CLASS 552, | ORGANIC COMPOUNDS -- PART OF THE CLASS 532-570 SERIES |
| Click here for a printable version of this file | |
SUBCLASSES
1 | Azides | ||||||
This subclass is indented under subclass 1. Compounds under Class 532, ... , which contain the azide
group.
SEE OR SEARCH CLASS:
| |||||||
2 | With preservative or stabilizer |
| This subclass is indented under subclass 1. Products wherein the azide is mixed with a stabilizing or preserving agent, whose sole function is to prevent physical or chemical change. | |
3 | Phoshorus attached directly or indirectly to the azide group by nonionic bonding | ||
This subclass is indented under subclass 1. Compounds wherein the azide group is attached directly or
indirectly to phosphorus by nonionic bonding.
| |||
4 | Silicon, boron, aluminum or heavy metal containing | ||||
This subclass is indented under subclass 1. Compounds which contain silicon, boron, aluminum or heavy
metal.
| |||||
5 | Chalcogen or nitrogen bonded directly to the azide group (e.g., sulfonyl azides, etc.) | ||
This subclass is indented under subclass 1. Compounds wherein the azide group is bonded directly to
nitrogen or to chalcogen (i.e., oxygen, sulfur, selenium or tellurium).
| |||
6 | Having -C(=X)-, wherein X is chalcogen, bonded directly to the azide group | ||
This subclass is indented under subclass 1. Compounds wherein the azide group is bonded directly to
-C(=X)-, in which X is chalcogen (i.e., oxygen, sulfur,
selenium or tellurium).
| |||
7 | Chalcogen bonded directly to the -C(=X)- group | ||
This subclass is indented under subclass 6. Compounds wherein the-C(=X)- group is also bonded
directly to chalcogen.
| |||
8 | Benzene ring bonded directly to the azide group | ||
This subclass is indented under subclass 1. Compounds wherein the azide group is bonded directly to
a benzene ring.
| |||
9 | Cyclopentanohydrophenanthrene ring system containing | ||
This subclass is indented under subclass 1. Compounds which contain the cyclopentanohydrophenanthrene
ring system.
| |||
10 | Acyclic carbon bonded directly to the azide group | ||
This subclass is indented under subclass 1. Compounds wherein the azide group is bonded directly to
acyclic carbon.
| |||
11 | Nitrogen attached indirectly to the azide group by acyclic nonionic bonding (e.g., diazides, etc.) | ||
This subclass is indented under subclass 10. Compounds wherein the azide group is attached indirectly
to nitrogen by acyclic nonionic bonding.
| |||
12 | Having -C(=X)-, wherein X is chalcogen, attached indirectly to the azide group by acyclic nonionic bonding | ||
This subclass is indented under subclass 11. Compounds in which the azide group is attached indirectly
to -C(=X)-, wherein X is chalcogen (i.e., oxygen, sulfur,
selenium or tellurium), by acyclic nonionic bonding.
| |||
100 | Acyclic carbon bonded directly to three benzene rings and to cyano (e.g., triphenylacetonitrile, etc.) | ||
This subclass is indented under subclass 1. Compounds under Class 532, ... wherein three benzene rings
and a cyano group are bonded to the same acyclic carbon.
| |||
101 | Acyclic carbon bonded directly to three benzene rings or to two benzene rings and a cyclohexadienyl ring, which acyclic carbon may not be bonded to a fourth carbon (e.g., triphenylmethane dyestuffs, etc.) | ||||||
This subclass is indented under subclass 1. Compounds under Class 532, ... , wherein either (a) three
benzene rings or (b) two benzene rings and a cyclohexadienyl ring
are bonded directly to the same acyclic carbon, which acyclic carbon
may not be bonded to a fourth carbon.
| |||||||
102 | With preservative or stabilizer |
| This subclass is indented under subclass 101. Products , wherein the compound is mixed with a stabilizing or preserving agent, whose sole function is to prevent physical or chemical change. | |
103 | Heavy metal or alumium containing | ||||
This subclass is indented under subclass 101. Compounds which contain aluminum or heavy metal.
| |||||
104 | Nitrogen, sulfur, phosphorus, or peroxy attached directly to the acyclic carbon by nonionic bonding |
| This subclass is indented under subclass 101. Compounds wherein the acyclic carbon is attached directly to nitrogen, sulfur, phosphorus or peroxy by nonionic bonding. | |
105 | The acyclic carbon and an additional carbon are bonded directly to the same oxygen (ethers, esters, etc.) | ||
This subclass is indented under subclass 101. Compounds wherein the same oxygen is bonded both to the
acyclic carbon and to an additional carbon.
| |||
106 | One of the rings, or a polycyclo ring system containing one of the rings, is bonded directly to -N=C=O or to -C(=O)OH (wherein H may be replaced by a group IA or IIA light metal, or by substituted or unsubstituted ammonium) | ||
This subclass is indented under subclass 101. Compounds wherein-N=C=O or -C(=O)OH,
in which H may be replaced by Group IA or IIA light metal or by
substituted or unsubstituted ammonium, is bonded directly to one
of the rings or to a polycyclo ring system containing one of the
rings.
| |||
107 | Chalcogen bonded directly to the ring or ring system (e.g., salicyclic type, hydroxynaphthoic type, etc.) | ||
This subclass is indented under subclass 106. Compounds in which the ring, or the polycyclo ring system
containing the ring, is further bonded directly to chalcogen (i.e.,
oxygen, sulfur, selenium or tellurium).
| |||
108 | One of the rings is part of a polycyclo ring system (e.g., naphthyldiphenylcarbinol, etc.) | ||
This subclass is indented under subclass 101. Compounds wherein a polycyclo ring system is bonded directly
to the acyclic carbon.
| |||
109 | An acyclic alkylene group is bonded directly to nitrogen and to chalcogen, cyano, carbonyl or additional nitrogen (e.g., N-hydroxyalkyl, N cyanoalkyl, N-sulfatoalkyl, aminoalkylamino groups, etc.) | ||
This subclass is indented under subclass 101. Compounds wherein (a) nitrogen and (b) cyano, carbonyl,
additional nitrogen, or chalcogen (i.e., oxygen, sulfur, selenium
or tellurium) are bonded to the same acyclic alkylene group.
| |||
110 | One of the rings and a benzene ring are bonded directly to the same nitrogen (e.g., triphenylrosaniline, etc.) | ||
This subclass is indented under subclass 101. Compounds , wherein the same nitrogen is bonded to one of
the rings and to a benzene ring.
| |||
111 | Nitrogen, except as cyano, attached indirectly to a ring by acyclic nonionic bonding (e.g., benzyl rosanilines, etc.) | ||||
This subclass is indented under subclass 101. Compounds wherein a ring is attached to nitrogen, except
as cyano, by acyclic nonionic bonding.
| |||||
112 | Carbon bonded directly to -S(=O)(=O)OH (wherein H may be replaced by a group IA or IIA light metal, or by substituted or unsubstituted ammonium; i.e., sulfonic acids and salts thereof) |
| This subclass is indented under subclass 101. Compounds wherein-S(=O)(=O)OH, in which H may be replaced by a Group IA or IIA light metal or by substituted or unsubstituted ammonium, is bonded directly to carbon. | |
113 | Nitrogen bonded directly to one of the rings (e.g., malachite green, rosophenoline, etc.) |
| This subclass is indented under subclass 101. Compounds wherein one of the rings is bonded directly to nitrogen. | |
114 | Nitrogen bonded directly to each of the rings (e.g., rosaniline, crystal violet, etc.) |
| This subclass is indented under subclass 113. Compounds wherein each of the rings is bonded directly to nitrogen. | |
115 | Chalcogen bonded directly to one of the rings (e.g., fuchsone, etc.) |
| This subclass is indented under subclass 101. Compounds wherein one of the rings is bonded directly to chalcogen (i.e., oxygen, sulfur, selenium or tellurium). | |
200 | Tetracyclo naphthacene configured ring system having at least one double bond between ring members and having oxygen bonded directly to a carbon of an interior ring which carbon is a member of one ring only | ||||
This subclass is indented under subclass 1. Compounds under Class 532, ... having the tetracyclo naphthacene
ring configuration with at least one double bond between ring members and
having oxygen bonded directly to a carbon of an interior ring, of
the ring system, which carbon is a member of one ring only.
| |||||
201 | Two oxygens double bonded directly to the interior ring in para positions | ||
This subclass is indented under subclass 200. Compounds wherein the interior ring, of the tetracyclo naphthacene
configured ring system, has two oxygens double bonded directly thereto
in para positions.
| |||
202 | At least six oxygens bonded directly to the tetracyclo ring system | ||
This subclass is indented under subclass 200. Compounds wherein the tetracyclo naphthacene configured
ring system has at least six oxygens bonded directly thereto.
| |||
203 | Nitrogen and carbonyl or cyano bonded directly to the tetracyclo ring system (e.g., tetracycline, etc.) | ||
This subclass is indented under subclass 202. Compounds wherein the tetracyclo ring system has nitrogen
and either the cyano or carboxyl group bonded directly to the same
ring, e.g., tetracycline, etc.
| |||
204 | Carbon double bonded directly to the tetracyclo ring system (e.g., 6 methylene tetracycline, etc.) | ||
This subclass is indented under subclass 203. Compounds which additionally have carbon double bonded directly
to the tetracyclo ring system, e.g., 6-methylene tetracycline, etc.
| |||
205 | Plural nitrogens bonded directly to the tetracyclo ring system | ||
This subclass is indented under subclass 203. Compounds wherein the tetracyclo ring system has plural
nitrogens bonded directly thereto.
| |||
206 | Processes |
| This subclass is indented under subclass 203. Processes of preparing, purifying or recovering the tetracyclo ring system compounds which have nitrogen and cyano or carbonyl bonded directly to them. | |
207 | Heavy metal or aluminum containing material utilized |
| This subclass is indented under subclass 206. Processes in which an aluminum or heavy metal containing material is utilized. | |
208 | Polycyclo ring system containing anthracene configured ring system having at least one double bond between ring members and having oxygen single bonded or any atom double bonded directly at the 9- and 10-positions (e.g., anthraquinones, etc.) | ||||||||
This subclass is indented under subclass 1. Compounds under Class 532, ... , having a polycyclo ring
system which is or contains the anthracene ring configuration with
at least one double bond between ring members and having oxygen
single bonded or any atom double bonded directly to the ring system
at the 9- and 10- positions.
| |||||||||
209 | Phosphorus, selenium, silicon, heavy metal or aluminum containing | ||
This subclass is indented under subclass 208. Compounds which contain phosphorus, selenium, silicon, heavy
metal or aluminum.
| |||
210 | Nitrogen or carbon double bonded directly at the 9- or 10-position | ||
This subclass is indented under subclass 208. Compounds wherein nitrogen or carbon is double bonded directly
at the 9- or 10- position of the ring system.
| |||
211 | Sulfur bonded directly to oxygen which is single bonded directly at the 9- or 10-position | ||
This subclass is indented under subclass 208. Compounds wherein sulfur is bonded directly to the oxygen
which is single bonded directly to the 9- or 10- position of the
ring system.
| |||
212 | The polycyclo ring system is bonded directly to an additional polycyclo ring system having at least three cyclos (e.g., plural anthracene configured ring systems bonded directly to each other, etc.) | ||
This subclass is indented under subclass 208. Compounds wherein the polycyclo ring system is bonded directly
to an additional polycyclo ring system which has at least three
cyclos.
| |||
213 | The polycyclo ring system and an additional polycyclo ring system having at least three cyclos are bonded directly to the same atom (e.g., plural anthracene configured ring systems bonded directly to the same sulfur, etc.) | ||
This subclass is indented under subclass 208. Compounds wherein the polycyclo ring system and an additional
polycyclo ring system which has at least three cyclos are bonded
directly to the same atom.
| |||
214 | The atom is nitrogen (e.g., anthrimides, etc.) | ||
This subclass is indented under subclass 213. Compounds wherein nitrogen is the atom.
| |||
215 | At least five cyclos in the polycyclo ring system | ||
This subclass is indented under subclass 214. Compounds wherein the polycyclo ring system has at least
five cyclos.
| |||
216 | The polycyclo ring system is tetracyclic | ||
This subclass is indented under subclass 214. Compounds wherein the polycyclo ring system is tetracyclic,
i.e., is composed of four rings.
| |||
217 | Nitrogen, oxygen, sulfur, carbon or halogen bonded directly at beta position of the anthracene configured ring system (i.e., 2-, 3-, 6- or 7 position) | ||
This subclass is indented under subclass 214. Compounds wherein the anthracene configured ring system
has halogen, sulfur, oxygen, nitrogen or additional carbon bonded
directly to a beta position.
| |||
218 | The polycyclo ring system is attached indirectly by nonionic bonding to an additional polycyclo ring system having at least three cyclos (e.g., plural anthracene ring systems attached indirectly to each other by nonionic bonding, etc.) | ||
This subclass is indented under subclass 208. Compounds wherein a polycyclo ring system having at least
three cyclos is attached indirectly to the anthracene configured
ring system by nonionic bonding.
| |||
219 | Nitrogen, oxygen, sulfur, carbon or halogen bonded directly at beta position of the anthracene configured ring system (i.e. 2-, 3-, 6- or 7 position) | ||
This subclass is indented under subclass 218. Compounds wherein the anthracene configured ring system
has halogen, sulfur, oxygen, nitrogen or additional carbon bonded
directly at the beta position (i.e., 2-, 3-, 6- or 7- position).
| |||
220 | The polycyclo ring system contains at least four cyclos | ||
This subclass is indented under subclass 208. Compounds wherein the anthracene configured ring system
is a part of a polycyclo ring system which has at least four cyclos.
