SECTION I - CLASS DEFINITION
This class is an integral part of Class 252, as shown by the
position of the box identifying this class in the Class 252 schedule.
As such, this class is subject to the Class Definition and Notes
of Class 252.
A. GENERAL STATEMENT
Patents which contain a claim to a lubricant composition are
placed in this Class as original patents, and are cross-referenced
wherever necessary or desirable. Patents which disclose the use
of claimed compositions as lubricants, and recite no claims to a
use provided for elsewhere, are similarly classified in this Class.
If no composition claims limited to a specific use are recited, and
plural utilities are disclosed, or if composition claims to plural
utilities are recited, reference should be made to the superiority
listing in the (5) note of the Class 252 Definition to determine
the original classification of the patent.
This class provides for:
(1) compositions of matter which are solid antifriction devices
or articles described in terms of their chemical composition,
(2) materials from which said solid antifriction devices or
articles are fashioned,
(3) compositions which serve as lubricants or separants for
moving solid surfaces,
(4) compositions of mineral oils admixed with non-hydrocarbon
materials and not limited to a function or utility provided for
elsewhere in Class 252 or any other class.
B. DETAILED STATEMENT
(1) The solid antifriction devices or articles described in terms
of their chemical composition are characterized by having a lubricant
material as a permanent part of the article or device. This permanence
may be accomplished by permanent coating, impregnation into the interstices
of the article or device, or by being part of the composition of
matter from which the article or device is fashioned. The articles
and devices are further characterized by retention of their shape
during use.
The type of solid antifriction article or device provided for
herein is exemplified by: bearings, rings, seals, journal boxes,
bushings, brakes, clutches, gun wads, or liners for bearings, brakes
or clutches.
Any processes of making such solid antifriction articles or
devices, or peculiar to making such articles or devices, for which
there is no provision elsewhere are provided for herein.
Mere or nominal use of such solid antifriction articles or devices
as lubricating elements is provided for herein, if there is no provision
elsewhere.
(2) The discussion of solid antifriction articles and devices
in the Detailed Statement, paragraph 1, supra, is generally applicable
also to the materials from which these articles and devices are
fashioned.
The materials provided for herein from which said solid antifriction
articles or devices are made are the aggregate materials, not individual
components of the materials or anything less than the entirety of
the material suitable to be fashioned into said article or device.
(3) The lubricant or separant compositions for moving solid
surfaces provided for herein may be liquid, plastic, or fluent compositions
specialized and designed for use between two relatively moving surfaces
and in contact therewith for reducing friction therebetween or preventing
said surfaces from contacting each other. The compositions must
include at least one component that is not a hydrocarbon (except
if the hydrocarbon is a solid synthetic polymer).
Any process of making such compositions, or peculiar to making
such compositions, for which there is no provision elsewhere is
provided for herein.
(4) This class is the generic home for mineral oils admixed
with non-hydrocarbon materials and not limited to a function or
utility provided for elsewhere in Class 252 or any other class.
Examples of such compositions are mineral oils mixed with antioxidants,
corrosion inhibitors, gum inhibitors, stabilizers, etc.
SECTION II - NOTES TO THE CLASS DEFINITION
| | (1)
Note. Components of compositions, if described purely in functional
terms such as "antioxidant," "VI improver," etc.,
will not be considered as determinative of classification. In other
words, one should not classify a claim in a particular subclass
of this class by referring to the specification for the chemical
structure identity of a component described in the claims in purely
functional language. If the claims of a patent are devoid of chemical
structure for the components of a composition, the original classification
of the patent will be subclass 200 or subclass 220, assuming that
the patent claims are not provided for in another class or classes. |
| | (2)
Note. Mere or nominal methods of use of a chemical compound
as a lubricant or separant within the meaning of the class definition
are classified in this class. |
| | (3)
Note. When the term "hydrocarbon" is used in
this class, it means an organic compound which consists exclusively
of carbon and hydrogen. |
| | (4)
Note. When a component of a composition classified in this
Class (508) is of indeterminate chemical structure, the following principles
shall apply to the classification thereof:
| | (a)
a number of subclasses herein provide for components of a
composition described in terms of their being reaction products
of indeterminate structure derived from the reaction of a particular
type compound of known structure. |
| | (b)
a composition component of indeterminate structure that can
not be classified as described in (a), supra, shall be classified by
considering two additional possible methods for classifying it and
employing the one which results in the highest classification in
the class. The two methods are: (1) Classify according to a partial
structure known to be part of the component. (2) Classify based
on a reactant utilized to make the component, and place in the highest
reactant classification, with priority given to organic reactants.
If no organic reactants are used, classify based on the highest
inorganic reactant classification. | |
SECTION III - LINES WITH OTHER CLASSES AND WITHIN THIS CLASS
| | (1)
Note. When the expression "organic compound" is
used in this class, it means a compound which meets the requirements
of the Class 260 class definition, i.e., the molecule is characterized
by two carbons bonded together, one atom of carbon bonded to at
least one atom of hydrogen or halogen, or one atom of carbon bonded
to at least one atom of nitrogen by a single or double bond. Certain
compounds are exceptions to this rule, i.e., HCN, CN-CN, HNCO, HNCS,
cyanogen halides, cyanamide, fulminic acid and metal carbides. Said
exceptions and all other chemical compounds shall be regarded as
inorganic. |
| | (2)
Note. The organic chemical structure terminology used in this
class is consistent with that used in the Glossary for the Class
532 - Organic Compounds - part of the Class 532-570 Series (Published
May 22, 1984 in Addendum No. 1-Order No. 946) except as otherwise
noted. |
| | (3)
Note. The rules for determining Class placement of the Original
Reference (OR) for claimed chemical compositions are set forth in
the Class Definition of Class 252 in the section LINES WITH OTHER CLASSES
AND WITHIN THIS CLASS, subsection COMPOSITION CLASS SUPERIORITY,
which includes a hierarchical ORDER OF SUPERIORITY FOR COMPOSITION
CLASSES. |
SECTION IV - REFERENCES TO OTHER CLASSES
SEE OR SEARCH CLASS:
| 29, | Metal Working,
subclass 404 for a process of breaking in an engine using a
break-in lubricant. |
| 44, | Fuel and Related Compositions,
subclasses 300+ particularly (5) Note to subclass 300 for the line
between Class 44 and this class (252). |
| 75, | Specialized Metallurgical Processes, Compositions
for Use Therein, Consolidated Metal Powder Compositions, and Loose
Metal Particulate Mixtures, appropriate subclasses for a bearing containing a continuous
phase of metal made by consolidating metal particles, particularly
subclass 231 for such a bearing containing molybdenum disulfide
or other solid or other solid lubricant. |
| 102, | Ammunition and Explosives, particularly
subclass 511 for such devices embodying lubricants wherein there
is claimed the structure of the device which is more than a mere
recitation of the composition or of a carrier including a lubricant. |
| 106, | Compositions: coating or Plastic,
subclasses 38.2 through 38.9for compositions used in preparing molds and in
coating molds. These subclasses have not been exhaustively screened for
patents which meet the definition of this Class 508; a search of
these subclasses may thus be appropriate to ensure a complete search. |
| 148, | Metal Treatment,
subclasses 206 through 238for carburizing or nitriding metal substrates using
externally supplied carbon or nitrogen, subclasses 240-287 for processes
of reactive coating of a metal substrate, particularly subclass
246 wherein the reactive coating composition contains a lubricant,
and subclasses 316-319 for carburized or nitrided metal stock. These
subclassees have not been exhaustively screened for patents which
meet the definition of this Class 508; a search of these subclasses, in
particular subclasses 316-319, may thus be appropriate to ensure
a complete search. |
| 184, | Lubrication, for lubricating processes or apparatus. |
| 208, | Mineral Oils: Processes and Products,
subclasses 14+ for compositions consisting of mineral oils or
mixtures thereof, regardless of the use or function, as for example,
fuels, lubricating oils, etc. |
| 252, | Compositions,
subclasses 71+ for similar compositions which are heat exchange,
low freezing or pour point or high boiling. |
| 252, | Compositions,
subclasses 570+ , for fluent dielectric compositions ("insulating
oils") which contain a hydrocarbon and a nonhydrocarbon. |
| 384, | Bearings, appropriate subclasses for bearings that include
lubricants and significant structure of the bearing. Bearings that
include lubricants when claimed solely in terms of the composition
of which they are composed are classified in this class (Class 252). |
| 420, | Alloys or Metallic Compositions, appropriate subclasses for a bearing distinguished
solely by its alloy or metallic composition. |
| 516, | Colloid Systems and Wetting Agents; Subcombinations
Thereof; Processes of Making, Stabilizing, Breaking, or Inhibiting, appropriate subclasses for subject matter relating
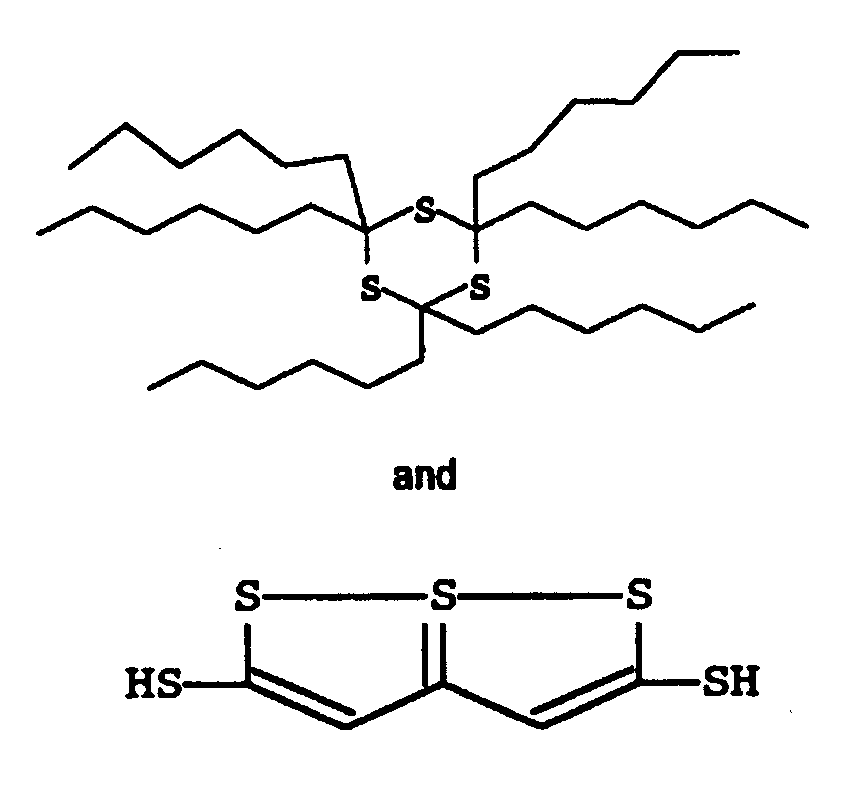
to: colloid systems (such as sols*, emulsions, dispersions,
foams, aerosols, smokes, gels, or pastes) or wetting agents (such
as leveling, penetrating, or spreading); subcombination compositions
of colloid systems containing at least an agent specialized and
designed for or peculiar to use in making or stabilizing colloid
systems; compositions and subcombination compositions specialized
and designed for or peculiar to use in breaking (resolving) or inhibiting
colloid systems; processes of making the compositions or systems
of the class; processes of breaking (resolving) or inhibiting colloid
systems; in each instance, when generically claimed or when there
is no hierarchically superior provision in the USPC for the specifically
claimed art. |
| 520, | Synthetic Resins or Natural Rubbers, appropriate subclasses, particularly Class 523,
subclasses 149+ for a composition containing a synthetic resin
or natural rubbers having utility as a friction element or to processes
of preparing said composition. |
| 585, | Chemistry of Hydrocarbon Compounds,
subclasses 1+ for a composition consisting only of hydrocarbons,
regardless of the use or function, as for example, fuels, lubricating
oils, etc. Such hydrocarbons may not be solid synthetic polymers. |
SUBCLASSES
100 | SOLID ANTIFRICTION DEVICE, ARTICLE OR MATERIAL THEREFOR
(i.e., SHAPED SOLID ARTICLES WHICH RETAIN THEIR SHAPE DURING USE, SUCH
AS BEARINGS, RINGS, SEALS, JOURNAL BOXES, BUSHINGS, BRAKES, CLUTCHES,
GUN WADS, JOURNAL BEARINGS, OR LINERS FOR BEARINGS, BRAKES OR CLUTCHES, OR
MATERIAL THEREFOR, WHEREIN A LUBRICANT IS A PERMANENT PART OF THE
SOLID ANTIFRICTION DEVICE, ARTICLE OR MATERIAL, WHETHER BY PERMANENT
COATING, IMPREGNATION INTO THE INTERSTICES THEREOF, OR BY BEING
PART OF THE COMPOSITION) (E.G., SYNTHETIC RESIN TYPE SOLID ANTIFRICTION
DEVICES, ETC.): |
| | This subclass is indented under the class definition. Antifriction devices, articles or materials therefor under
the ... which, in the case of the articles or devices, are: (1)
solid, (2) shaped, (3) shape-retaining during use and (4) characterized
by having a lubricant substance as a permanent part of the device
or article, which permanence may be accomplished by permanent coating,
impregnation into the interstices thereof, or by being part of the
composition from which the article or device is fashioned; the materials
therefor are the aggregate materials which differ from the articles
or devices only in that they have not been shaped.
| | (1)
Note. This subclass and its indents provide for a backing
which is coated with a layer of lubricating substance, provided that
not enough structure is recited to warrant classification elsewhere. |
| | (2)
Note. This subclass and its indents provide for a backing
which is coated with plural layers only if (a) each layer is a lubricant
layer, and (b) not enough structure is recited to warrant classification elsewhere. |
| | (3)
Note. This subclass and its indents provide for articles,
devices or materials therefor wherein a composition containing metal
powder is sintered, compacted or compressed, only if a lubricant
substance is (1) layered or (2) impregnated on or into the composition
after the composition is sintered, compacted or compressed. |
SEE OR SEARCH CLASS:
| 148, | Metal Treatment,
subclasses 206 through 238for carburizing or nitriding metal substrates using
externally supplied carbon or nitrogen, subclasses 240-287 for processes
of reactive coating of a metal substrate, particularly subclass
246 wherein the reactive coating composition contains a lubricant,
and subclasses 316-319 for carburized or nitrided metal stock. These
subclassees have not been exhaustively screened for patents which
meet the definition of this Class 508; a search of these subclasses,
in particular subclasses 316-319, may thus be appropriate to ensure
a complete search. |
|
| | |
101 | Animal or plant matter (e.g., blood, hair, skin, wood,
hemp, cotton, paper, lard, castor oil, shellac, glue, beeswax, etc.): |
| | This subclass is indented under subclass 100. Devices, articles, or materials which contain animal or
plant matter. |
| | |
110 | LUBRICANTS OR SEPARANTS FOR MOVING SOLID SURFACES AND MISCELLANEOUS
MINERAL OIL COMPOSITIONS (E.G., WATER CONTAINING, ETC.): |
| | This subclass is indented under the class definition. Compositions which are miscellaneous mineral oil compositions,
or are lubricants or separants for moving solid surfaces.
| | (1)
Note. Compositions classifiable in this subclass contain at
least one component that is not a hydrocarbon (except as a solid
synthetic polymer) or a mineral oil. |
| | (2)
Note. This subclass and its indents provide not only for compositions
of lubricants, per se, but also for compositions of additives intended
to enhance the lubricating properties of a lubricant base. An example
of such an additive composition is a viscosity improving additive composition. |
| | (3)
Note. Since additives to lubricant compositions may serve
more than a single purpose, the primary basis of classification
for this subclass and its indents is the chemical structure of the
nonhydrocarbon ingredients of the composition. |
| | (4)
Note. In classifying compositions in this and indented subclasses,
all ingredients intentionally present in the composition are given
equal weight for purposes of classification without regard to the amount
present or whether the component is a lubricant additive or lubricant base. |
| | (5)
Note. An example of a composition provided for herein is an
emulsion of a hydrocarbon oil and water. | |
| | |
111 | Processes of purifying or recovering used lubricant compositions,
and purified or recovered products thereof: |
| | This subclass is indented under subclass 110. Processes which are directed to the chemical or physical
treatment of used lubricant compositions of this class for the purpose
of purification or recovery, or to lubricant compositions described
in terms of a method of purification or recovery thereof after use.
| | (1)
Note. To be classified herein, the process can not simply
be for the purification or recovery of a mineral oil or hydrocarbon lubricating
base. The composition whose purification or recovery is desired
must include at least one component that is not a hydrocarbon (except
if the hydrocarbon is a solid synthetic polymer). |
SEE OR SEARCH CLASS:
| 208, | Mineral Oils: Processes and Products, various subclasses, for the purification and recovery
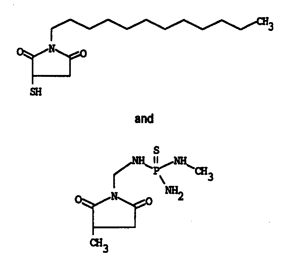
of mineral oils, per se. |
| 585, | Chemistry of Hydrocarbon Compounds,
subclasses 800+ , for the purification and recovery of mixtures
of hydrocarbons that are neither mineral oils nor solid synthetic
polymers. |
|
| | |
113 | Graphite, coal, or elemental carbon: |
| | This subclass is indented under subclass 110. Compositions which contain elemental carbon, coal or graphite.
SEE OR SEARCH CLASS:
| 516, | Colloid Systems and Wetting Agents; Subcombinations
Thereof; Processes of Making, Stabilizing, Breaking, or Inhibiting,
subclass 32 for colloid systems of colloid-sized carbon (e.g., diamond,
graphite) dispersed in primarily organic continuous liquid phase,
subclasses 38+ for colloid systems of colloid-sized bituminous, coal,
or Carbon phase dispersed in aqueous continuous liquid phase, cross-reference
901 for colloid systems of substantially pure elemental carbon (graphite,
lamp black, carbon black, fullerenes); or agents for such systems
or making or stabilizing such systems or agents; in each instance, when
generically claimed or when there is no hierarchically superior
provision in the USPC for the specifically claimed art. |
|
| | |
114 | With silk, sponge, hair, skin, leather, meat, or fibrous
plant matter (e.g., cork, bamboo, bark, sawdust, cotton, etc.): |
| | This subclass is indented under subclass 113. Compositions which contain, in addition to the graphite,
coal, or elemental carbon, at least one of fibrous plant matter,
meat, leather, skin, hair, sponge or silk.
| | (1)
Note. Meat is intended to indicate the flesh of animals. |
| | (2)
Note. Sponge is intended to encompass natural sponge, or synthetic
sponge which is identified as sponge rather than as a particular
chemical substance. If a component is identified both as sponge and
in terms of its chemical structure, said component should be classified
as an original here and should be cross-referenced to the appropriate
chemical structure subclass. |
| | (3)
Note. Hair is intended to encompass the fine, threadlike outgrowths
from the skin of an animal; skin is intended to encompass the outer
covering or integument of an animal body. |
| | (4)
Note. Fibrous plant matter indicates plant matter in which
the plant fibers have not been destroyed. |
| | (5)
Note. Chemically modified cellulose (e.g. CMC, cellulose ethers,
etc.) is not considered as fibrous plant matter. | |
| | |
115 | With naturally occurring resin, salt thereof, agar, natural
rubber, tar, pitch, animal glue, turpentine, or carbohydrate gum: |
| | This subclass is indented under subclass 113. Compositions which contain, in addition to the graphite,
coal or elemental carbon, at least one of carbohydrate gum, turpentine,
animal glue, pitch, tar, natural rubber, agar, naturally occurring
resins, or salts of naturally occurring resins.
| | (1)
Note. For the definition of naturally occurring resin, see
the definition of subclass 200 in Class 530, Chemistry: Natural
Resins or Derivatives; Peptides or Proteins: Lignins or Reaction
Products Thereof. |
| | (2)
Note. Animal glue is intended to encompass the normally impure
animal matter of proteinaceous nature which found early use as an
adhesive, etc. A substance identified as "glue",
without further elucidation, will be construed as animal glue. |
| | (3)
Note. Carbohydrate gum is intended to encompass the complex
carbohydrate mucilaginous plant stem excretions which normally yield
sugar on hydrolysis. Examples are gum arabic and gum tragacanth.
A substance identified as gum, without further elucidation, will
be construed as carbohydrate gum. |
| | (4)
Note. Tar and pitch are generally considered as mineral oils
for purposes of classification. |
SEE OR SEARCH CLASS:
| 208, | Mineral Oils: Processes and Products, especially
subclasses 18+ for lubricating compositions which are mixtures of
mineral oils only. |
|
| | |
116 | With organic -C(=O)O- compound: |
| | This subclass is indented under subclass 113. Compositions which contain, in addition to the graphite,
coal, or elemental carbon, an organic -C(=O)O- compound.
| | (1)
Note. An organic -C(=O)O- compound is one in which
the carbon of the -C(=O)O- is, or is attached directly
or indirectly by nonionic bonding to, the carbon of an organic compound. |
| | (2)
Note. See Notes to the Class Definition for the definition
of an organic compound. |
| | (3)
Note. An example of a component provided for herein is castor
oil. | |
| | |
120 | The organic -C(=O)O- compound is a naturally occurring
carboxylic acid ester wax, or a reaction product thereof of indeterminate structure
(e.g., beeswax, spermaceti, lanolin, degras, Japan wax, etc.): |
| | This subclass is indented under subclass 116. Compositions wherein the organic -C(=O)O- compound
is (1) a reaction product of a naturally occurring carboxylic acid
ester wax, which product is of indeterminate structure, or (2) a
naturally occurring carboxylic acid ester wax, per se. |
| | |
121 | With boron or silicon compound: |
| | This subclass is indented under subclass 116. Compositions which contain, in addition to the organic -C(=O)O-
compound and the graphite, coal or elemental carbon, a compound
which contains boron or silicon.
| | (1)
Note. Example of components provided for herein are borax
and silica. | |
| | |
124 | With silicon compound: |
| | This subclass is indented under subclass 123. Compositions which contain, in addition to the elemental
metal or metal alloy and the graphite, coal, or elemental carbon,
a compound that contains silicon. |
| | |
126 | With silicon compound: |
| | This subclass is indented under subclass 113. Compositions which contain, in addition to the graphite,
coal, or elemental carbon, a compound that contains silicon. |
| | |
127 | With non-silicon inorganic compound (except water): |
| | This subclass is indented under subclass 126. Compositions which contain, in addition to the silicon compound
and the graphite, coal, or elemental carbon, an inorganic compound (excluding
