an aldimine or ketimine which is then reduced to an amino nitrogen form.
| |||||
398 | Group VIII noble metal containing catalyst utilized |
| This subclass is indented under subclass 397. Processes which utilize a Group VIII noble metal containing catalyst in a reductive amination process. | |
399 | Of ether or alkylene oxide |
| This subclass is indented under subclass 395. Processes wherein the compound aminated is an ether or an alkylene oxide. | |
400 | Of halohydrin |
| This subclass is indented under subclass 395. Processes wherein the compound aminated is a halohydrin. | |
401 | Of acyclic hydroxy containing compound |
| This subclass is indented under subclass 395. Processes wherein the compound aminated is an acyclic alcohol. | |
402 | By replacing hydroxy |
| This subclass is indented under subclass 395. Processes wherein a hydroxyl is replaced in the amination reaction. | |
403 | In compound having plural hydroxys bonded directly to benzene ring |
| This subclass is indented under subclass 402. Processes wherein the compound aminated contains two or more hydroxyl groups bonded directly to a benzene ring. | |
404 | Of halogen containing compound |
| This subclass is indented under subclass 395. Processes wherein the compound which is aminated contains halogen bonded direclty to carbon. | |
405 | Which also contains benzene ring |
| This subclass is indented under subclass 404. Processes wherein the halogen containing compound contains a benzene ring. | |
406 | And nitro |
| This subclass is indented under subclass 405. Processes wherein the compound aminated also contais a nitro group bonded directly to carbon. | |
407 | Preparing primary amines |
| This subclass is indented under subclass 405. Processes wherein a primary amine is formed. | |
408 | Of hydrocarbon |
| This subclass is indented under subclass 395. Processes wherein the compound aminated is a hydrocarbon. | |
409 | Preparing directly by ring alkylation or dealkylaton |
| This subclass is indented under subclass 305. Processes wherein an alkyl side chain is directly introduced to a ring or directly removed from a ring. | |
410 | Preparing directly by nitrosation |
| This subclass is indented under subclass 305. Processes of directly introducing a nitroso group bonded to a carbon. | |
411 | Preparing directly by nitration |
| This subclass is indented under subclass 305. Processes of directly introducing a nitro group bonded to carbon. | |
412 | Preparing of halogen containing compound directly by halogenation or dehalogenation |
| This subclass is indented under subclass 305. Processes wherein a halogenated benzene containing amino nitrogen compound is prepared directly by halogenating or dehalogenating. | |
413 | Preparing directly from hetero ring containing compound |
| This subclass is indented under subclass 305. Processes wherein the compounds are prepared directly from a heterocyclic compound. | |
414 | Preparing directly from an amide (e.g., preparing directly from a sulfenamide, nitrosamine, carboxamide, thiourea, etc.) |
| This subclass is indented under subclass 305. Processes wherein the compounds are prepared directly from an amide. | |
415 | Forming amine group directly by reduction |
| This subclass is indented under subclass 305. Processes wherein an amine group is formed directly by reducing a nitrogen containing group. | |
416 | Of nitro or nitroso |
| This subclass is indented under subclass 415. Processes wherein the group which is reduced is a nitro or nitroso. | |
417 | Preparing compound which contains halogen bonded directly to carbon |
| This subclass is indented under subclass 416. Processes wherein the compound produced by reduction of the nitro or nitroso group contains halogen directly bonded to carbon. | |
418 | Preparing compound which contains hydroxy, bonded directly to carbon, or ether |
| This subclass is indented under subclass 416. Processes wherein the compound produced by reduction of a nitro or nitroso group contains a hydroxyl bonded to carbon or an ether group. | |
419 | With initial nitration step |
| This subclass is indented under subclass 416. Processes wherein the compounds are produced by first nitrating and then reducing the nitro group. | |
420 | By direct hydrogenation |
| This subclass is indented under subclass 416. Processes wherein the nitro or nitroso group is reduced by addition of hydrogen. | |
421 | Group VI metal containing catalyst utilized |
| This subclass is indented under subclass 420. Processes wherein a Group VI metal containing catalyst is utilized in the hydrogenation. | |
422 | Group VIII metal containing catalyst utilized |
| This subclass is indented under subclass 420. Processes wherein a Group VIII metal containing catalyst is utilized in the hydrogenation. | |
423 | Group VIII noble metal containing catalyst utilized |
| This subclass is indented under subclass 422. Processes wherein a Group VIII noble metal containing catalyst is utilized in the hydrogenation. | |
424 | Separating isomers | ||
| This subclass is indented under subclass 305. Processes which are directed to the separation of isomers.