| |||
221 | Sulfur bonded directly at beta position (i.e., 2-, 3-, 6- or 7-position) | ||
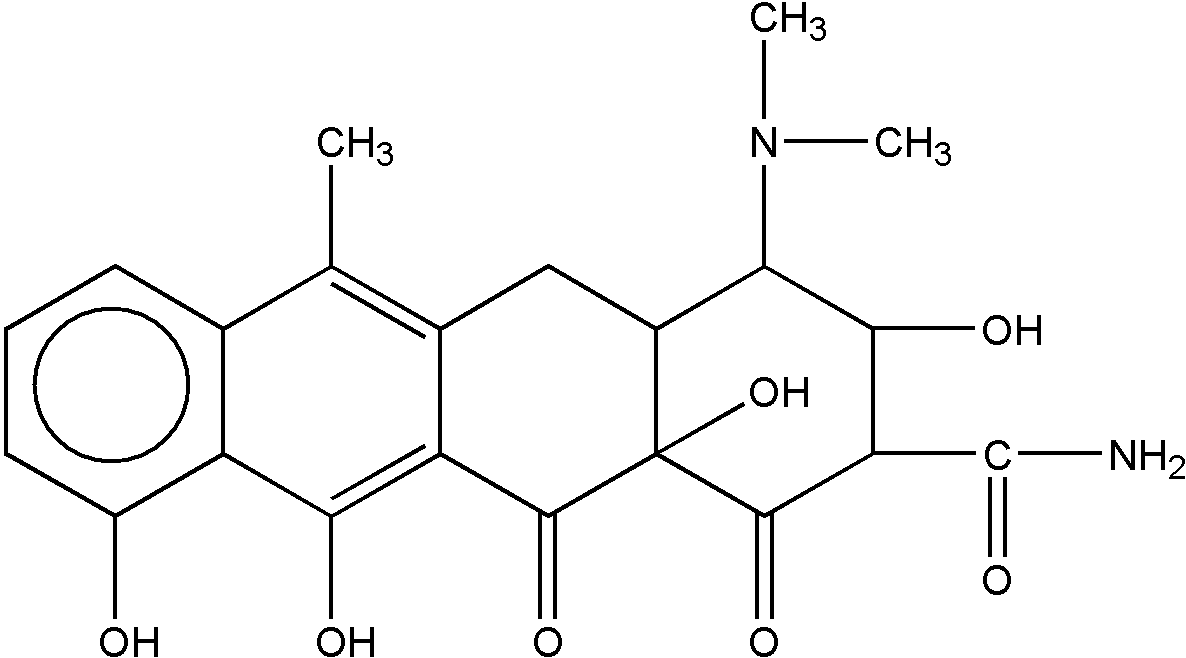
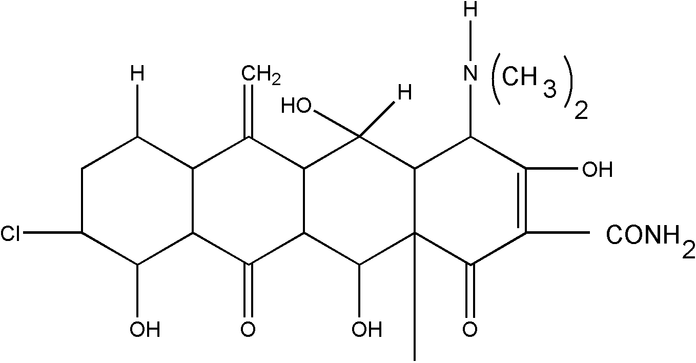
This subclass is indented under subclass 208. Compounds wherein a beta position (i.e., 2-, 3-, 6-, or
7- position) of the anthracene ring system has at least one sulfur
bonded directly thereto.
| |||
222 | Nitrogen or additional sulfur bonded directly to the sulfur | ||
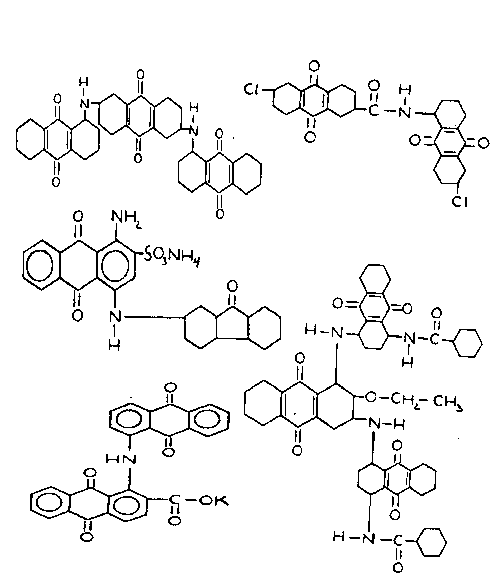
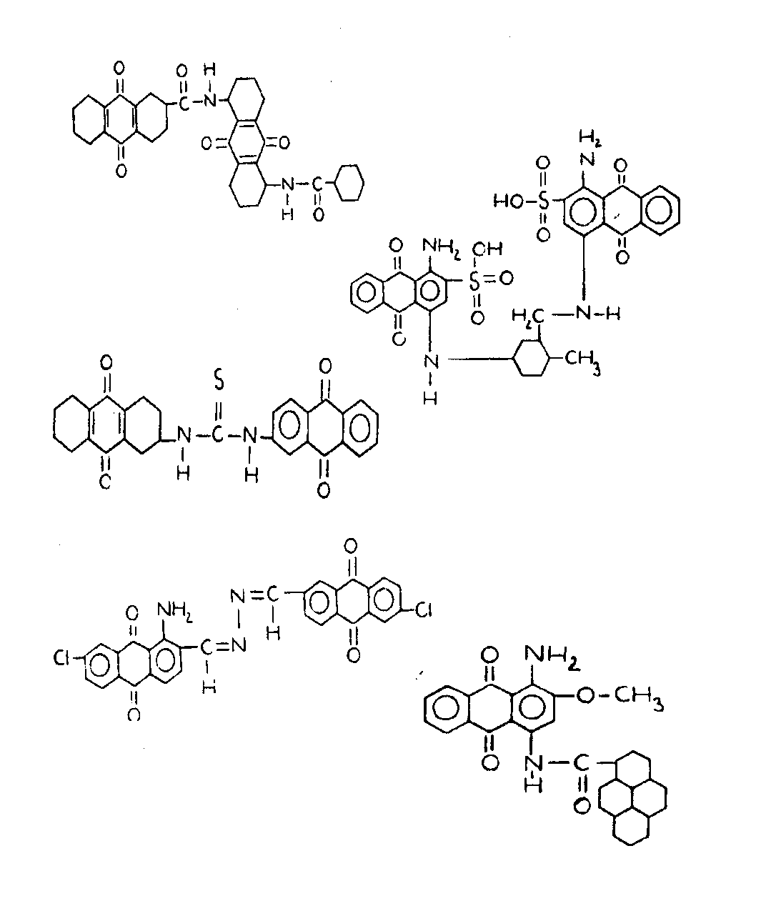
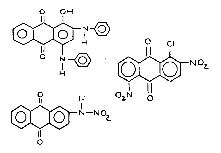
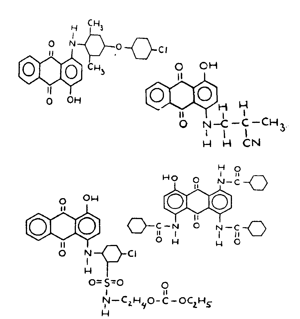
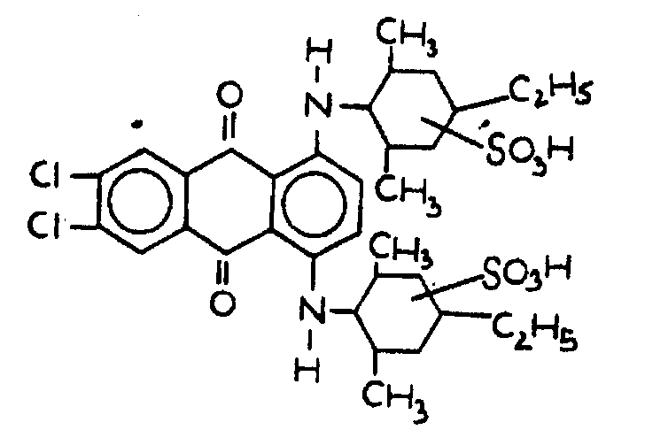
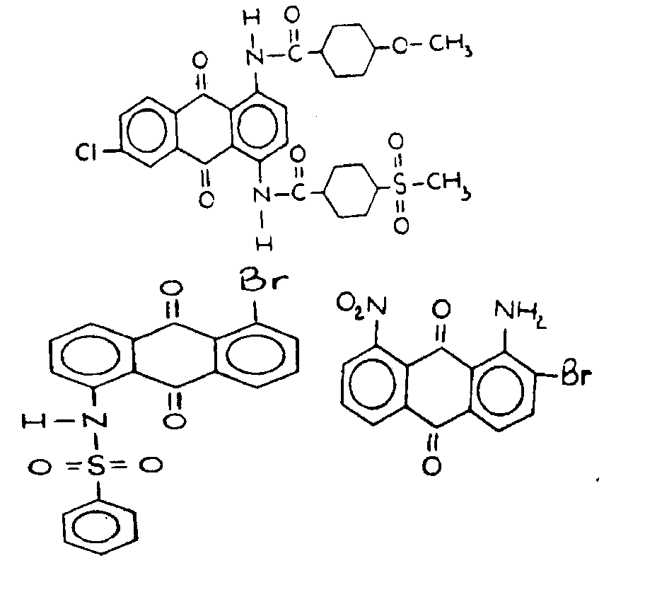
This subclass is indented under subclass 221. Compounds wherein the sulfur has nitrogen or additional
sulfur bonded directly thereto.
| |||
223 | Additional carbon bonded directly to the sulfur | ||
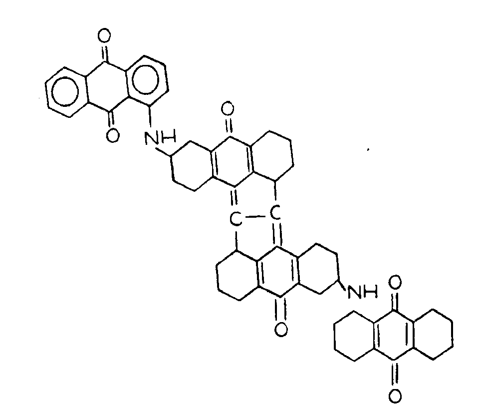
This subclass is indented under subclass 221. Compounds wherein the sulfur has additional carbon bonded
directly thereto.
| |||
224 | Carbonyl, nitrogen, oxygen or halogen bonded directly at beta position (i.e., 2-, 3-, 6- or 7-position) | ||
This subclass is indented under subclass 221. Compounds wherein a beta position (i.e., 2-, 3-, 6- or 7-
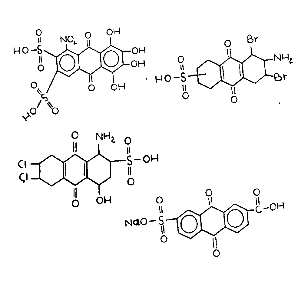
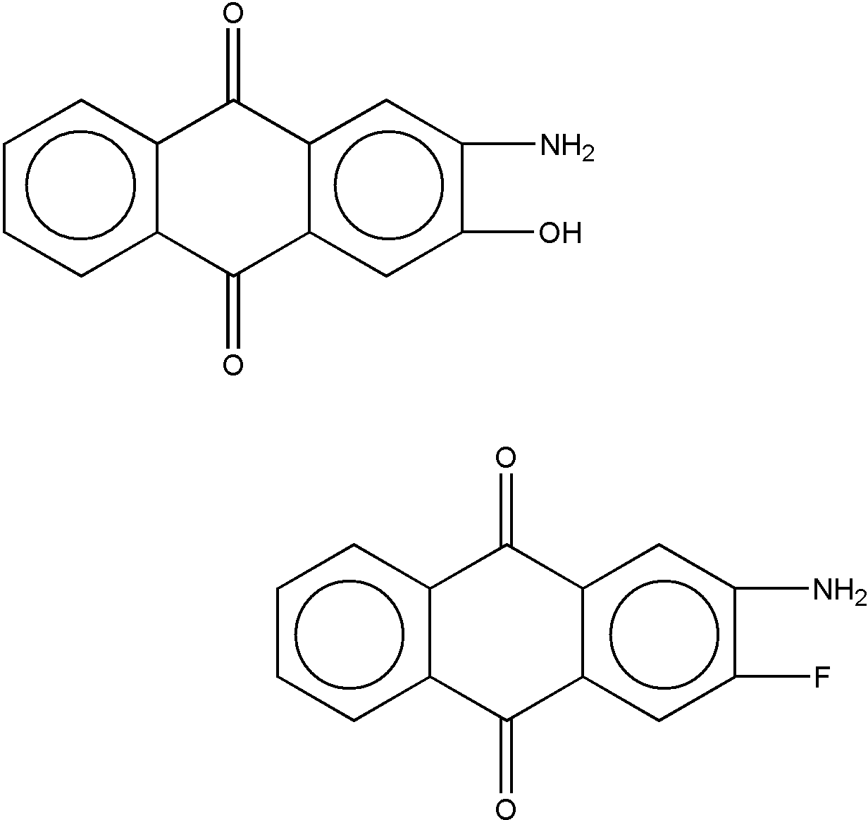
position) of the anthracene configured ring system has halogen,
oxygen, nitrogen or carbonyl bonded directly thereto.
