CLASS 556, | ORGANIC COMPOUNDS -- PART OF THE CLASS 532 - 570 SERIES |
| Click here for a printable version of this file | |
SUBCLASSES
1 | HEAVY METAL CONTAINING (e.g., Ga, In or T1, etc.) | ||||
This subclass is indented under subclass 1. Compounds under Class 532, ... , which contain a heavy
metal, i.e., a metal having a specific gravity greater than four.
SEE OR SEARCH CLASS:
| |||||
2 | With preservative or stabilizer |
| This subclass is indented under subclass 1. Products wherein the heavy metal containing compound is mixed with a preserving or stabilizing agent whose sole function is to prevent physical or chemical change. | |
3 | Compound preserved or stabilized contains lead bonded directly to carbon | ||
This subclass is indented under subclass 2. Products wherein the compound that is preserved or stabilized
contains lead bonded directly to carbon.
| |||
4 | Halogen containing preservative or stabilizer |
| This subclass is indented under subclass 3. Products wherein the preserving or stabilizing agent contains halogen. | |
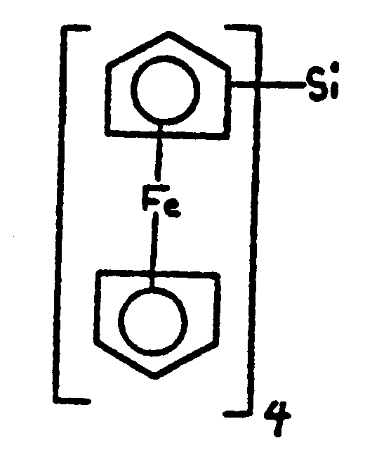
5 | Chalcogen containing preservative or stabilizer |
| This subclass is indented under subclass 3. Products wherein the preserving or stabilizing agent contains chalcogen (i.e., oxygen, sulfur, selenium or tellurium). | |
6 | Nitrogen containing preservative or stabilizer |
| This subclass is indented under subclass 2. Products wherein the preserving or stabilizing agent contains nitrogen. | |
7 | Boron containing |
| This subclass is indented under subclass 1. Compounds which contain boron. | |
8 | Hydrogen bonded directly to the boron |
| This subclass is indented under subclass 7. Compounds wherein the boron is bonded directly to hydrogen. | |
9 | Silicon containing |
| This subclass is indented under subclass 1. Compounds which contain silicon. | |
10 | Silicon and heavy metal bonded directly to the same chalcogen | ||
This subclass is indented under subclass 9. Compounds wherein silicon and the heavy metal are bonded
directly to the same chalcogen (i.e., oxygen, sulfur, selenium,
or tellurium).
| |||
11 | Heavy metal bonded directly to unsaturated five-membered carbocyclic ring | ||
This subclass is indented under subclass 10. Compounds wherein an unsaturated five-membered carbocyclic
ring is bonded directly to the heavy metal.
| |||
12 | At least three carbons bonded directly to silicon |
| This subclass is indented under subclass 9. Compounds where at least three carbons are bonded directly to the silicon. | |
13 | Phosphorus containing |
| This subclass is indented under subclass 1. Compounds which contain phosphorus. | |
14 | Additional diverse heavy metal or aluminum containing | ||
This subclass is indented under subclass 13. Compounds which contain an additional diverse heavy metal
or aluminum.
| |||
15 | The heavy metal is bonded directly to the carbon of a -C(=X)- group, wherein X is chalcogen (e.g., cyclopentadienyl manganese dicarbonyl triphenyl phosphine, etc.) | ||
This subclass is indented under subclass 13. Compounds in which the heavy metal is bonded directly to
the carbon of a -C(=X)- group, wherein X is chalcogen (i.e.,
oxygen, sulfur, selenium, or tellurium).
| |||
16 | Iron, cobalt, nickel, ruthenium, rhodium, palladium, osmium, iridium, or platinum containing (Fe, Co, Ni, Ru, Rh, Pd, Os, Ir or Pt) |
| This subclass is indented under subclass 15. Compounds in which the heavy metal is iron, cobalt, nickel, ruthenium, rhodium, palladium, osmium, iridium, or platinum. | |
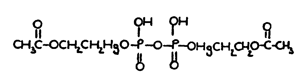
17 | Plural phosphori bonded directly to the same nitrogen or chalcogen (e.g., pyrophosphates, etc.) | ||
This subclass is indented under subclass 13. Compounds wherein at least two phosphori are bonded directly
to the same nitrogen or chalcogen (i.e., oxygen, sulfur, selenium,
or tellurium).
| |||
18 | Plural phosphori bonded directly to the same carbon or attached to each other by an acyclic chain which chain consists of carbons or of carbons and chalcogens | ||
This subclass is indented under subclass 13. Compounds wherein at least two phosphori are bonded directly
to the same carbon or attached to each other by an acyclic chain
which consists of carbons or of carbons and chalcogens (i.e., oxygen,
sulfur, selenium, or tellurium).
| |||
19 | Carbon bonded directly to the phosphorus |
| This subclass is indented under subclass 13. Compounds wherein carbon is bonded directly to the phosphorus. | |
20 | Plural carbons bonded directly to the phosphorus |
| This subclass is indented under subclass 19. Compounds wherein at least two carbons are bonded directly to the phosphorus. | |
21 | Exactly three carbons bonded directly to the phosphorus (e.g., triphenylphosphines, etc.) | ||
This subclass is indented under subclass 20. Compounds wherein exactly three carbons are bonded directly
to the phosphorus.
| |||
22 | And carbon bonded directly to the heavy metal |
| This subclass is indented under subclass 21. Compounds wherein carbon is bonded directly to the heavy metal. | |
23 | Hydrogen or halogen bonded directly to the heavy metal |
| This subclass is indented under subclass 21. Compounds wherein hydrogen or halogen is bonded directly to the heavy metal. | |
24 | Exactly four chalcogens bonded directly to the phosphorus (e.g., phosphates, orthophosphates, etc.) | ||
This subclass is indented under subclass 13. Compounds wherein exactly four chalcogens (i.e., oxygen,
sulfur, selenium or tellurium) are bonded directly to the phosphorus.
| |||
25 | At least two of the chalcogens are sulfur (e.g., zinc dihydrocarbyl dithiophosphates, etc.) | ||
This subclass is indented under subclass 24. Compounds wherein at least two of the chalcogens are sulfur.
