CLASS 560, | ORGANIC COMPOUNDS -- PART OF THE CLASS 532-570 SERIES |
| Click here for a printable version of this file | |
SUBCLASSES
1 | Carboxylic acid esters: | ||||||||||||||||||||||||||||||||||||||||||||||||||||||||||||||||||||||||||||||||||
This subclass is indented under subclass 1. Compounds under Class 532, ... wherein the acid function
entering into the formation of the esters is a carboxyl group.
| |||||||||||||||||||||||||||||||||||||||||||||||||||||||||||||||||||||||||||||||||||
2 | With preservative: |
| This subclass is indented under subclass 1. Products wherein the ester is mixed with a preserving agent whose sole function is to prevent physical or chemical change. | |
3 | Aromatic polycarboxylic acid esters: |
| This subclass is indented under subclass 2. Products wherein the ester is an aromatic polycarboxylic acid ester. | |
4 | Acyclic unsaturated monocarboxylic acid esters: |
| This subclass is indented under subclass 2. Products wherein the ester is an acyclic unsaturated monocarboxylic acid ester. | |
5 | Hydrophenanthrene in acid moiety: | ||||||
This subclass is indented under subclass 1. Compounds wherein the acid radical contains a hydrophenanthrene
nucleus not provided for above.
SEE OR SEARCH CLASS:
| |||||||
6 | Polycyclo ring system having the hydrophenanthrene and at least one additional ring as cyclos: | ||
This subclass is indented under subclass 5. Compounds wherein the hydrophenanthrene nucleus contains
additional rings formed by ortho fusion or by a bridge.
| |||
7 | 1, 4a-dimethylhydrophenanthrene - 1 carboxylic acid: | ||
This subclass is indented under subclass 5. Compounds which contain the nucleus 1, 4a-dimethlhydrophenanthrene
-1 carboxylic acid.
| |||
8 | Aromatic acid moiety: | ||||||
This subclass is indented under subclass 1. Compounds wherein the acid radical contains a benzene or
other carbocyclic aromatic group.
SEE OR SEARCH THIS CLASS, SUBCLASS:
SEE OR SEARCH CLASS:
| |||||||
9 | Sulfur in acid moiety: | ||
This subclass is indented under subclass 8. Compounds wherein the acid radical contains sulfur covalently
bonded.
| |||
10 | Ortho fused rings in acid moiety: | ||
This subclass is indented under subclass 9. Compounds wherein the acid radical contains two or more
carbocyclic nuclei joined throught two ortho positioned nuclear
carbon atoms.
| |||
11 | Sulfoxy in acid moiety: | ||
This subclass is indented under subclass 9. Compounds wherein the acid radical contains sulfur bonded
to oxygen.
| |||
12 | Nitrogen in acid moiety: | ||||
This subclass is indented under subclass 11. Compounds wherein the acid radical contains nitrogen covalently
bonded.
| |||||
13 | Plural nitrogens in acid moiety: | ||
This subclass is indented under subclass 12. Compounds wherein the acid radical contains more than one
nitrogen.
| |||
14 | Sulfonic acids, salts or acid halides: | ||
| This subclass is indented under subclass 11. Compounds wherein the acid radical contains the group, shown
below, or its salts or acid halides.
| |||
15 | Sulfur, not bonded directly to a ring, in same side chain as ester function: | ||||||
This subclass is indented under subclass 9. Compounds wherein the esterified carboxylic acid function
is on a side chain containing sulfur in or attached to the chain,
but not directly bonded to a carbon of a carbocyclic nucleus.
| |||||||
16 | Nitrogen in acid moiety: | ||
This subclass is indented under subclass 15. Compounds wherein the acid radical also contains nitrogen
covalently bonded.
| |||
17 | Sulfur, bonded directly to a ring, in same side chain as ester function: | ||
This subclass is indented under subclass 9. Compounds wherein the esterified carboxylic acid function
is on a side chain which contains sulfur directly bonded to a carbon
of a carbocyclic nucleus.
| |||
18 | Ester function attached directly to a ring: | ||
This subclass is indented under subclass 9. Compounds wherein the esterified carboxylic acid function
is directly bonded to a carbon of a carbocyclic nucleus.
| |||
19 | Nitrogen in acid moiety other than as nitroso or isocyanate (e.g., amino acid esters, etc.): | ||||
This subclass is indented under subclass 8. Compounds wherein the acid radical contains covalently bonded
nitrogen other than in the form of an isocyanate or nitroso group.
| |||||
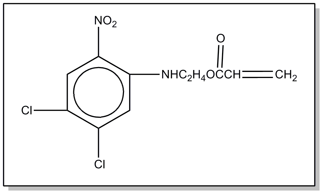
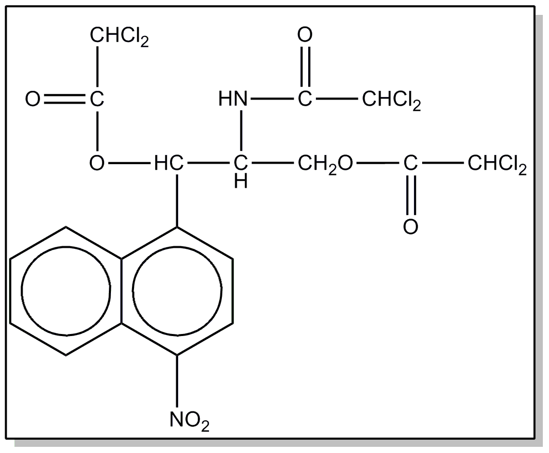
20 | Nitro bonded to carbon in acid moiety: | ||
This subclass is indented under subclass 19. Compounds wherein the acid radical contains the group -N(=O)2
bonded to carbon.
| |||
21 | Plural rings in acid moiety: | ||
This subclass is indented under subclass 20. Compounds wherein the acid radical contains more than one
carbocyclic group.
| |||
22 | Additional nitrogen in acid moiety: | ||||
This subclass is indented under subclass 20. Compounds wherein the acid radical contains an additional
nitrogen covalently bonded.
| |||||
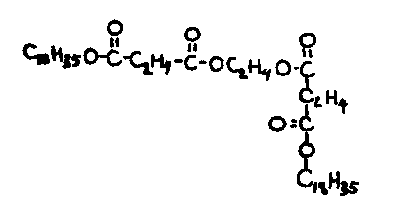
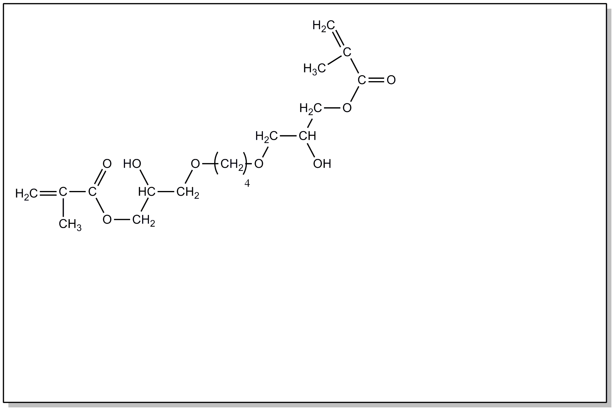
23 | Oxy, aldehyde or ketone group in acid moiety: | ||
This subclass is indented under subclass 20. Compounds wherein the acid radical contains a carbonyl group
bonded to C and X where X is carbon or hydrogen; or an -OX group
bonded to a noncarbonylic C where X is C, H, an alcoholate forming
group not provided for above, or an acyl group not provided for
above.
| |||
24 | Carbamic acid: | ||
This subclass is indented under subclass 19. Compounds wherein the acid radical contains nitrogen directly
bonded to the carbon of the esterified carboxyl group.
| |||
25 | Polycarbamic: | ||||
This subclass is indented under subclass 24. Compounds wherein the acid radical contains more than one
carbamic acid group, at least one of which is esterfied.
| |||||
26 | Polyoxy alcohol moiety: | ||
This subclass is indented under subclass 25. Compounds wherein the alcohol moiety contains in addition
to an esterified hydroxyl, another -OX group attached to a noncarbonylic C
where X is H, C, an alcoholate forming group not provided for above,
or an acyl group not provided for above.
| |||
27 | Plural rings in acid moiety: | ||
This subclass is indented under subclass 24. Compounds wherein the acid radical contains more than one
carbocyclic group.
| |||
28 | Ortho fused: | ||
This subclass is indented under subclass 27. Compounds wherein at least two carbocyclic groups are joined
through two ortho positioned carbon atoms.
| |||
29 | Oxy in acid moiety: | ||
This subclass is indented under subclass 24. Compounds wherein the acid radical contains the -OX group
attached to a noncarbonylic C where X is C, H, an alcoholate forming
group not provided for above, or an acyl group not provided for
above.