| |||
225 | Nitrogen bonded directly at alpha position (i.e., 1-, 4-, 5- or 8-position) | ||
This subclass is indented under subclass 221. Compounds wherein an alpha position (i.e., 1-, 4-, 5-, or
8- position) of the anthracene configured ring system has nitrogen
bonded thereto.
| |||
226 | Oxygen, sulfur or halogen bonded directly at alpha position (i.e., 1-, 4-, 5- or 8-position) | ||
This subclass is indented under subclass 225. Compounds wherein an alpha position (i.e., 1-, 4-, 5-, or
8- position) of the anthracene configured ring system has halogen,
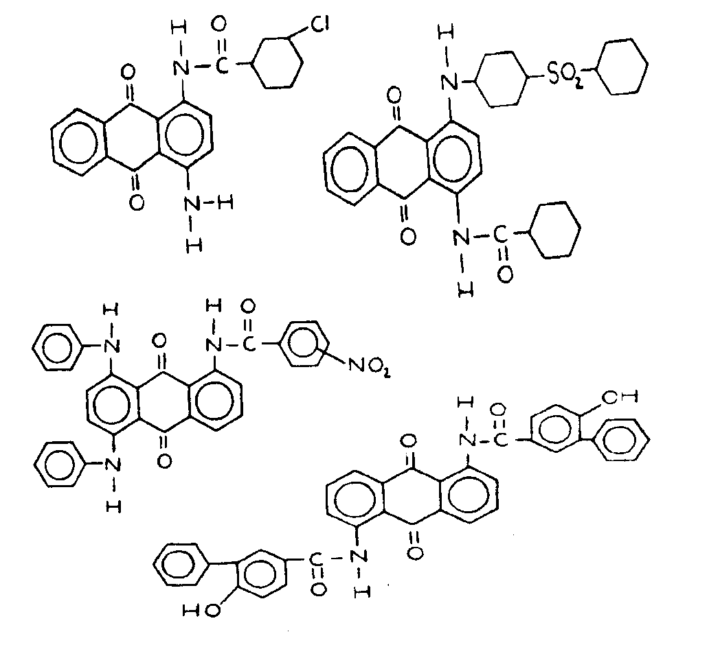
sulfur or oxygen bonded directly thereto.
| |||
227 | Plural nitrogens, plural oxygens, plural sulfurs, or plural halogens bonded directly at alpha positions | ||
This subclass is indented under subclass 226. Compounds wherein at least two alpha positions (i.e., 1-,
4-, 5-, or 8- position) of the anthracene configured ring system
have the same atom bonded directly thereto.
| |||
228 | Additional ring containing | ||
This subclass is indented under subclass 225. Compounds which contain at least one additional ring.
| |||
229 | Containing cyano or containing nitrogen bonded directly to sulfur (e.g., sulfonamide containing, etc.) | ||
This subclass is indented under subclass 228. Compounds which contain cyano or contain nitrogen bonded
directly to sulfur.
| |||
230 | Acyclic carbonyl or thiocarbonyl containing (e.g., thiocarboxamide containing, etc.) | ||
This subclass is indented under subclass 228. Compounds which contain acyclic carbonyl or thiocarbonyl.
| |||
231 | Oxygen, sulfur or halogen bonded directly to the additional ring | ||
This subclass is indented under subclass 230. Compounds wherein the additional ring has halogen, sulfur
or oxygen bonded directly thereto.
| |||
232 | Oxygen, sulfur, nitro or halogen bonded directly to the additional ring | ||
This subclass is indented under subclass 228. Compounds wherein the additional ring has halogen, nitro,
sulfur or oxygen bonded directly thereto.
| |||
233 | Plural additional rings containing | ||
This subclass is indented under subclass 232. Compounds which contain plural additional rings.
| |||
234 | Sulfur bonded directly at alpha position (i.e., 1-, 4-, 5- or 8-position) | ||
This subclass is indented under subclass 208. Compounds wherein an alpha position (i.e., 1-, 4-, 5-, or
8- position) of the anthracene configured ring system has sulfur
bonded directly thereto.
| |||
235 | Nitrogen or halogen bonded directly to the anthracene configured ring system | ||
This subclass is indented under subclass 234. Compounds wherein the anthracene configured ring system
has halogen or nitrogen bonded directly thereto.
| |||
236 | Nitrogen bonded directly at beta position (i.e., 2-, 3-, 6- or 7-position) | ||
This subclass is indented under subclass 208. Compounds wherein a beta position (i.e., 2-, 3-, 6-, or
7- position) of the anthracene configured ring system has nitrogen
bonded directly thereto.
| |||
237 | Oxygen, nitrogen or additional carbon bonded directly to the nitrogen | ||
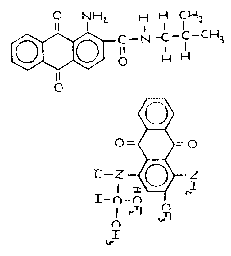
This subclass is indented under subclass 236. Compounds wherein the nitrogen has an additional carbon,
an additional nitrogen or oxygen bonded directly thereto.
| |||
238 | Nitrogen bonded directly at alpha position (i.e., 1-, 4-, 5- or 8-position) | ||
This subclass is indented under subclass 208. Compounds wherein an alpha position (i.e., 1-, 4-, 5-, or
8- position) of the anthracene configured ring system has nitrogen
bonded directly thereto.
| |||
239 | Cyano bonded directly to the anthracene configured ring system | ||
This subclass is indented under subclass 238. Compounds wherein the anthracene configured ring system
has cyano bonded directly thereto.
| |||
240 | Oxygen bonded directly at beta position (i.e., 2-, 3-, 6- or 7-position) | ||
This subclass is indented under subclass 238. Compounds wherein a beta position (i.e., 2-, 3-, 6-, or
7- position) of the anthracene ring system has oxygen bonded directly
thereto.
| |||
241 | Additional carbon bonded directly to the oxygen | ||
This subclass is indented under subclass 240. Compounds wherein the oxygen has an additional carbon bonded
directly thereto.
| |||
242 | The additional carbon is part of a ring | ||
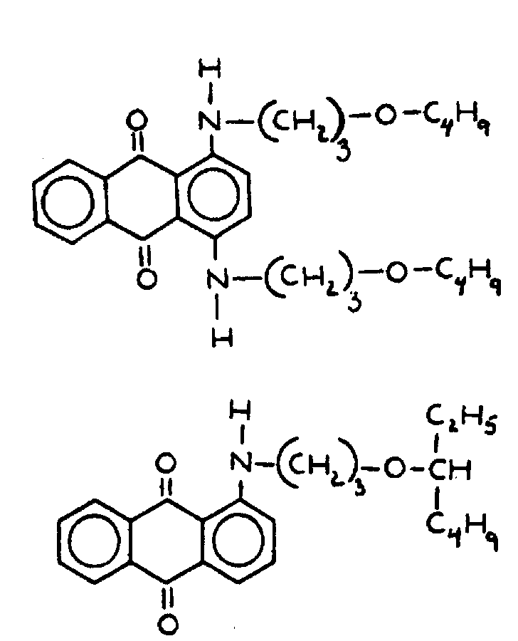
This subclass is indented under subclass 241. Compounds wherein the additional carbon is part of a ring.
| |||
243 | Oxygen bonded directly at alpha position (i.e., 1-, 4-, 5- or 8-position) | ||
This subclass is indented under subclass 238. Compounds wherein oxygen is bonded directly to a remaining
alpha position (i.e., 1-, 4-, 5- or 8- position) of the anthracene
configured ring system.
| |||
244 | Halogen bonded directly to the anthracene configured ring system | ||
This subclass is indented under subclass 243. Compounds wherein the anthracene configured ring system
has halogen bonded directly thereto.
| |||
245 | Carbon bonded directly to the anthracene configured ring system | ||
This subclass is indented under subclass 243. Compounds wherein the anthracene configured ring system
has carbon bonded directly thereto.
| |||
246 | Oxygen bonded directly to the nitrogen (e.g., nitro bonded directly at 8 position, etc.) | ||
This subclass is indented under subclass 243. Compounds wherein the nitrogen has oxygen bonded directly
thereto.
| |||
247 | Additional carbon bonded directly to the nitrogen | ||
This subclass is indented under subclass 243. Compounds wherein the nitrogen has additional carbon bonded
directly thereto.
| |||
248 | Cyano, carboxamide, sulfonamide or halogen containing | ||
This subclass is indented under subclass 247. Compounds which contain halogen, sulfonamide, carboxamide
or cyano.
| |||
249 | Halogen bonded directly to the anthracene configured ring system | ||
This subclass is indented under subclass 238. Compounds wherein the anthracene configured ring system
has halogen bonded directly thereto.
| |||
250 | Carbonyl, oxygen or sulfur bonded directly to he nitrogen | ||
This subclass is indented under subclass 249. Compounds wherein the nitrogen has sulfur, oxygen or carbonyl
bonded directly thereto.
| |||
251 | Carbon bonded directly to the anthracene configured ring system | ||
This subclass is indented under subclass 238. Compounds wherein the anthracene configured ring system
has carbon bonded directly thereto.
| |||
252 | Nitrogen or halogen bonded directly to the carbon (e.g., carboxamide bonded directly to the anthracene configured ring system, etc.) | ||
This subclass is indented under subclass 251. Compounds wherein the carbon has halogen or nitrogen bonded
directly thereto.
| |||
253 | Oxygen or sulfur bonded directly to the nitrogen (e.g., 1- nitroanthraquinone, etc.) | ||
This subclass is indented under subclass 238. Compounds wherein the nitrogen has sulfur or oxygen bonded
directly thereto.
| |||
254 | Plural nitrogens bonded directly at alpha positions (i.e., 1-, 4-, 5- or 8 positions, e.g., 1, 5- dinitroanthraquinones, etc.) | ||
This subclass is indented under subclass 253. Compounds wherein an additional nitrogen is bonded directly
to a remaining alpha position (i.e., 1-, 4-, 5-, or 8- position)
of the anthracene configured ring system.
| |||
255 | Additional carbon bonded directly to the nitrogen | ||
This subclass is indented under subclass 238. Compounds wherein the nitrogen has an additional carbon
bonded directly thereto.
| |||
256 | The additional carbon is part of a carbonyl group (i.e., carboxamido bonded directly at alpha position) | ||
This subclass is indented under subclass 255. Compounds wherein the additional carbon is part of a carbonyl
group (i.e., -N - C-).
| |||
257 | Nitrogen, oxygen, sulfur or halogen bonded directly to an additional ring | ||
This subclass is indented under subclass 256. Compounds wherein halogen, sulfur, oxygen or nitrogen is
bonded directly to an additional ring.
| |||
258 | The additional carbon is part of a ring or ring system | ||
This subclass is indented under subclass 255. Compounds wherein the additional carbon is part of a ring
or a fused ring system.
| |||
259 | Oxygen, sulfur or halogen bonded directly to the ring or ring system | ||
This subclass is indented under subclass 258. Compounds wherein the ring or fused ring system has halogen,
sulfur or oxygen bonded directly thereto.
| |||
260 | Acyclic carbonyl, sulfur or halogen containing | ||
This subclass is indented under subclass 255. Compounds which contain halogen, sulfur or acyclic carbonyl.
| |||
261 | Oxygen bonded directly at beta position (i.e., 2-, 3-, 6- or 7-position) | ||
This subclass is indented under subclass 208. Compounds wherein at least one beta position (i.e., 2-,
3-, 6-, or 7- position) of the anthracene configured ring system
has oxygen bonded directly thereto.
| |||
262 | Oxygen bonded directly at alpha position (i.e., 1-, 4-, 5-, or 8-position) | ||
This subclass is indented under subclass 208. Compounds wherein at least one alpha position (i.e., 1-,
4-, 5-, or 8- position) of the anthracene configured ring system
has oxygen bonded directly thereto.
| |||
263 | Halogen bonded directly at beta position (i.e., 2-, 3-, 6-, or 7-position) | ||
This subclass is indented under subclass 208. Compounds wherein at least one beta position (i.e., 2-,
3-, 6-, or 7- position) of the anthracene configured ring system
has halogen bonded directly thereto.
| |||
264 | Halogen bonded directly at alpha position (i.e., 1-, 4-, 5- or 8-position) | ||
This subclass is indented under subclass 208. Compounds wherein at least one alpha position (i.e., 1-,
4-, 5-, or 8- position) of the anthracene configured ring system
has halogen bonded directly thereto.
| |||
265 | Carbon bonded directly at beta position (i.e., 2-, 3-, 6- or 7-position) | ||
This subclass is indented under subclass 208. Compounds wherein at least one beta position (i.e., 2-,
3-, 6-, or 7- position) of the anthracene configured ring system
has carbon bonded directly thereto.
| |||
266 | Nitrogen, halogen or additional oxygen containing | ||
This subclass is indented under subclass 265. Compounds which contain halogen, nitrogen or additional
oxygen.
| |||
267 | Carbon bonded directly at alpha position (i.e., 1-, 4-, 5- or 8-position) | ||
This subclass is indented under subclass 208. Compounds wherein at least one alpha position (i.e., 1-,
4-, 5-, or 8- position) of the anthracene configured ring system
has carbon bonded directly thereto.