SEE OR SEARCH THIS CLASS, SUBCLASS:
| |||
425 | By salt formation |
| This subclass is indented under subclass 424. Processes wherein the separation of the isomers is effected by salt formation. | |
426 | Polycyclo ring system | ||
This subclass is indented under subclass 305. Compounds which contains a polycyclo ring system.
| |||
427 | Tricyclo ring system | ||
This subclass is indented under subclass 426. Compounds wherein the polycyclo ring system is a tricyclo.
| |||
428 | Bicyclo ring system | ||
This subclass is indented under subclass 426. Compounds wherein the polycyclo ring system is bicyclo.
| |||
429 | Naphthyl ring system and benzene ring bonded directly to the same nitrogen | ||
This subclass is indented under subclass 428. Compounds wherein a naphthyl group and a benzene are both
bonded directly to the same nitrogen.
| |||
430 | Two benzene rings bonded directly to the same oxygen, sulfur, or polysulfide chain | ||
This subclass is indented under subclass 305. Compounds which are diphenyl ethers or diphenyl sulfides
wherein both benzene rings are bonded directly to oxygen, sulfur,
or a polysulfide group.
| |||
431 | Two carbocyclic rings, at least one of which is benzene, bonded directly to the same nitrogen | ||
This subclass is indented under subclass 305. Compounds wherein two rings at least one of which is benzene
are bonded directly to the same nitrogen.
| |||
432 | Condensation products and processes of acyclic ketone and compound which contains two benzene rings bonded directly to the same nitrogen |
| This subclass is indented under subclass 431. Compounds and processes for preparing them wherein an acyclic ketone is condensed with a diarylamine. | |
433 | Two benzene rings bonded directly to the same nitrogen | ||
This subclass is indented under subclass 431. Compounds which are diphenylamines wherein two benzene rings
are bonded directly to the same nitrogen.
| |||
434 | Additional amino nitrogen containing | ||
This subclass is indented under subclass 433. Compounds which contain an additional amino nitrogen.
| |||
435 | Preparing directly by condensing a primary amine |
| This subclass is indented under subclass 433. Processes wherein the compounds classified therein are produced by the condensation of a primary amine. | |
437 | Purification or recovery | ||
| This subclass is indented under subclass 305. Processes directed to the purification, separation, or recovery
of moncyclic amine nitrogen containing compounds.
SEE OR SEARCH THIS CLASS, SUBCLASS:
| |||
438 | By salt formation |
| This subclass is indented under subclass 437. Processes which utilize a salt formation prior to purifying, separating, or recovering. | |
439 | Of compound having amino nitrogen and hydroxy bonded directly to the benzene ring (H of -OH may be replaced by a substituted or unsubstituted ammonium ion or a Group IA or IIA light metal) |
| This subclass is indented under subclass 437. Processes for the purification, separation or recovery of compounds having an amino group and a hydroxyl bonded directly to the benzene ring, wherein the H of the -OH may be replaced by a substituted or unsubstituted ammonium ion or a Group IA or IIA light metal (i.e., aminophenols). | |
440 | Sulfur attached indirectly to the amino nitrogen by nonionic bonding | ||
This subclass is indented under subclass 305. Compounds which contain sulfur nonionically bonded.
| |||
441 | Nitro or nitroso, bonded directly to carbon, containing | ||
This subclass is indented under subclass 305. Compounds which contain a nitro or nitorso group bonded
directly to carbon.
| |||
442 | Halogen, bonded directly to carbon, containing | ||
This subclass is indented under subclass 305. Compounds which contain halogen bonded directly to carbon.
| |||
443 | Hydroxy, bonded directly to carbon, or ether containing (H of -OH may be replaced by a substituted or unsubstituted ammonium ion or a Group IA or IIA light metal) | ||
This subclass is indented under subclass 305. Compounds which contain a hydroxyl bonded directly to carbon
or an ether group, wherein the H or the -OH may be replaced by a
substituted or unsubstituted ammonium ion or by a Group IA or IIA
light metal.