| |||
30 | Halogen in acid moiety: | ||
This subclass is indented under subclass 24. Compounds wherein the acid radical contains a covalently
bonded halogen.
| |||
31 | Ring in alcohol moiety: | ||
This subclass is indented under subclass 30. Compounds wherein the alcohol moiety of the ester contains
a carbocyclic nucleus.
| |||
32 | Ring in alcohol moiety: | ||
This subclass is indented under subclass 24. Compounds wherein the alcohol moiety of the ester contains
a carbocyclic nucleus.
| |||
33 | Sulfur, nitrogen, halogen or additional oxy in alcohol moiety: | ||
This subclass is indented under subclass 24. Compounds wherein the alcohol moiety contains sulfur, nitrogen
or halogen covalently bonded or in addition to the esterified hydroxyl,
an -OX group attached to a noncarbonylic C where X is C, H, an alcoholate
forming group not provided for above, or an acyl group not provided
for above.
| |||
34 | Ureido, guanido or hydrazino in acid moiety: | ||
This subclass is indented under subclass 19. Compounds wherein the acid radical contains a ureido group >NC(=O)N<< or
a guanido group >NC(=N-)N<< or
a hydrazo group>NN<<.
| |||
35 | Amidine, azomethine, ketimine or oxime in acid moiety: | ||
This subclass is indented under subclass 19. Compounds containing the grouping -C=N-, including
amidines not provided for above or compounds equivalent in structure
to those formed by reacting an alde-hyde or a ketone with ammonia
or an amine.
| |||
36 | Plural rings bonded directly to the same carbon in acid moiety: | ||
This subclass is indented under subclass 19. Compounds wherein the acid radical contains two carbocyclic
nuclei attached to a methylene or carbonyl group.
| |||
37 | The nitrogen is not bonded directly to a ring: | ||||
This subclass is indented under subclass 19. Compounds wherein the acid radical contains nitrogen which
is not directly attached to a carbocyclic nucleus.
| |||||
38 | The nitrogen is in same side chain as ester function: | ||
This subclass is indented under subclass 37. Compounds wherein the acid radical contains nitrogen in
or attached to the same side chain which contains the carboxylic
acid ester function.
| |||
39 | Oxy in acid moiety: | ||
This subclass is indented under subclass 38. Compounds wherein the acid radical also contains the group
-OX attached to a noncarbonylic C where X is C, H, an alcoholate
forming group not provided for above, or an acyl group not provided
for above.
| |||
40 | Phenylalanines: | ||
This subclass is indented under subclass 39. Compounds wherein the acid radical contains a phenylalanine
group.
| |||
41 | Amide in acid moiety: | ||
This subclass is indented under subclass 38. Compounds wherein the acid radical contains an acyl group,
not provided for above, attached to the nitrogen to form an amide.
| |||
42 | Oxy in acid moiety: | ||
Compounds under subclass 37 wherein the acid radical also
contains the group -OX attached to a noncarbonylic C where X is
C, H, an alcoholate forming group not provided for above, or an
acyl group not provided for above.
| |||
43 | The nitrogen is bonded directly to a ring and is in same side chain as ester function: | ||
This subclass is indented under subclass 19. Compounds wherein the acid radical has the ester function
on a side chain attached to nitrogen, which is directly attached
to a carbocyclic nucleus.
| |||
44 | Polycarboxylic acid: | ||||
This subclass is indented under subclass 43. Compounds wherein the acid radical has more than one carboxyl
group, at least one of which is esterified.
| |||||
45 | Oxy in acid moiety: | ||
This subclass is indented under subclass 19. Compounds wherein the acid radical contains an -OX group
attached to a noncarbonylic C where X is C, H, an alcoholate forming
group not provided for above, or an acyl group not provided for
above.
| |||
46 | Benzoic acid substituted on ring with oxy and nitrogen: | ||
This subclass is indented under subclass 45. Compounds wherein the acid radical has an esterified carboxyl
group, nitrogen an an -OX group all directly attached to the benzene
ring, wherein X is C, H, and alcoholate forming group not provided
for above, or an acyl group not provided for above.
| |||
47 | Halogen in acid moiety: | ||
This subclass is indented under subclass 19. Compounds wherein the acid radical contains a covalently
bonded halogen.
| |||
48 | Plural rings in acid moiety with nitrogen bonded directly to at least one of the rings: | ||
This subclass is indented under subclass 19. Compounds wherein the acid radical contains more than one
carbocyclic group with nitrogen directly attached to at least one
carbocyclic group.
| |||
49 | Nitrogen in alcohol moiety: | ||
This subclass is indented under subclass 19. Compounds wherein the alcohol moiety contains nitrogen covalently
bonded.
| |||
50 | Polyoxy alcohol moiety: | ||
This subclass is indented under subclass 19. Compounds wherein the alcohol moiety contains in addition
to the esterified hydroxyl group, an -OX group attached to a noncarbonylic
C where X is C, H, an alcoholate forming group not provided for
above, or an acyl group not provided for above.
| |||
51 | Aldehyde or ketone group in acid moiety: | ||
This subclass is indented under subclass 8. Compounds wherein the acid radical contains the group -C(=O)X
bonded to carbon and X is C or H, i.e., aldehyde or ketone group
containing esters.
| |||
52 | Plural rings bonded directly to the same carbonyl in acid moiety: | ||
This subclass is indented under subclass 51. Compounds wherein the acid radical contains two carbocyclic
nuclei directly attached to a carbonyl group.
| |||
53 | Oxy in acid moiety: | ||
This subclass is indented under subclass 51. Compounds wherein the acid radical also contains the group
-OX attached to a noncarbonylic C and X is C, H, an alcoholate forming group
not provided for above, or an acyl group not provided for above.
| |||
54 | Polycarboxylic acid: | ||||
This subclass is indented under subclass 51. Compounds wherein the acid radical contains more than one
carboxyl group, at least one of which is esterified.
| |||||
55 | Oxy in acid moiety: | ||
This subclass is indented under subclass 8. Compounds wherein the acid radical contains the -OX group
attached to a noncarbonylic C where X may be C, H, an alcoholate
forming group not provided for above, or an acyl group not provided
for above.
| |||
56 | Ortho fused rings in acid moiety: | ||
This subclass is indented under subclass 55. Compounds wherein the acid radical contains two or more
carbocyclic nuclei joined through a pair of ortho positioned carbon
atoms.
| |||
57 | Plural rings bonded directly to the same carbon in acid moiety: | ||
This subclass is indented under subclass 55. Compounds wherein the acid radical contains two carbocyclic
nuclei attached to a methylene group.
| |||
58 | Nitrogen in alcohol moiety: | ||
This subclass is indented under subclass 57. Compounds wherein the alcohol moiety contains nitrogen covalently
bonded.
| |||
59 | Rings bonded directly to each other in acid moiety: | ||
This subclass is indented under subclass 55. Compounds wherein the acid radical contains two carbocyclic
groups joined through a covalent bond.
| |||
60 | Oxy, not bonded directly to a ring, in same side chain as ester function: | ||||
This subclass is indented under subclass 55. Compounds wherein the esterified acid function is on a side
chain containing an oxy group attached to or in the chain, but not
attached to a carbocyclic nucleus.
| |||||
61 | Oxy, bonded directly to a ring, in same side chain as ester function: | ||
This subclass is indented under subclass 55. Compounds wherein the esterified acid function is on side
chain containing an oxy group which is directly attached to a carbocyclic nucleus.
| |||
62 | Halogen in acid moiety: | ||
This subclass is indented under subclass 61. Compounds wherein the acid radical also contains covalently
bonded halogen.
| |||
63 | Polyoxy alcohol moiety: | ||
This subclass is indented under subclass 62. Compounds wherein the alcohol moiety contains in addition
to the esterified hydroxyl, an -OX group attached to a noncarbonylic
C where X may be C, H, an alcoholate forming group not provided
for above, or an acyl group not provided for above.
| |||
64 | Ester function attached directly to a ring: | ||
This subclass is indented under subclass 55. Compounds wherein the esterified acid function is directly
attached to a carbocyclic nucleus.
| |||
65 | Halogen in acid moiety: | ||
This subclass is indented under subclass 64. Compounds wherein the acid function contains a covalently
bonded halogen.
| |||
66 | Acylated: | ||
This subclass is indented under subclass 64. Compounds wherein a hydroxy group of the esterified acid
radical has been esterified by an acyl group not provided for above.
| |||
67 | Phenolic hydroxy or metallate: | ||
This subclass is indented under subclass 64. Compounds wherein the acid function contains an -OX group,
where X is H or an alcoholate forming group not provided for above,
directly attached to the carbon of a benzene ring.
| |||
68 | Tannins and reaction products thereof: | ||
This subclass is indented under subclass 67. Products and their processes which are known as tannins
or tannic acids. Chemically they appear to be esters of gallic
acid in which the carboxyl group thereof is esterified by the hydroxyl
group of a second molecule of gallic acid, or glucosides thereof.