| |||
26 | Nitrogen or -C(=X)- containing, wherein X is chalcogen |
| This subclass is indented under subclass 24. Compounds which contain nitrogen or a -C(=X)- group, wherein X is chalcogen. | |
27 | Aluminum containing |
| This subclass is indented under subclass 1. Compounds which contain aluminum. | |
28 | Plural diverse heavy metals containing | ||
This subclass is indented under subclass 1. Compounds which contain at least two diverse heavy metals.
| |||
29 | Heavy metal double bonded directly to heavy metal | ||
This subclass is indented under subclass 28. Compounds wherein the heavy metal is double bonded directly
to heavy metal.
| |||
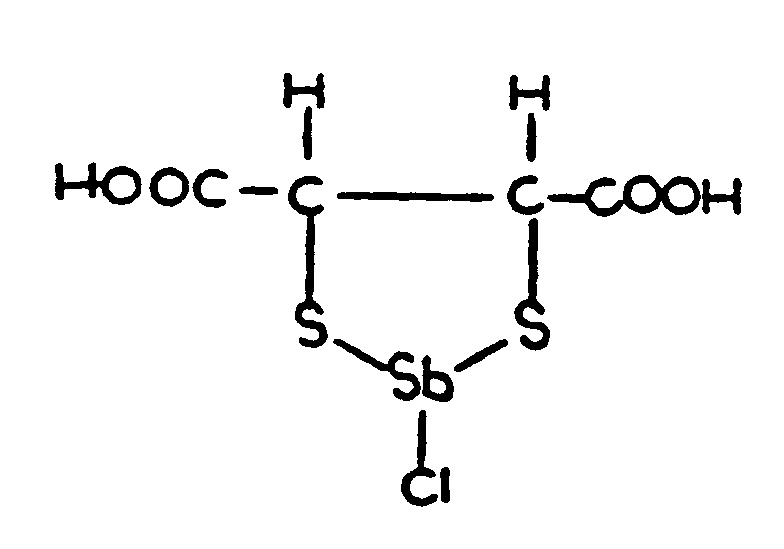
30 | Arsenic, antimony, or bismuth containing (As, Sb, or Bi) | ||
This subclass is indented under subclass 28. Compounds which contain arsenic, antimony or bismuth.
| |||
31 | Containing -C(=X)-, wherein X is chalcogen (e.g., carbonyl containing, etc.) |
| This subclass is indented under subclass 28. Compounds which contain a -C(=X)- group, wherein X is chalcogen (i.e., oxygen, sulfur, selenium or tellurium). | |
32 | Nitrogen double bonded directly to carbon |
| This subclass is indented under subclass 1. Compounds which contain carbon double bonded directly to nitrogen. | |
33 | Carbocyclic ring bonded directly to the nitrogen (e.g., azomethines, etc.) | ||
This subclass is indented under subclass 32. Compounds wherein a carbocyclic ring is bonded directly
to the nitrogen.
| |||
34 | Additonal carbon double bonded to nitrogen (e.g., bisazomethines, etc.) | ||
This subclass is indented under subclass 33. Compounds which contain plural groups having carbon double
bonded directly to nitrogen.
| |||
35 | Additional nitrogen bonded directly to the carbon or nitrogen |
| This subclass is indented under subclass 32. Compounds wherein an additional nitrogen is bonded directly to the carbon or nitrogen is single bonded directly to the nitrogen. | |
36 | Guanidines | ||
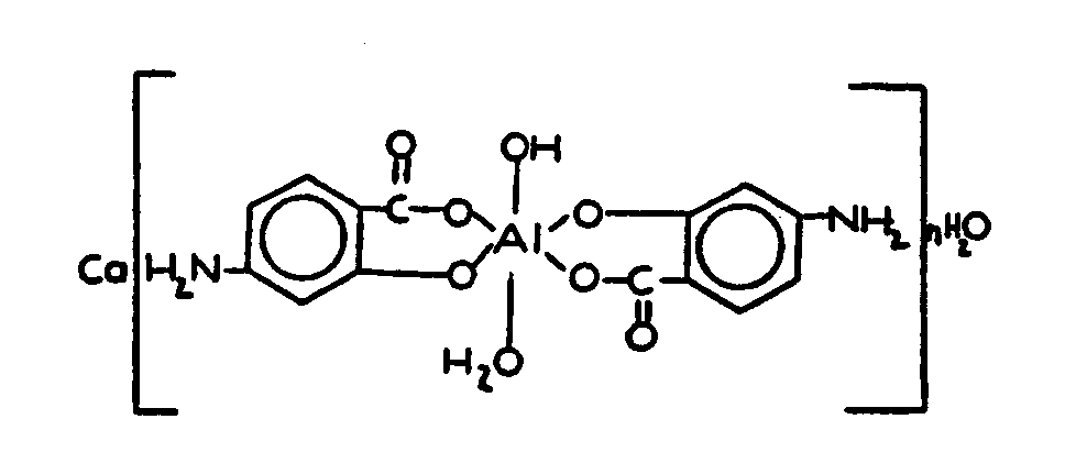
This subclass is indented under subclass 35. Compounds which contain a carbon having one nitrogen double
bonded and two nitrogens single bonded directly thereto.
| |||
37 | Chalcogen bonded directly to the carbon or nitrogen (e.g., oximes, etc.) | ||
This subclass is indented under subclass 32. Compounds wherein chalcogen (i.e., oxygen, sulfur, selenium,
or tellurium) is bonded directly to the carbon or nitrogen.
| |||
38 | Nitrogen and plural sulfurs bonded directly to the same carbon (e.g., thiocarbamates, etc.) | ||
This subclass is indented under subclass 1. Compounds which contain nitrogen and at least two sulfurs
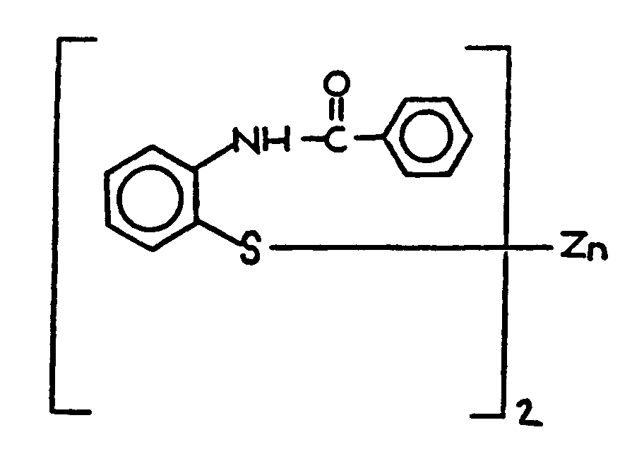
bonded directly to the same carbon.