water) that does not contain silicon.
| | (1)
Note. See Notes to the Class Definition for the definition
of organic compound. Any chemical compound not regarded as organic
therein shall be considered inorganic. |
| | (2)
Note. Water may be present as a component herein, providing
that a further non-siliceous inorganic compound is present. | |
| | |
128 | With organic sulfur, phosphorus, or nitrogen compound: |
| | This subclass is indented under subclass 113. Compositions which contain, in addition to the graphite,
coal, or elemental carbon, an organic nitrogen compound, an organic
phosphorus compound, or an organic sulfur compound.
| | (1)
Note. An organic nitrogen compound is one in which nitrogen
is attached directly or indirectly by nonionic bonding to carbon
of an organic compound. Organic phosphorus compounds and organic
sulfur compounds are similarly defined. |
| | (2)
Note. See Notes to the Class Definition for the definition
of an organic compound. | |
| | |
129 | With inorganic compound (except water): |
| | This subclass is indented under subclass 113. Compositions which contain, in addition to the graphite,
coal or elemental carbon, an inorganic compound (except water).
| | (1)
Note. Water may be present as a component herein, provided
that an additional inorganic compound is present. |
| | (2)
Note. See Notes to the Class Definition for the definition
of an organic compound. Any chemical compound not regarded as organic
therein shall be considered inorganic. | |
| | |
130 | With organic oxygen or halogen compound: |
| | This subclass is indented under subclass 113. Compositions which contain, in addition to the graphite,
coal, or elemental carbon, an organic oxygen compound or an organic
halogen compound.
| | (1)
Note. An organic oxygen compound is one in which oxygen is
attached directly or indirectly by nonionic bonding to carbon of
an organic compound. Organic halogen compounds are similarly defined. |
| | (2)
Note. See Notes to the Class Definition for the definition
of an organic compound. | |
| | |
132 | Tar, tar distillate, or chemically reacted tar or tar distillate: |
| | This subclass is indented under subclass 110. Compositions which contain a chemically reacted tar, a chemically
reacted tar distillate, a tar distillate, or tar.
| | (1)
Note. Tar and tar distillate are generally considered as mineral
oils. |
| | (2)
Note. An example of chemically reacted tar provided for herein
is sulfurized tar. |
SEE OR SEARCH CLASS:
| 208, | Mineral Oils: Processes and Products, especially
subclasses 18+ for lubricant compositions which are mixtures of
mineral oils only. |
|
| | |
133 | Asphalt, pitch, pitch distillate, or chemically reacted
asphalt or pitch (e.g., sulfurized, salified, reduced, blown, etc.): |
| | This subclass is indented under subclass 110. Compositions which contain chemically reacted asphalt, chemically
reacted pitch, pitch distillate, pitch, or asphalt.
| | (1)
Note. Pitch, pitch distillate, and asphalt are generally considered
as mineral oils. |
SEE OR SEARCH CLASS:
| 208, | Mineral Oils: Processes and Products, especially
subclasses 18+ for lubricant compositions which are mixtures of
mineral oils only. |
|
| | |
134 | With carboxylic acid or salt thereof: |
| | This subclass is indented under subclass 133. Compositions which contain, in addition to the asphalt,
pitch, pitch distillate, or chemically reacted asphalt or pitch,
a carboxylic acid or salt thereof.
| | (1)
Note. An example of a component provided for herein is lead
naphthenate. | |
| | |
136 | Silicon dioxide, silicic acid, orthosilicate, or metasilicate,
including surface-treated (e.g., clays, onium clays, estersils,
etc.): |
| | This subclass is indented under subclass 110. Compositions which contain silicon dioxide, silicic acid,
orthosilicate, or metasilicate; these materials may be present either
per se or in a surface-treated state.
| | (1)
Note. Surface-treated encompasses both physical and chemical
surface treatment. Silicon dioxide, e.g., may be simply coated,
or its outer layer may be made to chemically react with a surface
treating agent. |
| | (2)
Note. Silicon dioxide is also known as silica, SiO2. |
| | (3)
Note. Silicic acids encompass inorganic compounds wherein
silicon is bonded directly to a hydroxyl group. |
| | (4)
Note. An inorganic compound is any compound not specified
to be organic in (3) Note of the class definition. |
| | (5)
Note. Orthosilicates (M4SiO4)
and metasilicates (M2SiO3)
may combine to form polysilicates, M being metal or in some cases
ammonium. They are salts derived from silica or the silicic acids.
All the common clays are included under this umbrella. |
SEE OR SEARCH CLASS:
| 516, | Colloid Systems and Wetting Agents; Subcombinations
Thereof; Processes of Making, Stabilizing, Breaking, or Inhibiting,
subclasses 31+ for colloid systems of colloid-sized solid or semisolid
phase dispersed in primarily organic continuous liquid phase, subclasses
38+ for colloid systems of colloid-sized bituminous, coal,
or Carbon phase dispersed in aqueous continuous liquid phase, subclasses
77+ for colloid systems of colloid-sized solid phase dispersed
in aqueous continuous liquid phase; subclasses 98+ for colloid
systems of continuous or semicontinuous solid phase with discontinuous
liquid phase (gels, pastes, flocs, coagulates); or agents for such systems
or making or stabilizing such systems or agents; in each instance, when
generically claimed or when there is no hierarchically superior
provision in the USPC for the specifically claimed art. |
|
| | |
137 | With non-siliceous boron compound as additional component
or surface-treating agent: |
| | This subclass is indented under subclass 136. Compositions which contain, in addition to the silicon dioxide,
silicic acid, metasilicate, or orthosilicate, a compound that contains
boron but does not contain silicon; the compound may be present
as an additional component or as a surface-treating agent for the
silicon dioxide, silicic acid, orthosilicate, or metasilicate.
| | (1)
Note. Examples of components provided for herein are boron
nitride, boric acid, and trialkyl borate. | |
| | |
138 | With non-siliceous fluorine-containing polymer as additional
component or surface-treating agent (e.g., polytetrafluoroethylene,
etc.): |
| | This subclass is indented under subclass 136. Compositions which contain, in addition to the silicon dioxide,
silicic acid, orthosilicate, or metasilicate, a polymer that contains
fluorine but does not contain silicon; the polymer may be present
as an additional component or as a surface-treating agent for the
silicon dioxide, silicic acid, orthosilicate, or metasilicate.
| | (1)
Note. An example of a component provided for herein is polytetrafluoroethylene. | |
| | |
139 | With elemental sulfur, elemental metal, or alloy as additional
component or surface-treating agent: |
| | This subclass is indented under subclass 136. Compositions which contain, in addition to the silicon dioxide,
silicic acid, orthosilicate or metasilicate, an alloy, elemental
metal, or elemental sulfur; the elemental sulfur, alloy, or elemental
metal may be present as an additional component or as a surface-treating
agent for the silicon dioxide, silicic acid, orthosilicate, or metasilicate. |
| | |
140 | Asbestos: |
| | This subclass is indented under subclass 136. Compositions which contain asbestos, which may or may not
be surface-treated. |
| | |
141 | With non-siliceous inorganic heavy metal or aluminum compound
as additional component or surface-treating agent (e.g., molybdenum
disulfide, alumina, etc.): |
| | This subclass is indented under subclass 136. Compositions which contain, in addition to the silicon dioxide,
silicic acid, orthosilicate, or metasilicate, a compound which contains heavy
metal or aluminum but does not contain silicon; the compound may
be present as an additional component or as a surface-treating agent
for the silicon dioxide, silicic acid, orthosilicate, or metasilicate.
| | (1)
Note. Examples of components provided for herein are molybdenum
sulfide and aluminum sulfate. |
| | (2)
Note. Arsenic is considered a heavy metal. |
| | (3)
Note. Heavy metals are those with a specific gravity greater
than 4.0. | |
| | |
142 | With carbohydrate or fibrous plant matter as additional
component or surface-treating agent (e.g., starch, elm bark, cellulose
compounds, etc.): |
| | This subclass is indented under subclass 136. Compositions which contain, in addition to the silicon dioxide,
silicic acid, orthosilicate, or metasilicate, a carbohydrate or
fibrous plant matter; the fibrous plant matter or carbohydrate may
be present as an additional component or as a surface-treating agent
for the silicon dioxide, silicic acid, orthosilicate, or metasilicate.
| | (1)
Note. Examples of components provided for herein are dextrine
and elm bark. | |
| | |
143 | With added water: |
| | This subclass is indented under subclass 136. Compositions which contain, in addition to the silicon dioxide,
silicic acid, orthosilicate, or metasilicate, water that has been
intentionally added. |
| | |
144 | With carboxylic acid, salt thereof, sulfonic acid, or salt
thereof as additional component or surface-treating agent: |
| | This subclass is indented under subclass 136. Compositions which contain, in addition to the silicon dioxide,
silicic acid, orthosilicate, or metasilicate, a carboxylic acid,
a carboxylic acid salt, a sulfonic acid, or a sulfonic acid salt; the
carboxylic acid, sulfonic acid, or salts may be present as an additional
component or as a surface-treating agent for the silicon dioxide, silicic
acid, orthosilicate, or metasilicate. |
| | |
145 | With triazine or triazole hetero ring compound as additional
component or surface-treating agent: |
| | This subclass is indented under subclass 136. Compositions which contain, in addition to the silicon dioxide,
silicic acid, orthosilicate or metasilicate, a compound that contains
a triazine hetero ring or a triazole hetero ring; the compound may
be present as an additional component or as a surface-treating agent
for the silicon dioxide, silicic acid, orthosilicate, or metasilicate.
| | (1)
Note. A triazine hetero ring consists of three ring carbons
and three ring nitrogens. A triazole hetero ring consists of two
ring carbons and three ring nitrogens. | |
| | |
146 | With heterocyclic ring compound that has ring sulfur or
has chalcogen double bonded to heterocyclic ring carbon as additional component
or surface-treating agent; a heterocyclic ring is one having as
ring members only carbon and at least one hetero atom selected from
chalcogen (i.e., oxygen, sulfur, selenium, or tellurium) and nitrogen
(e.g., thiadiazoles, cyclic carbonates, etc.): |
| | This subclass is indented under subclass 136. Compositions which contain, in addition to the silicon dioxide,
silicic acid, orthosilicate, or metasilicate, a compound which has
a heterocyclic ring having ring sulfur or having chalcogen (i.e.,
oxygen, sulfur, selenium, or tellurium) double bonded to hetero
ring carbon; the compound may be present as an additional component
or as a surface-treating agent for the silicon dioxide, silicic
acid, orthosilicate, or metasilicate. |
| | |
147 | With azo compound, inorganic phosphorus salt, or oxidate
of undetermined composition as additional component or surface-treating
agent: |
| | This subclass is indented under subclass 136. Compositions which contain, in addition to the silicon dioxide,
silicic acid, orthosilicate, or metasilicate, an azo compound, an
inorganic compound that is a phosphorus salt, or an oxidate of indeterminate
composition; the azo compound, inorganic compound, or oxidate may
be present as an additional component or as a surface-treating agent
for the silicon dioxide, silicic acid, orthosilicate, or metasilicate.
| | (1)
Note. An azo compound is an organic compound characterized
by the group -N=N- wherein both nitrogens are acyclic and
each is bonded directly to carbon. |
| | (2)
Note. See Notes to the Class Definition for the definition
of an organic compound. | |
| | |
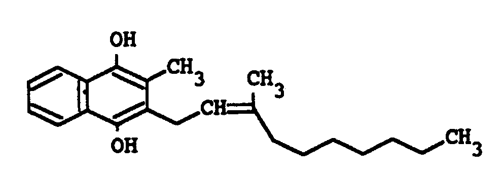
148 | Talc, mica, or ultramarine blue: |
| | This subclass is indented under subclass 136. Compositions which contain talc, mica, or ultramarine blue,
any of which may or may not be surface-treated.
| | (1)
Note. Talc is 3MgO-4SiO2-H2O.
It is also called soapstone, French chalk, steatite, etc. |
| | (2)
Note. Ultramarine blue is of the approximate formula
| |
| | |
152 | Elemental sulfur, selenium, or tellurium: |
| | This subclass is indented under subclass 110. Compositions which contain elemental sulfur, elemental selenium,
or elemental tellurium.
| | (1)
Note. The elemental sulfur must be elemental sulfur that is
added to the composition. Mineral oils, etc. that naturally contain
a small amount of elemental sulfur do not meet the requirement of
this subclass. | |
| | |
153 | With compound containing nitrogen, sulfur, phosphorus,
boron, or halogen: |
| | This subclass is indented under subclass 152. Compositions which contain, in addition to the elemental
sulfur, elemental selenium, or elemental tellurium, a compound that
contains nitrogen, sulfur, phosphorus, boron, or halogen. |
| | |
157 | With triglyceride or naturally occurring ester wax (e.g.,
beeswax, palm oil, tallow, etc.): |
| | This subclass is indented under subclass 156. Compositions which contain, in addition to the inorganic
boron compound, a naturally occurring ester wax or a triglyceride.
| | (1)
Note. To be classified herein as a naturally occurring carboxylic
acid ester wax, a substance must either be characterized as a naturally
occurring carboxylic acid ester wax or be known to be a naturally
occurring carboxylic acid ester wax. |
| | (2)
Note. Examples of known naturally occurring carboxylic acid
ester waxes are lanolin, beeswax, carnauba oil, and spermaceti. |
| | (3)
Note. Triglycerides are compounds wherein glycerine has been
esterified with three molar proportions of the same or different
carboxylic acid, carboxylic acid halide, etc. | |
| | |
160 | With acyclic organic compound consisting of carbon, hydrogen,
and oxygen (e.g., glycols, glycol ethers, alcohols, etc.): |
| | This subclass is indented under subclass 156. Compositions which contain, in addition to the inorganic
boron compound, an acyclic organic compound that consists of carbon,
hydrogen, and oxygen.
| | (1)
Note. See Notes to the Class Definition for the definition
of an organic compound. |
| | (2)
Note. Examples of components provided for herein are aldehydes,
ketones, ethers, and alcohols. | |
| | |
165 | The inorganic compound contains heavy metal or aluminum: |
| | This subclass is indented under subclass 154. Compositions wherein heavy metal or aluminum is in the inorganic
compound.
| | (1)
Note. Arsenic is considered a heavy metal. |
| | (2)
Note. Heavy metals are those with a specific gravity greater
than 4.0. |
| | (3)
Note. Examples of components provided for herein are tungsten
carbonyl and titanium dioxide. | |
| | |
168 | With organic nitrogen or halogen compound: |
| | This subclass is indented under subclass 167. Compositions which contain, in addition to the inorganic
molybdenum or tungsten compound, an organic nitrogen compound or
an organic halogen compound.
| | (1)
Note. An organic nitrogen compound is one wherein nitrogen
is attached directly or indirectly by nonionic bonding to carbon
of an organic compound. Organic halogen compound is similarly defined. |
| | (2)
Note. See Notes to the Class Definition for the definition
of an organic compound. | |
| | |
173 | With organic compound containing silicon: |
| | This subclass is indented under subclass 154. Compositions which contain, in addition to the inorganic
compound, an organic compound that contains silicon.
| | (1)
Note. See Notes to the Class Definition for the definition
of an organic compound. |
| | (2)
Note. There are no restrictions on the type of bonding between
silicon and the remainder of the compound. | |
| | |
174 | With organic phosphorus compound: |
| | This subclass is indented under subclass 154. Compositions which contain, in addition to the inorganic
compound, an organic phosphorus compound.
| | (1)
Note. An organic phosphorus compound is one wherein phosphorus
is attached directly or indirectly by nonionic bonding to carbon
of an organic compound. |
| | (2)
Note. See Notes to the Class Definition for the definition
of an organic compound. | |
| | |
175 | With organic -C(=O)O- compound (e.g., ester waxes,
etc.): |
| | This subclass is indented under subclass 154. Compositions which contain, in addition to the inorganic
compound, an organic -C(=O)O- compound.
| | (1)
Note. An organic -C(=O)O- compound is one wherein
the carbon of the -C(=O)O- group is, or is attached directly or
indirectly by nonionic bonding to, the carbon of an organic compound. |
| | (2)
Note. See Notes to the Class Definition for the definition
of an organic compound. | |
| | |
177 | With organic nitrogen compound: |
| | This subclass is indented under subclass 175. Compositions which contain, in addition to the inorganic
compound and the organic -C(=O)O- compound, an organic
nitrogen compound.
| | (1)
Note. An organic nitrogen compound is one wherein nitrogen
is attached directly or indirectly to carbon of an organic compound
by nonionic bonding. |
| | (2)
Note. See Notes to the Class Definition for the definition
of an organic compound. | |
| | |
178 | The inorganic compound is a metal hydroxide or metal oxide: |
| | This subclass is indented under subclass 175. Compositions wherein the inorganic compound is present as
a metal hydroxide or as a metal oxide.
| | (1)
Note. To be provided for herein, the hydroxide or oxide must
be present by intention, rather than merely in a trace amount remaining
from, e.g., a saponification reaction. | |
| | |
179 | With organic nitrogen or sulfur compound: |
| | This subclass is indented under subclass 154. Compositions which contain, in addition to the inorganic
compound, an organic nitrogen or an organic sulfur compound.
| | (1)
Note. An organic nitrogen compound is one wherein nitrogen
is attached directly or indirectly by nonionic bonding to carbon
of an organic compound. Organic sulfur compound is similarly defined. |
| | (2)
Note. See Notes to the Class Definition for the definition
of an organic compound. | |
| | |
181 | PTFE (polytetrafluoroethylene): |
| | This subclass is indented under subclass 110. Compositions which contain an addition homopolymer of tetrafluoroethylene, CF2=CF2.
| | (1)
Note. The addition polymers provided for herein have the general
formula (-CF2-CF2-)n . | |
| | |
183 | With silicon compound, or organic phosphorus or sulfur
compound: |
| | This subclass is indented under subclass 181. Compositions which contain, in addition to the polytetrafluoroethylene,
an organic phosphorus compound, an organic sulfur compound, or an organic
compound that contains silicon.
| | (1)
Note. An organic phosphorus compound is one wherein phosphorus
is attached directly or indirectly by nonionic bonding to carbon
of an organic compound. Organic sulfur compound is similarly defined. |
| | (2)
Note. See Notes to the Class Definition for the definition
of an organic compound. |
| | (3)
Note. The organic compound that contains silicon provided
for herein can contain the silicon attached directly or indirectly
to carbon of the organic compound by any type bonding. | |
| | |
185 | Organic compound containing boron: |
| | This subclass is indented under subclass 110. Compositions which contain boron in an organic compound
component.
| | (1)
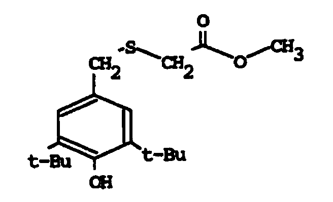
Note. An example of a component provided for herein is:
|
| | (2)
Note. This subclass and its indents provide for organic compound
components containing boron, regardless of the type bonding between
boron and the rest of the compound. |
SEE OR SEARCH THIS CLASS, SUBCLASS:
| 150+, | for compositions containing elemental boron. |
| 155+, | for compositions containing boron compounds that
are inorganic. |
|
| | |
186 | Borated or boronated carbonated or overbased organic acid
salts (e.g., borated overbased carbonated sulfonates, etc.): |
| | This subclass is indented under subclass 185. Compositions wherein boron is present in the component as
a borated or boronated carbonated or overbased salt of an organic
acid.
| | (1)
Note. The organic acids most generally employed herein are
sulfonic acids and phenols. |
| | (2)
Note. An overbased compound herein is one which an amount
of metal (e.g., Mg, Ca, Ba, Sr) is present which is greater than
the stoichiometric amount of metal which would be present if the
organic acid were completely neutralized. |
| | (3)
Note. A carbonated compound herein is the complex resulting
from the reaction of carbon dioxide with a metal salt of an organic
acid. |
| | (4)
Note. The structure of the components provided for herein
is generally not clear. The components are generally described in
terms of their method of synthesis. | |
| | |
187 | Phosphorus or silicon containing: |
| | This subclass is indented under subclass 185. Compositions wherein the boron component also contains silicon
or phosphorus.
| | (1)
Note. An example of a component provided for herein is: [(CH3O)2-P(S)S-CH2CH2-0]3B |
| | (2)
Note. The components provided for herein are not subject to
any restrictions relative to the bonding between the boron and the
phosphorus or silicon. | |
| | |
188 | Nitrogen containing: |
| | This subclass is indented under subclass 187. Compositions wherein the boron component contains (1) phosphorus
and nitrogen or (2) silicon and nitrogen.
| | (1)
Note. The components provided for herein are not subject to
any restrictions relative to the bonding among the boron, phosphorus,
and nitrogen or the boron, silicon, and nitrogen. | |
| | |
189 | Nitrogen containing (i.e., nitrogen and boron in the same
compound): |
| | This subclass is indented under subclass 185. Compositions wherein the boron component also contains nitrogen.
| | (1)
Note. The components provided for herein are not subject to
any restrictions relative to the bonding between the boron and the
nitrogen. |
| | (2)
Note. An example of a component provided for herein is dibutylammon ium tetrafluoroborate. | |
| | |
193 | Sulfur containing: |
| | This subclass is indented under subclass 189. Compositions wherein the boron component contains nitrogen
and sulfur.
| | (1)
Note. The components provided for herein are not subject to
any restriction relative to the bonding among the boron, nitrogen,
and sulfur. |
| | (2)
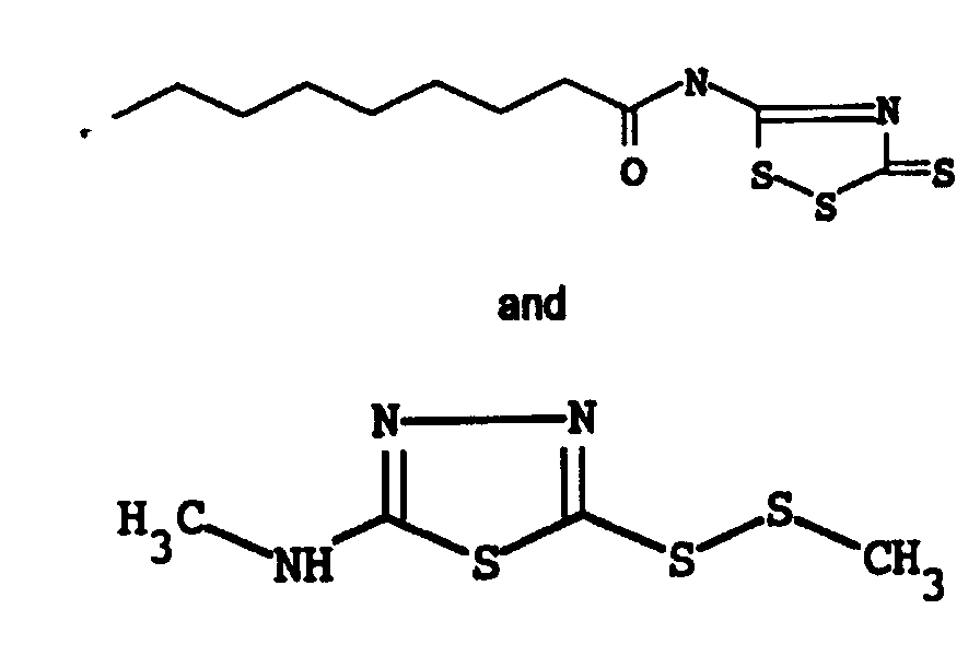
Note. An example of a component provided for herein is