| |||
268 | Processes of forming anthraquinone per se or enolic form thereof by reacting an organic acid, aldehyde, anhydride or an indane (e.g., reacting phthalic anhydride, methyl phenylindane, etc.) |
| This subclass is indented under subclass 208. Processes of forming anthraquinone, per se, or an enolic form thereof by utilizing an organic acid, an aldehyde, an anhydride or an indane as one of the reactants. | |
269 | Processes of forming anthraquinone per se or enolic form thereof utilizing heavy metal containing material (e.g., vanadium catalyst utilized, etc.) |
| This subclass is indented under subclass 208. Processes wherein a heavy metal containing material is utilized to form anthraquinone, per se, or an enolic form thereof. | |
270 | Light metal or nitrogen containing material utilized (e.g., ceric ammonium nitrate catalyst utilized, etc.) |
| This subclass is indented under subclass 269. Processes wherein either a nitrogen containing material or a light metal containing material is utilized. | |
271 | Polycyclo ring system containing anthracene configured ring system having at least one double bond between ring members and having oxygen single bonded or any atom double bonded direct at the 9- or 10-position (e.g., anthrones, anthranois, etc.) | ||||
This subclass is indented under subclass 1. Compounds under Class 532, ... , having a polycyclo ring
system which is or contains the anthracene configured ring system
has at least one double bond between ring members and has oxygen
single bonded or any atom double bonded directly at the 9- or 10-
position of the ring system.
| |||||
272 | Phosphorus, selenium, tellurium, or heavy metal containing | ||
This subclass is indented under subclass 271. Compounds which contain heavy metal, tellurium, selenium,
or phosphorus.
| |||
273 | The polycyclo ring system is bonded directly to an additional polycyclo ring system having at least three cyclo (e.g., plural anthracene configured ring systems bonded directly to each other, etc.) | ||
This subclass is indented under subclass 271. Compounds wherein the polycyclo ring system is bonded directly
to an additional polycyclo ring system having at least three cyclos.
| |||
274 | The polycyclo ring system is attached indirectly by nonionic bonding to an additional polycyclo ring system having a least three cyclos (e.g., plural anthracene configured ring systems bonded directly to the same nitrogen, etc.) | ||
This subclass is indented under subclass 271. Compounds wherein the polycyclo ring system is attached
by nonionic bonding indirectly to an additional polycyclo ring system
which has at least three cyclos.
| |||
275 | The polycyclo ring system has at least ten cyclos | ||
This subclass is indented under subclass 271. Compounds wherein the anthracene configured ring system
is part of a polycyclo ring system which has at least ten cyclos.
| |||
276 | The polycyclo ring system has nine cyclos | ||
This subclass is indented under subclass 271. Compounds wherein the anthracene configured ring system
is part of a nonacyclo ring system, i.e., a ring system composed
of exactly nine cycles.
| |||
277 | Cyano, nitrogen or sulfur bonded directly to the nonacyclo ring system | ||
This subclass is indented under subclass 276. Compounds wherein the nonacyclo ring system has sulfur,
nitrogen or cyano bonded directly thereto.
| |||
278 | Halogen containing or processes wherein a halogen containing material is utilized | ||
This subclass is indented under subclass 277. Compounds which contain halogen or processes under subclass
277 wherein a halogen containing material is utilized.
| |||
279 | Oxygen single bonded directly to the nonacyclo ring system | ||
This subclass is indented under subclass 276. Compounds wherein the nonacyclo ring system has oxygen single
bonded directly thereto.
| |||
280 | Halogen or light metal containing or processes wherein a halogen or light metal containing is utilized | ||
This subclass is indented under subclass 279. Compounds which contain halogen or light metal or processes
under subclass 279 wherein a halogen or light metal material is
utilized.
| |||
281 | Halogen containing | ||
This subclass is indented under subclass 276. Compounds which contain halogen.
| |||
282 | The polycyclo ring system has seven or eight cyclos | ||
This subclass is indented under subclass 271. Compounds wherein the anthracene configured ring system
is part of a ring system composed of seven or eight cycles.
| |||
283 | Halogen containing | ||
This subclass is indented under subclass 282. Compounds which contain halogen.
| |||
284 | The polycyclo ring system has five of six cyclos | ||
This subclass is indented under subclass 271. Compounds wherein the anthracene configured ring system
is part of a ring system composed of five or six cycles.
| |||
285 | Halogen containing | ||
This subclass is indented under subclass 284. Compounds which contain halogen.
| |||
286 | The polycyclo ring system has four cyclos (e.g., benzanthrones, etc.) | ||
This subclass is indented under subclass 271. Compounds wherein the anthracene configured ring system
is part of a ring system composed of four cyclos.
| |||
287 | Cyano, carbonyl, nitrogen or sulfur bonded directly to the tetracyclo ring system | ||
This subclass is indented under subclass 286. Compounds wherein the tetracyclo ring system has sulfur,
nitrogen, carbonyl or cyano bonded directly thereto.
| |||
288 | Halogen or carbon bonded directly to the tetracyclo ring system | ||
This subclass is indented under subclass 286. Compounds wherein the tetracyclo ring system has carbon
or halogen bonded directly thereto.
| |||
289 | Nitrogen or sulfur bonded directly to the anthracene configured ring system | ||
This subclass is indented under subclass 271. Compounds wherein the anthracene configured ring system
has sulfur or nitrogen bonded directly thereto.
| |||
290 | Carbon, halogen or plural oxygens bonded directly to the anthracene configured ring system | ||
This subclass is indented under subclass 271. Compounds wherein the anthracene configured ring system
has halogen, carbon or plural oxygens bonded directly thereto.
| |||
291 | Cyclohexadiene having atoms double bonded directly at the 1- and 2- positions (e.g., orthoquinones, etc.) | ||||
This subclass is indented under subclass 1. Compounds under Class 532, ... , wherein atoms are double
bonded directly to the 1- and 2- positions of a cyclohexadiene ring.
| |||||
292 | Polycyclo ring system having the cyclohexadiene as one of the cyclos | ||
This subclass is indented under subclass 291. Compounds wherein the cyclohexadiene is one of the cyclos
in a polycyclo ring system.
| |||
293 | Cyclohexadiene having atoms double bonded directly at the 1- and 4- positions (e.g., paraquinones, etc.) | ||||
This subclass is indented under subclass 1. Compounds under Class 532, ... , wherein atoms are double
bonded directly at the 1- and 4- positions of a cyclohexadiene ring.
| |||||
294 | Phosphorus, heavy metal or aluminum containing | ||
This subclass is indented under subclass 293. Compounds which contain aluminum, heavy metal or phosphorus.
| |||
295 | Polycyclo ring system having the cyclohexadiene as one of the cyclos | ||
This subclass is indented under subclass 293. Compounds wherein the cyclohexadiene is part of a polycyclo
ring system.
| |||
296 | Oxygen double bonded directly at the 1- and 4- positions | ||
This subclass is indented under subclass 295. Compounds wherein oxygen is double bonded directly at the
1- and 4- positions.
| |||
297 | Nitrogen or halogen bonded directly to the polycyclo ring system | ||
This subclass is indented under subclass 296. Compounds wherein the polycyclo ring system has halogen
or nitrogen bonded directly thereto.
| |||
298 | Chalcogen single bonded directly to the polycyclo ring system | ||
This subclass is indented under subclass 296. Compounds wherein the polycyclo ring system has chalcogen
(i.e., oxygen, sulfur, selenium or tellurium) single bonded directly
thereto.
| |||
299 | Carbon bonded directly to the polycyclo ring system | ||
This subclass is indented under subclass 296. Compounds wherein the polycyclo ring system has carbon bonded
directly thereto.
| |||
300 | Plural oxygens and plural nitrogens bonded directly to the polycyclo ring system | ||
This subclass is indented under subclass 295. Compounds wherein the polycyclo ring system has at least
two oxygens and at least two nitrogens bonded directly thereto.
| |||
301 | Nitrogen double bonded directly at the 1- and 4- positions | ||
This subclass is indented under subclass 293. Compounds wherein the 1- and 4- positions of the cyclohexadiene
have nitrogen double bonded directly thereto.
| |||
302 | Nitrogen double bonded directly at the 1- or 4- positions | ||
This subclass is indented under subclass 293. Compounds wherein the 1- or 4- position of the cyclohexadiene
has nitrogen double bonded directly thereto.
| |||
303 | Carbon double bonded directly at the 1- and 4- positions | ||
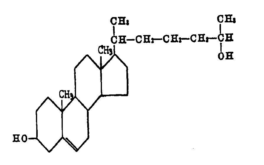
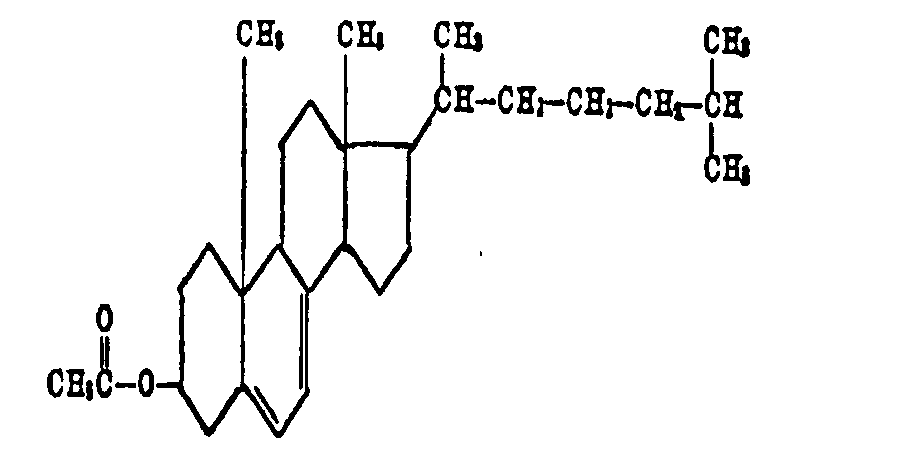
This subclass is indented under subclass 293. Compounds wherein the 1- and 4- positions of the cyclohexadiene
have carbon double bonded directly thereto.
| |||
304 | Carbon double bonded directly at the 1- or 4- position | ||
This subclass is indented under subclass 293. Compounds wherein the 1- or 4- position of the cyclohexadiene
has carbon double bonded directly thereto.
| |||
305 | Sulfur bonded directly at the 2-, 3-, 5- or 6- position | ||
This subclass is indented under subclass 293. Compounds wherein sulfur is bonded directly to any of the
remaining positions of the cyclohexadiene ring (i.e., 2-, 3-, 5-,
or 6- position).
| |||
306 | Nitrogen bonded directly at the 2-, 3-, 5- or 6- position | ||
This subclass is indented under subclass 293. Compounds wherein nitrogen is bonded directly to any of
the remaining positions of the cyclohexadiene ring (i.e., 2-, 3-,
5-, or 6- position).
| |||
307 | Oxygen bonded directly at the 2-, 3-, 5-, or 6- position | ||
This subclass is indented under subclass 293. Compounds wherein oxygen is bonded directly to any of the
remaining positions of the cyclohexadiene ring (i.e., 2-, 3-, 5-,
or 6- position).
| |||
308 | Halogen bonded directly at the 2-, 3-, 5-, or 6- position | ||
This subclass is indented under subclass 293. Compounds wherein halogen is bonded directly to any of the
remaining positions of the cyclohexadiene ring (i.e., 2-, 3-, 5-,
or 6- position).
| |||
309 | Carbon donded directly at the 2-, 3-, 5- or 6- position | ||
This subclass is indented under subclass 293. Compounds wherein carbon is bonded directly to any of the
remaining positions of the cyclohexadiene ring (i.e., 2-, 3-, 5-,
or 6- position).
| |||
310 | At least three carbons bonded directly to the cyclohexadiene | ||
This subclass is indented under subclass 309. Compounds wherein at least three carbons are bonded directly
to the cyclohexadiene ring.
| |||
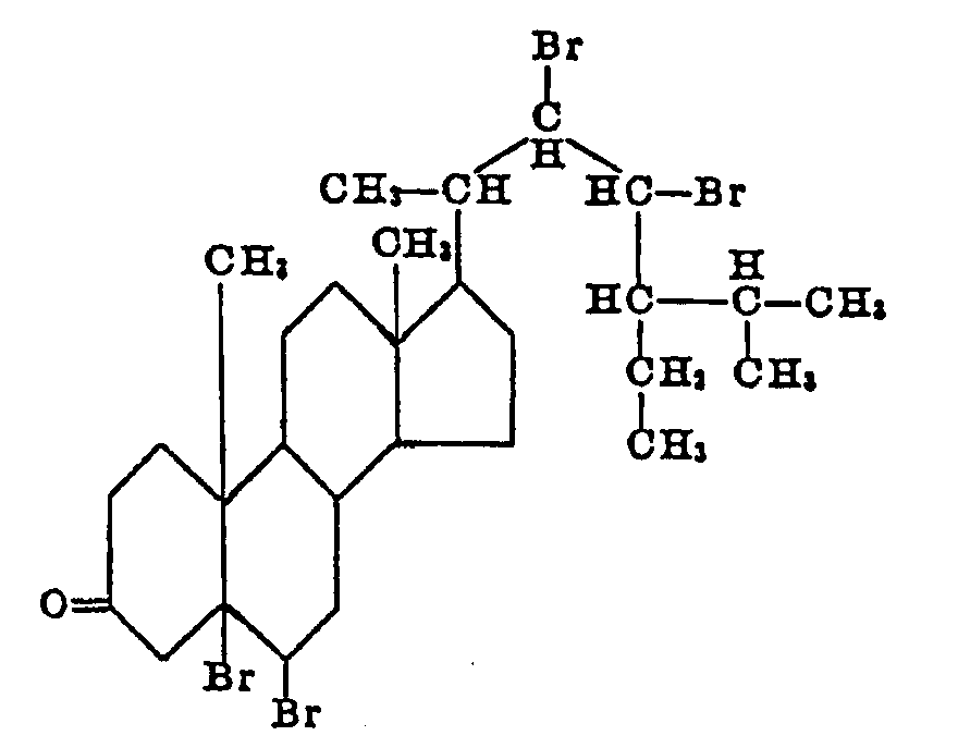
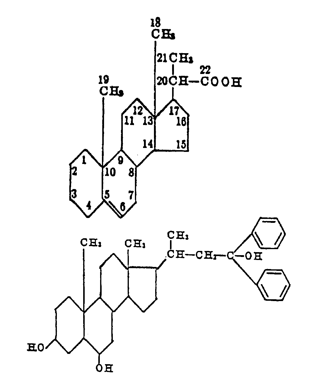
500 | Cyclopentanohydrophenanthrene ring system wherein two nonadjacent carbons of the ring system are bonded directly to each other (e.g., 3,5 cyclocholesterols, 3,5-cycloandrostanes, etc.) | ||
This subclass is indented under subclass 1. Compounds under Class 532, ... , containing a cyclopentano-hydrophenanthrene
ring system configuration wherein two nonadjacent carbons of the
ring system are bonded directly to each other and which may contain
double bonds between ring members.