| |||
39 | Plural nitrogens bonded directly to the same carbon or attached to each other by a chain consisting of carbons, which carbons may be part of a ring (e.g., ethylene bis-dithiocarbamates, etc.) | ||
This subclass is indented under subclass 38. Compounds wherein at least two nitrogens are bonded directly
to the same carbon or are attached to each other by a chain consisting
of carbons, which carbons may be part of a ring.
| |||
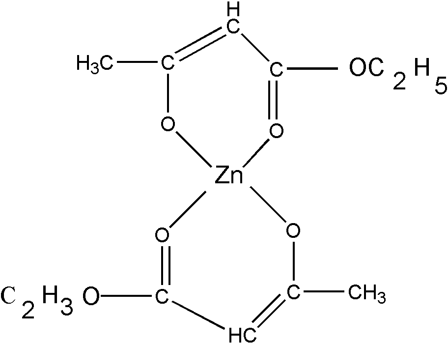
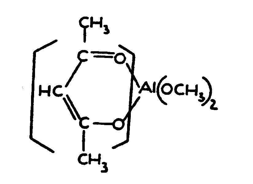
40 | Plural -C(=X)- groups, wherein X is chalcogen, bonded directly to the same non-benzenoid carbons, or the enolate thereof. (e.g., beta-diketone chelates, acetylacetonates, etc.) | ||||
This subclass is indented under subclass 1. Compounds which contain at least two -C(=X)- groups,
wherein X chalcogen (i.e., oxygen, sulfur, selenium or tellurium)
bonded directly to the same nonbenzenoid carbon, or the enolate
thereof.
| |||||
41 | Carbon or halogen bonded directly to the metal |
| This subclass is indented under subclass 40. Compounds wherein carbon or halogen is bonded directly to the metal. | |
42 | Vanadium, niobium, or tantalum containing (V, Nb, or Ta) | ||
This subclass is indented under subclass 1. Compounds which contain vanadium, niobium or tantalum.
| |||
43 | Carbon bonded directly to the metal (e.g., cyclopentadienyl vanadium tetracarbonyl, etc.) | ||
This subclass is indented under subclass 42. Compounds wherein carbon is bonded directly to the metal.
| |||
44 | The metal is bonded directly to X of a -C(=X)X- group, wherein the X's are the same or diverse chalcogens (e.g., vanadyl xanthate, etc.) | ||
This subclass is indented under subclass 42. Compounds wherein the metal is bonded directly to X of a
-C(=X) X-group, wherein the X"s are the same or
diverse chalcogens (i.e., oxygen, sulfur, selenium or tellurium).
| |||
45 | Manganese or rhenium containing (Mn or Re) |
| This subclass is indented under subclass 1. Compounds which contain manganese or rhenium. | |
46 | Carbon bonded directly to the metal (e.g., ethyl thiomanganese tricarbonyl, etc.) | ||
This subclass is indented under subclass 45. Compounds wherein carbon is bonded directly to the metal.
| |||
47 | The metal is bonded directly to an unsaturated 5-membered carbocyclic ring and to at least three -C(=X)- groups, wherein X is chalcogen (e.g., cyclopentadienyl manganese tricarbonyl, indenyl manganese tricarbonyl, etc.) | ||
This subclass is indented under subclass 46. Compounds wherein the metal is bonded directly to an unsaturated
5-membered carbocyclic ring and to at least three -C(=X)-groups,
wherein X is chalcogen (i.e., oxygen, sulfur, selenium or tellurium).
| |||
48 | Chalcogen or -C(=X)-, wherein X is chalcogen, bonded directly to the unsaturated 5-membered carbocyclic ring |
| This subclass is indented under subclass 47. Compounds wherein chalcogen or -C(=X)-, wherein X is chalcogen, are bonded directly to the unsaturated 5-membered carbocyclic ring. | |
49 | The metal is bonded directly to X of a -C(=X)X- group, wherein the X's are the same or diverse chalcogens (e.g., manganese acetate, etc.) | ||
This subclass is indented under subclass 45. Compounds wherein the metal is bonded directly to X of a
-C(=X)X-group, wherein the X"s are the same or
diverse chalcogens (i.e., oxygen sulfur, selenium or tellurium).
| |||
50 | Nitrogen containing |
| This subclass is indented under subclass 49. Compounds which contain nitrogen. | |
51 | Titanium, zirconium, or hafnium containing (Ti, Zr, or Hf) |
| This subclass is indented under subclass 1. Compounds which contain titanium, zirconium or hafnium. | |
52 | Carbon bonded directly to the metal |
| This subclass is indented under subclass 51. Compounds wherein carbon is bonded directly to the metal. | |
53 | Plural unsaturated 5-membered carbocyclic rings bonded directly to the metal |
| This subclass is indented under subclass 52. Compounds wherein at least two unsaturated 5-membered carbocyclic rings are bonded directly to the metal. | |
54 | Plural chalcogens bonded directly to the metal (e.g., alkyl titanates, titanic esters, etc.) | ||
This subclass is indented under subclass 51. Compounds wherein at least two chalcogens (i.e., oxygen,
sulfur, selenium or tellurium) are bonded directly to the metal.
| |||
55 | Containing -C(=X)X-, wherein the X's are the same or diverse chalcogens |
| This subclass is indented under subclass 54. Compounds which contain a -C(=X)X- group, wherein the X"s are the same or diverse chalcogens. | |
56 | Nitrogen or halogen containing |
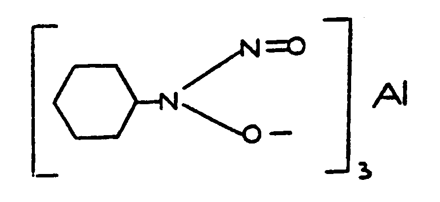
| This subclass is indented under subclass 54. Compounds which contain nitrogen or halogen. | |
57 | Chromium, molybdenum, or tungsten containing (Cr, Mo, or |
| This subclass is indented under subclass 51. Compounds which contain chromium, molybdenum or tungsten. | |
58 | Carbon bonded directly to the metal |
| This subclass is indented under subclass 57. Compounds wherein carbon is bonded directly to the metal. | |
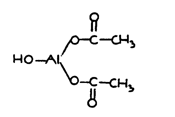
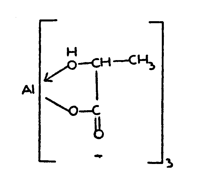
59 | Chalcogen double bonded directly to the carbon (e.g., molybdenum pentacarbonyls, etc.) | ||
This subclass is indented under subclass 58. Compounds wherein chalcogen (i.e., oxygen, sulfur, selenium
or tellurium is double bonded directly to the carbon.