| |||
69 | Extraction from bark or vegetable material: |
| This subclass is indented under subclass 68. Processes which are directed to or include the treatment of bark, shell galls, or other vegetable material to remove tannins therefrom. | |
70 | Polyphenolic hydroxy or metallate: | ||
This subclass is indented under subclass 67. Compounds wherein the acid function contains more than one
-OX group attached to a carbon of a benzene ring, where X is H or
an alcoholate forming group not provided for above.
| |||
71 | Salicyclic acid: | ||||
This subclass is indented under subclass 67. Compounds wherein the acid radical is derived from the compound
known as salicyclic acid, e.g., salol, oil of wintergreen.
| |||||
72 | Ring in alcohol moiety: | ||
This subclass is indented under subclass 67. Compounds wherein the alcohol moiety contains a carbocyclic
nucleus.
| |||
73 | Ring in alcohol moiety: | ||
This subclass is indented under subclass 64. Compounds wherein the alcohol moiety contains a carbocyclic
nucleus.
| |||
74 | Nitrogen in alcohol moiety: | ||
This subclass is indented under subclass 64. Compounds wherein the alcohol moiety contains nitrogen covalently
bonded.
| |||
75 | Phenolic hydroxy or metallate: | ||
This subclass is indented under subclass 55. Compounds wherein the acid function contains an -OX group,
where X is H or an alcoholate forming group not provided for above,
directly attached to a benzene ring.
| |||
76 | Polycarboxylic acid: | ||||
This subclass is indented under subclass 8. Compounds wherein the acid radical contains more than one
carboxyl group, at least one of which is esterified.
| |||||
77 | Producing carboxyl group by oxidation: | ||
This subclass is indented under subclass 76. Processes wherein at least one of the carboxyl groups of
the acid is formed by oxidizing an aromatic material.
| |||
78 | Purification or recovery: |
| This subclass is indented under subclass 76. Processes which are directed to the purification, separation or recovery of aromatic polycarboxylic acid esters. | |
79 | Of esters of polyoxy alcohols: |
| This subclass is indented under subclass 78. Processes wherein the compounds treated are polyoxy alcohol esters. | |
80 | Ortho fused rings in acid moiety: | ||
This subclass is indented under subclass 76. Compounds wherein the acid radical contains two or more
carbocyclic nuclei joined through ortho positioned nuclear carbons.
| |||
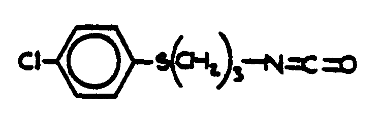
81 | Esterified carboxy not bonded directly to a ring: | ||
This subclass is indented under subclass 76. Compounds wherein an esterified carboxyl group of the acid
radical is not directly bonded to a nuclear carbon of a carbocyclic
group.
| |||
82 | Malonates: | ||
This subclass is indented under subclass 81. Compounds in which the methylene group of a malonic acid
ester contains an aromatic substituent.
| |||
83 | Halogen in acid moiety: | ||||
This subclass is indented under subclass 76. Compounds wherein the acid radical contains covalently bonded
halogen.
| |||||
84 | Ring in alcohol moiety: | ||
This subclass is indented under subclass 76. Compounds wherein the alcohol moiety contains a carbocyclic
nucleus.
| |||
85 | Aromatic alcohol moiety: | ||
This subclass is indented under subclass 84. Compounds wherein the carbocyclic nucleus is aromatic.
| |||
86 | Esterified phenolic hydroxy: | ||
This subclass is indented under subclass 85. Compounds wherein the ester is formed with a phenolic hydroxyl
group.
| |||
87 | Sulfur or halogen in alcohol moiety: | ||
This subclass is indented under subclass 76. Compounds wherein the alcohol moiety contains sulfur or
a halogen covalently bonded.
| |||
88 | Nitrogen in alcohol moiety: | ||
This subclass is indented under subclass 76. Compounds wherein the alcohol moiety contains nitrogen covalently
bonded.
| |||
89 | Polyoxy alcohol moiety: | ||
This subclass is indented under subclass 76. Compounds wherein the alcohol moiety contains in addition
to the esterified hydroxyl group, an -OX group attached to a noncarbonylic
C where X may be H, C, an acyl radical not provided for above, or
an alcoholate forming group not provided for above.
| |||
90 | Additional esterifying acid: | ||
This subclass is indented under subclass 89. Compounds wherein the polyoxy alcohol is additionally esterified
by a different carboxylic acid not provided for above.
| |||
91 | Polyoxyalkylene alcohol moiety: | ||
This subclass is indented under subclass 89. Compounds wherein the polyoxy alcohol moiety has the structure-O-(CnH2
n )m, where n and m are positive integers and m>1.
| |||
92 | Preparing esters by ester interchange: |
| This subclass is indented under subclass 89. Processes wherein the ester is prepared by reacting an ester with another ester, acid or alcohol, to produce a different ester. | |
93 | Preparing esters from alkylene oxides: |
| This subclass is indented under subclass 89. Processes wherein the esters are prepared from alkylene oxides. | |
94 | Preparing esters from acid or from nitrile and diol: |
| This subclass is indented under subclass 89. Processes wherein the esters are prepared by reaction of a carboxylic acid or a nitrile with a diol. | |
95 | Unsaturation in alcohol moiety: | ||
This subclass is indented under subclass 76. Compounds wherein the alcohol moiety is acyclic and contains
an ethylenic double bond or a triple bond.
| |||
96 | Processes: | ||
This subclass is indented under subclass 76. Processes for preparing compounds classifiable in that subclass.
| |||
97 | Carbonylation: |
| This subclass is indented under subclass 96. Processes wherein the ester is prepared through formation of a carboxyl group on a starting material by reacting with a carbonylating agent such as carbon monoxide in the presence of an alcohol or by subsequent esterification. | |
98 | Esterification of acid, salt, acid halide or anhydride with alcohol: |
| This subclass is indented under subclass 96. Processes in which the compounds are prepared by reacting an alcohol with a carboxylic acid or its salt, acid halide or anhydride. | |
99 | Metal containing catalyst utilized: |
| This subclass is indented under subclass 98. Processes wherein the esterification reaction is carried out in the presence of a metal containing catalyst. | |
100 | Naphthyl in acid moiety: | ||
This subclass is indented under subclass 8. Compounds wherein the acid radical contains the naphthyl
group.
| |||
101 | Plural rings bonded directly to the same carbon in acid moiety: | ||||
This subclass is indented under subclass 8. Compounds wherein the acid radical contains two carbocyclic
nuclei attached to a noncarbonylic methylene group.
| |||||
102 | Rings bonded directly to each other in acid moiety: | ||
This subclass is indented under subclass 8. Compounds wherein the acid radical contains a carbocyclic
nucleus directly linked to another carbocyclic nucleus through a
covalent bond.
| |||
103 | Monocyclic acid moiety: | ||
This subclass is indented under subclass 8. Compounds wherein the acid radical contains only one carbocyclic
group.
| |||
104 | Additional unsaturation in acid moiety: | ||
This subclass is indented under subclass 103. Compounds wherein the acid radical contains an ethylenic
double bond or a triple bond.
| |||
105 | Carboxyl, not bonded directly to a ring, in acid moiety: | ||
This subclass is indented under subclass 103. Compounds wherein the carboxyl group of the acid radical
is not directly attached to the carbocyclic group.
| |||
106 | Ring in alcohol moiety: | ||
This subclass is indented under subclass 103. Compounds wherein the alcohol moiety contains a carbocyclic
group.
| |||
107 | Plural rings in alcohol moiety: | ||||
This subclass is indented under subclass 106. Compounds wherein the alcohol moiety contains more than
one carbocyclic group.
