CLASS 562, | ORGANIC COMPOUNDS -- PART OF THE CLASS 532-570 SERIES |
| Click here for a printable version of this file | |
SUBCLASSES
1 | Persulphonic acids or salts thereof (i.e., compounds having the -S(=O)(=O) O-OH group, wherein the hydrogen may be replaced by a group IA or IIA light metal, or by substituted or unsubstituted ammonium) | ||
| This subclass is indented under subclass 1. Compounds under Class 532, ... which contain the following
group, wherein H of -OH may be replaced by a Group IA or IIA light
metal, or by substituted or unsubstituted ammonium:
SEE OR SEARCH CLASS:
| |||
2 | Percarboxylic acids or salts thereof (i.e., compounds having the -C(=O)-O OH group, wherein the hydrogen may be replaced by a group IA or IIA light metal, or by substituted or unsubstituted ammonium) | ||
| This subclass is indented under subclass 1. Compounds under Class 532, ... which contain the following
group, wherein H of -OH may be replaced by a Group IA or IIA light
metal, or by substituted or unsubstituted ammonium:
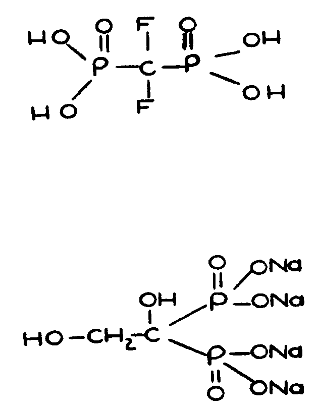
SEE OR SEARCH CLASS:
| |||
3 | With preservative or stabilizer |
| This subclass is indented under subclass 2. Products wherein the percarboxylic acid is mixed with a stabilizing or preserving agent, whose sole function is to prevent physical or chemical change. | |
4 | Formation of the -C(=O)-O-OH group, or of a salt thereof (e.g., from acid halides or anhydrides, neutralization; etc) | ||
This subclass is indented under subclass 2. Processes which involve the formation of the -C(=O)-O-O-H
group, or the formation of a salt of this group.
| |||
5 | Aldehyde or percarboxylic acid ester reactant |
| This subclass is indented under subclass 4. Processes wherein an aldehyde or a percarboxylic acid ester is used as a reactant. | |
6 | Carboxylic acid or carboxylic acid salt reactant |
| This subclass is indented under subclass 4. Processes wherein a carboxylic acid or a carboxylic acid salt is used as a reactant. | |
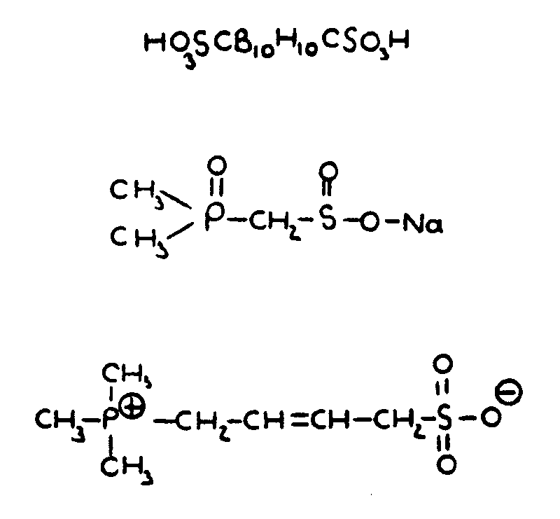
7 | Boron acids or salts thereof (i.e., compounds having -XH, wherein X is chalcogen, attached directly to boron by nonionic bonding and wherein the hydrogen may be replaced by a group IA or IIA light metal, or by substituted or unsubstituted ammonium) | ||||
This subclass is indented under subclass 1. Compounds under Class 532, ... in which boron is attached
directly to -XH by nonionic bonding, wherein X is chalcogen (i.e.,
oxygen, sulfur, selenium or tellurium) and H of -XH may be replaced
by a Group IA or IIA light metal, or by substituted or unsubstituted ammonium.
SEE OR SEARCH CLASS:
| |||||
8 | Phosphorus acids or salts thereof (i.e., compounds having -XH, wherein X is chalcogen, attached directly to phosphorus by nonionic bonding and wherein the hydrogen may be replaced by a substituted or unsubstituted ammonium or by a group IA or IIA light metal) | ||||
This subclass is indented under subclass 1. Compounds under Class 532, ... wherein -XH is bonded directly
to phosphorus by nonionic bonding; the X is chalcogen (i.e., oxygen,
sulfur, selenium or tellurium) and -H of -XH may be replaced by
a Group IA or IIA light metal or by substituted or unsubstituted
ammonium (i.e., phosphorus acid or salt thereof).
SEE OR SEARCH CLASS:
| |||||
9 | Sulfur attached directly to the phosphorus by nonionic bonding | ||
This subclass is indented under subclass 8. Compounds in which sulfur is attached directly to the phosphorus
by nonionic bonding.
| |||
10 | Nitrogen attached directly to the phosphorus by nonionic bonding | ||
This subclass is indented under subclass 8. Compounds wherein nitrogen is attached directly to the phosphorus
by nonionic bonding.
| |||
11 | Nitrogen attached indirectly to the phosphorus by nonionic bonding | ||
This subclass is indented under subclass 8. Compounds wherein nitrogen is attached indirectly to the
phosphorus by nonionic bonding.
| |||
12 | Plural phosphori attached indirectly to each other by nonionic bonding | ||
This subclass is indented under subclass 11. Compounds in which at least two atoms of phosphorus are
attached indirectly to each other by nonionic bonding.
| |||
13 | Plural phosphori bonded directly to the same carbon | ||
This subclass is indented under subclass 12. Compounds in which at least two phosphorus atoms are bonded
directly to the same carbon.
| |||
14 | Additional nitrogen attached indirectly to the phosphorus by nonionic bonding | ||
This subclass is indented under subclass 12. Compounds wherein additional nitrogen is attached indirectly
to the phosphorus by nonionic bonding.
| |||
15 | The nitrogen is bonded directly to -C(=X)-, wherein X is chalcogen | ||
This subclass is indented under subclass 11. Compounds in which the nitrogen is bonded directly to a
-C(=X)-group, wherein X is chalcogen (i.e., oxygen, sulfur,
selenium or tellurium).
| |||
16 | The nitrogen and the phosphorus are bonded directly to the same carbon | ||
This subclass is indented under subclass 11. Compounds wherein the nitrogen and the phosphorus are bonded
directly to the same carbon.
| |||
17 | The nitrogen is bonded to an additional acyclic carbon or acyclic carbon chain, to which a -C(=X)X- group is bonded directly, wherein the X's are the same or diverse chalcogen | ||
This subclass is indented under subclass 16. Compounds wherein the nitrogen is bonded directly to an
additional acyclic carbon or acyclic carbon chain to which a -C(=X)X-
group is also bonded directly, wherein the X"s may be the
same or diverse chalcogens (i.e., oxygen, sulfur, selenium or tellurium).
| |||
18 | Preparing from a compound having a nitrogen containing hetero ring |
| This subclass is indented under subclass 17. Processes whereby a compound which contains a nitrogen-heterocyclo is utilized in the preparation. | |
19 | The phosphorus is in a ring | ||
This subclass is indented under subclass 8. Compounds in which the phosphorus is a ring member.
| |||
20 | Plural phosphori attached indirectly to each other by nonionic bonding | ||
This subclass is indented under subclass 8. Compounds in which at least two phosphorus atoms are attached
indirectly to each other by nonionic bonding.
| |||
21 | Plural phosphori bonded directly to the same carbon | ||
This subclass is indented under subclass 20. Compounds wherein the plural phosphorus atoms are bonded
directly to the same carbon.
| |||
22 | Processes |
| This subclass is indented under subclass 21. Processes for the preparation of compounds having plural phosphorus atoms bonded directly to the same carbon or for the treatment of such compounds. | |
23 | Chalcogen attached indirectly to the phosphorus by nonionic bonding | ||
This subclass is indented under subclass 8. Compounds wherein chalcogen (i.e., oxygen, sulfur, selenium
or tellurium) is attached indirectly to the phosphorus atom by nonionic bonding.
| |||
24 | The chalcogen is in a -C(=X)- group | ||
This subclass is indented under subclass 23. Compounds in which the chalcogen is in a -C(=X)-
group.
| |||
25 | Halogen attached indirectly to the phosphorus by nonionic bonding | ||
This subclass is indented under subclass 8. Compounds in which halogen is attached indirectly to the
phosphorus atom by nonionic bonding.
| |||
26 | Thiocarboxylic acids or salts thereof (i.e., compounds having the group -C(=X)XH, wherein the X's are the same or diverse chalcogens and at least one X is sulfur, and hydrogen may be replaced by a group IA or IIA light metal, or by substituted or unsubstituted ammonium) | ||
| This subclass is indented under subclass 1. Compounds under Class 532, ... which contain the following
group, wherein the X"s may be the same or diverse chalcogens
(i.e., oxygen, sulfur, selenium or tellurium), at least one X is sulfur,
and H of -XH may be replaced by a Group IA or IIA light metal or
by substituted or unsubstituted ammonium:
SEE OR SEARCH CLASS:
| |||
27 | Nitrogen bonded directly to the carbon of the -C(=X)XH group or of its salt (e.g., dithiocarbamic acids, etc.) | ||
This subclass is indented under subclass 26. Compounds wherein the carbon of the -C(=X)XH
group, or of its salt, is bonded directly to nitrogen.
| |||
28 | Processes utilizing carbon disulfide | ||
This subclass is indented under subclass 27. Processes wherein carbon disulfide is used.
| |||
29 | Thiosulfonic acids or salts thereof (i.e., compounds containing the thiosulfonate group, -S(=O)(=O)-S-, wherein the divalent sulfur is bonded directly to hydrogen, or to a group IA or IIA light metal or to substituted or unsubstituted ammonium) | ||
| This subclass is indented under subclass 1. Compounds under Class 532, ... which contain the following
group, wherein H of -SH may be replaced by a Group IA or IIA light
metal, or by substituted or unsubstituted ammonium:
SEE OR SEARCH CLASS:
| |||
30 | Sulfonic acids or salts thereof (i.e., compounds containing the sulfonate group, -S(=O)(=O)-O- wherein the single bonded oxygen is bonded directly to hydrogen, or to a group IA or IIA light metal or to substituted or unsubstituted ammonium) | ||
| This subclass is indented under subclass 1. Compounds under Class 532, ... which contain the following
group, sulfonate, wherein the single bonded oxygen is bonded directly
to hydrogen, or to a Group IA or IIA light metal, or to substituted
or unsubstituted ammonium:
SEE OR SEARCH CLASS:
| |||
31 | Hydrophenanthrene ring system containing | ||
This subclass is indented under subclass 30. Compounds which contain the hydrophenanthrene ring system.
| |||
32 | Processes of sulfonating lignites, leonardites, coal, humic acids, bark or pitch, and the reaction products thereof |
| This subclass is indented under subclass 30. Processes wherein lignites, leonardites, coal, humic acids, bark or pitch is sulfonated to form a sulfonic acid or salt thereof, or the reaction products of such processes. | |
33 | Petroleum sulfonic acids | ||||||||
This subclass is indented under subclass 30. Compounds wherein the sulfur of the sulfonate group is bonded
directly to carbon of petroleum.
| |||||||||
34 | Addition salts having organic nitrogen containing cation |
| This subclass is indented under subclass 33. Products wherein the single bonded oxygen of a petroleum sulfonate group is bonded directly to organic nitrogen by ionic bonding. | |
35 | Boron or phosphorus attached indirectly to the sulfonate group by nonionic bonding (e.g., phosphonium salts, etc.) | ||
This subclass is indented under subclass 30. Compounds wherein the sulfonate group is attached indirectly
to boron or phosphorus by nonionic bonding.
| |||
36 | Chalcogen or -C(=X)-, wherein X is chalcogen, attached directly to the sulfonate sulfur by nonionic bonding | ||
This subclass is indented under subclass 30. Compounds wherein the sulfur of the sulfonate group is attached
directly to chalcogen (i.e., oxygen, sulfur, selenium or tellurium)
or to -C(=X)-, wherein X is chalcogen, by nonionic bonding.
| |||
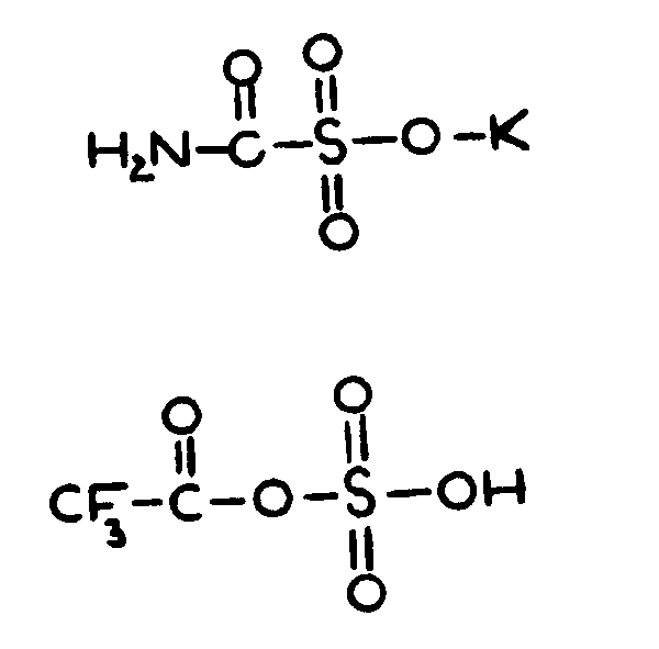
37 | Nitrogen attached directly to the sulfonate sulfur by nonionic bonding (e.g., sulfamic acids, etc.) | ||
This subclass is indented under subclass 30. Compounds wherein the sulfur of the sulfonate group is attached
directly to nitrogen by nonionic bonding.