| |||
60 | Carbocyclic ring bonded directly to the metal |
| This subclass is indented under subclass 59. Compounds wherein a carbocyclic ring is bonded directly to the metal. | |
61 | Containing -C(=X)X-, wherein the X's are the same or diverse chalcogens |
| This subclass is indented under subclass 57. Compounds which contain a -C(=X)X- group, wherein the X"s are the same or diverse chalcogens (i.e., oxygen, sulfur, selenium or tellurium). | |
62 | The carbons of plural -C(X=)X- groups, are bonded directly to each other, to the same acyclic carbon, (e.g., chromium oxalates, etc.) | ||
This subclass is indented under subclass 61. Compounds wherein the carbons of at least two -C(=X)X-
groups are bonded directly to each other, to the same acyclic carbon
chain.
| |||
63 | Nitrogen or halogen containing | ||
This subclass is indented under subclass 61. Compounds which contain nitrogen or halogen.
| |||
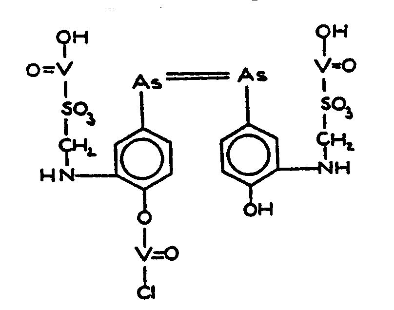
64 | Arsenic, antimony, or bismuth containing (As, Sb, or Bi) |
| This subclass is indented under subclass 1. Compounds which contain arsenic, antimony or bismuth. | |
65 | Arsenic double bonded directly to arsenic (e.g., arsenobenzenes, etc.) | ||
This subclass is indented under subclass 64. Compounds wherein arsenic is double bonded directly to arsenic.
| |||
66 | Containing two benzene rings each having nitrogen, chalcogen and one of the arsenics bonded directly thereto (e.g., arsphenamines, etc.) | ||
This subclass is indented under subclass 65. Compounds which contain two benzene rings each having nitrogen,
chalcogen (i.e., oxygen, sulfur, selenium or tellurium) and one
of the arsenics bonded directly thereto.
| |||
67 | Sulfur double bonded directly to chalcogen (e.g., neoarsphenamines, etc.) | ||
This subclass is indented under subclass 66. Compounds which contain sulfur double bonded directly to
chalcogen.
| |||
68 | Tricyclo ring system having a six-membered ring, which includes heavy metal and nitrogen or chalcogen, as one of the cyclos (e.g., phenoxarsines, phenarsazines, etc.) | ||
This subclass is indented under subclass 64. Compounds which contain a tricyclo ring system having a
six-membered ring, which includes the heavy metal and nitrogen or
chalcogen (i.e., oxygen, sulfur, selenium or tellurium), as one
of the cyclos.
| |||
69 | Sulfur double bonded directly to chalcogen | ||
This subclass is indented under subclass 64. Compounds which contain sulfur double bonded directly to
chalcogen (i.e., oxygen, sulfur, selenium or tellurium).
| |||
70 | Carbon bonded directly to the metal |
| This subclass is indented under subclass 64. Compounds wherein carbon is bonded directly to the metal. | |
71 | Chalcogen bonded directly to the metal (e.g., arsine oxides, etc.) | ||
This subclass is indented under subclass 70. Compounds wherein chalcogen (i.e., oxygen, sulfur, selenium
or tellurium) is bonded directly to the metal.
| |||
72 | Plural chalcogens bonded directly to the metal |
| This subclass is indented under subclass 71. Compounds wherein at least two chalcogens are bonded directly to the metal. | |
73 | Exactly three chalcogens bonded directly to the metal (e.g., arsonic acids, arsonates, etc.) | ||
This subclass is indented under subclass 72. Compounds wherein exactly three chalcogens are bonded directly
to the metal.
| |||
74 | Nitrogen and the metal bonded directly to the same benzene ring (e.g., arsanilic acids, etc.) | ||
This subclass is indented under subclass 73. Compounds wherein nitrogen and the metal are bonded directly
to the same benzene ring.
| |||
75 | Having -C(=X)-, wherein X is chalcogen, attached directly or indirectly to the nitrogen by acyclic nononic bonding |
| This subclass is indented under subclass 74. Compounds in which a -C(=X)- group, where X is chalcogen, is attached directly or indirectly to the nitrogen by acyclic nonionic bonding. | |
76 | Chalcogen bonded directly to the metal | ||
This subclass is indented under subclass 64. Compounds wherein chalcogen (i.e., oxygen, sulfur, selenium,
or tellurium) is bonded directly to the metal.
| |||
77 | Containing -C(=X)X-, wherein the X's are the same or diverse chalcogens |
| This subclass is indented under subclass 76. Compounds which contain a -C(=X)X- group, wherein the X"s are the same or diverse chalcogens. | |
78 | Carbocyclic ring bonded directly to the carbon of the -C(=X)X- group |
| This subclass is indented under subclass 77. Compounds wherein a carbocyclic ring is bonded directly to the carbon of the -C(=X)X- group. | |
79 | The carbons of plural -C(=X)X- groups are bonded directly to each other, to the same carbon, or to a chain consisting of carbons, which carbons may be part of a ring (e.g., bismuth tartrates, etc.) | ||
This subclass is indented under subclass 77. Compounds wherein the carbons of at least two -C(=X)X-
groups are bonded directly to each other, to the same carbon, or
to a chain consisting of carbons which carbons may be part of a ring.
| |||
80 | Carbocyclic ring bonded directly to the chalcogen |
| This subclass is indented under subclass 76. Compounds wherein a carbocyclic ring is bonded directly to the chalcogen. | |
81 | Germanium, tin, or lead containing (Ge, Sn, or Pb) |
| This subclass is indented under subclass 1. Compounds which contain germanium, tin or lead. | |
82 | Tin bonded directly to tin or lead bonded directly to lead | ||
This subclass is indented under subclass 81. Compounds wherein tin is bonded directly to tin or lead
is bonded directly to lead.