| |
| | |
194 | Carbonyl containing: |
| | This subclass is indented under subclass 189. Compositions wherein the boron component contains nitrogen
and carbonyl, -C(=O)-.
| | (1)
Note. The components provided for herein are not subject to
any restriction relative to the bonding among the boron, nitrogen,
and carbonyl. | |
| | |
196 | With nitrogen heterocycle compound (e.g., thiadiazoles,
etc.): |
| | This subclass is indented under subclass 195. Compositions which contain, in addition to the boron component,
a nitrogen heterocycle compound.
| | (1)
Note. A nitrogen heterocycle is a ring whose ring members
are carbon and at least one hetero atom selected from nitrogen and
chalcogen (i.e., oxygen, sulfur, selenium, or tellurium). In this subclass,
the heterocycle must contain ring nitrogen. | |
| | |
197 | Sulfur or halogen bonded indirectly to boron: |
| | This subclass is indented under subclass 185. Compositions wherein the boron is bonded indirectly to sulfur
or to halogen.
| | (1)
Note. The components provided for herein are not subject to
any restrictions relative to the bonding by which the boron is indirectly
attached to sulfur or halogen. |
| | (2)
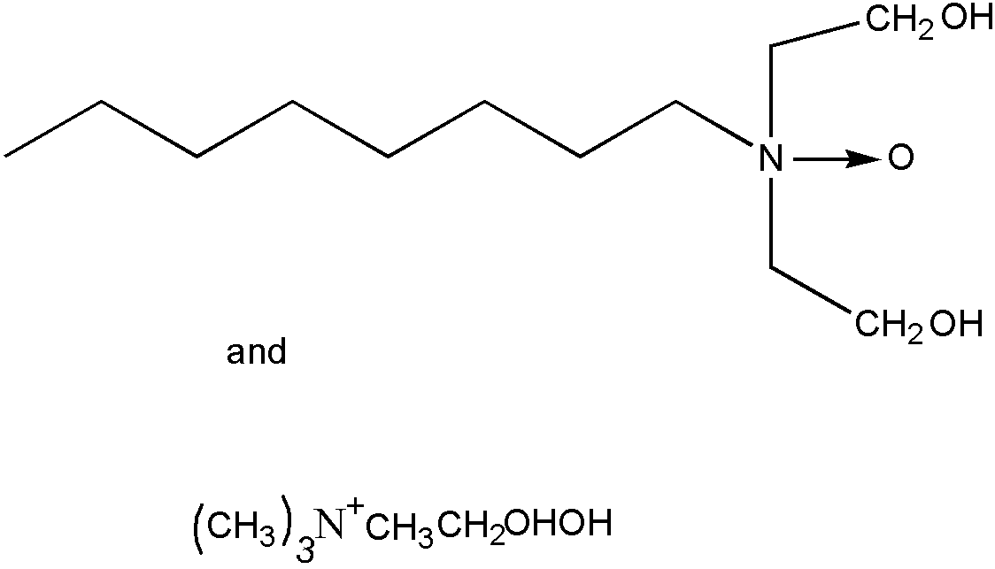
Note. An example of a component provided for herein is