| |||
38 | Processes utilizing an inorganic sulfamic acid, or a salt thereof | ||
This subclass is indented under subclass 37. Processes wherein an inorganic sulfamic acid, or a salt
of an inorganic sulfamic acid, is used.
| |||
39 | Processes of forming the -NH-S(=O)(O=)-O- group, wherein substitution may be made for hydrogen only |
| This subclass is indented under subclass 37. Processes which involve the formation of the following group,
wherein substitution may be made for hydrogen only:
| |
40 | Additional salts having organic nitrogen containing cation | ||
This subclass is indented under subclass 37. Compounds wherein the single bonded oxygen of the sulfonate
group is bonded directly to organic nitrogen by ionic bonding.
| |||
41 | Benzene ring attached indirectly to the sulfonate group by acyclic nonionic bonding | ||
This subclass is indented under subclass 30. Compounds wherein the sulfonate group is attached indirectly
to a benzene ring by acyclic nonionic bonding.
| |||
42 | Noncarbon atom in acyclic chain between the benzene ring and the sulfonate sulfur | ||
This subclass is indented under subclass 41. Compounds wherein the acyclic chain between the benzene
ring and the sulfonate sulfur has a noncarbon atom as a chain member.
| |||
43 | Nitrogen in the acyclic chain | ||
This subclass is indented under subclass 42. Compounds wherein the acyclic chain has nitrogen as a chain
member.
| |||
44 | Chalcogen or -C(=X)-, wherein X is chalcogen, in the chain | ||
This subclass is indented under subclass 43. Compounds wherein chalcogen (i.e., oxygen, sulfur, selenium
or tellurium) or -C(=X)-, wherein X is chalcogen, is also
a member of the acyclic chain.
| |||
45 | Benzene ring bonded directly to the sulfonate sulfur (e.g., purification and neutralization of benzene sulfonic acids, etc.) | ||
This subclass is indented under subclass 30. Compounds wherein the sulfonate sulfur is bonded directly
to a benzene ring.
| |||
46 | Having -C(=X)-, wherein X is chalcogen, attached indirectly to the sulfonate group by nonionic bonding (e.g., aldehydes, etc.) | ||
This subclass is indented under subclass 45. Compounds wherein the sulfonate group is attached indirectly
by nonionic bonding to -C(=X)-, wherein X is chalcogen
(i.e., oxygen, sulfur, selenium or tellurium).
| |||
47 | Chalcogen or nitrogen bonded directly to the -C(=X)- group | ||
This subclass is indented under subclass 46. Compounds wherein the -C(=X)- group is bonded directly
to nitrogen or to chalcogen.
| |||
48 | Benzene ring bonded directly to each nitrogen of a -NH-C(=X)-NH-group, wherein X is chalcogen and substitution may be made for hydrogen only | ||
This subclass is indented under subclass 47. Compounds wherein each nitrogen of a -NH-C(=X)-NH-
group, wherein X is chalcogen and substitution may be made for hydrogen
only, is bonded directly to a benzene ring.
| |||
49 | At least one of the benzene rings is part of a naphthalene ring system | ||
This subclass is indented under subclass 48. Compounds wherein the -NH-C(=X)-NH- group is bonded
directly to at least one benzene ring that is part of a naphthalene
ring system.
| |||
50 | Plural naphthalene ring systems attached indirectly to the -NHC(=X)NH- group by nonionic bonding | ||
This subclass is indented under subclass 48. Compounds wherein the -NH-C(=X)-NH- is attached
indirectly to plural naphthalene ring systems by nonionic bonding.
| |||
51 | Stilbene containing |
| This subclass is indented under subclass 47. Compounds which contain the following group, wherein substitution
may be made for hydrogen only:
| |
52 | Plural -C(=X)- groups attached indirectly to the sulfonate group by nonionic bonding | ||
This subclass is indented under subclass 47. Compounds wherein the sulfonate group is attached indirectly
to plural -C(=X)- groups by nonionic bonding.
| |||
53 | Plural carbons bonded directly to -C(=X)- | ||
This subclass is indented under subclass 52. Compounds wherein a -C(=X)- group is bonded directly
to two carbon atoms.
| |||
54 | Plural -C(=X)- groups bonded directly to the same benzene ring | ||
This subclass is indented under subclass 52. Compounds wherein a benzene ring is bonded directly to more
than one -C(=X)- group.
| |||
55 | Acyclic carbon bonded directly to the -C(=X)- group | ||
This subclass is indented under subclass 47. Compounds wherein the -C(=X)- group is bonded directly
to an acyclic carbon.
| |||
56 | The -C(=X)- is part of a -C(=X)X- group, wherein the X's may be the same or diverse chalcogens | ||
This subclass is indented under subclass 47. Compounds wherein the -C(=X)- group is bonded directly
to chalcogen in a -C(=X)X- group, in which the X"s
may be the same or diverse chalcogens.
| |||
57 | Nitrogen attached indirectly to the sulfonate group by nonionic bonding | ||
This subclass is indented under subclass 56. Compounds wherein the sulfonate group is attached indirectly
to nitrogen by nonionic bonding.
| |||
58 | Nitrogen attached indirectly to the sulfonate group by nonionic bonding | ||
This subclass is indented under subclass 45. Compounds wherein the sulfonate group is attached indirectly
to nitrogen by nonionic bonding.
| |||
59 | Plural benzene rings bonded directly to each other or to the same acyclic carbon | ||
This subclass is indented under subclass 58. Compounds wherein plural benzene rings are bonded to each
other or to the same acyclic carbon.
| |||
60 | Stilbene containing |
| This subclass is indented under subclass 58. Compounds which contain the following group, wherein substitution
may be made for hydrogen only:
| |
61 | Plural benzene rings bonded directly to the same nitrogen | ||
This subclass is indented under subclass 58. Compounds wherein a nitrogen atom is bonded to more than
one benzene ring.
| |||
62 | Plural nitrogens each bonded to two benzene rings (e.g., phenylaminophenylaminophenyl compounds, etc.) | ||
This subclass is indented under subclass 61. Compounds wherein each of two benzene rings is bonded directly
to two nitrogen atoms.
| |||
63 | At least one of the benene rings is part of a naphthalene ring system | ||
This subclass is indented under subclass 61. Compounds wherein the nitrogen is bonded directly to a benzene
ring that is part of a naphthalene ring system.
| |||
64 | Oxygen bonded directly to a benzene ring | ||
This subclass is indented under subclass 61. Compounds wherein a benzene ring is bonded directly to oxygen.
| |||
65 | Sulfonyl bonded directly to the nitrogen | ||
| This subclass is indented under subclass 58. Compounds wherein the nitrogen is bonded directly to sulfonyl:
| |||
66 | The nitrogen is attached indirectly to a benzene ring by acyclic nonionic bonding | ||
This subclass is indented under subclass 58. Compounds wherein a benzene ring is attached indirectly
to the nitrogen by acyclic nonionic bonding.
| |||
67 | Additional nitrogen attached indirectly to the sulfonate group by nonionic bonding | ||
This subclass is indented under subclass 66. Compounds wherein the sulfonate group is further attached
indirectly to an additional nitrogen by nonionic bonding.
| |||
68 | Polycyclo ring system consisting of benzene rings bonded directly to the sulfonate group | ||
This subclass is indented under subclass 58. Compounds wherein the sulfur of the sulfonate group is bonded
directly to a polycyclo ring system consisting of benzene rings.
| |||
69 | Nitro or nitroso bonded directly to the polycyclo ring system | ||
This subclass is indented under subclass 68. Compounds wherein the polycyclo ring system is bonded directly
to a nitro or nitroso group.
| |||
70 | Oxygen bonded directly to the polycyclo ring system (e.g., aminonaphthol sulfonic acid, etc.) | ||
This subclass is indented under subclass 68. Compounds wherein the polycyclo ring system is bonded directly
to oxygen.
| |||
71 | Additional sulfonate group bonded directly to the polycyclo ring system (e.g., H acid, etc.) | ||
This subclass is indented under subclass 70. Compounds wherein the polycyclo ring system is bonded directly
to plural sulfonate groups.
| |||
72 | Halogen, plural nitrogens, or additional sulfonate group bonded directly to the polycyclo ring system | ||
This subclass is indented under subclass 68. Compounds wherein the polycyclo ring system is bonded directly
to halogen, to plural nitrogens, or to plural sulfonate groups.
| |||
73 | Nitro or halogen bonded directly to a benzene ring | ||
This subclass is indented under subclass 58. Compounds wherein a benzene ring is bonded directly to nitro
or to halogen.
| |||
74 | Nonsulfonate chalcogen attached indirectly to the sulfonate group by nonionic bonding | ||||
This subclass is indented under subclass 45. Compounds wherein the sulfonate group is attached indirectly
by nonionic bonding to a chalcogen (i.e., oxygen, sulfur, selenium,
or tellurium) that is not part of a sulfonate group.
| |||||
75 | Two benzene rings bonded to the nonsulfonate chalcogen (e.g., phenoxyphenyl compounds, etc.) | ||
This subclass is indented under subclass 74. Compounds wherein the nonsulfonate chalcogen is bonded directly
to two benzene rings.
| |||
76 | Plural carbons bonded directly to the nonsulfonate chalcogen (e.g., ethers, sulfones, etc.) | ||
This subclass is indented under subclass 74. Compounds wherein the nonsulfonate chalcogen is bonded directly
to plural carbons.
| |||
77 | Hydroxy group or nonsulfonate sulfur attached indirectly to a benzene ring by acyclic nonionic bonding | ||
This subclass is indented under subclass 76. Compounds wherein a benzene ring is attached indirectly
to a hydroxy group or to a nonsulfonate sulfur by acyclic nonionic
bonding.
| |||
78 | Halogen attached indirectly to the sulfonate group by nonionic bonding | ||
This subclass is indented under subclass 74. Compounds wherein the sulfonate group is attached indirectly
to halogen by nonionic bonding.
| |||
79 | The sulfonate group and oxygen are bonded directly to the same polycyclo ring system which consists of benzene rings | ||
This subclass is indented under subclass 74. Compounds wherein oxygen and the sulfonate group are bonded
directly to the same polycyclo ring system consisting of benzene
rings.
| |||
80 | Additional sulfonate group bonded directly to the polycyclo ring system | ||
This subclass is indented under subclass 79. Compounds wherein the polycyclo ring system consisting of
benzene rings is bonded directly to an additional sulfonate group.
| |||
81 | Plural oxygens bonded directly to the same benzene ring | ||
This subclass is indented under subclass 74. Compounds wherein a benzene ring is bonded directly to more
than one oxygen.
| |||
82 | The sulfonate group, oxygen, and alkyl of at least 4 carbons are bonded directly to the same benzene ring | ||
This subclass is indented under subclass 74. Compounds wherein a benzene ring is bonded directly to each
of the sulfonate group, oxygen, and alkyl of at least four carbons.
| |||
83 | Halogen attached indirectly to the sulfonate group by nonionic bonding | ||
This subclass is indented under subclass 45. Compounds wherein the sulfonate group is attached indirectly
to halogen by nonionic bonding.
| |||
84 | Addition salts having organic nitrogen containing cation | ||
This subclass is indented under subclass 45. Compounds wherein the single bonded oxygen of the sulfonate
group is bonded directly to organic nitrogen by ionic bonding.
| |||
85 | Having -C(=X)-, wherein X is chalcogen, in the cation | ||
This subclass is indented under subclass 84. Compounds wherein the organic nitrogen is attached indirectly
by nonionic bonding to -C(=X)-, wherein X is chalcogen
(i.e., oxygen, sulfur, selenium or tellurium).
| |||
86 | Nitrogen double bonded to carbon in the cation (e.g., guanidinium salts, etc.) | ||
This subclass is indented under subclass 84. Compounds wherein the organic nitrogen is part of a cation
containing carbon double bonded to nitrogen.
| |||
87 | Acyclic carbon to carbon unsaturation containing | ||
This subclass is indented under subclass 45. Compounds which contain unsaturation between acyclic carbon
atoms.
| |||
88 | Plural benzene rings bonded directly to each other, or to the same acyclic carbon or acyclic carbon chain | ||
This subclass is indented under subclass 45. Compounds wherein an acyclic carbon or an acyclic carbon
chain is bonded directly to plural benzene rings, or two benzene
rings are bonded directly to each other.
| |||
89 | Polycyclo ring system consisting of benzene rings bonded directly to the sulfonate group | ||
This subclass is indented under subclass 45. Compounds wherein the sulfonate group is bonded directly
to a polycyclo ring system consisting of benzene rings.
| |||
90 | Processes of sulfonating naphthalene per se or alkyl substituted naphthalene |
| This subclass is indented under subclass 89. Processes wherein naphthalene, per se, or an alkyl substituted naphthalene, is sulfonated. | |
91 | Sulfonate group and alkyl group of at least four carbons bonded directly to the same benzene ring | ||
This subclass is indented under subclass 45. Compounds wherein a benzene ring is bonded to both the sulfonate
group, and to alkyl of at least four carbons.
| |||
92 | With preservative, stabilizer, or color or odor affecting additive |
| This subclass is indented under subclass 91. Products wherein the sulfonic acid or salt thereof is mixed with stabilizing or preserving agent, whose sole function is to prevent physical or chemical change, or with a color or odor affecting additive, whose sole function is to improve color or odor qualities. | |
93 | Processes including alkylation of a benzene ring, and the products thereof |
| This subclass is indented under subclass 91. Processes which include the step of alkylating a benzene ring, and the products of such processes. | |
94 | The alkylating agent is an olefin |
| This subclass is indented under subclass 93. Processes wherein an olefin is used as the alkylating agent. | |
95 | Sulfonation processes | ||
This subclass is indented under subclass 91. Processes which include the step of sulfonating a benzene
ring.