| |||
83 | Plural heavy metals bonded directly to the same chalcogen (e.g., two germaniums bonded directly to the same oxygen, etc.) | ||
This subclass is indented under subclass 81. Compounds wherein at least two heavy metals are bonded directly
to the same chalcogen (i.e., oxygen, sulfur, selenium or tellurium).
| |||
84 | Exactly three carbons bonded directly to each of the metals (e.g., bis tributyl tin oxides, etc.) | ||
This subclass is indented under subclass 83. Compounds wherein exactly three carbons are bonded directly
to each of the metals.
| |||
85 | Sulfur double bonded directly to chalcogen | ||
This subclass is indented under subclass 81. Compounds which contain sulfur double bonded directly to
chalcogen (i.e., oxygen, sulfur, selenium or tellurium).
| |||
86 | Exactly three carbons bonded directly to the metal |
| This subclass is indented under subclass 85. Compounds wherein exactly three carbons are bonded directly to the metal. | |
87 | Carbon bonded directly to the metal |
| This subclass is indented under subclass 81. Compounds wherein carbon is bonded directly to the metal. | |
88 | Chalcogen bonded directly to the metal | ||||||
This subclass is indented under subclass 87. Compounds wherein chalcogen (i.e., oxygen, sulfur, selenium
or tellurium) is bonded directly to the metal.
SEE OR SEARCH THIS CLASS, SUBCLASS:
| |||||||
89 | Plural chalcogens bonded directly to the metal |
| This subclass is indented under subclass 88. Compounds wherein at least two chalcogens are bonded directly to the metal. | |
90 | At least one of the chalcogens is part of a -C(=X)X- group, wherein the X's are the same or diverse chalcogens |
| This subclass is indented under subclass 89. Compounds in which at least one of the chalcogens is part of a -C(=X)X- group, wherein the X"s are the same or diverse chalcogens. | |
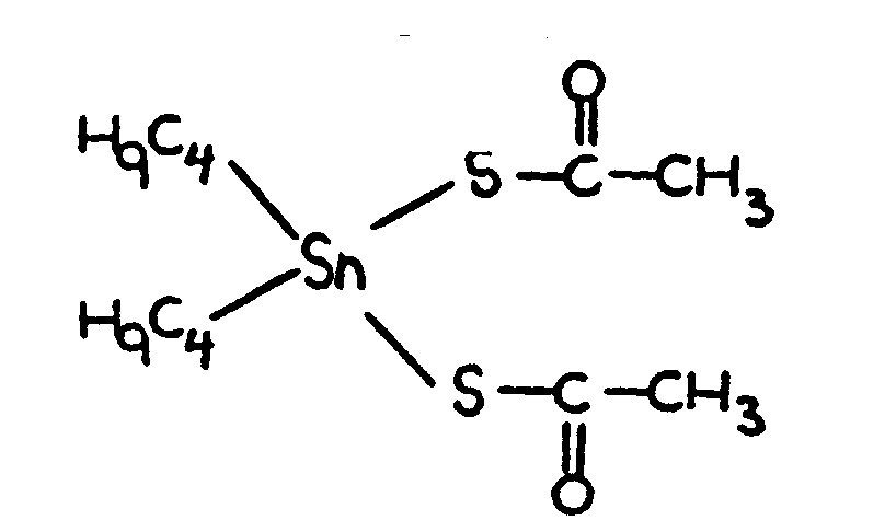
91 | Sulfur containing (e.g., organotinmercaptio carboxylic acid ester sulfides, etc.) | ||
This subclass is indented under subclass 90. Compounds which contain sulfur.
| |||
92 | Acyclic carbon to carbon unsaturation containing (e.g., diorganotin maleates, etc.) | ||||
This subclass is indented under subclass 90. Compounds which contain acyclic carbon to carbon unsaturation.
SEE OR SEARCH THIS CLASS, SUBCLASS:
| |||||
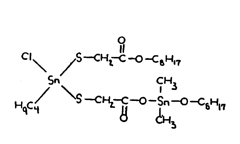
93 | Having -C(=X)X-, are the same or diverse chalcogens, attached indirectly to the metal by nonionic bonding (e.g., dialkyl tin thioglycollic acid esters, etc.) | ||
This subclass is indented under subclass 89. Compounds in which a -C(=X)X- group, wherein the
X"s are the same or diverse chalcogens, is attached indirectly
to the metal by nonionic bonding.
| |||
94 | The chalcogen is part of a -C(=X)X- group, wherein the X's are the same or diverse chalcogens |
| This subclass is indented under subclass 88. Compounds in which the chalcogen is part of a -C(=X)X- group, wherein the X"s are the same or diverse chalcogens. | |
95 | The compound consists of the metal, carbon and hydrogen or the metal, carbon, hydrogen and halogen (e.g., tetraalkylleads, etc.) | ||||
This subclass is indented under subclass 87. Compounds which consist of the metal, carbon and hydrogen
or the metal, carbon, hydrogen and halogen.
SEE OR SEARCH THIS CLASS, SUBCLASS:
| |||||
96 | Preparing by utilizing a magnesium containing material (e.g., Grignard reagent, etc.) |
| This subclass is indented under subclass 95. Processes wherein the compound is prepared by utilizing a magnesium containing material in any way, e.g., as a catalyst, reactant, etc. | |
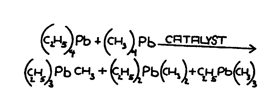
97 | Preparing by interchange of radicals between heavy metal atoms (e.g., redistribution, disproportionation, etc.) | ||||
This subclass is indented under subclass 95. Processes wherein the compound is prepared by an interchange
of radicals between the heavy metal atoms, i.e., a shift of a radical, unchanged,
from one heavy metal atom to another heavy metal atom.
| |||||
98 | Preparing by reacting free heavy metal or heavy metal containing alloy with hydrocarbyl halide (e.g., reacting Pb-Na alloy with hydrocarbyl chloride, etc.) | ||
This subclass is indented under subclass 95. Processes wherein the compound is prepared by reacting a
free heavy metal or a heavy metal containing alloy with a hydrocarbyl
halide.
| |||
99 | Additional heavy metal containing material or aluminum containing material utilized |
| This subclass is indented under subclass 98. Processes wherein a material containing an additional heavy metal or aluminum is utilized in any way, e.g., as a catalyst, reactant, etc. | |
100 | Phosphorus containing material or organic nitrogen containing compound utilized |
| Processes under 98 wherein a phosphorus containing material or an organic nitrogen containing compound is utilized in any way, e.g., as a catalyst, accelerator, solvent, etc. | |
101 | Organic chalcogen containing compound or additional organic halogen containing utilized |
| This subclass is indented under subclass 98. Processes wherein an organic chalcogen containing compound or an additional halogen containing compound is utilized in any way, e.g., as a catalyst, accelerator, solvent, etc. | |
102 | Preparing by utilizing boron, aluminum, gallium, indium, or thallium | ||
| This subclass is indented under subclass 95. Processes wherein the compound is prepared by utilizing
a boron, aluminum, gallium, indium, or thallium containing material
any way, e.g., as a catalyst, reactant, etc.