| |
| | |
198 | Carbonyl containing: |
| | This subclass is indented under subclass 185. Compositions wherein the boron component also contains carbonyl,
-C(=O)-.
| | (1)
Note. An example of a component provided for herein is the
reaction product of calcium alkyl salicylate and orthoboric acid. | |
| | |
200 | Benzene ring containing: |
| | This subclass is indented under subclass 185. Compositions wherein the boron component contains a benzene
ring.
| | (1)
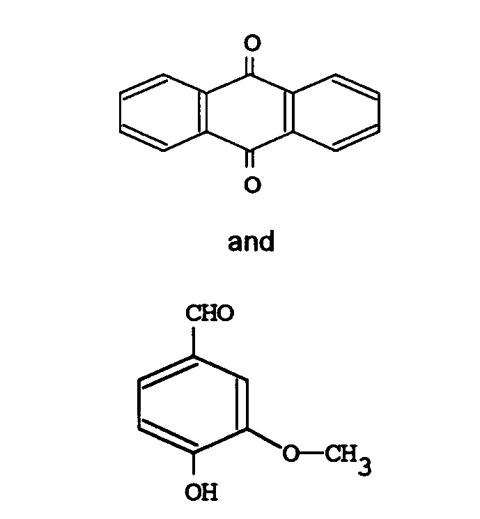
Note. An example of a component provided for herein is