SEE OR SEARCH CLASS:
| |||||
108 | Esterified phenolic hydroxy: | ||
This subclass is indented under subclass 107. Compounds wherein the ester function is formed with a phenolic
OH group.
| |||
109 | Esterified phenolic hydroxy: | ||
This subclass is indented under subclass 106. Compounds in which the ester function is formed with a phenolic
OH group.
| |||
110 | Nitrogen in alcohol moiety: | ||
This subclass is indented under subclass 103. Compounds wherein the alcohol moiety contains nitrogen covalently
bonded.
| |||
111 | Halogen in alcohol moiety: | ||
This subclass is indented under subclass 103. Compounds wherein the alcohol moiety contains a covalently
bonded halogen.
| |||
112 | Polyoxy alcohol moiety: | ||
This subclass is indented under subclass 103. Compounds wherein the alcohol moiety is an acyclic polyoxy
alcohol, which in addition to the esterified PH, contains at least
one other oxy group, -OX wherein X may be C, H, an alcoholate forming
group not provided for above, or an acyl group not provided for
above.
| |||
113 | Unsaturation in alcohol moiety: | ||
This subclass is indented under subclass 103. Compounds wherein the alcohol moiety contains an ethylenic
double bond or a triple bond.
| |||
114 | Preparing alicyclic acid esters by carbonylation: |
| This subclass is indented under subclass 1. Processes wherein an alicyclic acid ester is prepared through formation of a carboxyl group on a starting material by reaction with a carbonylating agent such as carbon monoxide in the presence of an alcohol or through subsequent esterification. | |
115 | Alicyclic carbamates: | ||
This subclass is indented under subclass 1. Compounds in which the acid radical contains an alicyclic
nucleus and a nitrogen directly attached to the carbon of an esterified
carboxyl group.
| |||
116 | Plural alicyclic rings in acid moiety: | ||||
This subclass is indented under subclass 1. Compounds in which the acid radical contains more than one
alicyclic group.
| |||||
117 | Tricyclo ring system in acid moiety: | ||
This subclass is indented under subclass 116. Compounds in which the acid radical contains three alicyclic
groups which are joined to each other either through ortho fusion
or by a bridge.
| |||
118 | Two rings only in acid moiety: | ||
This subclass is indented under subclass 116. Compounds in which the acid radical contains two alicyclic
groups.
| |||
119 | Ortho fused: | ||
This subclass is indented under subclass 118. Compounds in which the acid radical contains two alicyclic
groups joined through two ortho positioned carbon atoms.
| |||
120 | 2,2,1-bicyclo: | ||
This subclass is indented under subclass 118. Compounds in which the acid radical contains a 2,2,1-bicyclo
nucleus.
| |||
121 | Cyclopentyl in acid moiety (e.g., prostaglandins, etc.): | ||||
This subclass is indented under subclass 1. Compounds in which the acid radical contains a cyclopentyl
group.
| |||||
122 | Cyclopentyl - (C)x - COOR; x=0-2: | ||
This subclass is indented under subclass 121. Compounds wherein the carboxylic acid ester function is
directly attached to the cyclopentyl nucleus or is attached thereto
by a chain of no more than two carbon atoms.
| |||
123 | Cyclobutyl in acid moiety: | ||
This subclass is indented under subclass 1. Compounds wherein the acid radical contains a cyclobutyl
group.
| |||
124 | Cyclopropyl in acid moiety: | ||
This subclass is indented under subclass 1. Compounds wherein the acid radical contains a cyclopropyl
group.
| |||
125 | Alicyclic acid moiety containing N, S, P, B or halogen: | ||
This subclass is indented under subclass 1. Compounds wherein the acid radical contains an alicyclic
nucleus not provided for above and contains nitrogen, sulfur, phosphorus,
boron or halogen covalently bonded.
| |||
126 | Alicyclic acid moiety containing oxy, aldehyde or ketone group: | ||
This subclass is indented under subclass 1. Compounds wherein the acid radical contains an alicyclic
nucleus not provided for above and contains the group-C(=O)X
bonded to carbon, where X is C or H; or the group -OX attached to
a noncarbonylic carbon where X is C, H, an alcoholate forming group
not provided for above, or an acyl group not provided for above.
| |||
127 | Alicyclic polycarboxylic acid moiety: | ||||
This subclass is indented under subclass 1. Compounds which contain an alicyclic nucleus not provided
for above and contain more than one carboxyl group, at least one
of which is esterified.
| |||||
128 | Alicyclic acid moiety containing unsaturation: | ||
This subclass is indented under subclass 1. Compounds wherein the acid radical contains an alicyclic
nucleus not provided for above and contains an ethylenic double
bond or a triple bond.
| |||
129 | Acyclic acid moiety: | ||||||
This subclass is indented under subclass 1. Compounds wherein the acid radical contains no carbocyclic
nucleus.
| |||||||
130 | Esterified phenolic hydroxy: | ||
This subclass is indented under subclass 129. Compounds wherein the carboxyl group is esterified by a
phenolic hydroxyl group.
| |||
131 | Preparing esters by oxidation: |
| This subclass is indented under subclass 130. Processes whereby phenolic esters are produced by the reaction of a starting material with oxygen or an oxygen producing material. | |
132 | Carbamic acid: | ||
This subclass is indented under subclass 130. Compounds wherein the acid radical contains nitrogen directly
attached to the carbon of an esterified carboxyl group.
| |||
133 | Plural rings in phenolic moiety: | ||
This subclass is indented under subclass 132. Compounds wherein the phenolic moiety contains more than
one carbocyclic group.
| |||
134 | Ortho fused: | ||
This subclass is indented under subclass 133. Compounds wherein the carbocyclic groups are joined through
two ortho positioned carbon atoms.
| |||
135 | Sulfur in phenolic moiety: | ||
This subclass is indented under subclass 132. Compounds wherein the phenolic moiety contains sulfur covalently
bonded.
| |||
136 | Nitrogen in phenolic moiety: | ||
This subclass is indented under subclass 132. Compounds wherein the phenolic moiety contains nitrogen
covalently bonded.
| |||
137 | Sulfur, halogen or additional nitrogen or oxygen in carbamic acid moiety: | ||
This subclass is indented under subclass 132. Compounds wherein the acid radical contains sulfur, halogen
or nitrogen or oxygen in addition to that present in the carbamic
acid group.
| |||
138 | Plural rings in phenolic moiety: | ||||
This subclass is indented under subclass 130. Compounds wherein the phenolic moiety contains more than
one carbocyclic group.
| |||||
139 | Ortho fused: | ||
This subclass is indented under subclass 138. Compounds wherein the carbocyclic groups of the phenolic
moiety are joined through two ortho positioned carbon atoms.
| |||
140 | Plural rings bonded directly to the same carbon in phenolic moiety: | ||
This subclass is indented under subclass 138. Compounds wherein the phenolic moiety contains two carbocyclic
groups attached to a methylene or carbonyl group.
| |||
141 | Rings bonded directly to each other in phenolic moiety: | ||
This subclass is indented under subclass 138. Compounds wherein the phenolic moiety contains two carbocyclic
groups joined to each other through a covalent bond.
| |||
142 | Nitrogen or sulfur in phenolic moiety: | ||
This subclass is indented under subclass 130. Compounds wherein the phenolic moiety contains sulfur or
nitrogen covalently bonded.
| |||
143 | Salicylic acid or functional derivative: | ||||||||
This subclass is indented under subclass 130. Compounds wherein the phenolic moiety is salicyclic acid,
its salts, acid halides or anhydrides not provided for above.
| |||||||||
144 | Polyoxy phenolic moiety: | ||
This subclass is indented under subclass 130. Compounds wherein the phenolic moiety contains, in addition
to the esterified hydroxyl group, an -OX group attached to a noncarbonylic
carbon, where X is C, H, an alcoholate forming group not provided
for above, or an acyl group not provided for above.
| |||
145 | Sulfur, nitrogen, halogen, oxy, or aldehyde or ketone group in acid moiety: | ||
This subclass is indented under subclass 130. Compounds wherein the acid radical contains sulfur, nitrogen
or halogen covalently bonded; or an -OX group attached to noncarbonylic
carbon, where X is C, H, an alcoholate forming group not provided
for above, or an acyl group not provided for above; or a -C(=O)X
group bonded to carbon, where X is C or H.
| |||
146 | Polycarboxylic acid: | ||||
This subclass is indented under subclass 130. Compounds wherein the acid radical contains more than one
carboxyl group, at least one of which is esterified.
| |||||
147 | Sulfur in acid moiety: | ||
This subclass is indented under subclass 129. Compounds wherein the acid radical contains sulfur covalently
bonded.
| |||
148 | Carbamic acid: | ||
This subclass is indented under subclass 147. Compounds wherein the acid radical contains nitrogen directly
attached to the carbon of an esterified carboxyl group.
| |||
149 | Sulfoxy in acid moiety: | ||||
This subclass is indented under subclass 147. Compounds wherein the acid radical contains sulfur bonded
to oxygen.
| |||||
150 | Sulfonyl or sulfinyl in acid moiety: | ||
This subclass is indented under subclass 149. Compounds wherein the acid radical contains the sulfinyl
group, R-S(=O)-R or the sulfonyl group, R-S(=O)2R.
| |||
151 | Polycarboxylic acid: | ||||
This subclass is indented under subclass 149. Compounds wherein the acid radical contains more than one
carboxyl group, at least one of which is esterified.
| |||||
152 | Thio ether in acid moiety: | ||
This subclass is indented under subclass 147. Compounds wherein the acid radical contains the group, R-S-R.
| |||
153 | Nitrogen or halogen in acid moiety: | ||
This subclass is indented under subclass 152. Compounds wherein the acid radical contains nitrogen or
halogen covalently bonded.
| |||
154 | Polycarboxylic acid: | ||||
This subclass is indented under subclass 152. Compounds wherein the acid radical contains more than one
carboxyl group, at least one of which is esterified.