SEE OR SEARCH THIS CLASS, SUBCLASS:
| |||
103 | Purification or recovery |
| This subclass is indented under subclass 95. Processes which include separating the compound from impurities or from the reaction mixture. | |
104 | Halogen bonded directly to the metal |
| This subclass is indented under subclass 95. Compounds wherein halogen is bonded directly to the metal. | |
105 | Containing -C(=X)X-, wherein the X's are the same or diverse chalcogens |
| This subclass is indented under subclass 81. Compounds which contain a -C(=X)X- group, wherein the X"s are the same or diverse chalcogens (i.e., oxygen, sulfur,, selenium or tellurium). | |
106 | Carbocyclic ring bonded directly to the carbon of the -C(=X)X- group (e.g., lead phthalates, etc.) | ||
This subclass is indented under subclass 105. Compounds wherein a carbocyclic ring is bonded directly
to the carbon of the -C(=X)X- group.
| |||
107 | Nitrogen containing |
| This subclass is indented under subclass 10. Compounds which contain nitrogen. | |
108 | Carbocyclic ring and the metal are bonded directly to the same chalcogen (e.g., stannous catecholates, etc.) | ||
This subclass is indented under subclass 81. Compounds wherein a carbocyclic ring and the metal are bonded
directly to the same chalcogen (i.e., oxygen, sulfur, selenium,
or tellurium).
| |||
109 | Plural chalcogens and plural nitro groups bonded directly to the same benzene ring (e.g., lead styphnates, lead salts of di-nitroresorcinol, etc.) | ||
This subclass is indented under subclass 108. Compounds wherein at least two chalcogens and at least two
nitro groups are bonded directly to the same benzene ring.
| |||
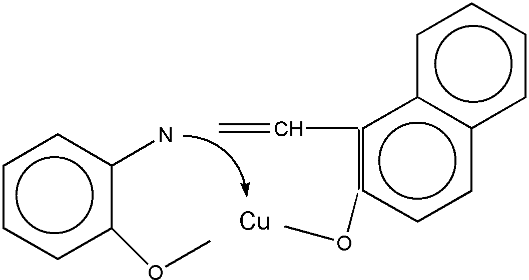
110 | Copper, silver, or gold containing (Cu, Ag, or Au) |
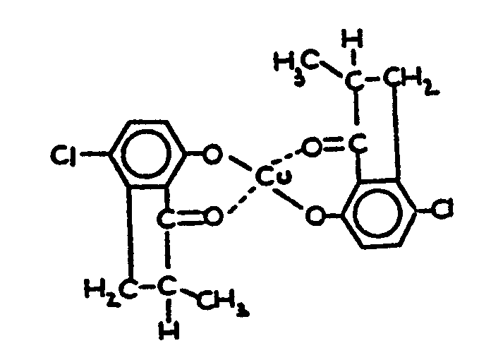
| This subclass is indented under subclass 1. Compounds which contain copper, silver or gold. | |
111 | Sulfur double bonded directly to chalcogen | ||
This subclass is indented under subclass 110. Compounds which contain sulfur double bonded directly to
chalcogen (i.e., oxygen, sulfur, selenium or tellurium).
| |||
112 | Carbon bonded directly to the metal | ||
This subclass is indented under subclass 110. Compounds wherein carbon is bonded directly to the metal.
| |||
113 | Chalcogen bonded directly to the metal |
| This subclass is indented under subclass 110. Compounds wherein chalcogen (i.e., oxygen, sulfur, selenium or tellurium) is bonded directly to the metal. | |
114 | The chalcogen is part of a -C(=X)X- group, wherein the X's are the same or diverse chalcogens |
| This subclass is indented under subclass 113. Compounds in which the chalcogen is part of a -C(=X)X- group, wherein the X"s are the same or diverse chalcogens. | |
115 | Carbocyclic ring bonded directly to the carbon of the -C(=X)X- group |
| This subclass is indented under subclass 114. Compounds wherein a carbocyclic ring is bonded directly to the carbon of the -C(X)X- group. | |
116 | Nitrogen containing |
| This subclass is indented under subclass 114. Compounds which contain nitrogen. | |
117 | Containing -C(=X)-, wherein X is chalcogen | ||
This subclass is indented under subclass 113. Compounds which contain a -C(X)X- group, wherein X is chalcogen.
| |||
118 | Zinc, cadmium, or mercury containing (Zn, Cd, or Hg) |
| This subclass is indented under subclass 1. Compounds which contain zinc, cadmium, or mercury. | |
119 | Sulfur double bonded directly to chalcogen | ||
This subclass is indented under subclass 118. Compounds which contain sulfur double bonded directly to
chalcogen (i.e., oxygen, sulfur, selenium or tellurium).
| |||
120 | Containing -C(=X)-, wherein X is chalcogen (e.g., zinc formaldehyde sulphoxylates, etc.) | ||
This subclass is indented under subclass 119. Compounds which contain a -C(=X)X- group, wherein
X is chalcogen.
| |||
121 | Carbon bonded directly to the metal |
| This subclass is indented under subclass 118. Compounds wherein carbon is bonded directly to the metal. | |
122 | Chalcogen bonded directly to the metal |
| This subclass is indented under subclass 121. Compounds wherein chalcogen (i.e., oxygen, sulfur, selenium or tellurium) is bonded directly to the metal. | |
123 | The carbon is part of a carbocyclic ring (e.g., phenyl mercury nitrate, phenyl mercury phenolates, etc.) | ||
This subclass is indented under subclass 122. Compounds wherein the carbon is part of a carbocyclic ring.