| |
| | |
201 | Compound of indeterminate structure, prepared by reacting
a silicon compound of known structure: |
| | This subclass is indented under subclass 110. Compositions which contain a compound of indeterminate structure,
prepared by the reaction of a silicon compound of known structure.
| | (1)
Note. Examples of components provided for herein are the reaction
product of a poly (organo) silicone with an organic peroxide, and
the reaction product of silicon disulfide with heptaldehyde. |
SEE OR SEARCH THIS CLASS, SUBCLASS:
| 161, | for compositions containing silicon compounds which
are inorganic. |
|
| | |
202 | Organic compound containing silicon (e.g., silicon esters): |
| | This subclass is indented under subclass 110. Compositions which contain silicon in an organic compound
component.
| | (1)
Note. An example of a component provided for herein is

|
| | (2)
Note. This subclass and its indents provide for organic compound
components containing silicon, regardless of the type bonding between
silicon and the remainder of the compound. |
SEE OR SEARCH THIS CLASS, SUBCLASS:
| 161, | for compositions containing silicon compounds that
are inorganic. |
|
| | |
203 | The silicon is in a ring: |
| | This subclass is indented under subclass 202. Compositions wherein a ring has silicon as one of its members.
| | (1)
Note. Examples of components provided for herein are cyclosiloxanes
and

| |
| | |
209 | With organic nitrogen compound: |
| | This subclass is indented under subclass 208. Compositions which contain, in addition to the silicon compound,
an organic nitrogen compound.
| | (1)
Note. An organic nitrogen compound is one wherein nitrogen
is attached directly or indirectly by nonionic bonding to carbon
of an organic compound. |
| | (2)
Note. See Notes to the Class Definition for the definition
of an organic compound. | |
| | |
210 | The nitrogen is in a hetero ring: |
| | This subclass is indented under subclass 209. Compositions wherein the nitrogen is a ring member of a
hetero ring.
| | (1)
Note. A hetero ring is one whose ring members are carbon and
at least one hetero atom selected from nitrogen and chalcogen (i.e.,
oxygen, sulfur, selenium, or tellurium). In this subclass, the hetero ring
must contain ring nitrogen. | |
| | |
212 | With organic -C(=O)O- compound (e.g., lithium
12-hydroxystearate, etc.): |
| | This subclass is indented under subclass 208. Compositions which contain, in addition to the silicon compound,
an organic -C(=O)O- compound.
| | (1)
Note. An organic -C(=O)O- compound is one wherein
the carbon of the -C(=O)O- is, or is attached directly
or indirectly by nonionic bonding to, the carbon of an organic compound. |
| | (2)
Note. See Notes to the Class Definition for the definition
of an organic compound. | |
| | |
215 | With organic phosphorus, sulfur, or halogen compound: |
| | This subclass is indented under subclass 208. Compositions which contain, in addition to the silicon compound,
an organic phosphorus compound, an organic sulfur compound or an organic
halogen compound.
| | (1)
Note. An organic phosphorus compound is one wherein phosphorus
is attached directly or indirectly by nonionic bonding to carbon
of an organic compound. Organic sulfur compound and organic halogen
compound are similarly defined. |
| | (2)
Note. See Notes to the Class Definition for the definition
of an organic compound. | |
| | |
216 | Protein, carbohydrate, lignin, plant matter of indeterminate
structure, or their reaction product of indeterminate structure: |
| | This subclass is indented under subclass 110. Compositions which contain (1) carbohydrate, (2) protein,
(3) lignin, (4) plant matter of indeterminate structure, or (5)
a product of indeterminate structure prepared by reacting any of (1),
(2), (3) or (4).
| | (1)
Note. Plant matter of indeterminate structure embraces both
crude, unprocessed plant material and substances of indeterminate
structure derived from processed or refined plant material. |
SEE OR SEARCH CLASS:
| 530, | Chemistry: Natural Resins or Derivatives,
subclass 350 definition and notes for the definition of a protein; subclass
500 for the definition of a lignin. |
| 536, | Organic Compound, class definition for the definition of a carbohydrate. |
|
| | |
217 | Animal protein (e.g., fish scales, etc.): |
| | This subclass is indented under subclass 216. Compositions which contain animal protein.
| | (1)
Note. Included herein is animal protein in its raw and unprocessed
forms (as in body parts or segments thereof), as well as in the
form of partially or completely processed, refined, or isolated
chemicals. | |
| | |
220 | With carboxylic acid or salt thereof: |
| | This subclass is indented under subclass 216. Compositions which contain, in addition to the protein,
carbohydrate, lignin, plant matter of indeterminate structure, or
their reaction product of indeterminate structure, either a carboxylic
acid or a salt of a carboxylic acid. |
| | |
222 | The heterocyclic compound reactant contains a lactone or
cyclic carbonate ring: |
| | This subclass is indented under subclass 221. Compositions wherein a lactone or a cyclic carbonate ring
is present in the heterocyclic compound reactant.
| | (1)
Note. A lactone, for purposes of this subclass, is characterized
by a hetero ring consisting of carbons and the -C(=O)O- group,
e.g.,

|
| | (2)
Note. A cyclic carbonate, for purposes of this subclass, is
characterized by a hetero ring consisting of carbons and the -O-C(=O)O-
group, e.g.,

| |
| | |
232 | The heterocyclic compound reactant contains a carboxylic
acid anhydride ring: |
| | This subclass is indented under subclass 221. Compositions wherein a carboxylic acid anhydride ring is
present in the heterocyclic compound reactant.
| | (1)
Note. A carboxylic acid anhydride ring, for purposes of this
subclass, is characterized by the presence of a -C(=O)-O-C(=O)-
group as part of the ring structure. |
| | (2)
Note. Maleic anhydride and succinic anhydride are the two
most common carboxylic acid anhydride reactants provided for herein. | |
| | |
237 | With organic phosphorus compound: |
| | This subclass is indented under subclass 232. Compositions which contain, in addition to the compound
of indeterminate structure prepared by the reaction of the carboxylic
acid anhydride reactant, an organic phosphorus compound.
| | (1)
Note. An organic phosphorus compound is one wherein phosphorus
is attached directly or indirectly by nonionic bonding to carbon
of an organic compound. |
| | (2)
Note. See Notes to the Class Definition for the definition
of an organic compound. | |
| | |
245 | Chalcogen in the hetero ring: |
| | This subclass is indented under subclass 244. Compositions wherein the hetero ring with carbon and nitrogen
ring members also has chalcogen (i.e., oxygen, sulfur, selenium,
or tellurium) as a ring member.
| | (1)
Note. Examples of components provided for herein are