| |||||
155 | Nitrogen in acid moiety other than as nitroso or isocyanate (e.g., amino acid esters, etc.): | ||
This subclass is indented under subclass 129. Compounds wherein the acid radical contains covalently bonded
nitrogen other than in the form of isocyanate or nitroso groups.
| |||
156 | Nitro bonded to carbon in acid moiety: | ||
This subclass is indented under subclass 155. Compounds wherein the acid radical contains the group -N(=O)2 bonded
to carbon.
| |||
157 | Carbamic acid: | ||
This subclass is indented under subclass 155. Compounds wherein the acid radical contains a nitrogen directly
attached to the carbon of an esterified carboxyl group.
| |||
158 | Polycarbamic: | ||
This subclass is indented under subclass 157. Compounds wherein the acid radical contains more than one
carbamic acid group.
| |||
159 | Addition nitrogen in acid moiety: | ||||||
This subclass is indented under subclass 157. Compounds wherein the acid radical contains covalently bonded
nitrogen in addition to that present in the carbamic acid group.
| |||||||
160 | Oxy in acid moiety: | ||
This subclass is indented under subclass 157. Compounds wherein the acid radical contains an -OX group
attached to a noncarbonylic carbon, where X=C, H, an alcoholate
forming group not provided for above.
| |||
161 | Halogen in acid moiety: | ||
This subclass is indented under subclass 157. Compounds wherein the acid radical contains covalently bonded
halogen.
| |||
162 | Cyclic alcohol moiety: | ||
This subclass is indented under subclass 157. Compounds wherein the alcohol moiety contains a carbocyclic
group.
| |||
163 | Aromatic alcohol moiety: | ||
This subclass is indented under subclass 162. Compounds wherein the alcohol moiety of the ester contains
an aromatic group.
| |||
164 | Polyoxy alcohol moiety: | ||
This subclass is indented under subclass 163. Compounds wherein the alcohol moiety of the ester contains
in addition to the esterified OH group, at least one other -OX group
attached to a noncarbonylic carbon, where X may be C, H, an alcoholate
forming group not provided for above, or an acyl group not provided
for above.
| |||
165 | Sulfur or nitrogen in alcohol moiety: | ||
This subclass is indented under subclass 157. Compounds wherein the alcohol moiety of the ester contains
covalently bonded nitrogen or sulfur.
| |||
166 | Polyoxy alcohol moiety: | ||
This subclass is indented under subclass 157. Compounds wherein the alcohol moiety is acyclic and in addition
to the esterified OH group contains another -OX attached to a noncarbonylic
carbon and X may be C, H, an alcoholate forming group not provided
for above, or an acyl group not provided for above.
| |||
167 | Halogen in alcohol moiety: | ||
This subclass is indented under subclass 157. Compounds wherein the alcohol moiety of the ester contains
covalently bonded halogen.
| |||
168 | Amidine, azomethine, ketimine or oxime in acid moiety: | ||
This subclass is indented under subclass 155. Compounds in which the acid radical contains the group =N-C=N-
or the C=N-, identical with the structure obtained by reacting
an aldehyde or ketone with ammonia or an amine.
| |||
169 | Additional nitrogen in acid moiety: | ||||||
This subclass is indented under subclass 155. Compounds in which the acid radical contains more than one
covalently bonded nitrogen.
| |||||||
170 | Oxy, aldehyde or ketone group in acid moiety: | ||
This subclass is indented under subclass 155. Compounds wherein the acid radical contains the group -C(=O)X
bonded to carbon, where X is C or H; or the group -OX attached to
a noncarbonylic carbon, where X is C, H, and alcoholate forming
group not provided for above, or an acyl group not provided for
above.
| |||
171 | Polycarboxylic acid: | ||||
This subclass is indented under subclass 155. Compounds wherein the acid radical contains more than one
carboxyl group, at least one of which is esterified.
| |||||
172 | Halogen or unsaturation in acid moiety: | ||
This subclass is indented under subclass 155. Compounds wherein the acid radical contains covalently bonded
halogen or contains an ethylenic double bond or a triple bond.
| |||
173 | Cyclic alcohol moiety: | ||
This subclass is indented under subclass 155. Compounds wherein the alcohol moiety of the ester contains
a carbocyclic group.
| |||
174 | Aldehyde or ketone group in acid moiety: | ||
This subclass is indented under subclass 129. Compounds wherein the acid radical contains the group -C(=O)X
attached to carbon, where X is C or H.
| |||
175 | Preparing esters by carbonylation: |
| This subclass is indented under subclass 174. Processes wherein the ester is prepared through formation of a carboxyl group of a starting material by reaction with a carbonylating agent such as carbon monoxide either in the presence of an alcohol or by subsequent esterification of the formed acid. | |
176 | Polycarboxylic acid: | ||||
This subclass is indented under subclass 174. Compounds wherein the acid radical contains more than one
carboxyl group, at least one of which is esterified.
| |||||
177 | Aldehyde group in acid moiety: | ||
This subclass is indented under subclass 174. Compounds wherein the acid radical contains the aldehyde
group-C(=O)H.
| |||
178 | Acetoacetic acid: | ||||
This subclass is indented under subclass 174. Compounds which are esters of acetoacetic acid, per se.
| |||||
179 | Oxy in acid moiety: | ||
This subclass is indented under subclass 129. Compounds wherein the acid radical contains the -OX group
attached to a noncarbonylic carbon, where X may be C, H, an alcoholate
forming group not provided for above, or an acyl group not provided
for above.
| |||
180 | Polycarboxylic acid: | ||||
This subclass is indented under subclass 179. Compounds wherein the acid radical contains more than one
carboxyl group, at least one of which is esterified.
| |||||
181 | Unsaturation in acid moiety: | ||
This subclass is indented under subclass 180. Compounds wherein the acid radical contains an ethylenic
double bond or a triple bond.
| |||
182 | Polyoxy alcohol moiety: | ||
This subclass is indented under subclass 180. Compounds wherein the alcohol moiety of the ester contains
in addition to the esterified OH group, an -OX group attached to
a noncarbonylic carbon, wherein X may be C, H, an alcoholate forming
group not provided for above, or an acyl group not provided for
above.
| |||
183 | Unsaturation in acid moiety: | ||
This subclass is indented under subclass 179. Compounds wherein the acid radical contains an ethylenic
double bond or a triple bond.
| |||
184 | Halogen in acid moiety: | ||
This subclass is indented under subclass 179. Compounds wherein the acid radical contains covalently bonded
halogen.
| |||
185 | Acylated oxy in acid moiety: | ||||
This subclass is indented under subclass 179. Compounds wherein a hydroxy group of the esterified acid
radical has been esterified by an acyl group not provided for above.
| |||||
186 | Polyoxy acid moiety: | ||
This subclass is indented under subclass 179. Compounds wherein the acid radical contains more than one
oxy group.
| |||
187 | Alkoxy in acid moiety: | ||
This subclass is indented under subclass 179. Compounds wherein the X of the -OX group in the acid radical
is C which is part of an alkyl group.
| |||
188 | Cyclic alcohol moiety: | ||
This subclass is indented under subclass 179. Compounds wherein the alcohol moiety of the ester contains
a carbocyclic group.
| |||
189 | Polyoxy alcohol moiety: | ||
This subclass is indented under subclass 179. Compounds wherein the alcohol moiety of the ester contains,
in addition to the esterified OH, another -OX group attached to
a noncarbonylic C, where X may be C, H, an alcoholate forming group
not provided for above, or an acyl group not provided for above.
| |||
190 | Polycarboxylic acid: | ||||
This subclass is indented under subclass 129. Compounds which contain more than one carboxyl group, at
least one of which is esterified.
| |||||
191 | Purification or recovery: |
| This subclass is indented under subclass 190. Processes which are directed to the purification, separation or recovery of acyclic polycarboxylic acid esters. | |
192 | Halogen in acid moiety: | ||||
This subclass is indented under subclass 190. Compounds wherein the acid radical contains halogen covalently
bonded.
| |||||
193 | Cyclic alcohol moiety: | ||
This subclass is indented under subclass 190. Compounds wherein the alcohol moiety of the ester contains
a carbocyclic group not provided for above.
| |||
194 | Plural rings in alcohol moiety: | ||
This subclass is indented under subclass 193. Compounds wherein the alcohol moiety of the ester contains
more than one carbocyclic group.
| |||
195 | Phosphorus or sulfur in alcohol moiety: | ||
This subclass is indented under subclass 190. Compounds wherein the alcohol moiety of the ester contains
sulfur or phosphorus covalently bonded.
| |||
196 | Nitrogen in alcohol moiety: | ||
This subclass is indented under subclass 190. Compounds wherein the alcohol moiety of the ester contains
nitrogen covalently bonded.
| |||
197 | Halogen in alcohol moiety: | ||
This subclass is indented under subclass 190. Compounds wherein the alcohol moiety of the ester contains
halogen covalently bonded.
| |||
198 | Polyoxy alcohol moiety: | ||
This subclass is indented under subclass 190. Compounds wherein the alcohol moiety of the ester contains,
in addition to the esterified OH, an -OX attached to a noncarbonylic
C, where X may be C, H, and alcoholate forming group not provided
for above, or an acyl group not provided for above.
| |||
199 | Additional monooxy alcohol or monocarboxylic acid (e.g., complex esters, etc.): | ||||||||||
This subclass is indented under subclass 198. Compounds in which an additional monohydric alcohol or monocarboxylic
acid or both have been reacted.
| |||||||||||
200 | Preparing esters from alkylene oxides: |
| This subclass is indented under subclass 198. Processes in which an acyclic polycarboxylic acid ester is produced by reaction with an alkylene oxide. | |
201. | Unsaturation in alcohol moiety: | ||||
This subclass is indented under subclass 190. Compounds wherein the alcoholic moiety of the ester contains
an ethylenic double bond or a triple bond.