| |||
124 | Hydrogen or -C(=X)-, wherein X is chalcogen, bonded directly to the chalcogen (e.g., H-X-Metal-Ring-H, -C(=X)X-Metal-Ring-H, phenyl mercury hydroxides, phenyl mercury acetates, etc.) | ||
This subclass is indented under subclass 123. Compounds which hydrogen or -C(=X)X-, wherein X
is chalcogen, is bonded directly to the chalcogen.
| |||
125 | The carbon of the -C(=X)X- group is bonded directly to the carbocyclic ring or to a different carbocyclic ring (e.g., phenyl mercury salicylates, oxymercuric benzoic acid anhydrides, etc.) | ||
This subclass is indented under subclass 124. Compounds wherein the carbon of the -C(=X)X- group
is bonded directly to the carbocyclic ring or to a different carbocyclic
ring.
| |||
126 | Additional chalcogen bonded directly to the carbocyclic ring (e.g., acetoxymercury nitrocresols, etc.) |
| This subclass is indented under subclass 124. Compounds wherein an additional chalcogen is bonded directly
to the carbocyclic ring.
| |
127 | Hydrogen or -C(=X)-, wherein X is chalcogen, bonded directly to the chalcogen (e.g., H-X-Metal-HCH-, -C(=X)X-Metal-HCH-, etc.) | ||
This subclass is indented under subclass 122. Compounds which hydrogen or -C(=X), wherein X is
chalcogen is bonded directly to the chalcogen.
| |||
128 | Cyano, nitrogen or halogen bonded directly to the metal | ||
This subclass is indented under subclass 121. Compounds wherein cyano, nitrogen or halogen are bonded
directly to the metal.
| |||
129 | The compound consists of the metal, carbon and hydrogen (e.g., dialkyl zinc, etc.) | ||
This subclass is indented under subclass 121. Compounds which consist of the metal, carbon and hydrogen.
| |||
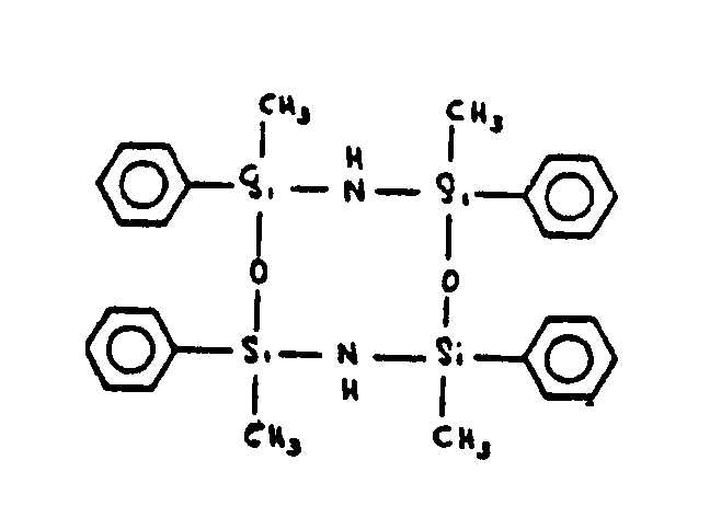
130 | Chalcogen bonded directly to the metal |
| This subclass is indented under subclass 118. Compounds wherein chalcogen (i.e., oxygen sulfur, selenium, or tellurium) is bonded directly to the metal. | |
131 | The chalcogen is part of a -C(=X)X- group, wherein the X's are the same or diverse chalcogens |
| This subclass is indented under subclass 130. Compounds in which the chalcogen is part of a -C(=X)X- group, wherein the X"s are the same or diverse chalcogens. | |
132 | Carbocyclic ring bonded directly to the carbon of the -C(=X)X- group |
| This subclass is indented under subclass 131. Compounds wherein a carbocyclic ring is bonded directly to the carbon of the -C(=X)X- group. | |
133 | The carbons of plural -C(=X)X- groups are bonded directly to each other, to the same carbon, or to a chain consisting of carbons, which carbons, which carbons may be part of a ring (e.g., zinc glutamates, etc.) | ||
This subclass is indented under subclass 131. Compounds wherein the carbons of at least two -C(=X)X-
groups are bonded directly to each other, to the same carbon, or
to a chain consisting of carbons, which carbons may be part of a ring.
| |||
134 | Nitrogen containing (e.g., zinc ethionates, etc.) | ||
This subclass is indented under subclass 131. Compounds which contain nitrogen.
| |||
135 | Carbocyclic ring bonded directly to the chalcogen (e.g., zinc phenolates, zinc thiophenates, etc.) | ||
This subclass is indented under subclass 130. Compounds wherein a carbocyclic ring is bonded directly
to the chalcogen.
| |||
136 | Ruthenium, rhodium, palladium, osmium, iridium, or platinum containing (Ru, Rh, Pd, Os, Ir, or Pt) |
| This subclass is indented under subclass 1. Compounds which contain ruthen, rhodium, palladium, osmium, iridium, or platinum. | |
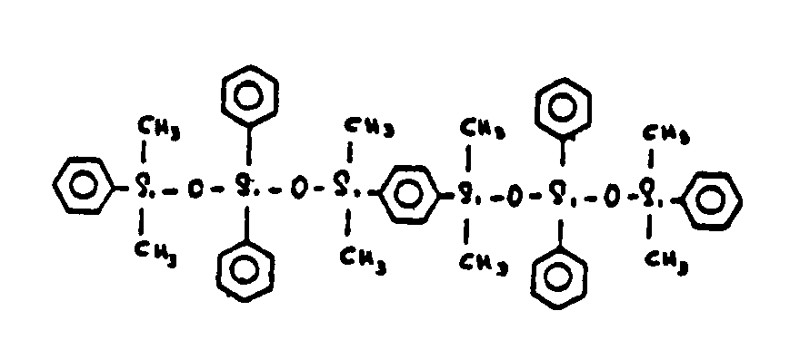
137 | Nitrogen bonded directly to the metal | ||
This subclass is indented under subclass 136. Compounds wherein nitrogen is bonded directly to the metal.
| |||
138 | Iron, cobalt, or nickel containing (Fe, Co, or Ni) |
| This subclass is indented under subclass 1. Compounds which contain iron, cobalt or nickel. | |
139 | Sulfur double bonded directly to chalcogen | ||
This subclass is indented under subclass 138. Compounds wherein carbon is bonded directly to the metal.