| |||
96 | Purification or recovery |
| This subclass is indented under subclass 91. Processes wherein the sulfonic acid, or salt thereof, is separated from impurities or from the reaction mixture. | |
97 | Neutralization or acidification |
| This subclass is indented under subclass 91. Processes wherein a sulfonic acid is converted to a salt thereof, or a salt of a sulfonic acid is converted to the free acid. | |
98 | Sulfonation utilizing sulfur trioxide or oleum (e.g., sulfonation of benzene or toluene with oleum, etc.) | ||
This subclass is indented under subclass 45. Processes wherein sulfur trioxide or oleum is used to sulfonate
a benzene ring.
| |||
99 | Sulfonation utilizing sulfuric acid (e.g., sulfonation of benzene or toluene with sulfuric acid, etc.) |
| This subclass is indented under subclass 45. Processes wherein sulfuric acid is used to sulfonate a benzene ring. | |
100 | Polycyclo alicyclic ring system attached directly or indirectly to the sulfonate group by nonionic bonding | ||
This subclass is indented under subclass 30. Compounds wherein the sulfonate group is attached directly
or indirectly to a polycyclo alicyclic ring system by nonionic bonding.
| |||
101 | Plural sulfonate groups attached indirectly to each other by acyclic nonionic bonding | ||
This subclass is indented under subclass 30. Compounds wherein the sulfonate group is attached indirectly
to an additional sulfonate group by acyclic nonionic bonding.
| |||
102 | Nitrogen or -C(=X)-, wherein X is chalcogen, attached indirectly to the sulfonate groups by nonionic bonding | ||
This subclass is indented under subclass 101. Compounds wherein the sulfonate groups are attached indirectly
to nitrogen or to -C(=X)-, wherein X is chalcogen (i.e.,
oxygen, sulfur, selenium or tellurium), by nonionic bonding.
| |||
103 | Plural nonsulfonate chalcogens attached indirectly to the sulfonate groups by nonionic bonding | ||
This subclass is indented under subclass 101. Compounds wherein the sulfonate groups are attached indirectly
to plural nonsulfonate chalcogens (i.e., oxygen, sulfur, selenium
or tellurium) by nonionic bonding.
| |||
104 | Nitrogen attached indirectly to the sulfonate group by acyclic nonionic bonding | ||
This subclass is indented under subclass 30. Compounds wherein the sulfonate group is attached indirectly
to nitrogen by acyclic nonionic bonding.
| |||
105 | Having -C(=X)-, wherein X is chalcogen, attached indirectly to the sulfonate group by acyclic nonionic bonding | ||
This subclass is indented under subclass 104. Compounds wherein the sulfonate group is attached indirectly
to -C(=X)-, wherein X is chalcogen (i.e., oxygen, sulfur,
selenium or tellurium), by acyclic nonionic bonding.
| |||
106 | Plural nitrogens or plural -C(=X)- groups, wherein X is chalcogen, attached indirectly to the sulfonate group by acyclic nonionic bonding | ||
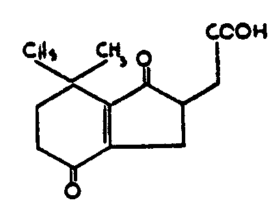
This subclass is indented under subclass 105. Compounds wherein the sulfonate group is attached indirectly
to plural nitrogens or to plural -C(=X)-groups by acyclic
nonionic bonding.
| |||
107 | Chalcogen attached indirectly to the sulfonate group by acyclic nonionic bonding | ||
This subclass is indented under subclass 104. Compounds wherein the sulfonate group is attached indirectly
to chalcogen (i.e., oxygen, sulfur, selenium or tellurium) by acyclic
nonionic bonding.
| |||
108 | Chalcogen attached indirectly to the sulfonate group by acyclic nonionic bonding | ||
This subclass is indented under subclass 30. Compounds wherein the sulfonate group is attached indirectly
to chalcogen (i.e., oxygen, sulfur, selenium or tellurium) by acyclic
nonionic bonding.
| |||
109 | The chalcogen, X, is in a -C(=X)- group | ||
This subclass is indented under subclass 108. Compounds wherein the chalcogen, X, is double bonded to
carbon in a -C(=X)- group.
| |||
110 | Plural chalcogens attached indirectly to the sulfonate group by acyclic nonionic bonding | ||
This subclass is indented under subclass 108. Compounds wherein the sulfonate group is attached indirectly
to plural chalcogens by acyclic nonionic bonding.
| |||
111 | Plural carbons bonded directly to the chalcogen (e.g., ethers, etc.) | ||
This subclass is indented under subclass 108. Compounds wherein the chalcogen is bonded directly to plural
carbons.
| |||
112 | Addition salts having organic nitrogen containing cation | ||
This subclass is indented under subclass 108. Compounds wherein the single bonded oxygen of the sulfonate
group is bonded directly to organic nitrogen by ionic bonding.
| |||
113 | Halogen attached indirectly to the sulfonate group by acyclic nonionic bonding | ||
This subclass is indented under subclass 30. Compounds wherein the sulfonate group is attached indirectly
to halogen by acyclic nonionic bonding.
| |||
114 | Addition salts having organic nitrogen containing cation | ||
This subclass is indented under subclass 30. Compounds wherein the single bonded oxygen of the sulfonate
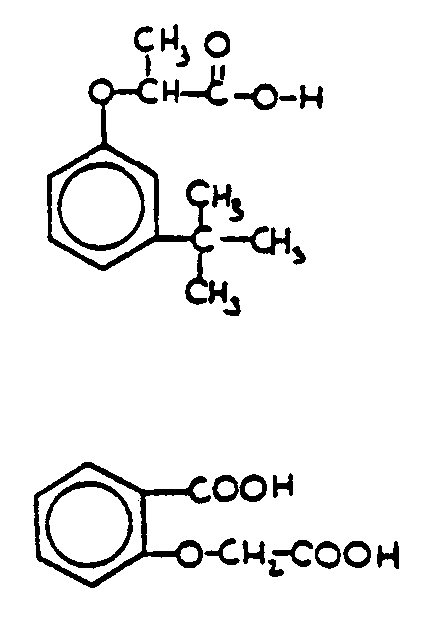
group is bonded directly to organic nitrogen by ionic bonding.
| |||
115 | Processes (e.g., neutralization, stabilization, etc.) |
| This subclass is indented under subclass 30. Processes which are directed to the preparation, purification, recovery, or treatment in any way of a sulfonic acid or of a sulfonic acid salt. | |
116 | Decarboxylation, hydrogenation or formation of carbon-to-carbon unsaturation |
| This subclass is indented under subclass 115. Processes which involve formation of carbon-to-carbon unsaturation, hydrogenation or decarboxylation. | |
117 | Conversion of sulfur containing hetero ring compounds to sulfonic acids | ||
This subclass is indented under subclass 115. Processes wherein sulfonic acids are formed by conversion
of sulfur containing hetero ring compounds.
| |||
118 | Oxidation of organic sulfur compounds to sulfonic acids | ||
This subclass is indented under subclass 115. Processes wherein sulfonic acids are formed by oxidation
of organic sulfur compounds.
| |||
119 | Hydrolysis of sulfonyl halides |
| This subclass is indented under subclass 114. Processes which involve the hydrolysis of sulfonyl halides. | |
120 | Formation of sulfonic acids or sulfonic acid salts utilizing inorganic sulfonating agents (e.g., reaction of alcohols or alkyl halides with sulfurous acid, etc.) |
| This subclass is indented under subclass 114. Processes wherein sulfonic acids, or salts of sulfonic acids, are formed by using inorganic sulfonating agents. | |
121 | Utilizing sulfur dioxide and oxygen (i.e., sulfoxidation) | ||
This subclass is indented under subclass 120. Processes wherein oxygen and sulfur dioxide are utilized.
| |||
122 | Sulfurous acid or salt thereof reacted with unsaturated hydrocarbon |
| This subclass is indented under subclass 120. Processes wherein an unsaturated hydrocarbon is reacted with sulfurous acid or with a salt thereof. | |
123 | Utilizing sulfur trioxide, oleum, sulfuric acid or halosulfonic acid |
| This subclass is indented under subclass 120. Processes wherein halosulfonic acid, sulfuric acid, oleum or sulfur trioxide is used. | |
124 | Purification or recovery |
| This subclass is indented under subclass 115. Processes wherein a sulfonic acid or a salt thereof is separated from impurities or from the reaction mixture. | |
125 | Sulfinic or sulfenic acids or salts thereof (i.e., compounds containing the sulfinate group, -S(=O)O-, or the sulfenate group, -S-O-, wherein the single bonded oxygen is bonded directly to hydrogen, or to a group IA or group IIA light metal or to substituted or unsubstituted ammonium) | ||
| This subclass is indented under subclass 1. Compounds under Class 532, ... which contain either of
the two following groups: sulfinate or sulfenate, wherein, in either
case, the single bonded oxygen is bonded directly to hydrogen, to
a Group IA or IIA light metal, or to substituted or unsubstituted
ammonium:
SEE OR SEARCH CLASS:
| |||
126 | Nitrogen attached indirectly to a sulfinate group by acyclic nonionic bonding | ||
This subclass is indented under subclass 125. Compounds wherein a sulfinate group is attached indirectly
to nitrogen by acyclic nonionic bonding.
| |||
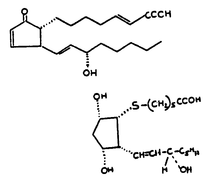
400 | Carboxylic acids and salts thereof: | ||||||||||||
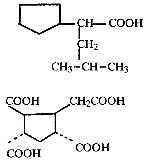
This subclass is indented under subclass 1. Compounds under Class 532, ... wherein the acid function
is a carboxyl group or a salt thereof.
| |||||||||||||
401 | Racemization or separation of optical isomers: | ||
This subclass is indented under subclass 400. Processes directed to the racemization or separation of
optical isomers and includes the separation of diastereomers as
well as the resolution of racemic mixtures of enantiomers.
| |||
402 | Physical resolution: |
| This subclass is indented under subclass 401. Processes wherein the separation is performed solely by physical means such as fractional crystallization. | |
403 | Hydrophenanthrene nucleus: | ||||||||||||
This subclass is indented under subclass 400. Compounds which contain a hydrophenanthrene nucleus, not
elsewhere provided.
SEE OR SEARCH CLASS:
| |||||||||||||
404 | 1,4a-dimethyl hydrophenanthrene-1 carboxylic acids or salts thereof: | ||
This subclass is indented under subclass 403. Compounds which contain the 1,4a-dimethyl hydrophenanthrene-1
carboxylic acid nucleus.
| |||
405 | Aromatic: | ||||
This subclass is indented under subclass 400. Compounds wherein the acid contains a benzene nucleus.
SEE OR SEARCH THIS CLASS, SUBCLASS:
| |||||
406 | Preparation by carbonylation: |
| This subclass is indented under subclass 405. Processes wherein an aromatic carboxylic acid is prepared through formation of a carboxyl group on an aromatic compound by reaction with carbon monoxide. | |
407 | Formation of carboxyl group by oxidation: | ||||
This subclass is indented under subclass 405. Processes wherein a carboxyl group of an aromatic acid is
formed by oxidation.
| |||||
408 | Of aromatic compound: | ||
This subclass is indented under subclass 407. Process wherein a carboxyl group is formed by oxidizing
an aromatic compound.
| |||
409 | Alkyl side chain oxidized: | ||
This subclass is indented under subclass 408. Processes wherein the carboxyl group is formed by oxidation
of an alkyl side chain of an aromatic nucleus.
| |||
410 | Nitrogen containing oxidant: |
| This subclass is indented under subclass 409. Processes wherein the oxidizing agent utilized contains nitrogen, as for example, nitric acid or oxides of nitrogen. | |
411 | Sulfur containing oxidant: |
| This subclass is indented under subclass 409. Processes wherein the oxidizing agent utilized is sulfur or a sulfur containing compound. | |
412 | Air, O2, or O3 Oxidant: |
| This subclass is indented under subclass 409. Processes wherein the oxidizing agent utilized is air, oxygen, or ozone. | |
413 | Multistage: | ||
This subclass is indented under subclass 412. Processes wherein the oxidation is carried out in plural
sequential stages.
| |||
414 | With recycle or recovery of reaction component: | ||
This subclass is indented under subclass 412. Processes wherein components of the product of oxidation
may be separated, further treated, and either recycled to the reaction
chamber or recovered.