| |||
501 | Oxygen bonded directly at the 6-position of the cyclopentanohydrophenanthrene ring system | ||
This subclass is indented under subclass 500. Compounds wherein oxygen is bonded directly at the 6-position
of the cyclopentanohydrophenanthrene ring system.
| |||
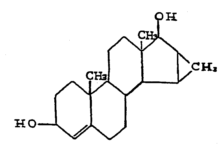
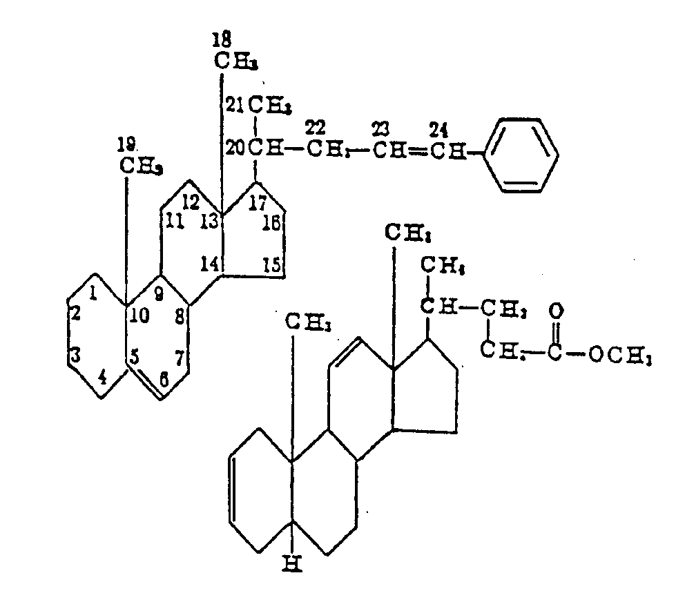
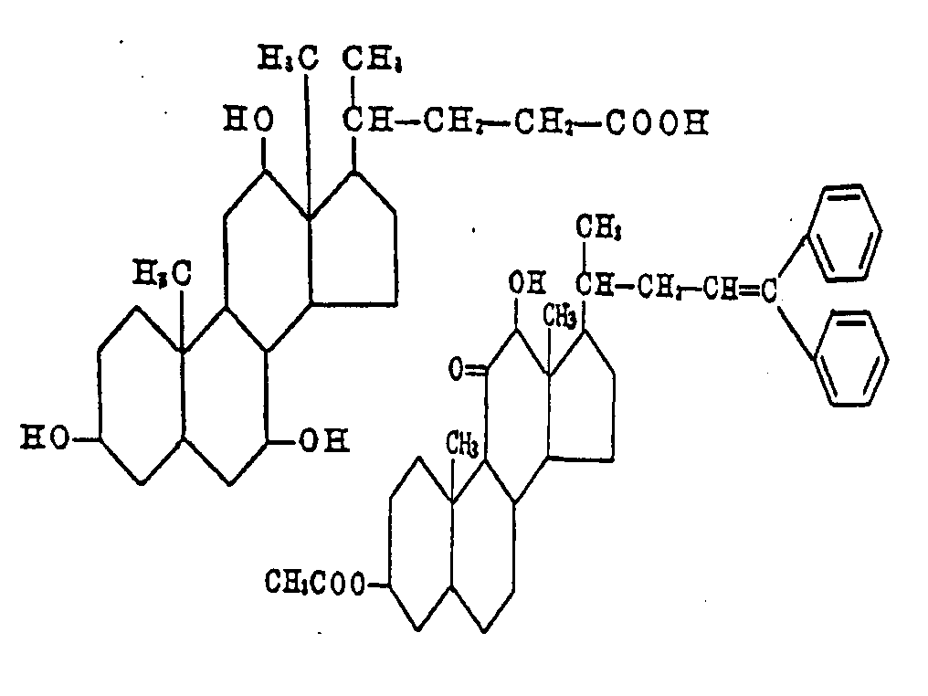
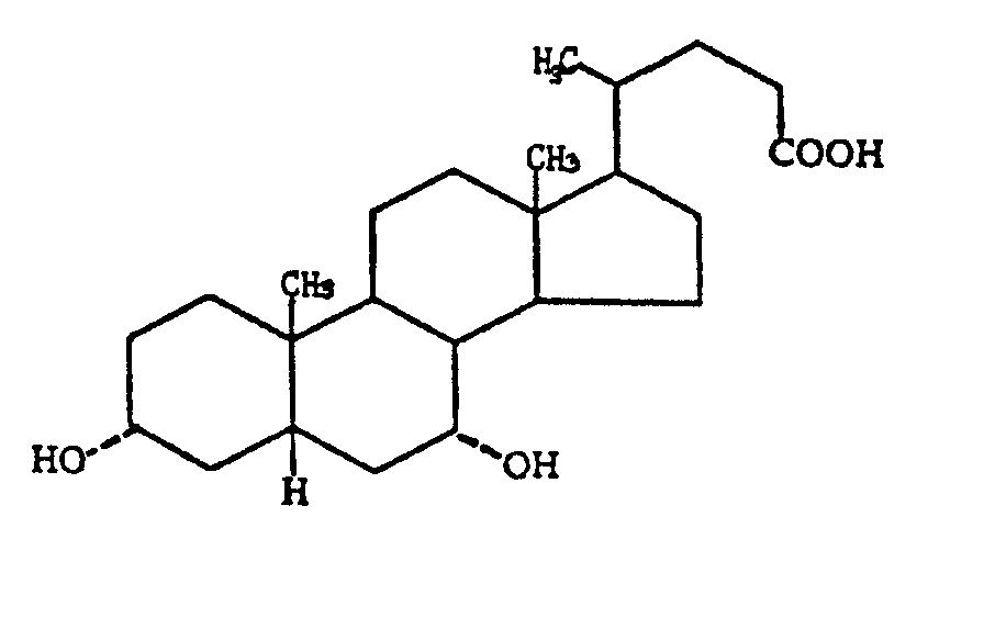
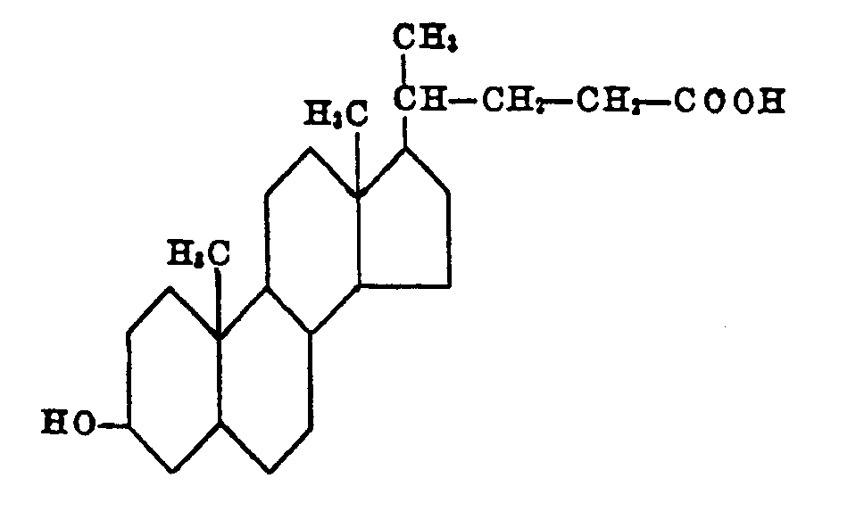
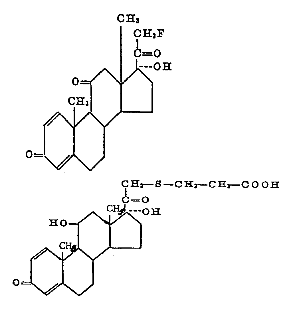
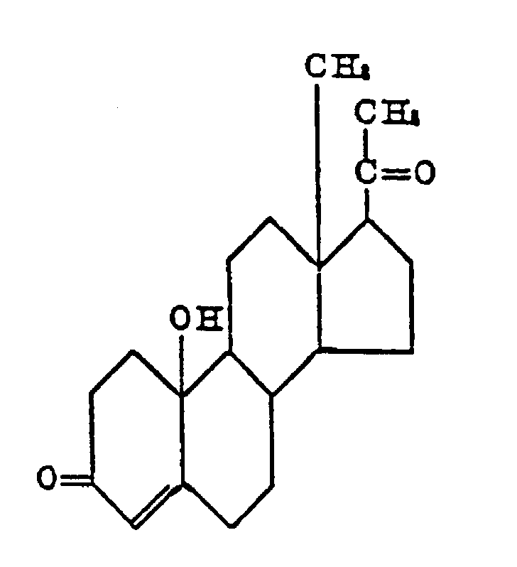
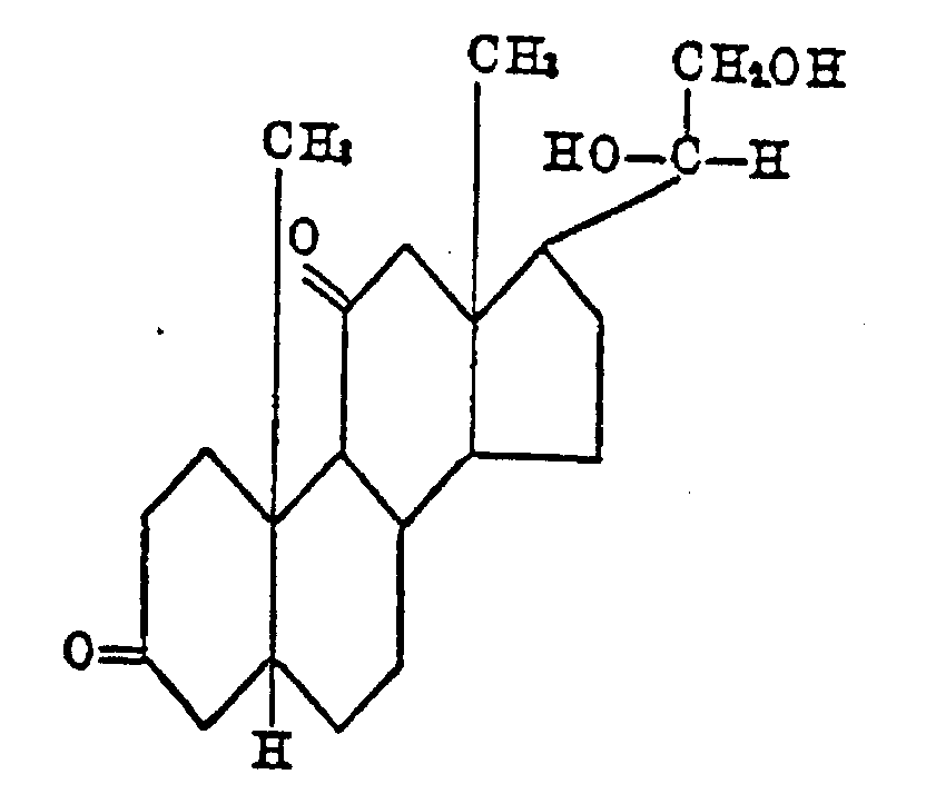
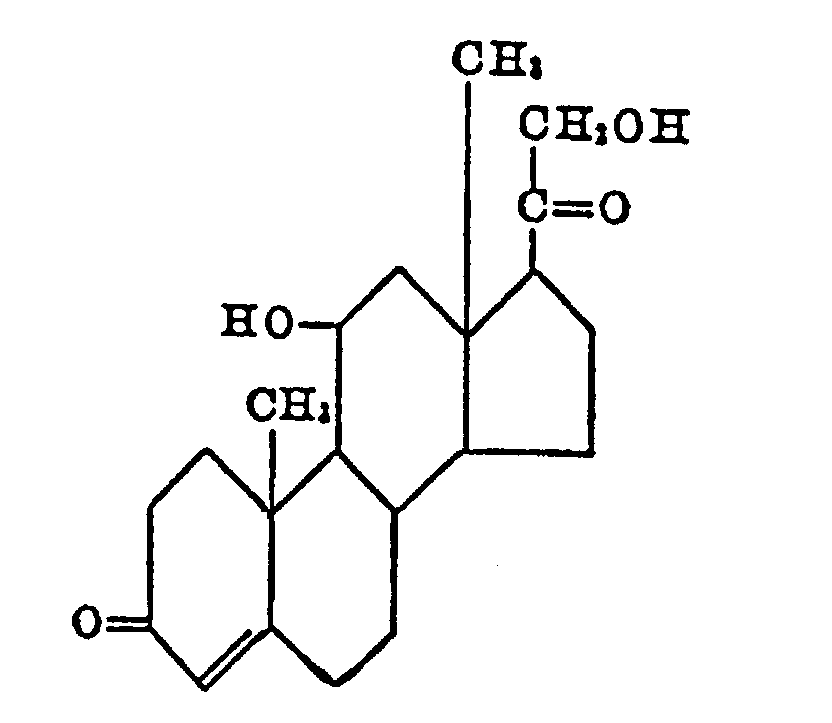
502 | Cyclopentanohydrophenanthrene ring system containing | ||||||||||||||||||
| This subclass is indented under subclass 1. Compounds under Class 532, which have the basic structure
in Fig. 1 below:
Which may contain double bonds between its ring members.