| |
| | |
252 | With compound having saturated or unsaturated triazine,
azole, or pyridine ring: |
| | This subclass is indented under subclass 251. Compositions which contain, in addition to the polycyclo
ring system having the hetero ring as one of the cyclos, a compound
having a pyridine, triazine, or azole ring which may be saturated
or unsaturated.
| | (1)
Note. The pyridine ring is six-membered consisting of five
carbons and one nitrogen. The triazine ring is six-membered consisting
of three carbons and three nitrogens. The azole ring is five-membered
and has at least two ring hetero atoms, of which at least one must
be nitrogen. | |
| | |
253 | With organic phosphorus compound: |
| | This subclass is indented under subclass 251. Compositions which contain, in addition to the polycyclo
ring system having the hetero ring as one of the cyclos, an organic
phosphorus compound.
| | (1)
Note. An organic phosphorus compound is one wherein phosphorus
is attached directly or indirectly by nonionic bonding to carbon
of an organic compound. |
| | (2)
Note. See Notes to the Class Definition for the definition
of an organic compound. | |
| | |
254 | With organic non-heterocyclic nitrogen compound: |
| | This subclass is indented under subclass 251. Compositions which contain, in addition to the polycyclo
ring system having the hetero ring as one of the cyclos, an organic
nitrogen compound which does not contain a heterocyclic ring.
| | (1)
Note. An organic nitrogen compound is one wherein nitrogen
is attached directly or indirectly by nonionic bonding to carbon
of an organic compound. |
| | (2)
Note. See Notes to the Class Definition for the definition
of an organic compound. | |
| | |
255 | Plural nitrogens in the hetero ring: |
| | This subclass is indented under subclass 244. Compositions wherein the six-membered hetero ring has plural
nitrogen ring members.
| | (1)
Note. An example of the type component provided for herein
is monocyclic pyrimidine (1,3-diazine) compounds. | |
| | |
256 | Polycyclo ring system which contains the hetero ring as
one of the cyclos: |
| | This subclass is indented under subclass 255. Compositions wherein the hetero ring is one of the cyclos
of a polycyclo ring system.
| | (1)
Note. Fused and bridged ring systems are considered to be
polycyclo ring systems. Two rings joined solely by a spiro linkage
are not considered to form a polycyclo ring system. |
| | (2)
Note. An example of a component provided for herein is

| |
| | |
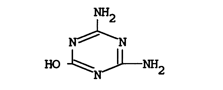
257 | Triazines: |
| | This subclass is indented under subclass 255. Compositions wherein the hetero ring consists of three carbons
and three nitrogens.
| | (1)
Note. An example of a component provided for herein is

| |
| | |
259 | 1,4-Diazines: |
| | This subclass is indented under subclass 255. Compositions wherein the hetero ring consists of four carbons
and two nitrogens, the nitrogens being in the 1- and 4-positions
of the ring.
| | (1)
Note. An example of a component provided for herein is:

| |
| | |
261 | Polycyclo ring system which contains the hetero ring as
one of the cyclos: |
| | This subclass is indented under subclass 244. Compositions wherein the hetero ring is one of the cyclos
of a polycyclo ring system.
| | (1)
Note. Fused and bridged ring systems are considered to be
polycyclo ring systems. Two rings joined solely by a spiro linkage
are not considered to form a polycyclo ring system. |
| | (2)
Note. An example of a component provided for herein is

| |
| | |
262 | Piperidines: |
| | This subclass is indented under subclass 244. Compositions wherein the hetero ring is a completely saturated
ring consisting of one nitrogen and five carbons.
| | (1)
Note. An example of a component provided for herein is

| |
| | |
265 | Non-pyridine organic nitrogen salt of the polymer, or a
non-pyridine organic nitrogen compound is present: |
| | This subclass is indented under subclass 264. Compositions which (1) contain, in addition to the vinyl
pyridine polymer, a non-pyridine organic nitrogen compound, or (2)
contain the vinyl pyridine polymer in the form of its salt with
a non-pyridine organic nitrogen compound.
| | (1)
Note. Examples of components provided for herein are (a) the
N, N-dibutylcarbamic acid salt of lauryl methacrylate/2-methyl-5-vinyl
pyridine copolymer, and (b) the combination of a vinyl pyridine/alkyl
acrylate copolymer and an alkaline earth petroleum sulfonate-trialkylamine complex. |
| | (2)
Note. An organic nitrogen compound is one wherein nitrogen
is attached directly or indirectly by nonionic bonding to carbon
of an organic compound. |
| | (3)
Note. See Notes to the Class Definition for the definition
of organic compound. | |
| | |
279 | Three or four nitrogens in the hetero ring (e.g., 1,2,4-triazole,
tetrazole, etc.): |
| | This subclass is indented under subclass 269. Compositions wherein the hetero ring has three nitrogen
ring members or four nitrogen ring members.
| | (1)
Note. The components provided for herein are monocyclic tetrazoles,
monocyclic 1,2,3-triazoles, and monocyclic 1,2,4-triazoles. | |
| | |
282 | With organic phosphorus compound: |
| | This subclass is indented under subclass 280. Compositions which contain, in addition to the hetero ring
containing component, an organic phosphorus compound.
| | (1)
Note. An organic phosphorus compound is one wherein phosphorus
is attached directly or indirectly by nonionic bonding to carbon
of an organic compound. |
| | (2)
Note. See Notes to the Class Definition for the definition
of an organic compound. | |
| | |
294 | With organic phosphorus compound: |
| | This subclass is indented under subclass 293. Compositions which contain, in addition to the hetero ring
containing component, an organic phosphorus compound.
| | (1)
Note. An organic phosphorus compound is one wherein phosphorus
is attached directly or indirectly by nonionic bonding to carbon
of an organic compound. |
| | (2)
Note. See Notes to the Class Definition for the definition
of an organic compound. | |
| | |
295 | With organic chalcogen or halogen compound: |
| | This subclass is indented under subclass 293. Compositions which contain, in addition to the hetero ring
containing component, an organic halogen compound or an organic
chalcogen (i.e., oxygen, sulfur, selenium, or tellurium) compound.
| | (1)
Note. An organic halogen compound is one wherein halogen is
attached directly or indirectly by nonionic bonding to carbon of
an organic compound. Organic chalcogen compound is similarly defined. |
| | (2)
Note. See Notes to the Class Definition for the definition
of organic compound. | |
| | |
297 | Having a -C(=X)X- group, wherein the X"s are
the same or diverse chalcogens, attached directly or indirectly
to the hetero ring by acyclic nonionic bonding (e.g., vinylpyrrolidone-acrylate
copolymers, etc.): |
| | This subclass is indented under subclass 268. Compositions wherein the hetero ring is attached directly
or indirectly by acyclic nonionic bonding to a -C(=X)X-
group, wherein the X"s are the same or diverse chalcogens
(i.e., oxygen, sulfur, selenium, or tellurium).
| | (1)
Note. Examples of components provided for herein are: a copolymer
of N-vinyl pyrrolidone and lauryl methacrylate, and

| |
| | |
298 | With metal compound, or organic phosphorus or sulfur compound: |
| | This subclass is indented under subclass 297. Compositions which contain, in addition to the hetero ring
containing component, an organic sulfur compound, an organic phosphorus
compound, or an organic compound that contains metal.
| | (1)
Note. An organic sulfur compound is one wherein sulfur is
attached directly or indirectly by nonionic bonding to carbon of
an organic compound. Organic phosphorus compound is similarly defined. |
| | (2)
Note. See Notes to the Class Definition for the definition
of an organic compound. | |
| | |
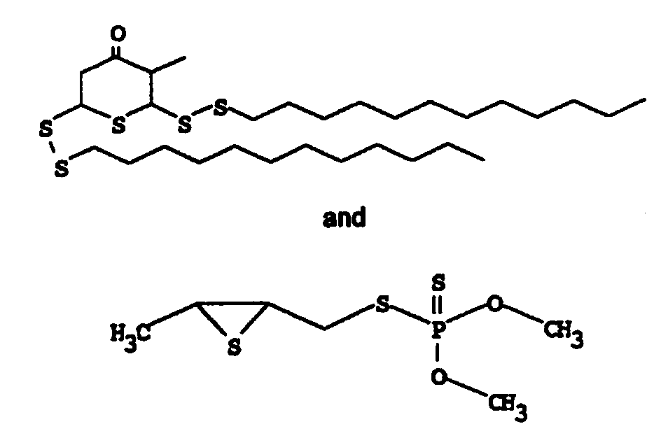
300 | Plural hetero atoms in the hetero ring (e.g., 1,3-dithiane,
etc.): |
| | This subclass is indented under subclass 299. Compositions wherein the hetero ring has more than one ring
hetero atom.
| | (1)
Note. Examples of components provided for herein are