| |||
444 | Preparing alicyclic ring containing compound directly by isomerization |
| This subclass is indented under subclass 1. Processes wherein an amino nitrogen containing alicyclic compound is prepared directly by isomerization. | |
445 | Preparing alicyclic ring containing compound directly by amination |
| This subclass is indented under subclass 1. Processes wherein amino nitrogen containing alicyclic compounds are produced by reacting an organic compound with ammonia or an amine to replace an unreacted hydrogen or another organic radical bonded to nitrogen to form a carbon to nitrogen bond. | |
446 | Of aldehyde or ketone containing compound |
| This subclass is indented under subclass 445. Processes wherein the compound reacted is an aldehyde or ketone. | |
447 | Of hydroxy containing compound |
| This subclass is indented under subclass 445. Processes wherein the compound reacted is one containing a hydroxyl bonded to a noncarbonylic carbon. | |
448 | Forming amine group of alicyclic ring containing compound directly by reduction |
| This subclass is indented under subclass 1. Processes wherein an amino nitrogen containing alicyclic compound is formed directly by reduction of a nitrogen containing group. | |
449 | Including hydrogenating benzene ring |
| This subclass is indented under subclass 448. Processes which include the hydrogenation of a benzene ring. | |
450 | Preparing alicyclic ring containing compound directly by hydrogenating benzene ring |
| This subclass is indented under subclass 1. Processes wherein an amine nitrogen containing alicyclic compound is prepared directly by hydrogenation of a benzene ring. | |
451 | Plural amino nitrogens containing |
| This subclass is indented under subclass 450. Processes wherein the compound prepared contains more than one amine nitrogen. | |
452 | Plural alicyclic rings, which are not part of the same polycyclo ring system, or ring systems bonded directly to the same carbon | ||
This subclass is indented under subclass 1. Compounds wherein two discrete alicyclic rings or ring systems
are bonded directly to the same carbon.
| |||
453 | Alicyclic ring or ring system and amino nitrogen are attached indirectly by an acyclic carbon or chain | ||
This subclass is indented under subclass 1. Compounds wherein an amino nitrogen is indirectly bonded
to an alicyclic ring or ring system through a single acyclic carbon
or through an acyclic chain.
| |||
454 | The chain consists of two or more carbons which are unsubstituted or have acyclic hydrocarbyl substituents only | ||
This subclass is indented under subclass 453. Compounds wherein the chain contains at least two carbons
and is either unsubstituted or substituted only by acyclic hydrocarbon
groups.
| |||
455 | The alicyclic ring and amino nitrogen are bonded directly to the same acyclic carbon, which carbon additionally has only hydrogen or acyclic hydrocarbyl substituents bonded directly thereto | ||
This subclass is indented under subclass 453. Compounds wherein the amino nitrogen is indirectly bonded
to the alicyclic ring or ring system through a single acyclic carbon
which is unsubstituted or may be substituted by acyclic hydrocarbon
groups.
| |||
456 | Polycyclo ring system | ||
This subclass is indented under subclass 455. Compounds wherein the alicyclic ring system is a polycyclo.
| |||
457 | Plural alicyclic rings | ||
This subclass is indented under subclass 1. Compounds wherein there is more than one alicyclic ring.
| |||
458 | Polycyclo ring system | ||
This subclass is indented under subclass 457. Compounds wherein the plural rings are in the form of a
polycyclo ring system.
| |||
459 | Tricyclo ring system | ||
This subclass is indented under subclass 458. Compounds wherein the polycyclo ring system is a tricyclo.
| |||
460 | Bicyclo ring system | ||
This subclass is indented under subclass 458. Compounds wherein the polycyclo ring system is bicyclo.
| |||
461 | Alicyclic ring and plural amino nitrogens containing | ||
This subclass is indented under subclass 1. Compounds which contain an alicyclic ring an more than one
amino nitrogen.
| |||
462 | Cyclohexyl ring containing | ||
This subclass is indented under subclass 1. Compounds which contain a cyclohexyl ring.
| |||
463 | Acyclic | ||
This subclass is indented under subclass 1. Compounds which contain no ring.
| |||
464 | Aminimine or hydrazine containing | ||
| This subclass is indented under subclass 463. Compounds which contain a hydrazine group -NHNH- or its
hydrogen substitution products; or aminimines containing the grouping
below.
| |||
465 | Preparing directly by reducing a nitrosamine |
| This subclass is indented under subclass 464. Processes wherein the compounds are prepared directly by reducing a nitrosamine. | |
466 | Preparing directly by condensing a haloamine |
| This subclass is indented under subclass 464. Processes wherein the compounds are produced by the condensation of a haloamine. | |
467 | Preparing directly utilizing carbon monoxide |
| This subclass is indented under subclass 463. Processes wherein the compounds are prepared by the direct utilization of carbon monoxide. | |
468 | Preparing directly from ester, organic acid or salt, other than by reduction of nitrile | ||
| This subclass is indented under subclass 463. Processes wherein the compounds are prepared directly from
an ester or an organic acid or salt.