SEE OR SEARCH THIS CLASS, SUBCLASS:
SEE OR SEARCH CLASS:
| |||||||||||||||||||
503 | With preservative or stabilizer |
| This subclass is indented under subclass 502. Products which contain a compound having a cyclopenthanohydrophenanthrene ring system in admixture with a preserving or stabilizing agent whose sole function is to prevent physical or chemical change. | |
504 | Heavy metal or aluminum containing | ||||
This subclass is indented under subclass 502. Compounds which include aluminum or a metal having a specific
gravity greater than four.
| |||||
505 | Boron, silicon, selenium or tellurium containing |
| This subclass is indented under subclass 502. Compounds which contain boron, silicon, selenium or tellurium. | |
506 | Phosphorus attached directly or indirectly to the cyclopentanohydrophenanthrene ring system by nonionic bonding | ||
This subclass is indented under subclass 502. Compounds wherein phosphorus is attached directly or indirectly
to the cyclopentanohydrophenanthrene ring system by nonionic bonding.
| |||
507 | The phosphorus is bonded directly at the 21-position or is bonded directly to a chalcogen which is bonded directly at the 21-positon | ||
This subclass is indented under subclass 506. Compounds wherein the phosphorus is bonded directly to the
carbon at the 21-position of the acyclic carbon chain that is bonded
directly at the 17-position of the cyclopentanohydrophenanthrene
ring system or is bonded directly to a chalcogen which is bonded
directly at the 21-position of the acyclic carbon chain that is bonded
directly at the 17-position of the cyclopentanohydrophenanthrene
ring system.
| |||
508 | Spiro | ||
This subclass is indented under subclass 502. Compounds which contain a spiro ring system.
| |||
509 | Plural cyclopentanohydrophenanthrene ring systems | ||
This subclass is indented under subclass 502. Compounds which contain at least two cyclopentanohydrophenanthrene
ring systems.
| |||
510 | The cyclopentanohydrophenanthrene ring system is part of a polycyclo ring system having at least five cyclos | ||||
This subclass is indented under subclass 502. Compounds in which the cyclopentanohydrophenanthrene ring
system and at least one additional ring are parts of a polycyclo
ring system having at least five cyclos.
SEE OR SEARCH THIS CLASS, SUBCLASS:
| |||||
511 | The additional ring shares the 1,2-positions of the cyclopentanohydrophenanthrene ring system | ||
This subclass is indented under subclass 510. Compounds in which additional ring is ortho-fused to the
A ring of the cyclopentanohydrophenanthrene ring system at the 1,2-positions.
| |||
512 | The additional ring shares the 5,10- or 5,19-positions of the cyclopentanohydrophenanthrene ring system | ||
This subclass is indented under subclass 510. Compounds in which the additional ring shares the 5,10-
or 5,19-positions of the cyclopentanohydrophenanthrene ring system.
| |||
513 | The additional ring shares the 6,7-positions of the cyclopentanohydrophenanthrene ring system | ||
This subclass is indented under subclass 510. Compounds in which the additional ring is otho-fused to
the B ring of the cyclopentanohydrophenanthrene ring system at the
6,7-positions.
| |||
514 | The additional ring shares the 16,17-positions of the cyclopentanohydrophenanthrene ring system | ||
This subclass is indented under subclass 510. Compounds in which the additional ring is ortho-fused to
the D ring of the cyclopentanohydrophenanthrene ring system at the
16,17-positions.
| |||
515 | Nitrogen bonded directly to the cyclopentanohydrophenanthrene ring system | ||
This subclass is indented under subclass 502. Compounds in which nitrogen is bonded directly to the cyclopentanohydrophenanthrene ring
system.
| |||
516 | The nitrogen is double bonded to the cyclopentanohydrophenanthrene ring system | ||
This subclass is indented under subclass 515. Compounds in which the nitrogen is double bonded to the
cyclopentanohydrophenanthrene ring system.
| |||
517 | The nitrogen is part of a semicarbazone or thiosemicarbazone group | ||
This subclass is indented under subclass 516. Compounds wherein the nitrogen is part of a semicarbazone
or thiosemicarbazone group.
| |||
518 | Additional nitrogen bonded directly to the nitrogen (e.g., hydrazones, etc.) | ||
This subclass is indented under subclass 516. Compounds wherein an additional nitrogen is bonded directly
to the nitrogen.
| |||
519 | Oxygen bonded directly to the nitrogen (e.g., oximes, isonitrosos, etc.) | ||
This subclass is indented under subclass 516. Compounds wherein oxygen is bonded directly to the nitrogen.
| |||
520 | The nitrogen is bonded directly at the 3-position |
| This subclass is indented under subclass 519. Compounds wherein the nitrogen is bonded directly at the 3-position of the cyclopentanohydrophenanthrene ring system. | |
521 | The nitrogen is bonded directly at the 3-position |
| This subclass is indented under subclass 515. Compounds wherein the nitrogen is bonded directly at the 3-position of the cyclopenthanohydrophenanthrene ring system. | |
522 | The nitrogen is bonded directly at the 17-position |
| This subclass is indented under subclass 515. Compounds wherein the nitrogen is bonded directly at the 17-position of the cyclopentanohydrophenanthrene ring system. | |
523 | Sulfur bonded directly to the cyclopentanohydrophenanthrene ring system |
| This subclass is indented under subclass 502. Compounds in which sulfur is bonded directly to the cyclopentanohydrophenanthrene ring system. | |
524 | The sulfur is bonded directly at the 1- or 3-position | ||
This subclass is indented under subclass 523. Compounds wherein the sulfur is bonded directly at the 1-
or 3-position of the cyclopentanohydrophenanthrene ring system.
| |||
525 | The sulfur is bonded directly at the 16- or 17-position |
| This subclass is indented under subclass 523. Compounds wherein the sulfur is bonded directly at the 16- or 17-position of the cyclopentanohydrophenanthrene ring system. | |
526 | Carbon double bonded directly to the cyclopentanohydrophenantrene ring system | ||
This subclass is indented under subclass 502. Compounds in which carbon is double bonded directly to the
cyclopentanohydrophenanthrene ring system.
| |||
527 | The carbon is double bonded directly at the 2-position | ||
This subclass is indented under subclass 526. Compounds wherein the carbon is double bonded directly at
the 2-position of the cyclopentanohydrophenanthrene ring system.
| |||
528 | The carbon is double bonded directly at the 16-position |
| This subclass is indented under subclass 526. Compounds wherein the carbon is double bonded directly at the 16-position of the cyclopentanohydrophenanthrene ring system. | |
529 | And carbon bonded directly at the 17 beta-position is a member of an acyclic chain of two or more uninterrupted carbons | ||
This subclass is indented under subclass 528. Compounds wherein carbon bonded directly at the 17 beta-position
of the cyclopentanohydrophenanthrene ring system is a member of
an acyclic chain of two or more uninterrupted carbons.
| |||
530 | The carbon is double bonded directly at the 17-position (e.g., fusidic acids, etc.) | ||
This subclass is indented under subclass 526. Compounds wherein the carbon is double bonded directly at
the 17-position of the cyclopentanohydrophenanthrene ring system.
| |||
531 | Nitrogen or sulfur containing |
| This subclass is indented under subclass 530. Compounds which contain nitrogen or sulfur. | |
532 | The carbon is a member of an acyclic chain of exactly two carbons (e.g., 3 keto-4,17(20)-pregnadienes, 17-ethylidene-estranes,etc.) | ||
This subclass is indented under subclass 530. Compounds wherein the carbon bonded directly at the 17-position
of the cyclopentanohydrophenanthrene ring system is a member of an
acyclic chain of exactly two carbons.
| |||
533 | Plural oxygens bonded directly to the cyclopentanohydrophenanthrene ring system |
| This subclass is indented under subclass 532. Compounds wherein plural oxygens are bonded directly to the cyclopentanohydrophenanthrene ring system. | |
534 | And oxygen bonded directly at the 21-position of the compound | ||
This subclass is indented under subclass 533. Compounds wherein oxygen is bonded directly to the carbon
at the 21-position of the acyclic carbon chain that is bonded directly
at the 17-position of the cyclopentanohydrophenanthrene ring system.
| |||
535 | Halogen bonded directly at the 12-position of the cyclopentanohydrophenanthrene ring system |
| This subclass is indented under subclass 502. Compounds wherein halogen is bonded directly at the 12-position of the cyclopentanohydrophenanthrene ring system. | |
536 | Halogen bonded directly at the 16-position of the cyclopentanohydrophenanthrene ring system |
| This subclass is indented under subclass 502. Compounds wherein halogen is bonded directly at the 16-position of the cyclopentanohydrophenanthrene ring system. | |
537 | Plural halogens bonded directly at the 16-position |
| This subclass is indented under subclass 536. Compounds wherein plural halogens are bonded directly at the 16-position of the cyclopentanohydrophenanthrene ring system. | |
538 | Carbon bonded directly at the 17 beta-position is a member of an acyclic chain of two or more uninterrupted carbons | ||
This subclass is indented under subclass 536. Compounds wherein carbon bonded directly at the 17 beta-position
of the cyclopentanohydrophenanthrene ring system is a member of
an acyclic chain of two or more uninterrupted carbons.
| |||
539 | Halomethyl bonded directly to the cyclopentanohydrophenanthrene ring system (e.g., 16-trifluoromethyl progesterones, etc.) | ||
This subclass is indented under subclass 502. Compounds wherein halomethyl is bonded directly to the cyclopentanohydrophenanthrene ring
system.
| |||
540 | Carbon bonded directly at the 17 beta-position of the cyclopentanohydrophenanthrene ring system is a member of an acyclic chain of six or more uninterrupted carbons (e.g., sterols, etc.) | ||||||
This subclass is indented under subclass 502. Compounds wherein carbon bonded directly at the 17 beta-position
of the cyclopentanohydrophenanthrene ring system is a member of
an acyclic chain of six or more uninterrupted carbons.
SEE OR SEARCH THIS CLASS, SUBCLASS:
SEE OR SEARCH CLASS:
| |||||||
541 | Oxygen bonded directly at the 1-, 2-, or 4-position | ||
This subclass is indented under subclass 540. Compounds wherein oxygen is bonded directly at the 1-, 2-,
or 4-position of the cyclopentanohydrophenanthrene ring system.
| |||
542 | Oxygen bonded directly at the 6- or 7-position | ||
This subclass is indented under subclass 540. Compounds wherein oxygen is bonded directly at the 6- or
7-position of the cyclopentanohydrophenanthrene ring system.
| |||
543 | Carbon or halogen bonded directly at the 6- or 7-position | ||
This subclass is indented under subclass 540. Compounds wherein carbon or halogen is bonded directly at
the 6- or 7-position of the cyclopentanohydrophenanthrene ring system.
| |||
544 | Exactly one oxygen bonded directly to the cyclopentanohydrophenanthrene ring system (e.g., cholesterols, cholestanols, stigmasterols, etc.) | ||||
This subclass is indented under subclass 540. Compounds in which exactly one oxygen is bonded directly
to the cyclopentanohydrophenanthrene ring system.
| |||||
545 | Processes of isolating, purifying or recovering from animal, vegetable or fungal sources (e.g., wool fat or grease, lanolin, fish oils, animal tissue, soybean oil, tall oil or pitch, wood products, sugar cane, soap stocks, yeast, molds, etc.) |
| This subclass is indented under subclass 544. Processes which include isolating, purifying or recovering the cyclopentanohydrophenanthrene containing compound from animal, vegetable or fungal sources. | |
546 | Halogen or oxygen bonded directly to the acyclic carbon chain at the 17 beta-position (e.g., 25-hydroxy cholesterols, etc.) | ||
This subclass is indented under subclass 544. Compounds in which halogen or oxygen is bonded directly
to the acyclic carbon chain at the 17 beta-position of the cyclopentanohydrophenanthrene
ring system.
| |||
547 | Unsaturation between the 7- and 8-positions (e.g., ergosterols, 7 dehydrocholesterols, provitamin D, etc.) | ||||
This subclass is indented under subclass 544. Compounds which contain a double bond between the 7- and
8-positions of the cyclopentanohydrophenanthrene ring system.