| |||
415 | Gas phase: |
| This subclass is indented under subclass 412. Processes wherein the oxidation is conducted in a gas or vapor phase. | |
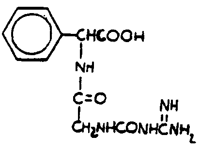
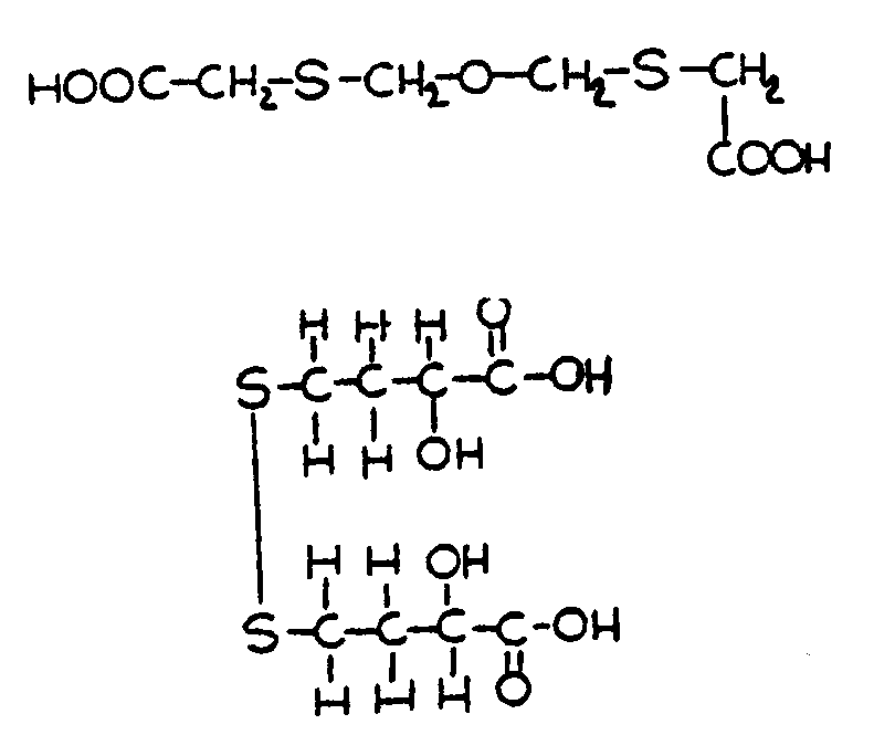
416 | Halogen containing catalyst, initiator, or promoter utilized: |
| This subclass is indented under subclass 412. Processes wherein the oxidation process is carried out in the presence of a catalyst, or initiator or promoter which contains a halogen. | |
417 | Initiator or promoter used with catalyst: |
| This subclass is indented under subclass 412. Processes wherein the oxidation is carried out with a catalyst and an additional material which may reduce the induction period or promote or regulate the oxidation rate to improve the yield or shorten the reaction time. | |
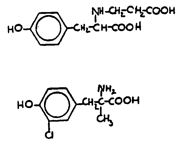
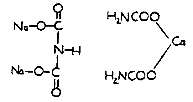
418 | Of oxy or carbonyl containing compound: |
| This subclass is indented under subclass 408. Processes wherein the aromatic compounds which are oxidized contain an oxy group or a carbonyl group, such as, for example, aralkyl alcohols or aldehydes. | |
419 | Hypohalite as oxidant: |
| This subclass is indented under subclass 418. Processes wherein the oxidizing agent is a hypohalite, such as, for example, sodium hypochlorite. | |
420 | Nitrogen containing oxidant: |
| This subclass is indented under subclass 418. Processes wherein the oxidizing agent contains nitrogen, as for example, nitric acid or oxides of nitrogen. | |
421 | Air, O2, or O3 Oxidant: |
| This subclass is indented under subclass 418. Processes wherein the oxidizing agent is air, oxygen, or ozone. | |
422 | Of halo alkyl containing compounds: |
| This subclass is indented under subclass 408. Processes wherein the carboxyl group is formed by oxidizing a halo alkyl side chain of an aromatic compound. | |
423 | Preparation by carbonation: |
| This subclass is indented under subclass 405. Processes wherein an aromatic carboxylic acid is produced by reacting an aromatic compound with carbon dioxide or a material which will produce carbon dioxide under the reaction conditions, such as a carbonate. | |
424 | Of alkali metal phenolates: |
| This subclass is indented under subclass 423. Processes wherein an alkali metal phenolate is reacted with carbon dioxide to produce an aromatic hydroxy acid, as for example, the Kolbe-Schmitt reaction. | |
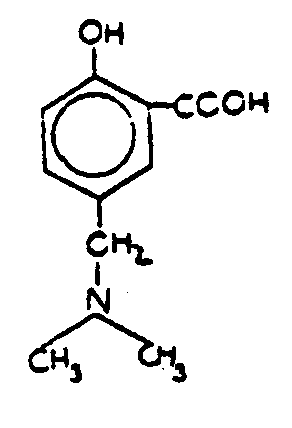
425 | Having plural rings: |
| This subclass is indented under subclass 424. Processes wherein the alkali metal phenolate contains plural rings, as for example, a naphtholate which will produce a hydroxy naphthoic acid under the conditions of reaction. | |
426 | Sulfur: | ||
This subclass is indented under subclass 405. Compounds wherein the aromatic carboxylic acid contains
sulfur, covalently bonded.
| |||
427 | Polycyclo ring system: | ||
This subclass is indented under subclass 426. Compounds wherein the acid contains at least two carbocyclic
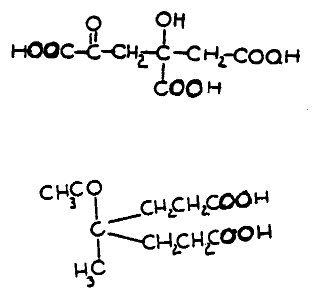
groups which are joined through two orthopositioned carbon atoms
or through a bridge.
| |||
428 | Indenyl or hydrindenyl: | ||
This subclass is indented under subclass 427. Processes which contain the indenyl or hydrindenyl nucleus.
| |||
429 | Sulfoxy: | ||||
This subclass is indented under subclass 426. Compounds which contain sulfur bonded to oxygen and includes
the groups -SO, -SO2 and -SO2X,
where X is halogen.
SEE OR SEARCH THIS CLASS, SUBCLASS:
| |||||
430 | Nitrogen: | ||
This subclass is indented under subclass 429. Compounds wherein the acid also contains nitrogen.
| |||
431 | Carboxyl, or salt thereof, in side chain having sulfur bonded directly to a ring: | ||||||
This subclass is indented under subclass 426. Compounds wherein the carboxyl group is attached to a side
chain which contains sulfur bonded directly to a ring.
| |||||||
432 | Carboxyl, or salt thereof, bonded directly to a ring: | ||
This subclass is indented under subclass 426. Compounds wherein a carboxyl group is attached directly
to a ring.
| |||
433 | Nitrogen bonded directly to carbon of organic radical (e.g., amino acids, etc.): | ||
This subclass is indented under subclass 405. Compounds wherein the acid contains nitrogen bonded directly
to a carbon of an organic radical not provided for above.
| |||
434 | Nitro or nitroso: | ||
This subclass is indented under subclass 433. Compounds wherein the acid contains the nitro group (-NO2)
or the nitroso group (-NO) bonded to carbon.
| |||
435 | Plural rings: | ||
This subclass is indented under subclass 434. Compounds wherein the acid contains more than one carbocyclic
group, at least one of which is aromatic.
| |||
436 | Plural rings bonded directly to the same carbonyl: | ||
This subclass is indented under subclass 435. Compounds wherein the acid contains two carbocyclic nuclei
directly attached to the same carbonyl group.
| |||
437 | Plural nitrogens: | ||
This subclass is indented under subclass 434. Compounds wherein the acid contains an additional nitrogen
covalently bonded.
| |||
438 | Halogen: | ||
This subclass is indented under subclass 434. Compounds wherein the acid contains a halogen covalently
bonded.
| |||
439 | Ureido, guanido, or hydrazine: | ||
This subclass is indented under subclass 433. Compounds wherein the acid contains the ureido group (N-C(=O)
-N), the guanido group (N-C(=N)-N) or the hydrazine group
(N-N).
| |||
440 | Nitrogen double bonded directly to carbon (e.g. amidine, ketimine, etc.): | ||
This subclass is indented under subclass 433. Compounds wherein the acid contains an amidine group (-C(=N)-N)
or the group -C=N- equivalent in structure to those formed
by reacting an aldehyde or a ketone with ammonia or an amine.
| |||
441 | Plural rings bonded directly to the same carbon: | ||
This subclass is indented under subclass 433. Compounds wherein the acid contains two carbocyclic nuclei
directly attached to the same carbon, which may be the carbon of
a methylene or a carbonyl group.
| |||
442 | Nitrogen not bonded directly to a ring: | ||||
This subclass is indented under subclass 433. Compounds wherein the acid contains nitrogen which is not
directly bonded to a carbocyclic nucleus.
| |||||
443 | In same chain as carboxyl, or salt thereof: | ||
This subclass is indented under subclass 442. Compounds wherein the acid contains a nitrogen which is
in or attached to the same side chain that contains a carboxyl group,
but is not attached directly to a carbocyclic nucleus.
| |||
444 | Oxy: | ||
This subclass is indented under subclass 443. Compounds wherein the acid contains the group -OX attached
to a noncarbonylic carbon, where X is a non-carbonyclic C, H, or
an alcoholate forming group not provided for above.
| |||
445 | Phenyl alanines: | ||
This subclass is indented under subclass 444. Compounds wherein the acid contains a phenyl alanine group.
| |||
446 | Di-oxy phenyl alanines: | ||
This subclass is indented under subclass 445. Compounds wherein the acid contains two -OX groups, each
of which is attached directly to the phenyl of the phenyl alanine
group, where X is a noncarbonylic C, H, or an alcoholate forming
group not provided for above.
| |||
447 | Phenoxyphenyl alanines: | ||
This subclass is indented under subclass 445. Compounds wherein the acid contains a phenoxy group attached
to the phenyl of the phenyl alanine.
| |||
448 | Plural nitrogens: | ||
This subclass is indented under subclass 44. Compounds wherein the acid contains more than one covalently
bonded nitrogen.
| |||
449 | Halogen: | ||
This subclass is indented under subclass 433. Compounds wherein the acid contains halogen covalently bonded.
| |||
450 | Amide: | ||
This subclass is indented under subclass 443. Compounds wherein the acid contains the carbonyl residue
of a carboxylic acid attached to a nitrogen to form an amide (-C(O)N).
| |||
451 | Oxy: | ||
This subclass is indented under subclass 442. Compounds wherein the acid contains an -OX group bonded
to a noncarbonylic carbon, where X is a noncarbonylic carbon, H,
or an alcoholate forming group not provided for above.
| |||
452 | Oxy: | ||
This subclass is indented under subclass 433. Compounds wherein the acid contains an -OX group bonded
to a noncarbonylic carbon, where X is a noncarbonylic C, H, or an
alcoholate forming group not provided for above.
| |||
453 | Carboxyl, or salt thereof, nitrogen and oxygen all bonded directly to the same benzene ring: | ||
This subclass is indented under subclass 452. Compounds wherein the acid contains nitrogen, an oxy group,
and a carboxyl group, all attached directly to the same benzene
ring.
| |||
454 | Aryl-N-Aryl: | ||
This subclass is indented under subclass 452. Compounds wherein the acid contains two aromatic nuclei
attached to the same nitrogen.
| |||
455 | Amide: | ||
This subclass is indented under subclass 452. Compounds wherein the acid contains the carbonylic residue
of a carboxylic acid directly attached to a nitrogen, forming an
amide.
| |||
456 | Halogen: | ||
This subclass is indented under subclass 433. Compounds wherein the acid contains covalently bonded halogen.
| |||
457 | Plural rings with nitrogen bonded directly to at least one ring: | ||
This subclass is indented under subclass 433. Compounds wherein the acid contains more than one carbocyclic
group and nitrogen is bonded directly to at least one of them.
| |||
458 | Carboxyl, or salt thereof, bonded directly to a ring: | ||
This subclass is indented under subclass 433. Compounds wherein the acid contains a carboxyl group bonded
directly to a carbocyclic nucleus.
| |||
459 | Aldehyde or ketone: | ||
This subclass is indented under subclass 405. Compounds wherein the acid contains the group -C( O) X bonded
to carbon, where X is C or H, i.e., aldehyde or ketone group containing acids.
| |||
460 | Two rings bonded directly to the same carbonyl: | ||
This subclass is indented under subclass 459. Compounds wherein the acid contains two carbocyclic nuclei
bonded directly to one carbonyl group.
| |||
461 | Polycyclo ring system: | ||
This subclass is indented under subclass 459. Compounds wherein the acid contains two or more carbocyclic
nuclei joined to each other through two orthopositioned carbons
or through a bridge.
| |||
462 | Bicyclo ring system: | ||
This subclass is indented under subclass 461. Compounds wherein the acid contains two carbocyclic nuclei
joined to each other through two orthopositioned carbons or through
a bridge.
| |||
463 | Oxy: | ||
This subclass is indented under subclass 459. Compounds wherein the acid contains an -OX group attached
to a noncarbonylic carbon, where X is noncarbonylic C, H, or an
alcoholate forming group not provided for above.
| |||
464 | Phenoxy alkanoic acids: | ||
This subclass is indented under subclass 463. Compounds wherein the acid contains a carboxyl group on
a side chain containing an oxy group directly bonded to a benzene
ring.
| |||
465 | Oxy: | ||
This subclass is indented under subclass 405. Compounds wherein the acid contains an -OX group attached
to a noncarbonylic carbon, where X is a noncarbonylic C, H, or an
alcoholate forming group not provided for above.
| |||
466 | Polycyclo ring system: | ||
This subclass is indented under subclass 465. Compounds wherein the acid contains two or more carbocyclic
nuclei which are joined to each other through two orthopositioned
carbons or through a bridge.
| |||
467 | Carboxyl bonded directly to naphthylene ring system: | ||
This subclass is indented under subclass 466. Compounds wherein the acid contains a naphthylene nucleus
having a carboxyl group directly bonded to it.
| |||
468 | Plural rings bonded directly to the same carbon: | ||
This subclass is indented under subclass 465. Compounds wherein the acid contains two carbocyclic nuclei
bonded to one methylene group.
| |||
469 | Rings bonded directly to each other: | ||
This subclass is indented under subclass 465. Compounds wherein the acid contains two carbocyclic nuclei
joined to each other by one covalent bond.
| |||
470 | Oxy, not bonded directly to a ring, in same side chain as carboxyl, or salt thereof: | ||||
This subclass is indented under subclass 465. Compounds wherein the acid contains an oxy group, which
is not bonded directly to a carbocyclic group and which is in or
bonded to a side chain which contains a carboxyl group.
| |||||
471 | Oxy, bonded directly to a ring, in same side chain as carboxyl, or salt thereof: | ||
This subclass is indented under subclass 465. Compounds wherein the acid contains an oxy group which is
directly bonded to a carbocyclic nucleus and is in a side chain
which contains a carboxyl group.
| |||
472 | Halogen: | ||
This subclass is indented under subclass 471. Compounds wherein the acid contains covalently bonded halogen.
| |||
473 | Carboxyl, or salt thereof, bonded directly to a ring: | ||
This subclass is indented under subclass 465. Compounds wherein the acid contains a carboxyl group bonded
directly to a carbocyclic nucleus.