SEE OR SEARCH THIS CLASS, SUBCLASS:
| |||
469 | Preparing directly by amination |
| This subclass is indented under subclass 463. Processes wherein an acyclic amino nitrogen compound is prepared directly by reacting an organic compound with ammonia or an amino nitrogen containing compound replacing an hydrogen thereof or another organic radical bonded to nitrogen to form a carbon to nitrogen bond. | |
470 | By transamination |
| This subclass is indented under subclass 469. Processes wherein a radical bonded to amino nitrogen by a carbon to nitrogen bond is replaced by a different radical similarly bonded to another amino nitrogen or another radical to form a carbon to nitrogen bond. | |
471 | Of aldehyde or ketone containing compound |
| This subclass is indented under subclass 469. Processes wherein the organic compound reacted is an aldehyde or ketone. | |
472 | By reductive amination | ||||
This subclass is indented under subclass 471. Processes wherein the aldehyde or ketone is aminated to
form an aldimine or ketimine which is then reduced to an amino nitrogen form.
SEE OR SEARCH THIS CLASS, SUBCLASS:
| |||||
473 | Of aldehyde containing compound |
| This subclass is indented under subclass 472. Processes wherein an aldehyde is subjected to reductive amination. | |
474 | Of ether containing compound |
| This subclass is indented under subclass 469. Processes wherein the organic compound contains an ether group. | |
475 | Of an alkylene oxide |
| This subclass is indented under subclass 474. Processes wherein the organic compound is an alkylene oxide. | |
476 | Of an epihalohydrin |
| This subclass is indented under subclass 475. Processes wherein the organic compound is an epihalohydrin. | |
477 | Producing monohydroxy alkyl amines |
| This subclass is indented under subclass 475. Processes wherein the compounds produced are monohydroxy alkyl amines (i.e., HO-alkyl)x-N-(H)3-x). | |
478 | Of hydroxy containing compound |
| This subclass is indented under subclass 469. Processes wherein the organic compound contains a hydroxyl bonded to carbon. | |
479 | Catalyst utilized |
| This subclass is indented under subclass 478. Processes wherein a catalyst is utilized. | |
480 | Group VI or VIII metal containing catalyst utilized |
| This subclass is indented under subclass 479. Processes wherein the catalyst is a Group VI or Group VIII metal containing compound. | |
481 | Of halogen containing compound |
| This subclass is indented under subclass 469. Processes wherein the organic compound contains halogen bonded directly to carbon. | |
482 | Of an alkylene dihalide |
| This subclass is indented under subclass 481. Processes wherein the organic compound is an alkylene dihalide. | |
483 | Of compound which contains an atom other than carbon, hydrogen, and halogen |
| This subclass is indented under subclass 481. Processes wherein the organic compound contains a nonionically bonded element other than carbon, hydrogen, or halogen and not provided for above. | |
484 | Of compound which contains carbon to carbon unsaturation |
| This subclass is indented under subclass 481. Processes wherein the organic compound also contains a double or triple bond between two carbons. | |
485 | Of compound which contains carbon to carbon unsaturation |
| This subclass is indented under subclass 469. Processes wherein the organic compound contains a double or triple bond between two carbons. | |
486 | Preparing directly by dealkylation |
| This subclass is indented under subclass 463. Processes wherein an organic radical bonded directly to an amino nitrogen through carbon is replaced directly by hydrogen. | |
487 | Preparing directly from hetero ring containing compound |
| This subclass is indented under subclass 463. Processes wherein the compounds are produced directly from a heterocyclic compound. | |
488 | Preparing directly from an amide (e.g., preparing directly from a carboxamide, etc.) |
| This subclass is indented under subclass 463. Processes wherein the compounds are produced directly from an amide such as, for example, a carboxamide or a sulfonamide. | |
489 | Forming amine group directly by reduction |
| This subclass is indented under subclass 463. Processes wherein the amine group is formed directly by reduction of a nitrogen containing group. | |
490 | Of cyano | ||
This subclass is indented under subclass 489. Processes wherein the group reduced is a cyano group.