SEE OR SEARCH THIS CLASS, SUBCLASS:
| |||||
548 | Carbon bonded directly at the 17 beta-position of the cyclopentanohydrophenanthrene ring system is a member of an acyclic chain of five uninterrupted carbons (e.g., choladienes, cholanic acids, etc.) stocks, yeast, molds, etc.) | ||||
This subclass is indented under subclass 502. Compounds wherein carbon bonded directly at the 17 beta-position
of the cyclopentanohydrophenanthrene ring system is a member of
an acyclic chain of five uninterrupted carbons.
| |||||
549 | Oxygen bonded directly at the 12-position (e.g., cholic acids, desoxycholic acids, dehydrocholic acids, etc.) | ||
This subclass is indented under subclass 548. Compounds wherein oxygen is bonded directly at the 12-position
of the cyclopentanohydrophenanthrene ring system.
| |||
550 | Halogen, nitrogen, or sulfur containing (e.g., glycocholic acids, taurocholic acids, etc.) |
| This subclass is indented under subclass 549. Compounds which contain halogen, nitrogen or sulfur. | |
551 | Oxygen bonded directly at the 6- or 7-position (e.g., chenodeoxycholic acids, ursodeoxycholic acids, etc.) | ||
This subclass is indented under subclass 548. Compounds wherein oxygen is bonded directly at the 6- or
7-position of the cyclopentanohydrophenanthrene ring system.
| |||
552 | Exactly one oxygen bonded directly to the cyclopentanohydrophenanthrene ring system (e.g., 3-hydroxycholanic acids, lithocholic acids, etc.) | ||
This subclass is indented under subclass 548. Compounds in which exactly one oxygen is bonded directly
to the cyclopentanopentanohydrophenanthrene ring system.
| |||
553 | Carbon bonded directly at the 17 beta-position of the cyclopentanohydrophenanthrene ring system is a member of an acyclic chain of three or four uninterruped carbons, (e.g., diketobisnorcholenic acids, etc.) | ||
This subclass is indented under subclass 502. Compounds wherein carbon bonded directly at the 17 beta-position
of the cyclopentanohydrophenanthrene ring system is a member of
an acyclic chain of three or four uninterrupted carbons.
| |||
554 | Halogen or nitrogen containing (e.g., 20-cyano-pregnanes, 21-cyano pregnenes, etc.) | ||
This subclass is indented under subclass 553. Compounds which contain halogen or nitrogen.
| |||
555 | Exactly one oxygen bonded directly to the cyclopentanohydrophenanthrene ring system (e.g., 3-keto-bisnorcholenic acids, 3-keto-bisnor-cholene-22 als, etc.) | ||
This subclass is indented under subclass 553. Compounds in which exactly one oxygen is bonded directly
to the cyclopentanohydrophenanthrene ring system.
| |||
556 | And oxygen bonded directly at the 20-position of the compound | ||
This subclass is indented under subclass 555. Compounds wherein oxygen is bonded directly to the carbon
at the 20-position of the acyclic carbon chain that is bonded directly
at the 17-position of the cyclopentanohydrophenanthrene ring system.
| |||
557 | Carbon bonded directly at the 17-beta-position of the cyclopentanohydrophenanthrene ring system is a member of an acyclic chain of two uninterrupted carbons (e.g., pregnanes, etc.) | ||
This subclass is indented under subclass 502. Compounds wherein carbon bonded directly at the 17 beta-position
of the cyclopentanohydrophenanthrene ring system is a member of
an acyclic chain of two uninterrupted carbons.
| |||
558 | The A ring is a benzene ring | ||
This subclass is indented under subclass 557. Compounds in which the A ring of the cyclopentanohydrophenanthrene
ring system contains three alternating double bonds (i.e., is a benzene
ring).
| |||
559 | Three or more oxygens bonded directly to the cyclopentanohydrophenanthrene ring system | ||
This subclass is indented under subclass 557. Compounds wherein three or more oxygens are bonded directly
to the cyclopentanohydrophenanthrene ring system.
| |||
560 | Oxygen bonded directly at the 1-, 2- or 4-position |
| This subclass is indented under subclass 559. Compounds wherein oxygen is bonded directly at the 1-, 2-, or 4-position of the cyclopentanohydrophenanthrene ring system. | |
561 | Oxygen bonded directly at the 6-position |
| This subclass is indented under subclass 559. Compounds wherein oxygen is bonded directly at the 6-position of the cyclopentanohydrophenanthrene ring system. | |
562 | Oxygen bonded directly at the 7-, 8- or 9-position |
| This subclass is indented under subclass 559. Compounds wherein oxygen is bonded directly at the 7-, 8-, or 9-position of the cyclopentanohydrophenanthrene ring system. | |
563 | Oxygen bonded directly at the 14- or 15-position |
| This subclass is indented under subclass 559. Compounds wherein oxygen is bonded directly at the 14- or 15-position of the cyclopentanohydrophenanthrene ring system. | |
564 | Oxygen bonded directly at the 16-position | ||
This subclass is indented under subclass 559. Compounds wherein oxygen is bonded directly at the 16-position
of the cyclopentanohydrophenanthrene ring system.
| |||
565 | Carbon or halogen bonded directly at the 6- or 7-position |
| This subclass is indented under subclass 564. Compounds wherein carbon or halogen is bonded directly at the 6- or 7-position of the cyclopentanohydrophenanthrene ring system. | |
566 | Oxygen bonded directly at the 21-position (e.g., triamcinolone, etc.) | ||
This subclass is indented under subclass 564. Compounds in which oxygen is bonded directly to the carbon
at the 21-position of the acyclic carbon chain that is bonded directly
at the 17-position of the cyclopentanohydrophenanthrene ring system.
| |||
567 | Halogen bonded directly at the 2- or 4-position (e.g., 4-bromocortisones, etc.) |
| This subclass is indented under subclass 559. Compounds wherein halogen is bonded directly at the 2- or 4- position of the cyclopentanohydrophenanthrene ring system. | |
568 | The cyclopentanohydrophenanthrene ring system is fully saturated | ||
This subclass is indented under subclass 567. Compounds wherein there are no double bonds between any
ring members of the cyclopentanohydrophenanthrene ring system.
| |||
569 | Oxygen bonded directly at the 3-, 11-, and 17-positions | ||
This subclass is indented under subclass 559. Compounds wherein oxygen is bonded directly at the 3-, 11-,
and 17-positions of the cyclopentanohydrophenanthrene ring system.
| |||
570 | Oxygen bonded directly at the 21-position | ||
This subclass is indented under subclass 569. Compounds in which oxygen is bonded directly to the carbon
at the 21-position of the acyclic carbon chain that is bonded directly
at the 17-position of the cyclopentanohydrophenanthrene ring system.
| |||
571 | Carbon bonded directly at the 1-, 2- or 4-position |
| This subclass is indented under subclass 570. Compounds wherein carbon is bonded directly at the 1-, 2-, or 4-position of the cyclopentanohydrophenanthrene ring system. | |
572 | Carbon or halogen bonded directly at the 6- or 7-position | ||
This subclass is indented under subclass 570. Compounds wherein carbon or halogen is bonded directly at
the 6- or 7-position of the cyclopentanohydrophenanthrene ring system.
| |||
573 | Carbon bonded directly at the 16-position | ||
This subclass is indented under subclass 572. Compounds wherein carbon is bonded directly at the 16-position
of the cyclopentanohydrophenanthrene ring system.
| |||
574 | Carbon bonded directly at the 16-position (e.g., betamethasones, dexamethasones, etc.) | ||
This subclass is indented under subclass 570. Compounds wherein carbon is bonded directly at the 16-position
of the cyclopentanohydrophenanthrene ring system.
| |||
575 | Nitrogen or sulfur containing |
| This subclass is indented under subclass 570. Compounds which contain nitrogen or sulfur. | |
576 | Unsaturation between the 1- and 2-positions and the 4- and 5-positions (e.g., prednisones, prednisolones, etc.) | ||
This subclass is indented under subclass 570. Compounds which contain double bonds between the 1,2-positions
and the 4,5-positions of the cyclopentanohydrophenanthrene ring system.
| |||
577 | Unsaturation between the 4- and 5-positions (e.g., cortisones, etc.) | ||
This subclass is indented under subclass 570. Compounds which contain a double bond between the 4- and
5-positions of the cyclopentanohydrophenanthrene ring system.
| |||
578 | Additional unsaturation in the cyclopentanohydrophenanthrene ring system | ||
This subclass is indented under subclass 577. Compounds which contain an additional double bond between
ring members of the cyclopentanohydrophenanthrene ring system.
| |||
579 | The cyclopentanohydrophenanthrene ring system is fully saturated | ||
This subclass is indented under subclass 570. Compounds wherein there are no double bonds between any
ring members of the cyclopentanohydrophenanthrene ring system.
| |||
580 | Carbon or halogen bonded directly at the 6- or 7-position |
| This subclass is indented under subclass 569. Compounds wherein carbon or halogen is bonded directly at the 6- or 7-position of the cyclopentanohydrophenanthrene ring system. | |
581 | Unsaturation between the 4- and 5-positions (e.g., 21-thiol prednisones, 21 thio cortisones, etc.) | ||
This subclass is indented under subclass 569. Compounds which contain a double bond between the 4-and
5-positions of the cyclopentanohydrophenanthrene ring system.
| |||
582 | Two oxygens bonded directly to the cyclopentanohydrophenanthrene ring system | ||
This subclass is indented under subclass 557. Compounds wherein two oxygens are bonded directly to the
cyclopentanohydrophenanthrene ring system.
| |||
583 | Oxygen bonded directly at the 5-, 6- or 7-position |
| This subclass is indented under subclass 582. Compounds wherein oxygen is bonded directly at the 5-, 6-, or 7-position of the cyclopentanohydrophenanthrene ring system. | |
584 | Oxygen bonded directly at the 12-position |
| This subclass is indented under subclass 582. Compounds wherein oxygen is bonded directly at the 12-position of the cyclopentanohydrophenanthrene ring system. | |
585 | Oxygen bonded directly at the 15- or 16-position |
| This subclass is indented under subclass 582. Compounds wherein oxygen is bonded directly at the 15- or 16-position of the cyclopentanohydrophenanthrene ring system. | |
586 | Oxygen bonded directly at the 3- and 11-position |
| This subclass is indented under subclass 582. Compounds wherein oxygen is bonded directly at the 3- and 11-positions of the cyclopentanohydrophenanthrene ring system. | |
587 | Oxygen bonded directly at the 21-position | ||
This subclass is indented under subclass 586. Compounds wherein oxygen is bonded directly to the carbon
at the 21-position of the acyclic carbon chain that is bonded directly
at the 17-position of the cyclopentanohydrophenanthrene ring system.
| |||
588 | Unsaturation between the 4- and 5-positions (e.g., aldosterones, corticosterones, etc.) | ||
This subclass is indented under subclass 587. Compounds which contain a double between 4- and 5- positions
of the cyclopentanohydrophenanthrene ring system.
| |||
589 | Carbon bonded directly at the 16-position |
| This subclass is indented under subclass 586. Compounds wherein carbon is bonded directly at the 16-position of the cyclopentanohydrophenanthrene ring system. | |
590 | Unsaturation between the 4- and 5-positions |
| This subclass is indented under subclass 586. Compounds which contain a double bond between the 4- and 5-positions of the cyclopentanohydrophenanthrene ring system. | |
591 | The cyclopentanohydrophenanthrene ring system is fully saturated |
| This subclass is indented under subclass 586. Compounds wherein there are no double bonds between any ring members of the cyclopentanohydrophenanthrene ring system. | |
592 | Oxygen bonded directly at the 3- and 17-positions |
| This subclass is indented under subclass 582. Compounds wherein oxygen is bonded directly at the 3- and 17-positions of the cyclopentanohydrophenanthrene ring system. | |
593 | Oxygen bonded directly at the 21-position | ||
This subclass is indented under subclass 592. Compounds wherein oxygen is bonded directly to the carbon
at the 21-position of the acyclic carbon chain that is bonded directly
at the 17-position of the cyclopentanohydrophenanthrene ring system.
| |||
594 | Carbon or halogen bonded directly at the 6- or 7-position |
| This subclass is indented under subclass 593. Compounds wherein carbon or halogen is bonded directly at the 6- or 7-position of the cyclopentanohydrophenanthrene ring system. | |
595 | Unsaturation between the 4- and 5-positions (e.g., 17-alpha-hydroxy progesterones, etc.) | ||
This subclass is indented under subclass 593. Compounds which contain a double bond between the 4- and
5-positions of the cyclopentanohydrophenanthrene ring system.
| |||
596 | Carbon bonded directly at the 16-position |
| This subclass is indented under subclass 592. Compounds wherein carbon is bonded directly at the 16-position of the cyclopentanohydrophenanthrene ring system. | |
597 | Carbon or halogen bonded directly at the 6- or 7-position |
| This subclass is indented under subclass 592. Compounds wherein carbon or halogen is bonded directly at the 6- or 7-position of the cyclopentanohydrophenanthrene ring system. | |
598 | Unsaturation between the 4- and 5-positions |
| This subclass is indented under subclass 592. Compounds which contain a double bond between the 4- and 5- positions of the cyclopentanohydrophenanthrene ring system. | |
599 | Exactly one oxygen bonded directly to the cyclopentanohydrophenanthrene ring system | ||
This subclass is indented under subclass 557. Compounds wherein exactly one oxygen is bonded directly
to the cyclopentanohydrophenanthrene ring system.
| |||
600 | Oxygen bonded directly at the 21-position |
| This subclass is indented under subclass 599. Compounds wherein oxygen is bonded directly to the carbon at the 21-position of the acyclic carbon chain that is bonded directly at the 17-position of the cyclopentanohydrophenanthrene ring system. | |
601 | Unsaturation between the 4- and 5-position (e.g., desoxycorticosterones, etc.) | ||
This subclass is indented under subclass 600. Compounds which contain a double bond between the 4- and
5-positions of the cyclopentanohydrophenanthrene ring system.
| |||
602 | Additional unsaturation in the cyclopentanohydrophenanthrene ring system |
| This subclass is indented under subclass 601. Compounds which contain an additional double bond between ring members of the cyclopentanohydrophenanthrene ring system. | |
603 | Carbon or halogen bonded directly at the 1-, 2-, 3-, 4- or 5-position |
| This subclass is indented under subclass 599. Compounds wherein carbon or halogen is bonded directly at the 1-,2-,3-,4-, or 5-position of the cyclopentanohydrophenanthrene ring system. | |
604 | Carbon bonded directly at the 16-position (e.g., 16-cyanopregn-4-ene-3, 20 diones, etc.) | ||
This subclass is indented under subclass 599. Compounds wherein carbon is bonded directly at the 16-position
of the cyclopentanohydrophenanthrene ring system.