SEE OR SEARCH THIS CLASS, SUBCLASS:
| |||||
202. | Preparing esters for oligomerization: | ||
This subclass is indented under subclass 190. Processes in which a polycarboxylic acid ester is prepared
by interacting two to four monomeric units.
| |||
203. | Preparing esters by alkylation or isomerization: |
| This subclass is indented under subclass 190. Processes in which a polycarboxylic acid ester is produced (a) by introducing an alkyl or alkylidene radical on the acid moiety, or (b) by forming an isomer of the starting material. | |
204. | Preparing esters by esterification or cabonylation: |
| This subclass is indented under subclass 190. Processes in which a polycarboxlyic acid ester is produced (a) by a reaction which forms an ester linkage, or (b) by formation of a carboxyl group on a starting material by reaction with a carbonylating agent such as carbon monoxide with simultaneous or subsequent esterification of the acid with an alcohol. | |
205. | Unsaturation in acid moiety: | ||
This subclass is indented under subclass 129. Compounds wherein the acid radical contains an ethylenic
double bond or a triple bond.
| |||
206. | Preparing esters for carbonylation: |
| This subclass is indented under subclass 205. Processes wherein an unsaturated acid ester is prepared through formation of a carboxyl group on a starting material by reaction with carbonylating agent such as carbon monoxide in the presence of an alcohol or by subsequent esterification of the formed acid. | |
207. | Group VIII noble metal catalyst utilized: |
| This subclass is indented under subclass 206. Processes wherein the carbonylating is carried out in the presence of a catalyst which contains a noble metal from Group VIII, i.e., iridium, osmium, palladium, platinum, rhodium, or rubidium. | |
208. | Formation of carboxyl group by oxidation: |
| This subclass is indented under subclass 205. Processes wherein the ester is produced by treatment of a starting material, such as an olefin or an aldehyde with oxygen or an oxygen producing material and esterifying the resulting acid. | |
209. | Preparing esters from alkylene oxides: |
| This subclass is indented under subclass 205. Processes wherein the ester is produced by a reaction, where one of the reactants is an alkylene oxide. | |
210. | Preparing esters from aldehydes: | ||||
This subclass is indented under subclass 205. Processes wherein the ester is prepared from an aldehyde.
SEE OR SEARCH THIS CLASS, SUBCLASS:
| |||||
211. | Formation of ethylenic unsaturation: |
| This subclass is indented under subclass 205. Processes wherein the ester is produced by treating a monocarboxylic acid or ester to introduce unsaturation and may include subsequent esterification. | |
212. | By dehydration or dealcoholization: |
| This subclass is indented under subclass 211. Processes wherein unsaturation is introduced by removal of an –OX group, where X is H or C. | |
213. | By dehalogenation or dehydrohalogenation: |
| This subclass is indented under subclass 211. Processes wherein unsaturation is introduced by removal of a halogen or a hydrohalide. | |
214. | By dehydrogenation: |
| This subclass is indented under subclass 211. Processes wherein unsaturation is introduced by removal of hydrogen. | |
215. | Preparing esters from nitriles or amides: |
| This subclass is indented under subclass 205. Processes wherein the ester is produced by reaction of a nitrile or an amide. | |
216. | Preparing esters by depolymerization: |
| This subclass is indented under subclass 205. Processes wherein the ester is produced by changing the state of a polymeric material to that of a lower polymeric form or to a monomer. | |
217. | Preparing esters by ester interchange: | ||
This subclass is indented under subclass 205. Processes wherein the ester is produced by reaction of an
ester with an alcohol, an acid or an ester to produce a
different ester.
| |||
218. | Purification or recovery: |
| This subclass is indented under subclass 205. Processes which are directed to the purification, recovery or separation of acyclic, unsaturated monocarboxylic acid esters. | |
219. | Halogen in acid moiety: | ||
This subclass is indented under subclass 205. Compounds wherein the acid radical contains covalently bonded
halogen.
| |||
220. | Cyclic alcohol moiety: | ||
This subclass is indented under subclass 205. Compounds wherein the alcohol moiety of the ester contains
a carbocyclic group.
| |||
221. | Aromatic alcohol moiety: | ||
This subclass is indented under subclass 220. Compounds wherein the carbocyclic group of the alcohol moiety
is aromatic.
| |||
222. | Phosphorus, sulfur or nitrogen in alcohol moiety: | ||
This subclass is indented under subclass 205. Compound wherein the alcohol moiety contains phosphorus
or sulfur or nitrogen covalently bonded.
| |||
223. | Halogen in alcohol moiety: | ||
This subclass is indented under subclass 205. Compounds wherein the alcohol moiety contains covalently
bonded halogen.
| |||
224. | Polyoxy alcohol moiety: | ||
This subclass is indented under subclass 205. Compounds wherein the alcohol moiety contains in addition
to the esterified hydroxyl group, an –OX group
attached to a noncarbonylic carbon, where X may be C, H, an
alcoholate forming group not provided for above, or an
acyl group not provided for above.
| |||
225. | Unsaturation in alcohol moiety: | ||
This subclass is indented under subclass 205. Compounds wherein the alcohol moiety contains an ethylenic
double bond or a triple bond.
| |||
226. | Halogen in acid moiety: | ||
This subclass is indented under subclass 129. Compounds wherein the acid radical contains covalently bonded
halogen.
| |||
227. | Flourine in acid moiety: | ||
This subclass is indented under subclass 226. Compounds wherein the halogen is flourine.
| |||
228. | Cyclic alcohol moiety: | ||
This subclass is indented under subclass 226. Compounds wherein the alcohol moiety contains a carbocyclic
group.
| |||
229. | Halogen in alcohol moiety: | ||
This subclass is indented under subclass 226. Compounds wherein the alcohol moiety contains covalently
bonded halogen.
| |||
230. | Polyoxyl alcohol moiety: | ||
This subclass is indented under subclass 226. Compounds wherein the alcohol moiety contains. in
addition to the esterified hydroxyl, an –OX group
attached to noncarbonylic carbon, where X is C, H, an
alcoholate forming group not provided for above, or an
acyl group not provided for above.
| |||
231. | Unsubstituted acids of the acetic series: | ||||
This subclass is indented under subclass 129. Compounds wherein the acid radical is saturated, unsubstituted, contains
less than seven carbon atoms in an unbroken chain attached to a
carboxyl group, and has the formula CnH2n+1COOR.
SEE OR SEARCH CLASS:
| |||||
232. | Preparing esters by carbonylation: |
| This subclass is indented under subclass 231. Processes wherein the ester is prepared through formation of a carboxyl group on a starting material by reaction with a carbonylating agent such as carbon monoxide in the presence of an alcohol or by subsequent esterfication. | |
233. | Of olefins: |
| This subclass is indented under subclass 232. Processes wherein the starting material is an olefin. | |
234. | Preparing esters by ester interchange: | ||
This subclass is indented under subclass 231. Processes wherein the ester is produced by reacting an ester
with an alcohol, an acid or another ester to produce a
different ester.
| |||
235. | From alkyl sulfates: | ||
This subclass is indented under subclass 234. Processes wherein an alkyl sulfate is used as the source
of another alcohol.
| |||
236. | Preparing esters from halogenated hydrocarbons: | ||
This subclass is indented under subclass 231. Processes wherein the ester is prepared from a halogenated
hydrocarbon.
| |||
237. | From alkenyl halides: | ||
This subclass is indented under subclass 236. Processes wherein the halogenated hydrocarbon is an alkenyl
halide, e.g., vinyl chloride, etc.
| |||
238. | Preparing esters from aldehydes: | ||
This subclass is indented under subclass 231. Processes wherein the ester is prepared from an aldehyde.