| |||
491 | Of plural cyanos |
| This subclass is indented under subclass 490. Processes wherein more than one cyano group is reduced. | |
492 | Preparing hexamethylene diamine |
| This subclass is indented under subclass 491. Processes wherein hexamethylene diamine is produced. | |
493 | Preparing a primary monoamine |
| This subclass is indented under subclass 490. Processes wherein a primary mono amine is produced. | |
494 | Of nitro or nitroso |
| This subclass is indented under subclass 489. Processes wherein the nitrogen containing group which is reduced is a nitro or nitroso group. | |
495 | The nitro or nitroso is in a compound which contains hydroxy, bonded directly to carbon, or ether |
| This subclass is indented under subclass 494. Processes wherein a compound containing a nitro or nitroso group which is reduced also contains a hydroxyl group bonded directly to carbon or an ether group. | |
496 | Preparing directly by halogenation |
| This subclass is indented under subclass 463. Processes wherein the acyclic amino nitrogen compounds are produced by introducing halogen to form a direct bond to carbon. | |
497 | Purification or recovery |
| This subclass is indented under subclass 463. Processes directed to the purification, separation, or recovery of acyclic amino nitrogen containing compounds. | |
498 | Of an alkylene polyamine |
| This subclass is indented under subclass 497. Processes wherein the compounds prepared are alkylene polyamines. | |
499 | Separating primary, secondary, or tertiary amines from each other |
| This subclass is indented under subclass 497. Processes wherein mixtures of primary, secondary, or tertiary amines are separated from each other. | |
500 | Sulfur attached indirectly to the amino nitrogen by nonionic bonding | ||
This subclass is indented under subclass 463. Compounds which contain nonionically bonded sulfur.
| |||
501 | Thioether containing | ||
This subclass is indented under subclass 500. Compounds wherein the sulfur is present in the form of a
thioether.
| |||
502 | Aldehyde or ketone containing | ||
This subclass is indented under subclass 463. Compounds which contain an aldehyde or ketone group.
| |||
503 | Hydroxy, bonded directly to carbon, or ether containing (H of -OH may be replaced by a substituted or unsubstituted ammonium ion or a Group IA or IIA light metal) | ||
This subclass is indented under subclass 463. Compounds which contain a hydroxyl group bonded directly
to carbon, or an ether, wherein the H of the -OH Group may be replaced
by a substituted or unsubstituted ammonium ion or by a Group IA
or IIA light metal.
| |||
504 | Polyether | ||
This subclass is indented under subclass 503. Compounds which contain more than one ether group.
| |||
505 | Polyoxyalkylene | ||
This subclass is indented under subclass 504. Compounds which contain the grouping -O- (CnH2nO)m where
m and n are positive integers and m is greater than one.
| |||
506 | Polyhydroxy (H of -OH may be replaced by a substituted or unsubstituted ammonium ion or a Group IA or IIA light metal) | ||
This subclass is indented under subclass 503. Compounds which contain more than one hydroxyl bonded to
carbon.
| |||
507 | Plural hydroxys in the same substituent on the amino nitrogen (H of -OH may be replaced by a substituted or unsubstituted ammonium ion or a Group IA or IIA light metal) | ||
This subclass is indented under subclass 506. Compounds which contain more than one hydroxyl bonded to
carbon on the same amino nitrogen substituent.
| |||
508 | Monoether | ||
This subclass is indented under subclass 503. Compounds which contain only one ether group.
| |||
509 | Carbon to carbon unsaturation containing | ||
This subclass is indented under subclass 463. Compounds which contain a double or triple bond between
two carbons.
| |||
510 | Halogen, bonded directly to carbon, containing | ||
This subclass is indented under subclass 463. Compounds which contain halogen bonded directly to carbon.
| |||
511 | Plural amino nitrogens containing | ||
This subclass is indented under subclass 463. Compounds which contain more than one amino nitrogen.
| |||
512 | Three or more amino nitrogens containing | ||
This subclass is indented under subclass 511. Compounds which contain three or more amino nitrogens.
| |||
![[Search a list of Patent Appplications for class 564]](../as.gif)
![[List of Patents for class 564 subclass 1]](../ps.gif)



















































































































































































































































































































































