|
| | (2)
Note. This subclass also provides for components having a
hetero ring with more than six members, ring sulfur and ring nitrogen,
e.g., thiadiazepines, etc. | |
| | |
310 | With organic nitrogen compound: |
| | This subclass is indented under subclass 308. Compositions which contain, in addition to the hetero ring
containing component, an organic nitrogen compound.
| | (1)
Note. An organic nitrogen compound is one wherein nitrogen
is attached directly or indirectly by nonionic bonding to carbon
of an organic compound. |
| | (2)
Note. See Notes to the Class Definition for the definition
of an organic compound. | |
| | |
312 | Organic oxidate of indeterminate composition: |
| | This subclass is indented under subclass 110. Compositions which contain a compound of indeterminate structure
prepared by oxidation of an organic compound or of a mixture of organic
compounds.
| | (1)
Note. The oxidates of this subclass and its indents are generally
complex mixtures. An indication that the oxidate contains carboxylic
acids is not sufficient to remove it from this subclass or its indents. |
| | (2)
Note. See Notes to the Class Definition for the definition
of organic compound. | |
| | |
313 | Substance oxidized contains nitrogen, chalcogen, halogen
or phosphorus (e.g., oxidized sulfonate, phenol, ozonide, soap,
etc.): |
| | This subclass is indented under subclass 312. Compositions wherein nitrogen, halogen, phosphorus, or chalcogen
(i.e., oxygen, sulfur, selenium, or tellurium) is present in the
substance oxidized. |
| | |
315 | Carboxylic acid ester subsequently formed from alcohol
or acid of the organic oxidate: |
| | This subclass is indented under subclass 312. Compositions which contain a carboxylic acid ester subsequently
formed from an alcohol or acid that is part of the organic oxidate
of indeterminate composition.
| | (1)
Note. This subclass does not provide for carboxylic acid esters
of known structure, per se; such are classified as components in
subclass 459 and its indents. |
| | (2)
Note. This subclass provides for components wherein an organic
oxidate of indeterminate composition is made to undergo esterification
(of either alcohol or carboxylic acid) to yield (1) a mixture, still
of indeterminate composition, containing a carboxylic acid ester,
or (2) a carboxylic acid ester of indeterminate composition. | |
| | |
319 | With organic sulfur, phosphorus, or halogen compound: |
| | This subclass is indented under subclass 312. Compositions which contain, in addition to the organic oxidate
of indeterminate structure, an organic sulfur compound, an organic
phosphorus compound, or an organic halogen compound.
| | (1)
Note. An organic sulfur compound is one wherein sulfur is
attached directly or indirectly by nonionic bonding to carbon of
an organic compound. Organic phosphorus compound and organic halogen compound
are similarly defined. |
| | (2)
Note. See Notes to the Class Definition for the definition
of an organic compound. | |
| | |
327 | With organic halogen compound: |
| | This subclass is indented under subclass 326. Compositions which contain, in addition to the organic -C(=O)O-
compound which is sulfurized and reacted with phoaphorus, an inorganic phosphorus
compound, or an organic halogen compound.
| | (1)
Note. An organic halogen compound is one wherein halogen is
attached directly or indirectly by nonionic bonding to carbon of
an organic compound. |
| | (2)
Note. See Notes to the Class Definition for the definition
of an organic compound. | |
| | |
334 | With an organic nitrogen compound, which may or may not
be reacted with the sulfurized compound: |
| | This subclass is indented under subclass 322. Compositions (1) which contain, in addition to the sulfurized
organic compound, an organic nitrogen compound or (2) wherein the
sulfurized organic compound is reacted with an organic nitrogen
compound.
| | (1)
Note. An organic nitrogen compound is one wherein nitrogen
is attached directly or indirectly by nonionic bonding to carbon
of an organic compound. |
| | (2)
Note. See Notes to the Class Definition for the definition
of an organic compound. | |
| | |
335 | The nitrogen is attached directly or indirectly to -C(=X)-,
wherein X is chalcogen, by nonionic bonding (e.g., phosphatides, amides,
zinc diamyl dithiocarbamate, etc.): |
| | This subclass is indented under subclass 334. Compositions wherein-C(=X)-, wherein X is chalcogen
(i.e., oxygen, sulfur, selenium, or tellurium), is attached directly
or indirectly to the nitrogen by nonionic bonding. |
| | |
337 | With an organic phosphorus compound, which may or may not
be reacted with the sulfurized compound: |
| | This subclass is indented under subclass 322. Compositions (1) which contain, in addition to the sulfurized
organic compound, an organic phosphorus compound, or (2) wherein
the sulfurized organic compound is reacted with an organic phosphorus
compound.
| | (1)
Note. An organic phosphorus compound is one wherein phosphorus
is attached directly or indirectly by nonionic bonding to carbon
of an organic compound. |
| | (2)
Note. See Notes to the Class Definition for the definition
of an organic compound. | |
| | |
339 | With an organic -C(=O)O- compound, which may or
may not be reacted with the sulfurized compound: |
| | This subclass is indented under subclass 322. Compositions (1) which contain, in addition to the sulfurized
organic compound, an organic -C(=O)O- compound, or (2)
wherein the sulfurized organic compound is reacted with an organic-C(=O)O-
compound.
| | (1)
Note. An organic -C(=O)O- compound is one in which
the carbon of the -C(=O)O- group is, or is attached directly or
indirectly by nonionic bonding to, the carbon of an organic compound. |
| | (2)
Note. See Notes to the Class Definition for the definition
of an organic compound. | |
| | |
341 | With organic halogen compound: |
| | This subclass is indented under subclass 322. Compositions (1) which contain, in addition to the sulfurized
organic compound, an organic halogen compound, or (2) wherein the
sulfurized organic compound is reacted with an organic halogen compound.
| | (1)
Note. An organic halogen compound is one wherein halogen is
attached directly or indirectly by nonionic bonding to carbon of
an organic compound. |
| | (2)
Note. See Notes to the Class Definition for the definition
of an organic compound. | |
| | |
342 | With an organic oxygen compound, which may or may not be
reacted with the sulfurized compound: |
| | This subclass is indented under subclass 322. Compositions which (1) contain, in addition to the sulfurized
organic compound, an organic oxygen compound, or (2) wherein the
sulfurized organic compound is reacted with an organic oxygen compound.
| | (1)
Note. An organic oxygen compound is one in which oxygen is
attached directly or indirectly by nonionic bonding to carbon of
an organic compound. |
| | (2)
Note. See Notes to the Class Definition for the definition
of an organic compound. | |
| | |
345 | The carboxylic acid ester is a naturally occurring triglyceride
or a naturally occurring wax ester (e.g., sulfurized lard oil, degras,
etc.): |
| | This subclass is indented under subclass 344. Compositions wherein the carboxylic acid ester is a naturally
occurring wax ester or a naturally occurring triglyceride.
| | (1)
Note. Examples of naturally occurring ester waxes are lanolin,
beeswax, degras, carnauba wax, etc. |
| | (2)
Note. Examples of naturally occurring triglycerides are corn
oil, lard, soybean oil, palm oil, etc. | |
| | |
349 | The organic compound is a phosphorus ester or an organic
-S(=O)(=O)O- compound (e.g., phosphosulfurized
petroleum mahogany sulfonates, etc.): |
| | This subclass is indented under subclass 346. Compositions wherein the organic compound that is phosphosulfurized
or phosphooxidized is a phosphorus ester or an organic -S(=O)(=O)O-
compound.
| | (1)
Note. A phosphorus ester is characterized by divalent chalcogen
bonded to both phosphorus and carbon, wherein the carbon may be
single bonded to any atom but may be multiple bonded only to additional
carbon. |
| | (2)
Note. An organic -S(=O)(=O)O- compound is
one wherein the-S(=O)(=O)O- group is attached
directly or indirectly by nonionic bonding to carbon of an organic
compound. |
| | (3)
Note. See Notes to the Class Definition for the definition
of an organic compound. | |
| | |
350 | Phosphosulfurized or phosphooxidized mixture of hydrocarbon
and organic oxygen compound: |
| | This subclass is indented under subclass 346. Compositions wherein the organic compound is a component
of a mixture of hydrocarbon and an organic oxygen compound, which
mixture is phosphosulfurized or phosphooxidized, resulting in a
mixture of phosphosulfurized or phosphooxidized hydrocarbon and
phosphosulfurized or phosphooxidized organic oxygen compound.
| | (1)
Note. An organic oxygen compound is one wherein oxygen is
attached directly or indirectly by nonionic bonding to carbon of
an organic compound. |
| | (2)
Note. See Notes to the Class Definition of the definition
of an organic compound. | |
| | |
352 | The organic compound is a naturally occurring triglyceride
or a naturally occurring wax ester (e.g., phosphosulfurized degras, etc.): |
| | This subclass is indented under subclass 351. Compositions wherein the organic compound that is phosphosulfurized
or phosphooxidized is a naturally occurring wax ester or naturally occurring
triglyceride.
| | (1)
Note. Examples of naturally occurring wax esters are lanolin,
beeswax, spermaceti, carnauba wax, etc. |
| | (2)
Note. Examples of naturally occurring triglycerides are corn
oil, lard, soybean oil, palm oil, etc. | |
| | |
353 | The organic compound contains -XH, wherein X is chalcogen,
bonded directly to carbon and H of -XH may be replaced by metal
(e.g., phosphosulfurized alkyl phenol sulfides, etc.): |
| | This subclass is indented under subclass 346. Compositions wherein the organic compound that is phosphosulfurized
or phosphooxidized contains carbon bonded directly to -XH, wherein
H of -XH may be replaced by metal and X is chalcogen (i.e., oxygen,
sulfur, selenium, or tellurium).
| | (1)
Note. Examples of components provided for herein are phosphosulfurized
or phosphooxidized phenols, thiophenols, alcohols, and their salts,
etc. | |
| | |
356 | The nitrogen is attached directly or indirectly to -C(=X)-,
wherein X is chalcogen, by nonionic bonding (e.g., amides, aminocarboxylic
acids, etc.): |
| | This subclass is indented under subclass 355. Compositions wherein-C(=X)-, wherein X is chalcogen
(i.e., oxygen, sulfur, selenium or tellurium), is attached directly
or indirectly to the nitrogen of the organic nitrogen compound by nonionic
bonding. |
| | |
359 | With an organic -C(=X)X- compound, wherein the
X"s may be same or diverse chalcogens, which compound may
or may not be reacted with the phosphosulfurized or phosphooxidized
hydrocarbon: |
| | This subclass is indented under subclass 354. Compositions (1) which contain, in addition to the phosphosulfurized
or phosphooxidized hydrocarbon, an organic-C(=X)X- compound, wherein
the X"s may be the same or diverse chalcogens (i.e., oxygen,
sulfur, selenium, or tellurium) or (2) wherein the phosphosulfurized
or phosphooxidized hydrocarbon is reacted with such an organic -C(=X)X-
compound.
| | (1)
Note. An organic -C(=X)X- compound is one wherein
the carbon of the -C(=X)X- group is, or is attached directly or
indirectly by nonionic bonding to, the carbon of an organic compound. |
| | (2)
Note. See Notes to the Class Definition for the definition
of an organic compound. | |
| | |
360 | With an organic chalcogen compound, which may or may not
be reacted with the phosphosulfurized or phosphooxidized hydrocarbon
(e.g., phenols, alcohols, quinones, etc.): |
| | This subclass is indented under subclass 354. Compositions (1) which contain, in addition to the phosphosulfurized
or phosphooxidized hydrocarbon, an organic chalcogen (i.e., oxygen,
sulfur, selenium, or tellurium) compound or (2) wherein the phosphosulfurized
or phosphooxidized hydrocarbon is reacted with an organic chalcogen
compound.
| | (1)
Note. An organic chalcogen compound is one in which chalcogen
is attached directly or indirectly by nonionic bonding to carbon
of an organic compound. |
| | (2)
Note. See Notes to the Class Definition for the definition
of an organic compound. | |
| | |
362 | Nitrogen and heavy metal, or nitrogen and aluminum, in
the same compound: |
| | This subclass is indented under subclass 110. Compositions which contain a compound containing heavy metal
and nitrogen, or a compound containing aluminum and nitrogen.
| | (1)
Note. Arsenic is considered a heavy metal. |
| | (2)
Note. Heavy metals are considered to be those having a specific
gravity greater than 4.0. |
| | (3)
Note. Examples of components provided for herein are trioctylmethylammonium thiomolybdate
and C6H5NHAsCl2
. | |
| | |
364 | With organic nitrogen, phosphorus, or chalcogen compound: |
| | This subclass is indented under subclass 363. Compositions which contain, in addition to the nitrogen-heavy
metal or nitrogen-aluminum compound, an organic phosphorus compound, an
organic nitrogen compound, or an organic chalcogen (i.e., oxygen,
sulfur, selenium, or tellurium) compound.
| | (1)
Note. An organic phosphorus compound is one wherein phosphorus
is attached directly or indirectly by nonionic bonding to carbon
of an organic compound. Organic nitrogen compound and organic chalcogen
compound are similarly defined. |
| | (2)
Note. See Notes to the Class Definition for the definition
of an organic compound. | |
| | |
365 | With metal compound: |
| | This subclass is indented under subclass 364. Compositions which contain, further, an organic compound
that contains metal.
| | (1)
Note. See Notes to the Class Definition for the definition
of an organic compound. | |
| | |
367 | Containing -C(=X)-, wherein X is chalcogen: |
| | This subclass is indented under subclass 362. Compositions wherein the compound that contains nitrogen
and heavy metal or nitrogen and aluminum also contains -C(=X)-,
wherein X is chalcogen (i.e, oxygen, sulfur, selenium, or tellurium).
| | (1)
Note. An example of a component provided for herein is [(C8H17)2N-CH2CH2COO]2Pb | |
| | |
368 | Heavy metal or aluminum in an organic phosphorus compound
having four chalcogens bonded directly to the phosphorus: |
| | This subclass is indented under subclass 110. Compositions which contain an organic phosphorus compound
which (1) contains heavy metal or aluminum and (2) has four chalcogens (i.e.,
oxygen, sulfur, selenium, or tellurium) bonded directly to the phosphorus.
| | (1)
Note. An organic phosphorus compound is one wherein phosphorus
is attached directly or indirectly by nonionic bonding to carbon
of an organic compound. |
| | (2)
Note. See Notes to the Class Definition for the definition
of an organic compound. |
| | (3)
Note. An example of a component provided for herein is (CH3O)2-P(S)S-Ti(OCH3)3 | |
| | |
371 | The heavy metal is zinc: |
| | This subclass is indented under subclass 368. Compositions wherein zinc is the heavy metal.
| | (1)
Note. An example of a component provided for herein is zinc
dihexyl dithiophosphate. | |
| | |
372 | With organic sulfonate compound: |
| | This subclass is indented under subclass 371. Compositions which contain, in addition to the zincorganic
phosphorus compound, an organic sulfonate compound.
| | (1)
Note. An organic sulfonate compound is one wherein an -S(=O)(O)O-
group is attached directly or indirectly by nonionic bonding to
carbon of an organic compound. |
| | (2)
Note. See Notes to the Class Definition for the definition
of an organic compound. | |
| | |
373 | With organic nitrogen compound: |
| | This subclass is indented under subclass 372. Compositions which contain, in addition to the zincorganic
phosphorus compound and the organic sulfonate compound, an organic
nitrogen compound.
| | (1)
Note. An organic nitrogen compound is one wherein nitrogen
is attached directly or indirectly by nonionic bonding to carbon
of an organic compound. |
| | (2)
Note. See Notes to the Class Definition for the definition
of an organic compound. | |
| | |
374 | With organic -C(=X)X- compound, wherein the X"s
may be the same or diverse chalcogens: |
| | This subclass is indented under subclass 372. Compositions which contain, in addition to the zincorganic
phosphorus compound and the organic sulfonate compound, an organic
-C(=X)X- compound, wherein the X"s may be the
same or diverse chalcogens (i.e., oxygen, sulfur, selenium, or tellurium).
| | (1)
Note. An organic -C(=X)X- compound is one wherein
the carbon of the -C(=X)X- group is, or is attached directly or
indirectly by nonionic bonding to, the carbon of an organic compound. |
| | (2)
Note. See Notes to the Class Definition for the definition
of an organic compound. | |
| | |
375 | With organic nitrogen compound: |
| | This subclass is indented under subclass 371. Compositions which contain, in addition to the zincorganic
phosphorus compound, an organic nitrogen compound.
| | (1)
Note. An organic nitrogen compound is one wherein nitrogen
is attached directly or indirectly by nonionic bonding to carbon
of an organic compound. |
| | (2)
Note. See Notes to the Class Definition for the definition
of an organic compound. | |
| | |
378 | With organic chalcogen compound that does not contain phosphorus: |
| | This subclass is indented under subclass 371. Compositions which contain, in addition to the zincorganic
phosphorus compound, an organic chalcogen (i.e., oxygen, sulfur,
selenium, or tellurium) compound that does not contain phosphorus.
| | (1)
Note. An organic chalcogen compound is one wherein chalcogen
is attached directly or indirectly by nonionic bonding to carbon
of an organic compound. |
| | (2)
Note. See Notes to the Class Definition for the definition
of an organic compound. | |
| | |
380 | With organic chalcogen compound that does not contain phosphorus: |
| | This subclass is indented under subclass 368. Compositions which contain, in addition to the organic phosphorus
compound, an organic chalcogen (i.e., oxygen, sulfur, selenium,
or tellurium) compound that does not contain phosphorus.
| | (1)
Note. An organic chalcogen compound is one wherein chalcogen
is attached directly or indirectly by nonionic bonding to carbon
of an organic compound. |
| | (2)
Note. See Notes to the Class Definition for the definition
of an organic compound. | |
| | |
382 | Heavy metal or aluminum bonded directly to carbon: |
| | This subclass is indented under subclass 110. Compositions wherein carbon is bonded directly to heavy
metal or to aluminum.
| | (1)
Note. Arsenic is considered a heavy metal. |
| | (2)
Note. Heavy metals are those whose specific gravity is greater
than 4.0. |
| | (3)
Note. An example of a component provided for herein is (CH3)3Sn-Sn(C6H5)3 | |
| | |
385 | Heavy metal or aluminum naphthenate, in combination with
an organic nitrogen, sulfur, or phosphorus compound: |
| | This subclass is indented under subclass 110. Compositions which contain an organic nitrogen compound,
an organic sulfur compound, or an organic phosphorus compound, in
combination with a heavy metal or aluminum salt of naphthenic acid.
| | (1)
Note. Arsenic is considered a heavy metal. |
| | (2)
Note. Heavy metals are those whose specific gravity is greater
than 4.0. |
| | (3)
Note. An organic nitrogen compound is one wherein nitrogen
is attached directly or indirectly by nonionic bonding to carbon
of an organic compound. Organic sulfur compound and organic phosphorus
compound are similarly defined. |
| | (4)
Note. See Notes to the Class Definition for the definition
of an organic compound. | |
| | |
386 | Organic -XCN or -N=C=X compound, wherein
X is chalcogen: |
| | This subclass is indented under subclass 110. Compositions wherein-XCN or -N=C=X, wherein
X in each instance is chalcogen (i.e., oxygen, sulfur, selenium,
or tellurium), is attached directly or indirectly by nonionic bonding
to carbon of an organic compound.
| | (1)
Note. See Notes to the Class Definition for the definition
of an organic compound. |
| | (2)
Note. Examples of components provided for herein are C6H5-N=C=S
and C6H5CH2SCN
. | |
| | |
387 | Compound of indeterminate structure, prepared by reacting
an organic sulfonate compound of known structure: |
| | This subclass is indented under subclass 110. Compositions which contain a compound of indeterminate structure,
prepared by the reaction of a compound of known structure having carbon
of an organic compound attached directly or indirectly by nonionic
bonding to a sulfonate, -S(=O)(=O)O-, group.
| | (1)
Note. Components of indeterminate structure prepared by the
reaction of organic sulfate compounds of known structure are provided
for herein, because the sulfate group, -O-S(=O)(=O)O-,
contains-S(=O)(=O)O-. |
| | (2)
Note. See Notes to the Class Definition for the definition
of an organic compound. | |
| | |
391 | Overbased or carbonated sulfonates: |
| | This subclass is indented under subclass 390. Compositions wherein the organic -S(=O)(=O)O-
compound is an overbased or carbonated sulfonic acid.
| | (1)
Note. An overbased compound herein is one in which an amount
of metal (e.g., Mg, Ca, Ba, Sr) is present which is greater than
the stoichiometric amount of metal which would be present if the sulfonic
acid were completely neutralized. |
| | (2)
Note. A carbonated compound herein is the complex resulting
from the reaction of carbon dioxide with metal sulfonates. | |
| | |
401 | Prepared by addition of carbon dioxide, carbonic acid,
or salt thereof: |
| | This subclass is indented under subclass 391. Compositions wherein the overbased or carbonated sulfonate
is prepared by addition of carbon dioxide, carbonic acid, or a salt
thereof to a reaction mixture containing a sulfonic acid or salt
thereof, or by simultaneous addition of (1) carbon dioxide, carbonic
acid, or a salt thereof and (2) sulfonic acid or salt thereof to
a reaction mixture.
| | (1)
Note. The reaction mixture may not contain alkylphenol, substituted
alkylphenol, or a salt thereof. Such processes are provided for
in subclass 392, supra. | |
| | |
402 | Multiple additions thereof: |
| | This subclass is indented under subclass 401. Compositions wherein the overbased or carbonated sulfonate
is prepared by a process utilizing multiple, separate additions
of carbon dioxide, carbonic acid, or a salt thereof. |
| | |
407 | With rosin, tall oil, or derivatives thereof of indeterminate
structure: |
| | This subclass is indented under subclass 390. Compositions which contain, in addition to the sulfonate
group containing compound, rosin, tall oil, or derivatives of indeterminate
structure thereof.
| | (1)
Note. If an additional component is identified as fatty acid(s)
or abietic acid(s) of known structure derived from rosin or tall
oil, such acids are classified on the basis of their structure.
If the acids are identified solely by reference to their source,
they are classified here. | |
| | |
408 | With organic phosphorus compound (e.g., phosphate esters,
etc.): |
| | This subclass is indented under subclass 390. Compositions which contain, in addition to the sulfonate
group containing compound, an organic phosphorus compound.
| | (1)
Note. An organic phosphorus compound is one wherein phosphorus
is attached directly or indirectly by nonionic bonding to carbon
of an organic compound. |
| | (2)
Note. See Notes to the Class Definition for the definition
of an organic compound. | |
| | |
410 | Organic nitrogen compound salt of a sulfonic acid, or an
organic nitrogen compound is present: |
| | This subclass is indented under subclass 390. Compositions which (1) contain, in addition to the sulfonate
group containing compound, an organic nitrogen compound or (2) which
contain an organic nitrogen compound salt of a sulfonic acid.
| | (1)
Note. An organic nitrogen compound is one wherein nitrogen
is attached directly or indirectly by nonionic bonding to carbon
of an organic compound. |
| | (2)
Note. See Notes to the Class Definition for the definition
of an organic compound. | |
| | |
413 | With organic -C(=O)O- compound: |
| | This subclass is indented under subclass 390. Compositions which contain, in addition to the sulfonate
containing compound, an organic -C(=O)O- compound.
| | (1)
Note. An organic -C(=O)O- compound is one wherein
the carbon of the -C(=O)O- group is, or is attached directly or
indirectly by nonionic bonding to, carbon of an organic compound. |
| | (2)
Note. See Notes to the Class Definition for the definition
of an organic compound. | |
| | |
416 | With organic halogen or non-sulfonate chalcogen compound
(e.g., haloparaffins, ethers, ketones, polyols, etc.): |
| | This subclass is indented under subclass 390. Compositions which contain, in addition to the sulfonate
containing compound, an organic halogen compound or an organic chalcogen (i.e.,
oxygen, sulfur, selenium, or tellurium) compound that does not contain
a sulfonate group.
| | (1)
Note. An organic halogen compound is one wherein halogen is
attached directly or indirectly by nonionic bonding to carbon of
an organic compound. Organic chalcogen compound is similarly defined. |
| | (2)
Note. See Notes to the Class Definition for the definition
of an organic compound. | |
| | |
418 | Aluminum or heavy metal sulfonate salt: |
| | This subclass is indented under subclass 390. Compositions which contain a heavy metal or an aluminum
salt of a sulfonic acid.
| | (1)
Note. Arsenic is considered a heavy metal. |
| | (2)
Note. Heavy metals are those whose specific gravity is greater
than 4.0. | |
| | |
436 | Organic nitrogen compound salt of phosphorus acid, or organic
nitrogen compound is present with phosphorus acid: |
| | This subclass is indented under subclass 433. Compositions which (1) contain, in addition to the organic
phosphorus compound present as a phosphorus acid, an organic nitrogen
compound or (2) wherein the organic phosphorus compound is in the
form of an organic nitrogen compound salt of an organic phosphorus
acid.
| | (1)
Note. An organic nitrogen compound is one wherein nitrogen
is attached directly or indirectly by nonionic bonding to carbon
of an organic compound. |
| | (2)
Note. See Notes to the Class Definition for the definition
of an organic compound. | |
| | |
437 | With organic -C(=O)O- compound: |
| | This subclass is indented under subclass 436. Compositions which contain, in addition to the component
of subclass 436, an organic -C(=O)O- compound.
| | (1)
Note. An organic -C(=O)O- compound is one wherein
the carbon of the -C(O)O- group is, or is attached directly or indirectly
by nonionic bonding to, the carbon of an organic compound. |
| | (1)
Note. See Notes to the Class Definition for the definition
of an organic compound. | |
| | |
438 | With organic nitrogen, sulfur, or halogen compound: |
| | This subclass is indented under subclass 433. Compositions which contain, in addition to the organic phosphorus
compound, an organic nitrogen compound, an organic sulfur compound,
or an organic halogen compound.
| | (1)
Note. An organic nitrogen compound is one wherein nitrogen
is attached directly or indirectly by nonionic bonding to carbon
of an organic compound. Organic sulfur compound and organic halogen compound
are similarly defined. |
| | (2)
Note. See Notes to the Class Definition for the definition
of an organic compound. | |
| | |
439 | With organic -C(=O)O- compound: |
| | This subclass is indented under subclass 438. Compositions which contain, in addition to the organic phosphorus
compound and the organic nitrogen compound, organic sulfur compound or
organic halogen compound, an organic -C(=O)O- compound.
| | (1)
Note. An organic -C(=O)O- compound is one wherein
the carbon of the -C(=O)O- group is, or is attached directly or
indirectly by nonionic bonding to, the carbon of an organic compound. |
| | (2)
Note. See Notes to the Class Definition for the definition
of an organic compound. | |
| | |
440 | With organic -C(=O)O- compound: |
| | This subclass is indented under subclass 433. Compositions which contain, in addition to the organic phosphorus
compound, an organic -C(=O)O- compound.
| | (1)
Note. An organic -C(=O)O- compound is one wherein
the carbon of the -C(=O)O- group is, or is attached directly or
indirectly by nonionic bonding to, the carbon of an organic compound. |
| | (2)
Note. See Notes to the Class Definition for the definition
of an organic compound. | |
| | |
442 | With organic chalcogen or nitrogen compound: |
| | This subclass is indented under subclass 441. Compositions which contain, in addition to the organic phosphorus
compound, an organic chalcogen compound or an organic nitrogen compound.
| | (1)
Note. An organic chalcogen compound is one wherein chalcogen
is attached directly or indirectly by nonionic bonding to carbon
of an organic compound. Organic nitrogen compound is similarly defined. |
| | (2)
Note. See Notes to the Class Definition for the definition
of an organic compound. | |
| | |
443 | Organic -C(=X)X- compound, wherein the X"s
are the same or diverse chalcogens, with at least one X being sulfur: |
| | This subclass is indented under subclass 110. Compositions which contain a compound wherein the carbon
of a -C(=X)X- group is, or is attached directly or indirectly
by nonionic bonding to, the carbon of an organic compound, and wherein
the X"s may be the same or diverse chalcogens (i.e., oxygen,
sulfur, selenium, or tellurium), with at least one X being sulfur.
| | (1)
Note. See Notes to the Class Definition for the definition
of an organic compound. |
| | (2)
Note. Examples of components provided for herein are: C5H11-C(O)S-SC(O)C5H11 ;
and (C6H5CSS)2Ca | |
| | |
447 | Organic cyano or isocyano compound: |
| | This subclass is indented under subclass 110. Compositions which contain a compound wherein a cyano group
(-CN) or an isocyano group (-N=C) is attached directly
or indirectly to carbon of an organic compound by nonionic bonding.
| | (1)
Note. See Notes to the Class Definition for the of an organic
compound. |
| | (2)
Note. An example of a component provided for herein is benzonitrile. | |
| | |
449 | Rosin, tall oil, or derivatives of indeterminate structure
thereof: |
| | This subclass is indented under subclass 110. Compositions which contain rosin, tall oil, or derivatives
of indeterminate structure thereof.
| | (1)
Note. If a component is identified as fatty acid(s) or abietic
acid(s) of known structure derived from rosin or tall oil, such
acids are classified on the basis of their structure. If the acids
are identified solely by reference to their source, they are classified
here. | |
| | |
451 | Naturally occurring carboxylic acid ester wax (e.g., carnauba
wax, lanolin, beeswax, etc.): |
| | This subclass is indented under subclass 110. Compositions which contain a naturally occurring carboxylic
acid ester wax.
| | (1)
Note. To be classified herein, a component must be characterized
as a naturally occurring carboxylic acid ester wax, or must be a
substance known to be a naturally occurring carboxylic acid ester wax. |
| | (2)
Note. Examples of known naturally occurring carboxylic acid
ester waxes are lanolin, beeswax, carnauba oil, and spermaceti. | |
| | |
459 | Organic -C(=O)O- compound: |
| | This subclass is indented under subclass 110. Compositions which contain a compound wherein the carbon
of a -C(=O)O- group is, or is attached directly or indirectly
by nonionic bonding to, the carbon of an organic compound.
| | (1)
Note. See Notes to the Class Definition for the definition
of an organic compound. |
| | (2)
Note. Examples of components provided for herein are oleic
acid and stearic acid. | |
| | |
460 | Overbased or carbonated carboxylates: |
| | This subclass is indented under subclass 459. Compositions wherein the organic -C(=O)O- compound
is an overbased or carbonated carboxylic acid.
| | (1)
Note. An overbased compound herein is one in which an amount
of metal (e.g., Mg, Ca, Ba, Sr) is present which is greater than
the stoichiometric amount of metal which would be present if the carboxylic
acid were completely neutralized. |
| | (2)
Note. A carbonated compound herein is the complex resulting
from the reaction of carbon dioxide with metal carboxylates. | |
| | |
463 | Specified compound wherein the single bonded oxygen is
bonded directly to an additional carbon, which carbon may be single
bonded to any atom but may be multiple bonded only to carbon (i.e.,
specified carboxylic acid ester): |
| | This subclass is indented under subclass 459. Compositions which contain a specified compound wherein
an additional carbon is bonded directly to the single bonded oxygen,
which carbon may be single bonded to any atom but may be multiple
bonded only to carbon.
| | (1)
Note. This subclass encompasses carboxylic acid esters. |
| | (2)
Note. The expression "specified compound" means
that a carboxylic acid ester lubricant base component, in order to
be classified in this subclass or its indents, must be structurally
identified to the point where the component can be placed in this
subclass or a specific indent on the basis of a complete structure.
This structure may be expressed generically or specifically, but
it must be expressed in the claims. Such descriptions as "ester," "carboxylic
acid ester," "aryl ester," "aliphatic
ester," "substituted carboxylic acid ester," etc.
will not be deemed sufficient to warrant classification in this
subclass or its indents. A generically expressed structure which would
be properly classifiable herein may be exemplified by "an
alkyl benzoate, substituted in the alkyl portion by halogen, amino
or alkoxy." Such a generic expression allows identification of exact substances within its scope. |
| |
When a carboxylic acid ester is present as a lubricant additive
rather than as a lubricant base, placement of such an additive will
be effected in the normal manner. | |
| | |
466 | Polymer of alpha, beta-olefinically unsaturated dicarboxylic
acid ester monomer, or of esterified alpha, beta-olefinically unsaturated
dicarboxylic acid or anhydride monomer (e.g., copolymer of maleic
acid ester and vinyl alkyl ether, etc.): |
| | This subclass is indented under subclass 465. Compositions wherein the compound having plural -C(=O)O-
groups is a polymer prepared from an alpha,beta-olefinically unsaturated dicarboxylic
acid ester monomer, or from an alpha, beta-olefinically unsaturated
dicarboxylic acid or anhydride monomer which is esterified before,
during, or after polymerization.
| | (1)
Note. The monomers are normally addition polymerized through
the olefinic double bond. |
| | (2)
Note. The polymers encompassed herein may be homopolymers
or copolymers. |
| | (3)
Note. Typical alpha, beta-olefinically unsaturated dicarboxylic
ester monomers are maleates and fumarates. | |
| | |
474 | With non-acrylate organic chalcogen compound: |
| | This subclass is indented under subclass 469. Compositions which contain, in addition to the polymer of
the alpha, beta-olefinically unsaturated carboxylate monomer, an
organic chalcogen (i.e., oxygen, sulfur, selenium, or tellurium)
compound that is not an acrylate.
| | (1)
Note. An organic chalcogen compound is one wherein chalcogen
is attached directly or indirectly by nonionic bonding to carbon
of an organic compound. |
| | (2)
Note. See Notes to the Class Definition for the definition
of an organic compound. |
| | (3)
Note. An acrylate has the basic structure H2C=CH-C(=O)O-,
wherein substitution may be made for hydrogen only. | |
| | |
477 | Benzene ring, chalcogen, or -C(=X)-, wherein X
is chalcogen, attached directly to the nitrogen by nonionic bonding: |
| | This subclass is indented under subclass 476. Compositions wherein the nitrogen is attached directly to
a benzene ring, chalcogen (i.e., oxygen, sulfur, selenium, or tellurium)
or -C(=X)-, wherein X is chalcogen, by nonionic bonding.
| | (1)
Note. An example of a component provided for herein is
| |
HO-N-[CH2-S-CH2-C(=O)OCH3]2 | | |
| | |
487 | With organic nitrogen or phosphorus compound: |
| | This subclass is indented under subclass 486. Compositions which contain, in addition to the specified
carboxylic acid ester, an organic nitrogen compound or an organic
phosphorus compound.
| | (1)
Note. An organic nitrogen compound is one wherein nitrogen
is attached directly or indirectly by nonionic bonding to carbon
of an organic compound. Similar considerations apply to an organic
phosphorus compound. |
| | (2)
Note. See Notes to the Class Definition for the definition
of an organic compound. | |
| | |
489 | With organic non-carboxylic acid ester oxygen compound
or halogen compound: |
| | This subclass is indented under subclass 486. Compositions which contain, in addition to the specified
carboxylic acid ester, an organic halogen compound or an organic
oxygen compound that is not a carboxylic acid ester.
| | (1)
Note. An additional carboxylic acid ester may be present that
is not the specified carboxylic acid ester of subclass 486, provided
there is also present an organic halogen compound or an organic
oxygen compound that is not a carboxylic acid ester. |
| | (2)
Note. An organic oxygen compound is one wherein oxygen is
attached directly or indirectly by nonionic bonding to carbon of
an organic compound. An organic halogen compound is similarly defined. |
| | (3)
Note. See Notes to the Class Definition for the definition
of an organic compound. | |
| | |
492 | Polycarboxylic acid esterifies polyhydroxy alcohol: |
| | This subclass is indented under subclass 485. Compositions wherein the specified carboxylic acid ester
is formed by the esterification of a polyhydroxy alcohol with a
polycarboxylic acid.
| | (1)
Note. An example of a component provided for herein is:
| |
C18H35OOCC2H4COOC2H4OOCC2H4COOH | | |
| | |
493 | With organic non-carboxylic acid ester chalcogen compound,
nitrogen compound, or halogen compound: |
| | This subclass is indented under subclass 492. Compositions which contain, in addition to the specified
carboxylic acid ester, an organic nitrogen compound, an organic
halogen compound, or an organic chalcogen (i.e., oxygen, sulfur,
selenium, or tellurium) compound that is not a carboxylic acid ester.
| | (1)
Note. An additional carboxylic acid ester may be present that
is not the specified carboxylic acid ester of subclass 492, provided
there is also present one of an organic nitrogen compound, an organic halogen
compound, or an organic chalcogen compound that is not a carboxylic acid
ester. |
| | (2)
Note. An organic nitrogen compound is one wherein nitrogen
is attached directly or indirectly by nonionic bonding to carbon
of an organic compound. Organic halogen compounds and organic chalcogen
compounds are similarly defined. |
| | (3)
Note. See Notes to the Class Definition for the definition
of an organic compound. | |
| | |
495 | With organic non-carboxylic acid ester chalcogen compound
or nitrogen compound: |
| | This subclass is indented under subclass 485. Compositions which contain, in addition to the specified
carboxylic acid ester, an organic nitrogen compound or an organic
chalcogen (i.e., oxygen, sulfur, selenium, or tellurium) compound
that is not a carboxylic acid ester.
| | (1)
Note. An additional carboxylic acid ester may be present that
is not the specified carboxylic acid ester of subclass 485, provided
there is also present one of an organic nitrogen compound or an organic
chalcogen compound that is not a carboxylic acid ester. |
| | (2)
Note. An organic nitrogen compound is one wherein nitrogen
is attached directly or indirectly by nonionic bonding to carbon
of an organic compound. An organic chalcogen compound is similarly defined. |
| | (3)
Note. See Notes to the Class Definition for the definition
of an organic compound. | |
| | |
499 | With hydrocarbon polymer, organic halogen compound, or
organic non-carboxylic acid ester chalcogen compound: |
| | This subclass is indented under subclass 496. Compositions which contain, in addition to the specified
carboxylic acid ester, an organic halogen compound, a polymeric
hydrocarbon or an organic chalcogen (i.e., oxygen, sulfur, selenium,
or tellurium) compound that is not a carboxylic acid ester.
| | (1)
Note. An additional carboxylic acid ester may be present that
is not the specified carboxylic acid ester of subclass 496, provided
there is also present one of an organic halogen compound, a hydrocarbon
polymer, or an organic chalcogen compound that is not a carboxylic
acid ester. |
| | (2)
Note. An organic halogen compound is one wherein halogen is
attached directly or indirectly by nonionic bonding to carbon of
an organic compound. An organic chalcogen compound is similarly defined. |
| | (3)
Note. See Notes to the Class Definition for the definition
of an organic compound. | |
| | |
503 | With carboxylic acid, carboxylic acid salt, or organic
nitrogen compound: |
| | This subclass is indented under subclass 501. Compositions which contain, in addition to the specified
carboxylic acid ester, a carboxylic acid, a carboxylic acid salt,
or an organic nitrogen compound.
| | (1)
Note. An organic nitrogen compound is one wherein nitrogen
is attached directly or indirectly by nonionic bonding to carbon
of an organic compound. |
| | (2)
Note. See Notes to the Class Definition for the definition
of an organic compound. | |
| | |
505 | With hydrocarbon polymer or organic non-carboxylic acid
ester oxygen compound (e.g., polybutene, dimer carboxylic acids, alcohols,
etc.): |
| | This subclass is indented under subclass 463. Compositions which contain, in addition to the specified
carboxylic acid ester, a polymeric hydrocarbon or an organic oxygen
compound that is not a carboxylic acid ester.
| | (1)
Note. An additional carboxylic acid ester may be present that
is not the specified carboxylic acid ester of subclass 463, provided
that there is also present one of a polymeric hydrocarbon or an
organic oxygen compound that is not a carboxylic acid ester. |
| | (2)
Note. An organic oxygen compound is one wherein oxygen is
attached directly or indirectly by nonionic bonding to carbon of
an organic compound. |
| | (3)
Note. See Notes to the Class Definition for the definition
of an organic compound. | |
| | |
511 | Organic nitrogen salt of a polycarboxylic acid, or with
organic nitrogen compound: |
| | This subclass is indented under subclass 506. Compositions (1) which contain, in addition to the component
having the additional -C(=O)O- group, an organic nitrogen
compound, or (2) which contain an organic nitrogen compound salt
of a polycarboxylic acid.
| | (1)
Note. An organic nitrogen compound is one wherein nitrogen
is attached directly or indirectly by nonionic bonding to carbon
of an organic compound. |
| | (2)
Note. See Notes to the Class Definition for the definition
of an organic compound. | |
| | |
520 | With ether or alcohol (except glycerin): |
| | This subclass is indented under subclass 519. Compositions which contain, in addition to the -C(=O)O-
compound, an alcohol (except glycerin) or an ether.
| | (1)
Note. Glycerin may be present in compositions of this subclass,
provided that there is also present an ether or an alcohol that
is not glycerin. | |
| | |
527 | Organic nitrogen salt of a carboxylic acid, or an organic
nitrogen compound is present: |
| | This subclass is indented under subclass 459. Compositions which (1) contain, in addition to the -C(=O)O-
compound, an organic nitrogen compound, or (2) wherein the -C(=O)O-
compound is in the form of an organic nitrogen compound salt of
a carboxylic acid.
| | (1)
Note. An organic nitrogen compound is one wherein nitrogen
is attached directly or indirectly by nonionic bonding to carbon
of an organic compound. |
| | (2)
Note. See Notes to the Class Definition for the definition
of an organic compound. | |
| | |
528 | Having -C(=X)-, wherein X is chalcogen, attached
directly to the nitrogen (e.g., amides, polyureas, etc.): |
| | This subclass is indented under subclass 527. Compositions wherein the nitrogen is attached directly to
-C(=X)-, wherein X is chalcogen (i.e., oxygen, sulfur,
selenium, or tellurium). |
| | |
530 | The nitrogen is part of an alkanolamine: |
| | This subclass is indented under subclass 527. Compositions wherein the organic nitrogen compound is an
alkanolamine.
| | (1)
Note. An example of a component provided for herein is:
| |
which may be present as the cationic portion of a carboxylic
acid salt. | | |
| | |
532 | With ether or alcohol (except glycerin): |
| | This subclass is indented under subclass 459. Compositions which contain, in addition to the -C(=O)O-
compound, an alcohol (except glycerin) or an ether.
| | (1)
Note. Glycerin may be present in compositions of this subclass,
provided that there is also present an ether or an alcohol that
is not glycerin. | |
| | |
533 | With organic halogen or sulfur compound: |
| | This subclass is indented under subclass 459. Compositions which contain, in addition to the -C(=O)O-
compound, an organic halogen or an organic sulfur compound.
| | (1)
Note. See Notes to the Class Definition for the definition
of an organic compound. |
| | (2)
Note. An organic sulfur compound is one wherein sulfur is
attached directly or indirectly by nonionic bonding to carbon of
an organic compound. Similar considerations apply to an organic
halogen compound. | |
| | |
534 | With rubber, hydrocarbon polymer, petroleum resin, or hydrocarbon
wax (e.g., polyisobutylene, etc.): |
| | This subclass is indented under subclass 459. Compositions which contain, in addition to the -C(=O)O-
compound, hydrocarbon wax, petroleum resin, polymeric hydrocarbon,
or rubber. |
| | |
541 | Organic selenium or tellurium compound: |
| | This subclass is indented under subclass 110. Compositions which contain a compound wherein selenium or
tellurium is attached directly or indirectly by nonionic bonding
to carbon of an organic compound.
| | (1)
Note. See Notes to the Class Definition for the definition
of an organic compound. |
| | (2)
Note. Examples of components provided for herein are C2H5-Se-C2H5 and C12H25-Te-C12H25
. | |
| | |
542 | Compound of indeterminate structure, prepared by reacting
an aldehyde, a phenol or phenol salt, and ammonia or substituted ammonia
(e.g., reaction of formaldehyde, phenol, and amine, etc.): |
| | This subclass is indented under subclass 110. Compositions which contain a compound of indeterminate structure
which is prepared by reacting (1) ammonia or substituted ammonia, (2)
a phenol or a phenol salt, and (3) an aldehyde.
| | (1)
Note. Many of the compounds of indeterminate structure provided
for as components herein are the class of compounds known as Mannich
bases. Many compounds which result from this type reaction, however,
are of known structure. In this class, subclasses 556+ provide
for many compounds of this type. | |
| | |
543 | Compound of indeterminate structure, prepared by reacting
an organic nitrogen compound of known structure: |
| | This subclass is indented under subclass 110. Compositions which contain a compound of indeterminate structure
prepared by the reaction of an organic nitrogen compound of known
structure.
| | (1)
Note. An organic nitrogen compound is one wherein nitrogen
is attached directly or indirectly by nonionic bonding to carbon
of an organic compound. |
| | (2)
Note. See Notes to the Class Definition for the definition
of an organic compound. |
| | (3)
Note. An example of a component provided for herein is the
product of indeterminate structure resulting from the reaction of
a nitrosophenol with an alkylene polyamine. | |
| | |
545 | Organic nitrogen compound: |
| | This subclass is indented under subclass 110. Compositions which contain a compound wherein nitrogen is
attached directly or indirectly by nonionic bonding to carbon of
an organic compound.
| | (1)
Note. See Notes to the Class Definition for the definition
of an organic compound. |
| | (2)
Note. An example of a component provided for herein is dicyclohexyl
amine. | |
| | |
564 | Organic phosphorus compound: |
| | This subclass is indented under subclass 110. Compositions which contain a compound wherein phosphorus
is attached directly or indirectly by nonionic bonding to carbon
of an organic compound.
| | (1)
Note. See Notes to the Class Definition for the definition
of an organic compound. |
| | (2)
Note. An example of a component provided for herein is