| |||
239. | Preparing esters by dehydrogenation of alcohols: | ||
This subclass is indented under subclass 231. Processes wherein the ester is prepared by dehydrogenation
of an alcohol.
| |||
240. | Preparing esters from ethers: | ||
This subclass is indented under subclass 231. Processes wherein the ester is prepared from an ether,
including cyclic ethers.
| |||
241. | Preparing esters from hydrocarbons: |
| This subclass is indented under subclass 231. Processes wherein the ester is prepared from a hydrocarbon. | |
241.1 | By oxidation of hydrocarbon mixtures: |
| This subclass is indented under subclass 241. Processes wherein the ester is prepared by oxidizing a mixture of hydrocarbons. | |
242. | From acetylenic hydrocarbons: | ||
This subclass is indented under subclass 241. Processes wherein the hydrocarbon contains a triple bond.
| |||
243. | From olefins utilizing Group VIII noble metal catalyst: | ||
This subclass is indented under subclass 241. Processes wherein the hydrocarbon is an olefin and the reaction
is carried out in the presence of a catalyst containing a Group
VIII noble metal.
| |||
244. | From polyolefins: |
| This subclass is indented under subclass 243. Processes wherein the olefin contains more than one double bond, e.g., butadiene, etc. | |
245. | Gas phase: |
| This subclass is indented under subclass 243. Processes wherein the reaction is carried out in a gas or vapor phase. | |
246. | Preparing polyoxy alcohol esters from olefins: |
| This subclass is indented under subclass 241. Processes wherein the ester is prepared from an olefin and is equivalent in structure to an ester prepared from a polyoxy alcohol. | |
247. | Preparing alkyl esters from olefins: |
| This subclass is indented under subclass 241. Processes wherein the ester is prepared from an olefin and is equivalent in structure to an ester prepared from an acyclic saturated monooxy alcohol. | |
248. | Purification or recovery: |
| This subclass is indented under subclass 231. Processes which are directed to the purification, separation, or recovery of esters of unsubstituted acids of the acetic acid series. | |
249. | Terpene alcohol moiety: | ||
This subclass is indented under subclass 231. Processes in which alcohol moiety of the ester is a terpene.
| |||
250. | Nitrogen is alcohol moiety other than as nitro, nitroso or isocyanate: | ||
This subclass is indented under subclass 231. Compounds in which alcohol moiety contains nitrogen other
than in the form of an isocyanate, nitroso, or
nitro group.
| |||
251. | Plural nitrogens in alcohol moiety: | ||||
This subclass is indented under subclass 250. Compounds wherein the alcohol moiety contains more than
one nitrogen.
| |||||
252. | Polyoxy alcohol moiety: | ||
This subclass is indented under subclass 250. Processes in which alcohol moiety contains, in addition
to the esterified OH group, another –OX group
attached to a noncarbonylic C, where X may be C, H, an
alcoholate forming group not provided for above, or an
acyl group not provided for above.
| |||
253. | Acyclic alcohol moiety: | ||
This subclass is indented under subclass 250. Processes in which alcohol moiety is acyclic.
| |||
254. | Aromatic alcohol moiety: |
| This subclass is indented under subclass 231. Processes in which alcohol moiety contains a benzene ring
and is not provided for above.
| |
255 | Plural rings in alcohol moiety: | ||
This subclass is indented under subclass 254. Compounds wherein the alcohol moiety contains at least one
additional carbocyclic group.
| |||
256 | Polycyclo - alicyclic ring system in alcohol moiety: | ||||
This subclass is indented under subclass 231. Compounds wherein the alcohol moiety contains a polyalicyclic
nucleus in which the rings are joined either through two ortho positioned carbons
or through a carbon bridge or both.
SEE OR SEARCH CLASS:
| |||||
257 | Nor- or homo-cyclopentanohydrophenan-threnes: | ||||
| This subclass is indented under subclass 256. Compounds wherein the alcohol moiety contains the structure,
illustrated below, wherein is 0-2, but all n"s may not
be equal to 1 at the same time.
| |||||
258 | Nor-a ring: | ||
This subclass is indented under subclass 257. Compounds wherein n=0 in the A ring.
| |||
259 | 2, 6, 6-trialkyl cyclohexenyl in alcohol moiety: | ||
This subclass is indented under subclass 231. Compounds wherein the alcohol moiety is charcterized by
the presence of a 2, 6, 6-trialkyl cyclohexenyl group, e.g., carotenes.
| |||
260 | Vitamin a alcohol moiety: | ||
This subclass is indented under subclass 259. Compounds wherein the alcohol moiety is Vitamin A.
| |||
261 | Acyclic alcohol moiety having unsaturation: | ||
This subclass is indented under subclass 231. Compounds wherein the alcohol moiety is acyclic and contains
an ethylenic doule bond or a triple bond.
| |||
262 | Substituted: | ||
This subclass is indented under subclass 261. Compounds wherein the alcohol moiety contains a substituent
other than a hydrocarbon and is not provided for above.
| |||
263 | Acyclic polyoxy alcohol moiety: | ||
This subclass is indented under subclass 231. Compounds wherein the alcohol moiety is acyclic and contains
in addition to the esterified OH group, another -OX group attached
to a noncarbonylic C, where X may be C, H, an alcoholate forming
group not provided for above, or an acyl group not provided for
above.
| |||
264 | Substituted: | ||
This subclass is indented under subclass 263. Compounds wherein the alcohol moiety contains a substituent
other than a hydrocarbon and is not provided for above.
| |||
265 | Acyclic monohydric alcohol moiety: | ||
This subclass is indented under subclass 231. Compounds wherein the alcohol moiety is acyclic, saturated
and has no oxy group other than the one which is esterified.
| |||
266 | Substituted: | ||
This subclass is indented under subclass 265. Compounds wherein the alcohol moiety contains a substituent
other than a hydrocarbon and is not provided for above.
| |||
300
| |||||
This subclass is indented under subclass 1. Compounds under Class 532, ... wherein the hypoholite group,
-O-halo, or the perhypohalite group, -O-O-halo, is bonded directly
to carbon, which carbon may be single bonded to any atom but may
be multiple bonded only to carbon.
SEE OR SEARCH CLASS:
| |||||
301
| |||||
This subclass is indented under subclass 1. Compounds under Class 532, ... wherein the cyanate group,
-O-C N is bonded directly to carbon, which carbon may be single
bonded to any atom but may be multiple bonded only to carbon.
SEE OR SEARCH CLASS:
| |||||
302
| |||||
This subclass is indented under subclass 1. Compounds under Class 532, ... having the group -C(=X)-X-nX-,
wherein the X"s may be the same or diverse chalcogens (i.e.,
oxygen, sulfur, selenium or tellurium), nX is a divalent chalcogen
or a chain of divalent chalcogens, and a single bonded X is bonded
directly to carbon, which carbon may be single bonded to any atom
but may be multiple bonded only to carbon.
SEE OR SEARCH CLASS:
| |||||
303
| |||||
This subclass is indented under subclass 1. Compounds under Class 532, ... having the sulfohydroxamate
group or a chalcogen analogue thereof, -S(=O)(=O-NH-X-wherein
X is chalcogen (i.e., oxygen, sulfur, selenium or tellurium) and
substitution may be made for hydrogen only, and wherein the X is
bonded directly to carbon, which carbon may be single bonded to
any atom but may be multiple bonded only to carbon.
SEE OR SEARCH CLASS:
| |||||
304
| |||||
This subclass is indented under subclass 1. Compounds under Class 532, ... wherein the peroxynitrate
group, -O-O-N(=O)(=O), is bonded directly to carbon,
which carbon may be single bonded to any atom but may be multiple
bonded only to carbon.
SEE OR SEARCH CLASS:
| |||||
305
| |||||
This subclass is indented under subclass 1. Compounds under Class 532, ... having the -X-X- group,
wherein the X"s are the same or diverse chalcogens (i.e.,
oxygen, sulfur, selenium or tellurium), bonded directly to boron and
to carbon, which carbon may be single bonded to any atom but may
be multiple bonded only to carbon.
SEE OR SEARCH CLASS:
| |||||
306
| |||||
This subclass is indented under subclass 1. Compounds under Class 532, ... wherein the perhalate group,
-O-halo(=O)(=O)(=O), is bonded directly
to carbon which carbon may be single bonded to any atom but may
be multiple bonded only to carbon.
SEE OR SEARCH CLASS:
| |||||
307
| |||||
This subclass is indented under subclass 1. Compounds under Class 532, ... having the -S(=O)(=O)-S-
group wherein the divalent sulfur is bonded directly to carbon,
which carbon may be single bonded to any atom but may be multiple
bonded only to carbon.