| |||
474 | Halogen: | ||
This subclass is indented under subclass 473. Compounds wherein the acid contains covalently bonded halogen.
| |||
475 | Phenolic hydroxy or metallate: | ||
This subclass is indented under subclass 473. Compounds wherein the acid contains an -OX group directly
bonded to a benzene ring, where X is H or a metal not provided for
above.
| |||
476 | Poly phenolic hydroxy or metallate: | ||
This subclass is indented under subclass 475. Compounds wherein the acid contains more than one -OX group
bonded directly to a benzene ring, where X is H or a metal not provided for
above.
| |||
477 | Salicylic acid, per se, or salt thereof: |
| This subclass is indented under subclass 475. The compound, which is salicylic acid or its salts and processes
for its preparation not provided for above.
| |
478 | Phenolic hydroxy or metallate: | ||
This subclass is indented under subclass 465. Compounds wherein the acid contains an -OX group bonded
directly to a benzene ring, where X is an H or a metal not provided
for above.
| |||
479 | Decarboxylation of polycarboxylic acid or salt: |
| This subclass is indented under subclass 405. Processes wherein a carboxyl group of a polycarboxylic acid or an anhydride thereof is destroyed to produce an aromatic carboxylic acid, as for example, the production of benzoic acid from phthalic acid. | |
480 | Polycarboxylic acids or salts thereof: | ||
This subclass is indented under subclass 405. Compounds wherein the acid contains more than one carboxyl
group.
| |||
481 | Prepared by disproportionation: |
| This subclass is indented under subclass 480. Processes wherein the alkali metal salt of an aromatic carboxylic acid is reacted under conditions wherein one molecule is decarboxylated and another molecule carboxylated. For example, in the Henkel Reaction sodium benzoate will produce benzene and phthalic acid. | |
482 | Preparation by isomerization: |
| This subclass is indented under subclass 480. Processes wherein the acid is produced by isomerization, as for example, in the Henkel Rearrangement Reaction wherein phthalic acid is isomerized to terephthalic acid. | |
483 | Preparation by hydrolysis of amide, anhydride, or ester: | ||
This subclass is indented under subclass 480. Processes wherein the acid is produced by hydrolysis of
an amide, an anhydride, or an ester.
| |||
484 | Preparation by hydrolysis of nitrile: |
| This subclass is indented under subclass 480. Processes wherein the acid is produced by hydrolysis of a nitrile. | |
485 | Purification or recovery, per se: | ||||
This subclass is indented under subclass 480. Processes which are directed to the purification, separation,
or recovery of aromatic polycarboxylic acids.
| |||||
486 | By crystallization: |
| This subclass is indented under subclass 485. Processes wherein the purification or recovery involves a significant crystallization step. | |
487 | By reaction of undesired component: | ||
| This subclass is indented under subclass 485. Processes wherein the purification or recovery of the acid
includes the reaction of an undesired component.
SEE OR SEARCH CLASS:
| |||
488 | Plural rings: | ||
This subclass is indented under subclass 480. Compounds wherein the acid cotains more than one carbocyclic
nucleus.
| |||
489 | Carboxyl not directly attached to a ring: | ||
This subclass is indented under subclass 480. Compounds wherein the acid contains a carbocyclic group
which is not directly bonded to a carbocyclic nucleus.
| |||
490 | Naphthyl group: | ||||
This subclass is indented under subclass 405. Compounds wherein the acid contains the naphthyl nucleus
or its partially hydrogenated form and only one carboxyl group.
| |||||
491 | Plural rings bonded directly to the same carbon: | ||
This subclass is indented under subclass 405. Compounds wherein the acid contains two carbocyclic nuclei
bonded to one methylene group and has only one carboxyl group.
| |||
492 | Rings bonded directly to each other: | ||
This subclass is indented under subclass 405. Compounds wherein the acid contains two carbocyclic nuclei
joined to each other by one covalent bond and only one carboxyl
group.
| |||
493 | Monocyclic: | ||
This subclass is indented under subclass 405. Compounds wherein the acid contains only one carbocyclic
nucleus, which is a benzene ring and only one carboxyl group.
| |||
494 | Purification or recovery, per se: |
| This subclass is indented under subclass 493. Processes directed to the purification, separation, or recovery of aromatic monocyclic monocarboxylic acids. | |
495 | Additional unsaturation: | ||
This subclass is indented under subclass 493. Compounds wherein the acid coantains ethylenic or acetylenic
unsaturation.
| |||
496 | Carboxyl, or salt thereof, not bonded directly to the ring: | ||
This subclass is indented under subclass 493. Compounds wherein the acid contains a carboxyl group not
directly bonded to the benzene ring.
| |||
497 | Preparing alicyclic acids by carbonylation: |
| This subclass is indented under subclass 400. Processes wherein an alicyclic carboxylic acid is prepared through formation of a carboxyl group on an alicyclic compound by reaction with carbon monoxide. | |
498 | Plural alicyclic rings: | ||||
This subclass is indented under subclass 400. Compounds wherein the acid contains more than one alicyclic
nucleus.
SEE OR SEARCH CLASS:
| |||||
499 | Tricyclo ring system: | ||||
This subclass is indented under subclass 498. Compounds wherein the acid contains three alicyclic nuclei
joined to each other through two orthopositioned carbons or by a
bridge.
| |||||
500 | Two rings only: | ||
This subclass is indented under subclass 498. Compounds wherein the acid contains only two alicyclic nuclei.
| |||
501 | Orthofused: | ||
This subclass is indented under subclass 500. Compounds wherein the acid contains two alicyclic nuclei
joined to each other through two orthopositioned carbons.
| |||
502 | 2,2,1-Bicyclo: | ||
This subclass is indented under subclass 500. Compounds wherein the acid contains a 2,2,1-bicyclo ring
system.
| |||
503 | Cyclopentyl (e.g., prostoglandins, etc.): | ||
This subclass is indented under subclass 400. Compounds wherein the acid contains a cyclopentyl nucleus,
as for example, prostoglandins.
| |||
504 | Cyclopentyl-(C)x - COOH; x=0-2: | ||
This subclass is indented under subclass 503. Compounds wherein the acid contains a carboxyl group which
is directly bonded to a cyclopentyl nucleus or is attached thereto through
a chain of no more than two carbons.
| |||
505 | Cyclobutyl: | ||
This subclass is indented under subclass 400. Compounds wherein the acid contains a cyclobutyl nucleus.
| |||
506 | Cyclopropyl: | ||
This subclass is indented under subclass 400. Compounds wherein the acid contains a cyclopropyl nucleus.
| |||
507 | Alicyclic acids having an element other than oxygen, carbon, or hydrogen: | ||
This subclass is indented under subclass 400. Compounds wherein the acid contains an alicyclic nucleus
not provided for above and contains a covalently bonded element
other than oxygen, carbon, or hydrogen, as for example, N, S, P,
B or halogen.
| |||
508 | Alicyclic acids having an oxy, aldehyde, or ketone group: | ||
This subclass is indented under subclass 400. Compounds wherein the acid contains an alicyclic nucleus
not provided for above and contains the -OX group attached to a noncarbonylic
carbon, where X is a non-carbonylic C, H, or an alcoholate forming
group not provided for above; or a -C (=O) X group bonded
to carbon, where X is C or H.
| |||
509 | Alicyclic polycarboxylic acids: | ||
This subclass is indented under subclass 400. Compounds wherein the acid contains an alicyclic nucleus
not provided for above and contains more than one carboxyl group.
| |||
510 | Alicyclic acids having unsaturation: | ||
This subclass is indented under subclass 400. Compounds wherein the acid contains an alicyclic nucleus
not provided for above and contains a double or triple bond.
| |||
511 | Naphthenic acids or salts thereof: |
| This subclass is indented under subclass 400. Compounds known as naphthenic acids derived from crude naphthene containing mineral oils and their salts. | |
512 | Acyclic: | ||||||
This subclass is indented under subclass 400. Compounds wherein the acid contains no carbocyclic nucleus.
SEE OR SEARCH CLASS:
| |||||||
512.2 | Preparing by oxidation of hydrocarbon mixtures: |
| This subclass is indented under subclass 512. Processes for producing acyclic carboxylic acids by oxidizing a mixture of hydrocarbons. | |
512.4 | Plural -COO- Groups in Compound Formed: |
| This subclass is indented under subclass 512.2. Processes wherein a compound having two or more -C(=O)O- groups is formed. | |
513 | Preparation from source of undetermined composition (e.g., industrial waste, etc.): | ||
This subclass is indented under subclass 512. Processes for producing acyclic carboxylic acids from sources
of undetermined compositions, e.g., industrial wastes such as distillery slops,
fermentation residues, and waste sulphite liquor. Examples of acids
produced from these sources are acetic, oxalic, and glutamic acids
and their salts.
| |||
514 | Nitrogen containing acid produced: |
| This subclass is indented under subclass 513. Processes wherein the acids produced contain nitrogen. | |
515 | Preparation by degradation of carbohydrates: | ||||||
This subclass is indented under subclass 512. Processes wherein the acids are produced by degradation
of carbohydrates, e.g., paperpulp, sawdust, and sugars. Some of
the acids produced are acetic, tartaric, lactic, and oxalic.
| |||||||
516 | Preparation by hydrolysis of proteins: | ||||||
This subclass is indented under subclass 512. Processes wherein the acids are produced by the degradation
of proteins such as gluten, casein, keratin, and zein.
SEE OR SEARCH CLASS:
| |||||||
517 | Preparation by carbonylation: | ||
This subclass is indented under subclass 512. Processes wherein the acyclic carboxylic acid is produced
through formation of a carboxyl group on an acyclic organic compound
by reaction with carbon monoxide.
| |||
518 | Of aldehyde or ketone: |
| This subclass is indented under subclass 517. Processes wherein the acid is produced by reacting an aldehyde or ketone with carbon monoxide. | |
519 | Of alcohol or alcoholate: |
| This subclass is indented under subclass 517. Processes wherein the acid is produced by reacting an alcohol or alcoholate with carbon monoxide. | |
520 | Of halogenated hydrocarbon: |
| This subclass is indented under subclass 517. Processes wherein the acid is produced by reacting a halogenated hydrocarbon with carbon monoxide. | |
521 | Of hydrocarbon: |
| This subclass is indented under subclass 517. Processes wherein the acid is produced by reacting a hydrocarbon with carbon monoxide. | |
522 | Group VIII Metal Containing Catalyst Utilized: | ||
This subclass is indented under subclass 521. Processes wherein the carbonylation is carried out with
a Group VIII metal catalyst.
| |||
523 | Formation of carboxyl group by oxidation: | ||
This subclass is indented under subclass 512. Processes wherein the carboxyl group of an acyclic acid
is formed by oxidation.
| |||
524 | Of carboxylic acid or ester: |
| This subclass is indented under subclass 523. Processes wherein the acid is produced by oxidizing a carboxylic acid or ester. | |
525 | Of oxy acid or ester: |
| This subclass is indented under subclass 524. Processes wherein the acid is produced by oxidizing an oxy acid or ester. | |
526 | Of nitrogen containing compound: |
| This subclass is indented under subclass 523. Processes wherein the acid is produced by oxidizing a nitrogen containing compound. | |
527 | Of ketone: |
| This subclass is indented under subclass 523. Processes wherein the acid is produced by oxidizing a ketone. | |
528 | Cyclic ketone or mixture thereof with cyclic alcohol: |
| This subclass is indented under subclass 527. Processes wherein the acid is produced by oxidizing a cyclic ketone or a mixture of a cyclic ketone with a cyclic alcohol. | |
529 | Two stage oxidation from hydrocarbon: |
| This subclass is indented under subclass 528. Processes wherein the acid is produced by oxidizing a hydrocarbon in a first state to produce a cyclic ketone or a mixture thereof with a cyclic alcohol, followed by a second stage oxidation of the first stage product to produce acyclic carboxylic acids. | |
530 | With recycle or recovery of reaction component: | ||
This subclass is indented under subclass 528. Processes wherein components of the reaction product are
separated, further treated, or recycled to the reactor or recovered.
| |||
531 | Of aldehyde: |
| This subclass is indented under subclass 523. Processes wherein the acid is produced by oxidizing an aldehyde. | |
532 | Producing unsaturated acid: |
| This subclass is indented under subclass 531. Processes wherein the acid produced is an unsaturated acyclic carboxylic acid. | |
533 | Liquid phase oxidation: |
| This subclass is indented under subclass 532. Processes wherein the unsaturated acyclic carboxylic acid is produced by oxidation of an aldehyde in the liquid phase. | |
534 | Group VIII Metal Containing Catalyst Utilized: |
| This subclass is indented under subclass 532. Processes wherein the unsaturated acid is produced by oxidizing an aldheyde utilizing a Group VIII metal containing catalyst. | |
535 | Group V Metal Containing Catalyst Utilized: | ||
This subclass is indented under subclass 532. Processes wherein the unsaturated acid is produced by oxidizing
an aldehyde utilizing a Group V metal containing catalyst.
| |||
536 | Producing acetic acid: |
| This subclass is indented under subclass 531. Processes wherein the acid produced by oxidizing an aldehyde is acetic acid. | |
537 | Of ether: |
| This subclass is indented under subclass 523. Processes wherein the acid is produced by oxidizing an ether including cyclic ethers. | |
538 | Of alcohol: | ||
This subclass is indented under subclass 523. Processes wherein the acid is produced by oxidizing an alcohol.