| |||
605 | Carbon or halogen bonded directly at the 6- or 7-position |
| This subclass is indented under subclass 599. Compounds wherein carbon or halogen is bonded directly at the 6- or 7-position of the cyclopentanohydrophenanthrene ring system. | |
606 | Unsaturation between the 5- and 6-positions (e.g., pregnenolones, etc.) | ||
This subclass is indented under subclass 599. Compounds which contain a double bond between the 5- and
6-positions of the cyclopentanohydrophenanthrene ring system.
| |||
607 | Unsaturation between the 4- and 5-positions (e.g., progesterones, etc.) | ||
This subclass is indented under subclass 599. Compounds which contain a double bond between the 4- and
5-positions of the cyclopentanohydrophenanthrene ring system.
| |||
608 | Additional unsaturation in the cyclopentanohydrophenanthrene ring system |
| This subclass is indented under subclass 607. Compounds which contain an additional double bond between ring members of the cyclopentanohydrophenanthrene ring system. | |
609 | The cyclopentanohydrophenanthrene ring system is fully saturated (e.g., pregnandiols, pregnanolones, etc.) | ||
This subclass is indented under subclass 599. Compounds wherein there are no double bonds between any
ring members of the cyclopentanohydrophenanthrene ring system.
| |||
610 | Acyclic carbon bonded directly at the 17 beta-position of the cyclopentanohydrophenanthrene ring system (e.g., etiocholanic acids, 17 cyanoetiocholanes, 17-aldehydrostanes, etc.) | ||
This subclass is indented under subclass 502. Compounds wherein an acyclic carbon is bonded directly at
the 17 beta-position of the cyclopentanohydrophenanthrene ring system.
| |||
611 | Exactly one oxygen bonded directly to the cyclopentanohydrophenanthrene ring system (e.g., 3-keto-etiocholanic acids, etc.) | ||
This subclass is indented under subclass 610. Compounds wherein exactly one oxygen is bonded directly
to the cyclopentanohydrophenanthrene ring system.
| |||
612 | Three or more oxygens bonded directly to the cyclopentanohydrophenanthrene ring system | ||
This subclass is indented under subclass 502. Compounds wherein three or more oxygens are bonded directly
to the cyclopentanohydrophenanthrene ring system.
| |||
613 | Oxygen bonded directly at the 1-position |
| This subclass is indented under subclass 612. Compounds wherein oxygen is bonded directly at the 1-position of the cyclopentanohydrophenanthrene ring system. | |
614 | Oxygen bonded directly at the 2- or 4-position |
| This subclass is indented under subclass 612. Compounds wherein oxygen is bonded directly at the 2- or 4-position of the cyclopentanohydrophenanthrene ring system. | |
615 | Oxygen bonded directly at the 5-, 6- or 7-position |
| This subclass is indented under subclass 612. Compounds wherein oxygen is bonded directly at the 5-,6- or 7-position of the cyclopentanohydrophenanthrene ring system. | |
616 | Oxygen bonded directly at the 16-position |
| This subclass is indented under subclass 612. Compounds wherein oxygen is bonded directly at the 16-position of the cyclopentanohydrophenanthrene ring system. | |
617 | The A ring is a benzene ring (e.g., estriols, etc.) | ||
This subclass is indented under subclass 616. Compounds in which the A ring of the cyclopentanohydrophenanthrene
ring system contains three alternating double bonds (i.e., is a benzene
ring).
| |||
618 | The A ring is a benzene ring |
| This subclass is indented under subclass 612. Compounds in which the A ring of the cyclopentanohydrophenanthrene ring system contains three alternating double bonds (i.e., is a benzene ring). | |
619 | Oxygen bonded directly at the 3-, 11- and 17-positions (e.g., 1-androstene 3,11,17-triones, etc.) | ||
This subclass is indented under subclass 612. Compounds wherein oxygen is bonded directly at the 3-, 11-
and 17-positions of the cyclopentanohydrophenanthrene ring system.
| |||
620 | Carbon or halogen bonded directly at the 1, 2- or 4-position |
| This subclass is indented under subclass 619. Compounds wherein carbon or halogen is bonded directly at the 1-,2-, or 4-position of the cyclopentanohydrophenanthrene ring system. | |
621 | Unsaturation between the 4- and 5-positions (e.g., adrenosterones, 11 hydroxytestosterones, etc.) | ||
This subclass is indented under subclass 619. Compounds which contain a double bond between the 4- and
5-positions of the cyclopentanohydrophenanthrene ring system.
| |||
622 | 17 alpha-position substituted (e.g., 11-keto-17 alpha-alkyltestosterones, etc.) | ||
This subclass is indented under subclass 621. Compounds in which a substituent is bonded directly at the
17 alpha-position of the cyclopentanohydrophenanthrene ring system.
| |||
623 | Two oxygens bonded directly to the cyclopentanohydrophenanthrene ring system | ||
This subclass is indented under subclass 502. Compounds wherein two oxygens are bonded directly to the
cyclopentanohydrophenanthrene ring system.
| |||
624 | Oxygen bonded directly at the 16-position |
| This subclass is indented under subclass 623. Compounds wherein oxygen is bonded directly at the 16-position of the cyclopentanohydrophenanthrene ring system. | |
625 | The A ring is a benzene ring (e.g., estrones, estradiols, etc.) | ||
This subclass is indented under subclass 623. Compounds in which the A ring of the cyclopentanohydrophenanthrene
ring system contains three alternating double bonds (i.e., is a benzene
ring).
| |||
626 | Nitrogen or sulfur containing |
| This subclass is indented under subclass 625. Compounds which contain nitrogen or sulfur. | |
627 | Carbon or halogen bonded directly at the 1-, 2- or 4-position |
| This subclass is indented under subclass 625. Compounds wherein carbon or halogen is bonded directly at the 1-, 2-, or 4-position of the cyclopentanohydrophenanthrene ring system. | |
628 | Carbon or halogen bonded directly at the 6- or 7-position |
| This subclass is indented under subclass 625. Compounds wherein carbon or halogen is bonded directly at the 6- or 7-position of the cyclopentanohydrophenanthrene ring system. | |
629 | Carbon bonded directly at the 11-, 15- or 16-position |
| This subclass is indented under subclass 625. Compounds wherein carbon is bonded directly at the 11-, 15-, or 16-position of the cyclopentanohydrophenanthrene ring system. | |
630 | 17 alpha-position substituted | ||
This subclass is indented under subclass 625. Compounds in which a substituent is bonded directly at the
17 alpha-position of the cyclopentanohydrophenanthrene ring system.
| |||
631 | The 17 alpha-position substituent contains acyclic carbon-to-carbon unsaturation | ||
This subclass is indented under subclass 630. Compounds in which the substituent bonded directly at the
17 alpha-position contains acyclic carbon-to-carbon unsaturation.
| |||
632 | 19-position substituted (e.g., 19-methylene-androstanes, 10-cyanoestranes, etc.) | ||||
This subclass is indented under subclass 623. Compounds in which a substituent is bonded directly at the
19-position of the cyclopentanohydrophenanthrene ring system.
| |||||
633 | Carbon bonded directly at the 10- and 13-positions (e.g., androstenes, etc.) | ||
This subclass is indented under subclass 623. Compounds wherein carbon is bonded directly at the 10- and
13-positions of the cyclopentanohydrophenanthrene ring system.
| |||
634 | Carbon or halogen bonded directly at the 1- or 3-position |
| This subclass is indented under subclass 633. Compounds wherein carbon or halogen is bonded directly at the 1- or 3-position of the cyclopentanohydrophenanthrene ring system. | |
635 | Carbon or halogen bonded directly at the 2- or 4-position |
| This subclass is indented under subclass 633. Compounds wherein carbon or halogen is bonded directly at the 2- or 4-position of the cyclopentanohydrophenanthrene ring system. | |
636 | Unsaturation between the 5- and 6-positions (e.g., dehydroandrosterones, etc.) | ||
This subclass is indented under subclass 633. Compounds which contain a double bond between the 5- and
6-positions of the cyclopentanohydrophenanthrene ring system.
| |||
637 | 17 alpha-position substituted (e.g., 17 alpha-ethynyl-5-androstene-3 beta, 17 beta-diols, etc.) | ||
This subclass is indented under subclass 636. Compounds in which a substituent is bonded directly at the
17 alpha-position of the cyclopentanohydrophenanthrene ring system.
| |||
638 | Unsaturation between the 4- and 5-positions (e.g., testosterones, etc.) | ||
This subclass is indented under subclass 633. Compounds which contain a double bond between the 4- and
5-positions of the cyclopentanohydrophenanthrene ring system.
| |||
639 | 17 alpha-position substituted (e.g., 17 alpha-alkynylandrosta-4, 6-diene 3,17-diols, etc.) | ||
This subclass is indented under subclass 638. Compounds in which a substituent is bonded directly at the
17 alpha-position of the cyclopentanohydrophenanthrene ring system.
| |||
640 | Additional unsaturation in the cyclopentanohydrophenanthrene ring system |
| This subclass is indented under subclass 638. Compounds which contain an additional double bond between ring members of the cyclopentanohydrophenanthrene ring system. | |
641 | The cyclopentanohydrophenanthrene ring system is fully saturated (e.g., androstandiols, androsterones, dihydrotestosterones, etc.) | ||
This subclass is indented under subclass 633. Compounds wherein there are no double bonds between any
ring members of the cyclopentanohydrophenanthrene ring system.
| |||
642 | Carbon bonded directly at the 13-position (e.g., 19-norandrostenes, estradienes, etc.) | ||
This subclass is indented under subclass 623. Compounds wherein carbon is bonded directly at the 13-position
of the cyclopentanohydrophenanthrene ring system.
| |||
643 | Carbon or halogen bonded directly at the 1-, 2-, 4- or 5-position |
| This subclass is indented under subclass 642. Compounds wherein carbon or halogen is bonded directly at the 1-, 2-, 4-, or 5-position of the cyclopentanohydrophenanthrene ring system. | |
644 | Unsaturation between the 5- and 10-positions |
| This subclass is indented under subclass 642. Compounds which contain a double bond between the 5- and 10-positions of the cyclopentanohydrophenanthrene ring system. | |
645 | 17 alpha-position substituted (e.g., 17 alpha-ethynyl-17-hydroxy-5(10) estren-3-ones, etc.) | ||
This subclass is indented under subclass 644. Compounds in which a substituent is bonded directly at the
17 alpha-position of the cyclopentanohydrophenanthrene ring system.
| |||
646 | Unsaturation between the 4- and 5-positions (e.g., 19-nortestosterones, 13 beta-alkyl-4-gonene-3,17-diones etc.) | ||
This subclass is indented under subclass 642. Compounds which contain a double bond between the 4- and
5-positions of the cyclopentanohydrophenanthrene ring system.
| |||
647 | Carbon or halogen bonded directly at the 6- or 7-position |
| This subclass is indented under subclass 646. Compounds wherein carbon or halogen is bonded directly at the 6- or 7-position of the cyclopentanohydrophenanthrene ring system. | |
648 | 17 alpha-position substituted (e.g., 17 alpha-ethynyl-19 nortestosterones, etc.) | ||
This subclass is indented under subclass 646. Compounds in which a substituent is bonded directly at the
17 alpha-position of the cyclopentanohydrophenanthrene ring system.
| |||
649 | The cyclopentanohydrophenanthrene ring system is fully saturated (e.g., 17 alpha-alkyl-17 beta-hydroxyestran-3-ones, etc.) | ||
This subclass is indented under subclass 642. Compounds wherein there are no double bonds between any
ring members of the cyclopentanohydrophenanthrene ring system.
| |||
650 | Oxygen bonded directly at the 16- or 17-position of the cyclopentanohydrophenanthrene ring system | ||
This subclass is indented under subclass 502. Compounds wherein oxygen is bonded directly at the 16- or
17-position of the cyclopentanohydrophenanthrene ring system.
| |||
651 | Carbon or halogen bonded directly at the 1- or 3-position |
| This subclass is indented under subclass 650. Compounds wherein carbon or halogen is bonded directly at the 1- or 3-position of the cyclopentanohydrophenanthrene ring system. | |
652 | Carbon or halogen bonded directly at the 2-, 4- or 5-position |
| This subclass is indented under subclass 650. Compounds wherein carbon or halogen is bonded directly at the 2-, 4-, or 5-position of the cyclopentanohydrophenanthrene ring system. | |
653 | 9,10-Seco-cyclopentanohydrophenanthrene ring system or 9,10-seco cyclopentanohydrophenanthrene ring system having a bond between the 3- and 5-positions (e.g., vitamin D compounds, cholecalciferols, activated 7-dehydrocholesterols, dihydrotachysterols, 3,5 cyclovitamin D compounds, etc.) | ||
This subclass is indented under subclass 350. Compounds under Class 260, ... , which have the following
basic structures:
| |||
![[Search a list of Patent Appplications for class 552]](../as.gif)
![[List of Patents for class 552 subclass 1]](../ps.gif)




































































































































































































