| |
| | |
567 | Organic sulfur compound (e.g., mercaptans, etc.): |
| | This subclass is indented under subclass 110. Compositions which contain a compound wherein sulfur is
attached directly or indirectly by nonionic bonding to carbon of
an organic compound.
| | (1)
Note. See Notes to the Class Definition for the definition
of an organic compound. |
| | (2)
Note. An example of a component provided for herein is

| |
| | |
574 | Overbased or carbonated (e.g., overbased sulfurized phenates,
etc.): |
| | This subclass is indented under subclass 572. Compositions wherein the organic sulfur compound is overbased
or carbonated.
| | (1)
Note. An overbased compound herein is one in which an amount
of metal (e.g., Mg, Ca, Ba, Sr) is present which is greater than
the stoichiometric amount of metal which would be present if the phenolic
sulfur compound were completely neutralized. |
| | (2)
Note. A carbonated compound herein is the complex resulting
from the reaction of carbon dioxide with metal phenate. | |
| | |
575 | Compound of indeterminate structure, prepared by reacting
an organic oxygen compound of known structure: |
| | This subclass is indented under subclass 110. Compositions which contain a compound of indeterminate structure,
prepared by the reaction of an organic oxygen compound of known structure.
| | (1)
Note. An example of a component provided for herein is the
product of indeterminate structure prepared by the reaction of acetylacetone
with stannic halide. |
| | (2)
Note. An organic oxygen compound is one wherein oxygen is
attached directly or indirectly by nonionic bonding to carbon of
an organic compound. |
| | (3)
Note. See Notes to the Class Definition for the definition
of an organic compound. | |
| | |
577 | Organic oxygen compound: |
| | This subclass is indented under subclass 110. Compositions which contain a compound wherein oxygen is
attached directly or indirectly by nonionic bonding to carbon of
an organic compound.
| | (1)
Note. See Notes to the Class Definition for the definition
of an organic compound. |
| | (2)
Note. An example of a component provided for herein is

| |
| | |
579 | Ethers: |
| | This subclass is indented under subclass 577. Compositions wherein an oxygen atom is bonded directly to
two carbon atoms, i.e., is an ether oxygen.
| | (1)
Note. An example of a component provided for herein are polyoxyalkylene glycol. | |
| | |
588 | Organic halogen compound: |
| | This subclass is indented under subclass 110. Compositions which contain a compound wherein halogen is
attached directly or indirectly by nonionic bonding to carbon of
an organic compound.
| | (1)
Note. See Notes to the Class Definition for the definition
of an organic compound. |
| | (2)
Note. An example of a component provided for herein is tetrachlorobenzene. | |
| | |
591 | Solid hydrocarbon polymer: |
| | This subclass is indented under subclass 110. Compositions which contain a polymeric component which is
both solid and hydrocarbonaceous.
| | (1)
Note. The polymers provided for herein can be homopolymeric
or copolymeric. |
| | (2)
Note. An example of a component provided for herein is: polycyclopentadiene. |
| | (3)
Note. Hydrocarbon polymers prepared by addition polymerization
of olefinic hydrocarbon monomers will be presumed to be solid unless
otherwise stated. | |
| | |