| |||
539 | Caustic oxidant: |
| This subclass is indented under subclass 538. Processes wherein the acid is produced by oxidizing an alcohol with caustic, such as sodium or potassium hydroxide. | |
540 | Nitrogen containing oxidant: |
| This subclass is indented under subclass 538. Processes wherein the acid is produced by oxidizing the alcohol with a nitrogen containing oxidant such as nitric acid or the oxides of nitrogen. | |
541 | Of halogenated hydrocarbon: |
| This subclass is indented under subclass 523. Processes wherein the acid is produced by oxidizing a halogenated hydrocarbon. | |
542 | Of hydrocarbon: |
| This subclass is indented under subclass 523. Processes wherein the acid is produced by oxidation of a hydrocarbon. | |
543 | Alicyclic: |
| This subclass is indented under subclass 542. Processes wherein the acid is produced by oxidizing an alicyclic hydrocarbon. | |
544 | Olefin: |
| This subclass is indented under subclass 542. Processes wherein the acid is produced by oxidizing an olefin. | |
545 | Producing unsaturated acid: |
| This subclass is indented under subclass 544. Processes wherein the acid produced by oxidizing an olefin is an unsaturated acyclic carboxylic acid. | |
546 | Group VIII Metal Containing Catalyst Utilized: |
| This subclass is indented under subclass 545. Processes wherein the unsaturated acid is produced by oxidizing an olefin utilizing a Group VIII metal containing catalyst. | |
547 | Group V Metal Containing Catalyst Utilized: |
| This subclass is indented under subclass 545. Processes wherein the unsaturated acid is produced by oxidizing an olefin utilizing a Group V metal containing catalyst. | |
548 | Producing acetic acid: |
| This subclass is indented under subclass 544. Processes wherein the acid produced by oxidizing an olefin is acetic acid. | |
549 | Alkane: |
| This subclass is indented under subclass 542. Processes wherein the acid is produced by oxidizing a saturated acyclic hydrocarbon. | |
550 | Formation of carboxyl group by carbonation: |
| This subclass is indented under subclass 512. Processes wherein an acyclic carboxylic acid is produced by reacting an acyclic compound with carbon dioxide or a material which will produce carbon dioxide under the reaction conditions, such as a carbonate. | |
551 | Of C-Metallated Compound: |
| This subclass is indented under subclass 550. Processes wherein the acid is produced by reacting a compound having a C-Metal bond with carbon dioxide. | |
552 | Of alkali metal salt of carboxylic acid: |
| This subclass is indented under subclass 550. Processes wherein the acide is produced by reacting an alkali metal salt of a carboxylic acid with carbon dioxide. | |
553 | Nitrogen bonded to carbon of organic radical (e.g., amino acids, etc.): | ||||
This subclass is indented under subclass 512. Compounds wherein the acid contains nitrogen bonded to a
carbon of an organic radical.
SEE OR SEARCH CLASS:
| |||||
554 | Purification or recovery, per se: | ||||
This subclass is indented under subclass 553. Processes directed to the purification, separation, or recovery
of nitrogen containing acyclic carboxylic acids.
| |||||
555 | Carbamic acids or salts thereof: | ||
This subclass is indented under subclass 553. Compounds wherein the acid contains nitrogen bonded directly
to the carbon of a carboxyl group.
| |||
556 | Sulfur or selenium: | ||
This subclass is indented under subclass 553. Compounds wherein the acid contains covalently bonded sulfur
or selenium:
| |||
557 | Alpha N, Beta S - Acids or Salts Thereof: | ||
This subclass is indented under subclass 556. Compounds wherein the acid contains nitrogen attached to
the alpha carbon and sulfur attached to the beta carbon relative
to the carboxyl group.
| |||
558 | Penicillamine, per se, or salt thereof: |
| This subclass is indented under subclass 557. The compound which is penicillamine (see figure below) or
its salts and processes for its preparation not provided for above.
| |
559 | Methionine, per se, or salt thereof: |
| This subclass is indented under subclass 556. The compound which is methionine (see figure below) or
its salts and processes for its preparation not provided for above.
| |
560 | Ureido, hydrazino, or nitrogen double bonded directly to carbon: | ||
This subclass is indented under subclass 553. Compounds wherein the acid contains the ureido group (N-C
(=O)- N), the hydrazino group (N - N), or the -C=N-
group, such as the guanido or amidino groups or structures equivalent
to those formed by reacting an aldehyde or a ketone with ammonia
or an amine.
| |||
561 | Plural nitrogens: | ||
This subclass is indented under subclass 553. Compounds wherein the acid contains more than one nitrogen.
| |||
562 | Lysine, per se, or salt thereof: |
| This subclass is indented under subclass 561. The compound which is lysine (see figure below) or its salts
and processes for its preparation not provided for above.
| |
563 | Glutamine, per se, or salt thereof: |
| This subclass is indented under subclass 561. The compound which is glutamine (see figure below) or its
salts and processes for its preparation not provided for above.
| |
564 | Oxy containing: | ||
This subclass is indented under subclass 561. Compounds wherein the acid contains an -OX group bonded
to a noncarbonylic carbon, where X is a noncarbonylic carbon, H,
or an alcoholate forming group not provided for above.
| |||
565 | Polycarboxylic: | ||
This subclass is indented under subclass 561. Compounds wherein the acid contains more than one carboxyl
group.
| |||
566 | Ethylene diamine tetraacetic acid, per se, or salt thereof: |
| This subclass is indented under subclass 565. The compound which is ethylene diamine tetraacetic acid
(figure below) or its salts and processes for its preparation not
provided for above.
| |
567 | Oxy, aldehyde, or ketone: | ||
This subclass is indented under subclass 553. Compounds wherein the acid contains an -OX group bonded
to a noncarbonylic carbon not provided for above; or a -C (=O)
X group bonded to carbon where X is C or H.
| |||
568 | Polycarboxylic: | ||
This subclass is indented under subclass 567. Compounds wherein the acid contains more than one carboxyl
group.
| |||
569 | Panthothenic acid, per se, or salt thereof: |
| This subclass is indented under subclass 567. The compound which is panthothenic acid (see figure below)
or its salts and processes for its preparation not provided for
above.
| |
570 | Threonine, per se, or salt thereof: |
| This subclass is indented under subclass 567. The compound which is threonine (see structure below)
or its salts and processes for its preparation not provided for
above.
| |
571 | Polycarboxylic: | ||
This subclass is indented under subclass 553. Compounds wherein the acid contains more than one carboxyl
group.
| |||
572 | Nitrilotriacetic acid, per se, or salt thereof: |
| This subclass is indented under subclass 571. The compound which is nitrilotriacetic acid (i.e., structure
below) or its salts and processes for its preparation not provided
for above.
| |
573 | Glutamic acid, per se, or salt thereof: |
| This subclass is indented under subclass 571. The compound which is glutamic acid or its salts and processes
for its preparation not provided for above.
| |
574 | Halogen or unsaturation: | ||
This subclass is indented under subclass 553. Compounds wherein the acid contains covalently bonded halogen,
or contains a double or triple bond.
| |||
575 | Alpha nitrogen: | ||
This subclass is indented under subclass 553. Compounds wherein the acid contains nitrogen bonded to the
carbon which is in the position alpha to the carboxyl group.
| |||
576 | Beta alanine, per se, or salts thereof: |
| This subclass is indented under subclass 553. The compound which is beta alanine (see structure below)
or its salts and processes for its preparation not provided for
above.
| |
577 | Aldehyde or ketone: | ||
This subclass is indented under subclass 512. Compounds wherein the acid contains the group -C (=O)
X bonded to carbon, where X is C or H.
| |||
578 | Polycarboxylic: | ||
This subclass is indented under subclass 577. Compounds wherein the acid contains more than one carboxyl
group.
| |||
579 | Oxy: | ||
This subclass is indented under subclass 512. Compounds wherein the acid contains an -OX group attached
to a noncarbonylic carbon and X is a noncarbonylic C, H, or an alcoholate forming
group not provided for above.
| |||
580 | Purification or recovery, per se: | ||||||
This subclass is indented under subclass 579. Processes directed to the purification, separation, or recovery
of an acyclic oxy carboxylic acid.
SEE OR SEARCH CLASS:
| |||||||
581 | Sulfur: | ||
This subclass is indented under subclass 579. Compounds wherein the acid contains covalently bonded sulfur.
| |||
582 | Polycarboxylic: | ||
This subclass is indented under subclass 579. Compounds wherein the acid contains more than one carboxyl
group.
| |||
583 | Ether: | ||
This subclass is indented under subclass 582. Compounds wherein the acid contains the -OX group bonded
to a noncarbonylic carbon, where X is a noncarbonylic carbon.
| |||
584 | Citric acid, per se, or salt thereof: |
| This subclass is indented under subclass 582. The compound which is citric acid (structure below) or
its salts and processes for its preparation not provided for above.
| |
585 | Tartaric acid, per se, of salt thereof: | ||
| This subclass is indented under subclass 582. The compound which is tartaric acid (structrue below) or
its salts and processes for its preparation not provided for above.
SEE OR SEARCH CLASS:
| |||
586 | Halogen: | ||
This subclass is indented under subclass 579. Compounds wherein the acid contains covalently bonded halogen.
| |||
587 | Polyoxy: | ||
This subclass is indented under subclass 579. Compounds wherein the acid contains more than one oxy group.
| |||
588 | Alkoxy: | ||
This subclass is indented under subclass 579. Compounds wherein the -OX group of the acids is bonded to
the carbon of an alkyl group and X is a noncarbonylic carbon.
| |||
589 | Lactic acid, per se, or salt thereof: |
| This subclass is indented under subclass 579. The compound which is lactic acid (structure below) or
its salts and processes for its preparation not provided for above.
| |
590 | Polycarboxylic: | ||||
This subclass is indented under subclass 512. Compounds wherein the acid contains more than one carboxyl
group.
SEE OR SEARCH CLASS:
| |||||
591 | Preparation by isomerization: |
| This subclass is indented under subclass 590. Processes wherein the acid is prepared by isomerization, as for example, the preparation of fumaric acid by isomerizing maleic acid. | |
592 | Preparation by hydrogenation: |
| This subclass is indented under subclass 590. Processes wherein the acid is produced by introduction of hydrogen. | |
593 | Purification or recovery, per se: | ||
This subclass is indented under subclass 590. Processes directed to the purification, separation, or recovery
of acyclic polycarboxylic acids.
| |||
594 | Element Other Than C, H, O, N, or Halogen: | ||
This subclass is indented under subclass 590. Compounds wherein the acid contains an element covalently
bonded other than C, H, O, N, and halogen.
| |||
595 | Unsaturated: | ||
This subclass is indented under subclass 590. Compounds wherein the acid contains a double or triple bond.
| |||
596 | Halogen: | ||
This subclass is indented under subclass 590. Compounds wherein the acid contains covalently bonded halogen.
| |||
597 | Oxalic acid, per se, or salt thereof: |
| This subclass is indented under subclass 590. The compound which is oxalic acid (see structure below)
or its salts and processes for its preparation not provided for
above.
| |
598 | Unsaturated: | ||
This subclass is indented under subclass 512. Compounds wherein the acid contains a double or triple bond.
| |||
599 | Formation of ethylenic unsaturation: |
| This subclass is indented under subclass 598. Processes wherein the acid is prepared by the introduction of a double bond. | |
600 | Purification or recovery, per se: |
| This subclass is indented under subclass 598. Processes directed to the purification, separation, or recovery of acyclic unsaturated carboxylic acids. | |
601 | Sorbic acid, per se, or salt thereof: |
| This subclass is indented under subclass 598. The compound which is sorbic acid (structure below) or
its salts and processes for its preparation not provided for above.
| |
602 | Halogen: | ||||
This subclass is indented under subclass 512. Compounds wherein the acid contains covalently bonded halogen.
SEE OR SEARCH CLASS:
| |||||
603 | Preparation by halogenating acid or anhydride: |
| This subclass is indented under subclass 602. Processes wherein the acid is prepared by introducing halogen into an acyclic carboxylic acid or its anhydride. | |
604 | Preparation by dehalogenation: |
| This subclass is indented under subclass 602. Processes wherein the acid is prepared by reducing the halogen content. | |
605 | Fluorine containing: | ||
This subclass is indented under subclass 602. Compounds wherein the acid contains covalently bonded fluorine.
| |||
606 | Saturated lower fatty acids: | ||||||
This subclass is indented under subclass 512. Compounds wherein the acid contains a saturated, unsubstituted
unbroken chain of not more than 6 carbon atoms attached to a carboxyl
group.