SEE OR SEARCH CLASS:
| |||||
308
| |||
This subclass is indented under subclass 307. Compounds wherein the hexavalent sulfur of the -S(=O)(=O)-S-
group is bonded directly to oxygen.
| |||
309
| |||
This subclass is indented under subclass 308. Compound wherein the -S(=O)(=O)-S- group is
attached indirectly to nitrogen by nonionic bonding.
| |||
310
| |||||
This subclass is indented under subclass 1. Compounds under Class 532, ... having the -S-(=O)-S-
group wherein the divalent sulfur is bonnded directly to carbon,
which carbon may be single bonded to any atom but may be multiple
bonded only to carbon.
SEE OR SEARCH CLASS:
| |||||
311
| |||||
This subclass is indented under subclass 1. Compounds under Class 532, ... having the perhydroxamate
group or a chalcogen analogue thereof, -C(=X)-NH-X-X-,
wherein the X"s may be the same or diverse chalcogens (i.e., oxygen,
sulfur, selenium or tellurium) and substitution may be made for
hydrogen only, and wherein the single bonded X is bonded directly to
carbon, which carbon may be single bonded to any atom but may be
multiple bonded only to carbon.
SEE OR SEARCH CLASS:
| |||||
312
| |||||
This subclass is indented under subclass 1. Compounds under Class 532, ... having the hydroxmate group
or a chalcogen analogue thereof, -C(=X)-NH-X-, wherein
the X"s may be the same or diverse chalcogens (i.e., oxygen,
sulfur, selenium or tellurium) and substitution may be made for
hydrogen only, and wherein the single bonded X is bonded directly to
carbon, which carbon may be single bonded to any atom but may be
multiple bonded only to carbon.
SEE OR SEARCH CLASS:
| |||||
313
| |||
This subclass is indented under subclass 312. Compounds wherein the carbon of the -C(=X)-NH-X-
group is bonded directly to nitrogen.
| |||
314
| |||
This subclass is indented under subclass 313. Compounds wherein the substituent nitrogen is bonded directly
to acyclic or alicyclic carbon, or wherein the single bonded X is
sulfur.
| |||
315
| |||
This subclass is indented under subclass 312. Compounds wherein the carbon of the -C(=X)-NH-X-
group is bonded directly to a carbocyclic ring.
| |||
316
| |||||
This subclass is indented under subclass 1. Compounds under Class 532, ... wherein the hyponitrite
group, -O-N=N-O-, is bonded directly to carbon, which carbon
may be single bonded to any atom but may be multiple bonded only
to carbon.
SEE OR SEARCH CLASS:
| |||||
317
| |||||
This subclass is indented under subclass 1. Compounds under Class 532, ... wherein the -N=S=O
group is bonded directly to carbon, which carbon may be single bonded
to any atom but may be multiple bonded only to carbon.
SEE OR SEARCH CLASS:
| |||||
318
| |||||
This subclass is indented under subclass 1. Compounds under Class 532, ... wherein the terminal oxygen
of a -S(=O)(=O)-O-O- group is bonded directly
to carbon, which carbon may be single bonded to any atom but may
be multiple bonded only to carbon.
SEE OR SEARCH CLASS:
| |||||
319
| |||||
This subclass is indented under subclass 1. Compounds under Class 532, ... wherein the perthioimidate
group, HN=CH-S-S-, may be single bonded directly to any
atom but may be multiple bonded only to carbon, and substitution
may be made for hydrogen only.
SEE OR SEARCH CLASS:
| |||||
330
| |||||
This subclass is indented under subclass 1. Compounds under Class 532, ... wherein the isocyanate group,
-N=C=O, is bonded directly to carbon, which carbon
may be single bonded to any atom but may be multiple bonded only to
carbon.
SEE OR SEARCH CLASS:
| |||||
331
| |
| This subclass is indented under subclass 330. Products which contain an isocyanate ester in admixture with a preserving or stabilizing agent whose sole function is to prevent physical or chemical change. | |
332
| |
| This subclass is indented under subclass 331. Products wherein the preserving or stabilizing agent contains nitrogen. | |
333
| |
| This subclass is indented under subclass 331. Products wherein the preserving or stabilizing agent contains phosphorus, silicon or a phenolic hydroxy group. | |
334
| |||
This subclass is indented under subclass 330. Compounds which contain the carbodiimide group, -N=C=N-.
| |||
335
| |||
This subclass is indented under subclass 330. Compounds which contain the biuret group, -NH-C(=0)-NH-C(=O)
-NH-, wherein substitution may be made for hydrogen only.
| |||
336
| |
| This subclass is indented under subclass 330. Processes which are directed to the preparation, purification, recovery, or treatment in any way of an isocyanate ester. | |
337
| |
| This subclass is indented under subclass 336. Processes wherein isocyanic acid, H-N=C=O, or a salt thereof, is employed as a reactant. | |
338
| |
| This subclass is indented under subclass 336. Processes which involve the formation of the isocyanate group, -N=C=O. | |
339
| |
| This subclass is indented under subclass 338. Process wherein there is utilized a reactant which contains the cyanate group, -O-C=N. | |
340
| |
| This subclass is indented under subclass 338. Process wherein there is utilized a reactant which contains a hetero ring. | |
341
| |
| This subclass is indented under subclass 338. Processes wherein carbon monoxide is utilized in any way. | |
342
| |||
This subclass is indented under subclass 341. Processes wherein there is utilized a reactant which contains
a nitro group bonded directly to carbon.
| |||
343
| |
| This subclass is indented under subclass 338. Processes wherein there is utilized a reactant that contains the azide group, -N3. | |
344
| |
| This subclass is indented under subclass 338. Processes wherein there is utilized a reactant that contains the -NH-C (=O)-NH- group, wherein substitution may be made for hydrogen only. | |
345
| |
| This subclass is indented under subclass 338. Processes wherein there is utilized a reactant that contains the carbamate group, -O-C(=O)-NH, wherein substitution may be made for hydrogen only. | |
346
| |
| This subclass is indented under subclass 338. Processes wherein there is utilized a reactant that contains carbon double or triple bonded to nitrogen. | |
347
| |||
This subclass is indented under subclass 338. Processes wherein there is utilized a carbonyl dihalide
reactant, X-C(=O)-X, wherein X represents halogen.
| |||
348
| |
| This subclass is indented under subclass 338. Processes wherein there is utilized a carbamyl halide reactant, halo-C(=O)-NH-, wherein substitution may be made for hydrogen only. | |
349
| |
| This subclass is indented under subclass 336. Processes wherein an isocyanate ester is halogenated. | |
350
| |||
This subclass is indented under subclass 336. Processes wherein an isocyanate group on one reactant and
a different functional group on a second reactant undergo an exchange
reaction.
| |||
351
| |
| This subclass is indented under subclass 336. Processes wherein an iscoyanate ester of known structure is reacted to yield products of indeterminate structure. | |
352
| |
| This subclass is indented under subclass 336. Processes wherein an isocyanate ester is separated from impurities, or from the reaction medium. | |
353
| |
| This subclass is indented under subclass 352. Processes wherein a metal or an epoxy compound is utilized. | |
354
| |||
This subclass is indented under subclass 330. Compounds which contain a polycyclo ring system having an
alicyclic ring as onne of the cyclos.
| |||
355
| |||
This subclass is indented under subclass 330. Compounds wherein the isocyanate group is bonded directly
to an acyclic carbon.
| |||
356
| |||
This subclass is indented under subclass 355. Compounds wherein the isocyanate group is attached indirectly
to halogen by acyclic nonionic bonding.
| |||
357
| |||
This subclass is indented under subclass 355. Compounds wherein the isocyanate group is attached indirectly
by acyclic nonionic bonding to chalcogen, which is single bonded
directly to carbon.
| |||
358
| |||
This subclass is indented under subclass 330. Compounds wherein the isocyanate group is bonded directly
to a benzene ring.
| |||
359
| |||
This subclass is indented under subclass 358. Compounds wherein isocyanate groups are bonded directly
to more than one benzene ring.
| |||
360
| |||
This subclass is indented under subclass 358. Compounds wherein plural isocyanate groups are bonded directly
to the same benzene ring.
| |||
![[Search a list of Patent Appplications for class 560]](../as.gif)
![[List of Patents for class 560 subclass 1]](../ps.gif)








































































































































































































































































