SEE OR SEARCH CLASS:
| |||||||
607 | Acetic acid, per se, salt thereof: | ||
This subclass is indented under subclass 606. The compound which is acetic acid or its salts and processes
for its preparation not provided for above.
| |||
608 | Purification or recovery, per se: | ||||
This subclass is indented under subclass 607. Processes directed to the purification, separation, or recovery
of acetic acid.
| |||||
609 | Formic acid, per se, or salt thereof: | ||
This subclass is indented under subclass 606. The compound which is formic acid or its salts and processes
for its preparation not provided for above.
| |||
620 | Nitrolic acids or salts thereof (i.e., compounds having the group -C(=NOH)-N(=O) (=O), wherein the hydrogen may be replaced by a group IA or IIA light metal, or by substituted or unsubstituted ammonium) | ||
| This subclass is indented under subclass 1. Compounds under Class 532, ... which contain the following
group, wherein the hydrogen may be replaced by a Group IA or IIA
light metal, or by substituted or unsubstituted ammonium:
SEE OR SEARCH CLASS:
| |||
621 | Hydroxamic acids, chalcogen analogs or salts thereof (i.e., compounds having the -C(=X)-N(R)-XH group or the -C(XH)=NXR group, wherein R may be hydrogen or substitution for hydrogen, the X's in each group may be the same or diverse chalcogens, and H of -XH in each group may be replaced by a group IA or IIA light metal, or by substituted or unsubstituted ammonium) | ||
| This subclass is indented under subclass 1. Compounds under Class 532, ... which contain either of
the following acid groups, in each of which the X"s may
be the same or diverse chalcogens (i.e., oxygen, sulfur, selenium
or tellurium), the R"s may be hydrogen or substitution for
hydrogen, and H of -XH may be replaced by a Group IA or IIA light
metal or by substituted or unsubstituted ammonium:
SEE OR SEARCH CLASS:
| |||
622 | Carbocyclic ring bonded directly to the carbon of the acid group | ||
This subclass is indented under subclass 621. Compounds wherein the carbon of the acid group is bonded
directly to a carbocyclic ring.
| |||
623 | Nitrogen attached to the acid group directly or indirectly by acyclic nonionic bonding (e.g., N-hydroxy ureas, dihydroxamic acids, etc.) | ||
This subclass is indented under subclass 621. Compounds wherein the acid group is attached to nitrogen
directly or indirectly by acyclic nonionic bonding.
| |||
624 | Imidic acids, chalcogen analogs or salts thereof (i.e., compounds having the group -N-C(XH)-, wherein X is chalcogen and the hydrogen may be replaced by a group IA or IIA light metal, or by substituted or unsubstituted ammonium) | ||
| This subclass is indented under subclass 1. Compounds under Class 532, ... which contain the following
group, wherein X is chalcogen (i.e., oxygen, sulfur, selenium or
tellurium) and H of -XH may be replaced by a Group IA or IIA light
metal or by substituted or unsubstituted ammonium:
SEE OR SEARCH CLASS:
| |||
625 | Sulfohydroxamic acids, chalcogen analogs or salts thereof (i.e., compounds having the -S(=O)(=O)-N(R)-XH group, wherein R may be hydrogen or substitution for hydrogen, X is chalcogen, and H of -XH may be replaced by a group IA or IIA light metal,or by substituted or unsubstituted ammonium) | ||
| This subclass is indented under subclass 1. Compounds under Class 532, ... which contain the following
group, wherein X is chalcogen (i.e., oxygen, sulfur, selenium or
tellurium), R is hydrogen or substitution for hydrogen, and H of
-XH may be replaced by a Group IA or IIA light metal, or by substituted
or unsubstituted ammonium:
SEE OR SEARCH CLASS:
| |||
800 | Hydroxamic acid halides or chalcogen analogs therof (i.e., compounds having the -C(=X)NH-halo group, wherein X is chalcogen and substitution may be made for hydrogen only) | ||||
This subclass is indented under subclass 1. Compounds under Class 532, ... which contain the -C(=X)-NH-halo
group, wherein X is chalcogen (i.e., oxygen, sulfur, selenium or
tellurium), and substitution may be made for hydrogen only, i.e.,
hydroxamic acid halides or chalcogen analogs thereof.
SEE OR SEARCH CLASS:
| |||||
801 | Additional nitrogen bonded directly to the -C(=X)- group (e.g., urea halides, etc.) | ||
This subclass is indented under subclass 800. Compounds wherein the -C(=X)- group is further
bonded directly to an additional nitrogen.
| |||
802 | Imidic acid halides (i.e., compounds having the -N=CH-halo group, wherein substitution may be made for hydrogen only) | ||||
This subclass is indented under subclass 1. Compounds under Class 532, ... which contain the -N=CH-halo
group, wherein substitution may be made for hydrogen only, i.e.,
imidic acid halides.
SEE OR SEARCH CLASS:
| |||||
803 | Additional halogen bonded directly to the carbon of the imidic halide group (i.e., -N=(halo)C(halo) | ||||
This subclass is indented under subclass 802. Compounds wherein an additional halogen is bonded directly
to the carbon of the imidic acid halide group, i.e., -N=C-(halo)2.
| |||||
804 | Chalcogen attached directly to the nitrogen of the imidic halide group by nonionic bonding (i.e., -X-N=CH-halo, wherein X is chalcogen) | ||
This subclass is indented under subclass 802. Compounds wherein chalcogen (i.e., oxygen, sulfur, selenium
or tellurium) is attached directly to the nitrogen of the imidic
acid halide group by nonionic bonding (i.e., -X-N=CH-halo
wherein substitution may be made for hydrogen only).
| |||
805 | Nitrogen attached directly to the nitrogen of the imidic halide group by nonionic bonding (i.e., HNH-N=CH-halo, wherein subsitution may be made for hydrogen only) |
| This subclass is indented under subclass 802. Compounds having the following formula, wherein substitution
may be made for hydrogen only:
| |
806 | Boron halides (i.e., compounds having halogen attached directly to boron by nonionic bonding | ||||
This subclass is indented under subclass 1. Compounds under Class 532, ... wherein halogen is bonded
directly to boron by nonionic bonding; i.e., boron halides.
SEE OR SEARCH CLASS:
| |||||
807 | Phosphorus attached directly or indirectly to the boron by nonionic bonding | ||
This subclass is indented under subclass 806. Compounds in which phosphorus is attached directly or indirectly
to the boron by nonionic bonding.
| |||
808 | Phosphorus halides (i.e., compounds having halogen attached directly to phosphorus by nonionic bonding) | ||||
This subclass is indented under subclass 1. Compounds under Class 532, ... wherein halogen is bonded
directly to phosphorus by nonionic bonding, i.e., phosphorus halides.
SEE OR SEARCH CLASS:
| |||||
809 | Nitrogen bonded directly to the phosphorus | ||
This subclass is indented under subclass 808. Compounds in which nitrogen is bonded directly to the phosphorus.
| |||
810 | The phosphorus and the nitrogen are in the same ring | ||
This subclass is indented under subclass 809. Compounds wherein both the phosphorus and the nitrogen are
members of the same ring.
| |||
811 | Additional phosphorus attached directly or indirectly to the phosphorus by nonionic bonding | ||
This subclass is indented under subclass 808. Compounds containing plural phosphorus atoms attached directly
or indirectly to each other by nonionic bonding.
| |||
812 | The phosphorus is in a ring | ||
This subclass is indented under subclass 808. Compounds wherein the phosphorus is a member of a ring.
| |||
813 | Sulfur bonded directly to the phosphorus | ||
This subclass is indented under subclass 808. Compounds in which sulfur is bonded directly to the phosphorus.
| |||
814 | Preparing utilizing an inorganic compound containing phosphorus and sulfur |
| This subclass is indented under subclass 813. Processes which utilize an inorganic compound which contains phosphorus and sulfur in the preparation. | |
815 | Forming phosphorus to carbon bond |
| This subclass is indented under subclass 813. Processes whereby a phosphorus to carbon bond is formed. | |
816 | Oxygen bonded directly to the phosphorus | ||
This subclass is indented under subclass 808. Compounds in which oxygen is bonded directly to the phosphorus.
| |||
817 | Halogen attached indirectly to the phosphorus by acyclic nonionic bonding | ||
This subclass is indented under subclass 816. Compounds wherein halogen is attached indirectly to the
phosphorus by acyclic nonionic bonding.
| |||
818 | Forming phosphorus to halogen bond |
| This subclass is indented under subclass 816. Processes whereby the phosphorus to halogen bond is formed. | |
819 | Forming phosphorus to carbon bond |
| This subclass is indented under subclass 816. Processes whereby a phosphorus to carbon bond is formed. | |
820 | Forming phosphorus to carbon bond |
| This subclass is indented under subclass 808. Processes whereby a phosphorus to carbon bond is formed. | |
821 | Sulfur halides (i.e., compounds having halogen attached directly to sulfur by nonionic bonding) | ||||
This subclass is indented under subclass 1. Compounds under Class 532, ... wherein halogen is bonded
directly to sulfur by nonionic bonding: i.e., sulfur halides.
SEE OR SEARCH CLASS:
| |||||
822 | Nitrogen bonded directly to the sulfur | ||
This subclass is indented under subclass 821. Compounds in which nitrogen is bonded directly to the sulfur.
| |||
823 | Phosphorus, -C(=X)-, wherein X is chalcogen, additional chalcogen attached directly to the nitrogen by nonionic bonding | ||
This subclass is indented under subclass 822. Compounds in which phosphorus, a -C(=X)- group,
wherein X is chalcogen (i.e., oxygen, sulfur, selenium or tellurium)
or an additional chalcogen is attached directly to the nitrogen by
nonionic bonding.
| |||
824 | The halogen is fluorine | ||
This subclass is indented under subclass 821. Compounds wherein the halogen is fluorine; i.e., sulfur
fluorides.
| |||
825 | Chalcogen double bonded directly to the sulfur (e.g., sulfonyl fluorides, etc.) | ||
This subclass is indented under subclass 824. Compounds wherein chalcogen (i.e., oxygen, sulfur, selenium
or tellurium) is double bonded directly to the sulfur.
| |||
826 | Benzene attached directly or indirectly to the sulfur by nonionic bonding | ||
This subclass is indented under subclass 825. Compounds in which a benzene ring is attached directly or
indirectly to the sulfur by nonionic bonding.
| |||
827 | Chalcogen double bonded directly to the sulfur (e.g., sulfinyl halides, etc.) | ||
This subclass is indented under subclass 821. Compounds in which chalcogen (i.e., oxygen, sulfur, selenium
or tellurium) is double bonded directly to the sulfur (e.g., sulfinyl
halides, etc.).
| |||
828 | Plural chalcogens double bonded directly to the sulfur (e.g., sulfonyl halides, etc.) | ||
This subclass is indented under subclass 827. Compounds wherein plural chalcogens are double bonded directly
to the sulfur (e.g., sulfonyl halides, etc.).
| |||
829 | Processes for forming the sulfonyl halide group utilizing elemental halogen |
| This subclass is indented under subclass 828. Processes in which elemental halogen is utilized. | |
830 | Preparing utilizing thionyl halide or carbonyl dihalide (e.g., phosgene, etc.) |
| This subclass is indented under subclass 828. Processes in which thionyl halide; i.e., halo-S(=O)-halo or a carbonyl dihalide; i.e., halo-C(=O)-halo is utilized. | |
831 | Plural sulfonyl halide groups attached indirectly to each other by nonionic bonding | ||
This subclass is indented under subclass 828. Compounds wherein at least two -S(=O)(=O)-halo
groups are attached indirectly to each other by nonionic bonding.
| |||
832 | Nitrogen, other than as nitro or nitroso, attached indirectly to the sulfur by nonionic bonding | ||
This subclass is indented under subclass 828. Compounds in which nitrogen, other than in a nitro or nitroso
group, is attached indirectly to the sulfur by nonionic bonding.
| |||
833 | Chalcogen attached indirectly to the sulfur by nonionic bonding | ||
This subclass is indented under subclass 828. Compounds in which chalcogen (i.e., oxygen, sulfur, selenium
or tellurium) or nitrogen is attached indirectly to the sulfur by
nonionic bonding.
| |||
834 | Halogen attached indirectly to the sulfur by nonionic bonding | ||
This subclass is indented under subclass 828. Compounds in which halogen is attached indirectly to the
sulfur by nonionic bonding.
| |||
835 | Chalcogen or nitrogen attached indirectly to the sulfur by nonionic bonding | ||
This subclass is indented under subclass 821. Compounds in which chalcogen (i.e., oxygen, sulfur, selenium
or tellurium) or nitrogen is attached indirectly to the sulfur by
nonionic bonding.
| |||
836 | Perchloro methyl mercaptan per se (i.e., trichloromethane sulfenyl chloride) |
| This subclass is indented under subclass 821. The compound which has the following structure:
| |
837 | Compounds having the -(O=)S(=O)-NH-halo group (i.e., N-halo sulfonamides, wherein substitution may be made for hydrogen only) | ||
| This subclass is indented under subclass 1. Compounds under Class 532, ... which contain the following
group, in which substitution may be made for hydrogen only:
SEE OR SEARCH CLASS:
| |||
838 | Thiocarboxylic halides (i.e., compounds having the -C(=S)-halo group) | ||||
This subclass is indented under subclass 1. Compounds under Class 532, ... which contain the -C(=S)-halo
group, i.e., thiocarboxylic acid halides.
SEE OR SEARCH CLASS:
| |||||
839 | Additional halogen bonded directly to the -C(=S)- group (e.g., thiophosgene, etc.) | ||
This subclass is indented under subclass 838. Compounds wherein plural halogens are bonded directly to
the thiocarbonyl group (e.g., thiophosgene, etc.).
| |||
840 | Carboxylic halides (i.e., compounds having the -C(=O)-halo group) | ||||
This subclass is indented under subclass 1. Compounds under Class 532, ... which contain the -C(=O)-halo
group; i.e., carboxylic acid halide.
SEE OR SEARCH CLASS:
| |||||
841 | With preservative or stabilizer |
| This subclass is indented under subclass 840. Products wherein the carboxylic acid halide containing compound is mixed with a preserving or stabilizing agent whose sole function is to prevent physical or chemical change. | |
842 | Boron or phosphorus attached directly or indirectly to the carbonyl group by nonionic bonding |
| This subclass is indented under subclass 840. Compounds wherein boron or phosphorus is attached directly or indirectly to the carbonyl group by nonionic bonding. | |
843 | Carbonyl bonded directly to the carbonyl group (e.g., oxalyl chlorides, etc.) | ||
| This subclass is indented under subclass 840. Compounds wherein an additional carbonyl group is bonded
directly to the carbonyl of the carboxylic acid halide; i.e.,
| |||
844 | Nitrogen bonded directly to the carbonyl group (e.g., carbamyl chlorides, etc.) | ||
| This subclass is indented under subclass 840. Compounds in which nitrogen is bonded directly to the carbonyl
of the carboxylic acid halide; i.e., carbamyl halides of the following formula,
wherein substitution may be made for hydrogen only:
| |||
845 | Chalcogen or additional carbonyl bonded directly to the nitrogen | ||
This subclass is indented under subclass 844. Compounds wherein chalcogen, X, (i.e., oxygen, sulfur, selenium
or tellurium) or an additional carbonyl group is bonded directly
to the nitrogen of the carbamyl halide; i.e., groups of the following
formulas, wherein substitution may be made for hydrogen only:
| |||
846 | Processes utilizing phosgene as a reactant |
| This subclass is indented under subclass 844. Processes wherein phosgene, i.e., the compound of the following
formula, is used as a reactant:
| |
847 | Phosgene, per se |
| This subclass is indented under subclass 840. The compound which has the following structure:
| |
848 | Processes utilizing carbon monoxide as a reactant |
| This subclass is indented under subclass 840. Processes whereby carbon monoxide is utilized as a reactant, i.e., carbonylation reactions. | |
849 | Fluorine is the halogen (i.e., carboxylic fluorides) | ||
This subclass is indented under subclass 840. Compounds in which the halogen is fluorine; i.e., -C(=O)-F.
| |||
850 | Plural -C(=O)-F groups attached indirectly to each other by nonionic bonding | ||
This subclass is indented under subclass 849. Compounds wherein plural -C(=O)-F groups are attached
indirectly to each other by nonionic bonding.
| |||
851 | Processes for forming the carbonyl group |
| This subclass is indented under subclass 849. Processes whereby the carbonyl group, -C(=O)-, is formed. | |
852 | Processes for forming the carbonyl to fluoride bond |
| This subclass is indented under subclass 849. Processes whereby the bond between the carbonyl group and the fluorine is formed. | |
853 | Plural -C(=O)-halo groups attached indirectly to each other by nonionic bonding | ||
This subclass is indented under subclass 840. Compounds wherein at least two -C(=O)-halo groups
are attached indirectly to each other by nonionic bonding.
| |||
854 | Preparing utilizing phosgene |
| This subclass is indented under subclass 853. Processes which utilize phosgene in the preparation. | |
855 | Plural -C(=O)-halo groups bonded directly to the same benzene ring | ||
This subclass is indented under subclass 853. Compounds wherein at least two carbonyl groups are bonded
directly to the same benzene ring.
| |||
856 | Processes |
| This subclass is indented under subclass 840. Processes for the preparation of the carboxylic halide containing compounds or for the treatment of such compounds. | |
857 | Phosgene reactant |
| This subclass is indented under subclass 856. Processes wherein phosgene is utilized as a reactant. | |
858 | Ketene reactant | ||
This subclass is indented under subclass 856. Processes wherein a ketene reactant is utilized.
| |||
859 | Forming the carbonyl group |
| This subclass is indented under subclass 856. Processes whereby the -C(=O)- group is formed. | |
860 | By oxidizing a halogenated olefin |
| This subclass is indented under subclass 859. Processes wherein the carbonyl group is formed by the oxidation of a halogenated olefin. | |
861 | Forming the carbonyl to halide bond |
| This subclass is indented under subclass 856. Processes whereby the carbonyl to halogen bond is formed. | |
862 | Reactant having halogen bonded directly to sulfur by nonionic bonding |
| This subclass is indented under subclass 861. Processes wherein a reactant is utilized which has halogen bonded directly to sulfur by nonionic bonding. | |
863 | Elemental halogen or hydrogen halide utilized |
| This subclass is indented under subclass 861. Processes in which elemental halogen or hydrogen halide is utilized as a reactant. | |
864 | Halogenation |
| This subclass is indented under subclass 856. Processes whereby halogen is added to a compound. | |
865 | Dehalogenation or dehydrohalogenation |
| This subclass is indented under subclass 856. Processes whereby halogen, or hydrogen and halogen, are removed from a compound. | |
866 | Purification or recovery |
| This subclass is indented under subclass 856. Processes wherein the carboxylic acid halide is separated from impurities or from the reaction medium. | |
867 | Alicyclic ring containing | ||
This subclass is indented under subclass 840. Compounds which contain an alicyclic ring.
| |||
868 | Nitrogen attached indirectly to the carbonyl group by nonionic bonding | ||
This subclass is indented under subclass 840. Compounds wherein nitrogen is attached indirectly to the
carbonyl group by nonionic bonding.
| |||
869 | Containing -C(=X)-CN, wherein X is chalcogen (e.g., carbonyl cyanides, etc.) | ||
| This subclass is indented under subclass 1. Compounds under Class 532, ... which contain the following
group, wherein X is chalcogen (i.e., oxygen, sulfur, selenium or
tellurium):
SEE OR SEARCH CLASS:
| |||
870 | Sulfonyl isocyanates or sulfonyl isothiocyanates, (i.e., compounds having the -S(=O)(=O)-N=C=X group, wherein X is oxygen or sulfur) | ||
| This subclass is indented under subclass 1. Compounds under Class 532, ... which contain the following
group, wherein X is oxygen or sulfur:
SEE OR SEARCH CLASS:
| |||
871 | Containing -C(=X)-N=C=X or -C(=X)-X-N=N-X-, wherein the X's may be the same or diverse chalcogens | ||
| This subclass is indented under subclass 1. Compounds under Class 532, ... which contain either of
the following two groups, wherein the X"s are the same
or diverse chalcogens (i.e., oxygen, sulfur, selenium or tellurium):
SEE OR SEARCH CLASS:
| |||
872 | Sulfonic anhydrides (i.e., compounds having the -S(=O)(=O)-O-S(=O)(O=) group | ||
| This subclass is indented under subclass 1. Compounds under Class 532, ... which contain the following
group:
SEE OR SEARCH CLASS:
| |||
873 | Containing -S(=O)(=O)-CN or -S(=O)(=O)-N=S=O | ||
| This subclass is indented under subclass 1. Compounds under Class 532, ... which contain either of
the following two groups:
SEE OR SEARCH CLASS:
| |||
874 | Containing -C(=X)-NH-X-C(=X)- or -C(=X)-NH-X-S(=O)(=O)-, wherein substitution may be made for hydrogen only, and the X's may be the same or diverse chalcogens | ||
| This subclass is indented under subclass 1. Compounds under Class 532 ... which contain either of the
two following groups, wherein substitution may be made for hydrogen
only, and the X"s may be the same or diverse chalcogens
(i.e., oxygen, sulfur, selenium or tellurium):
SEE OR SEARCH CLASS:
| |||
875 | Containing -C(=NH)-X-C(=X)-, wherein substitution may be made for hydrogen only, and the X's may be the same or diverse chalcogens | ||
| This subclass is indented under subclass 1. Compounds under Class 532, ... which contain the following
group, wherein substitution may be made for hydrogen only, and the
X"s may be the same or diverse chalcogens (i.e., oxygen, sulfur,
selenium or tellurium):
SEE OR SEARCH CLASS:
| |||
876 | Phosphorus bonded directly to the single bonded X of a -C(=X)-X-group, wherein the X's may be the same or diverse chalcogens | ||||
This subclass is indented under subclass 1. Compounds under Class 532, ... in which the single bonded
X of a -C(=X)X- group is bonded directly to phosphorus
and the X"s may be the same or diverse chalcogens (i.e.,
oxygen, sulfur, selenium or tellurium).
SEE OR SEARCH CLASS:
| |||||
877 | Phosphorus bonded directly to cyano or to -N=C=X, wherein X is chalcogen | ||||
This subclass is indented under subclass 1. Compounds under Class 532, ... in which cyano or an -N=C=X
group is bonded directly to phosphorus, and X is chalcogen (i.e.,
oxygen, sulfur, selenium or tellurium).
SEE OR SEARCH CLASS:
| |||||
878 | Two phosphori bonded directly to the same divalent chalcogen atom (e.g., pyrophosphorus compounds, etc.) | ||||
This subclass is indented under subclass 1. Compounds under Class 532, ... wherein a divalent chalcogen
atom (i.e., oxygen, sulfur, selenium or tellurium) is bonded directly
to two phosphorus atoms.
SEE OR SEARCH CLASS:
| |||||
879 | Containing -C(=X)-X-N(=O) or -C(=X)-X-S(=O)(=O)-, wherein the X's may be the same or diverse chalcogens | ||
| This subclass is indented under subclass 1. Compounds under Class 532, ... which contain either of
the two following groups, in each of which the X"s may
be the same or diverse chalcogens (i.e., oxygen, sulfur, selenium
or tellurium):
SEE OR SEARCH CLASS:
| |||
880 | Containing -C(=X)-NH-X-NH-C(=X)- or -C(=X)-X-NH-S(=O)(=O)-, wherein substitution may be made for hydrogen only, and the X's may be the same or diverse chalcogens | ||
| This subclass is indented under subclass 1. Compounds under Class 532, ... which contain either of
the two following groups, in each of which substitution may be made
only for hydrogen and the X"s may be the same or diverse
chalcogens (i.e., oxygen, sulfur, selenium or tellurium):
SEE OR SEARCH CLASS:
| |||
881 | Containing -C(=X)-NH-X-halo, wherein substitution may be made for hydrogen only, and the X's may be the same or diverse chalcogens | ||
| This subclass is indented under subclass 1. Compounds under Class 532, ... which contain the following
group, in which substitution may be made for hydrogen only, the
X"s may be the same or diverse chalcogens (i.e., oxygen,
sulfur, selenium or tellurium), and halo is halogen:
SEE OR SEARCH CLASS:
| |||
882 | Boron bonded directly to the single bonded X of a -C(=X)-X- group, wherein the X's may be the same or diverse chalcogens | ||||
This subclass is indented under subclass 1. Compounds under Class 532, ... wherein the single bonded
X of a -C(=X)X- group is bonded directly to boron, and
the X"s may be the same or diverse chalcogens (i.e., oxygen, sulfur,
selenium or tellurium).
SEE OR SEARCH CLASS:
| |||||
883 | Two borons bonded directly to the same divalent chalcogen atom (e.g., boroxoles, etc.) | ||||
This subclass is indented under subclass 1. Compounds under Class 532, ... wherein a divalent chalcogen
atom (i.e., oxygen, sulfur, selenium or tellurium) is bonded directly
to two borons.
SEE OR SEARCH CLASS:
| |||||
884 | Boron bonded directly to the single bonded oxygen of a -S(=O)(=O)-O- group | ||||
This subclass is indented under subclass 1. Compounds under Class 532, ... wherein the single bonded
oxygen of a -S(=O)(=O)-O- group is bonded directly
to boron.
SEE OR SEARCH CLASS:
| |||||
885 | Compounds having the -S-SCN group bonded directly to carbon, which carbon may be single bonded to any atom but may be multiple bonded only to carbon | ||||
This subclass is indented under subclass 1. Compounds under Class 532, ... wherein carbon, which may
be multiple bonded only to another carbon, is bonded directly to
a -S-SCN group.
SEE OR SEARCH CLASS:
| |||||
886 | Thiocarboxylic acid anhydrides (i.e., compounds having the -C(=X)-X C(=X)- group, wherein the X's may be the same or diverse chalcogens and at least one X is sulfur) | ||
| This subclass is indented under subclass 1. Compounds under Class 532, ... which contain the following
group, in which the X"s are the same or diverse chalcogens
(i.e., oxygen, sulfur, selenium or tellurium) and at least one X
is sulfur:
SEE OR SEARCH CLASS:
| |||
887 | Carboxylic acid anhydrides (i.e., compounds having the -C(=O)-O-C(=O)- group) | ||
| This subclass is indented under subclass 1. Compounds under Class 532, ... which contain the carboxylic
acid anhydride group:
SEE OR SEARCH CLASS:
| |||
888 | Processes of forming the -C(=O)-O-C(=O)- group |
| This subclass is indented under subclass 887. Processes wherein the carboxylic acid anhydride group is formed. | |
889 | Aldehyde reactant |
| This subclass is indented under subclass 888. Processes wherein an aldehyde reactant is used. | |
890 | Carbon monoxide or metal carbonyl reactant |
| This subclass is indented under subclass 888. Processes wherein carbon monoxide or a metal carbonyl is used as a reactant. | |
891 | Ether or carboxylic acid ester reactant |
| This subclass is indented under subclass 890. Processes wherein an ether or a carboxylic acid ester is used as a reactant. | |
892 | Ketone or ketene reactant | ||
This subclass is indented under subclass 888. Processes wherein a ketene or a ketone is used as a reactant.
| |||
893 | Ether or carboxylic acid ester reactant |
| This subclass is indented under subclass 888. Processes wherein an ether or a carboxylic acid ester is used as a reactant. | |
894 | Carboxylic acid salt reactant |
| This subclass is indented under subclass 888. Processes wherein a salt of a carboxylic acid is used as a reactant. | |
895 | Dehydration of two like or different molecules of carboxylic acid | ||
This subclass is indented under subclass 888. Processes which involve the dehydration of two like or different
molecules of carboxylic acid.
| |||
896 | Vapor phase |
| This subclass is indented under subclass 895. Processes wherein the dehydration is conducted in vapor phase. | |
897 | Carboxylic acid halide reactant |
| This subclass is indented under subclass 888. Processes wherein a carboxylic acid halide is used as a reactant. | |
898 | Purification or recovery |
| This subclass is indented under subclass 887. Processes wherein the carboxylic acid anhydride is separated from impurities or from the reaction mixture. | |
899 | Selenium or tellurium containing | ||||
This subclass is indented under subclass 1. Compounds under Class 532, ... which contain selenium or
tellurium.
SEE OR SEARCH CLASS:
| |||||
![[Search a list of Patent Appplications for class 562]](../as.gif)
![[List of Patents for class 562 subclass 1]](../ps.gif)

































































































































































































































































































