| |||
140 | Carbon bonded directly to the metal | ||
This subclass is indented under subclass 138. Compounds wherein carbon is bonded directly to the metal.
| |||
141 | Chalcogen double bonded directly to the carbon (e.g., butadiene iron tricarbonyls, etc.) | ||
This subclass is indented under subclass 140. Compounds wherein chalcogen (i.e., oxygen, sulfur, selenium,
or tellurium) is double bonded directly to the carbon.
| |||
142 | Carbocyclic ring bonded directly to the metal |
| This subclass is indented under subclass 141. Compound s wherein a carbocyclic ring is bonded directly to the metal. | |
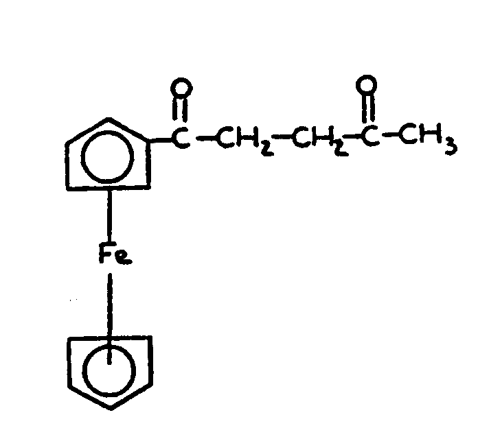
143 | Plural unsaturated five-membered carbocyclic rings bonded directly to the metal (e.g., ferrorcenes, bis indenyl iron, etc.) | ||
This subclass is indented under subclass 140. Compounds wherein at least two unsaturated five-membered
carbocyclic rings are bonded directly to the metal.
| |||
144 | Chalcogen, nitrogen or halogen containing |
| This subclass is indented under subclass 143. Compounds which contain chalcogen (i.e., oxygen, sulfur, selenium or tellurium), nitrogen or halogen. | |
145 | Chalcogen, nitrogen, halogen or -C(=X)-, wherein X is chalcogen, bonded directly to at least one of the carbocyclic rings | ||
This subclass is indented under subclass 144. Compounds in which a chalcogen, nitrogen, halogen or -C(=X)-,
wherein X is chalcogen, is bonded directly to at least one of the
carbocyclic rings.
| |||
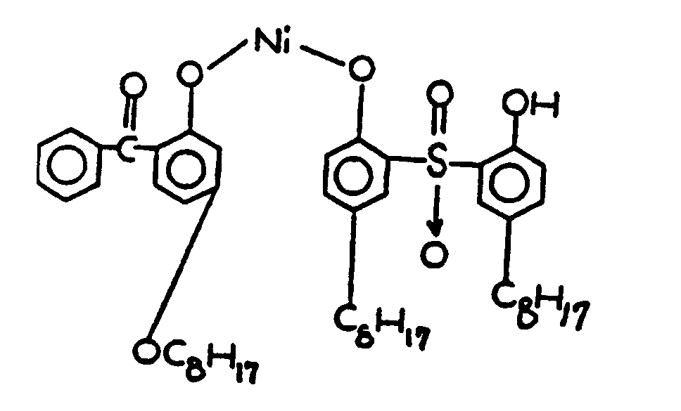
146 | Chalcogen bonded directly to the metal |
| This subclass is indented under subclass 138. Compounds wherein chalcogen (i.e., oxygen, sulfur, selenium, or tellurium) is bonded directly to the metal. | |
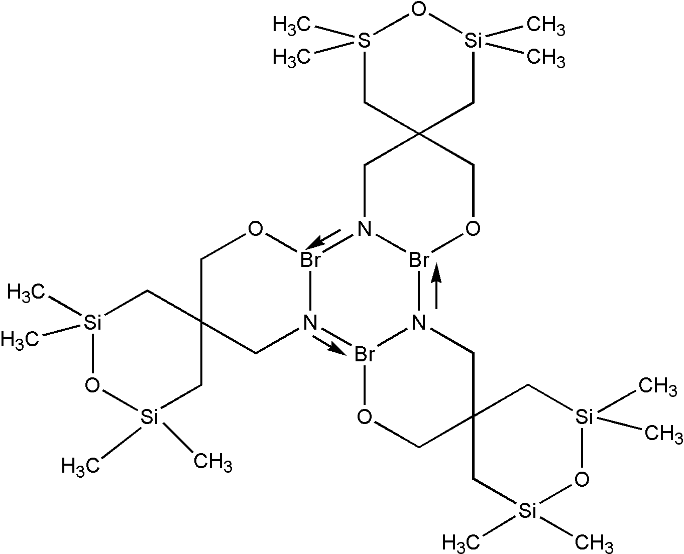
147 | The chalcogen is part of a -C(=X)X- group, wherein the X's are the same or diverse chalcogens |
| This subclass is indented under subclass 146. Compounds in which the chalcogen is part of a -C(=X)X- group, wherein the X"s are the same or diverse chalcogens. | |
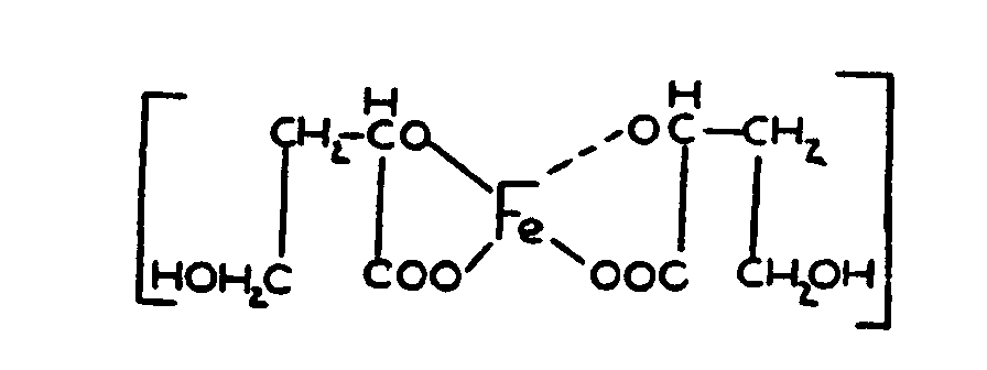
148 | Nitrogen containing (e.g., ferric chelates of ethylenediaminetetracetic acid, etc.) | ||
This subclass is indented under subclass 147. Compounds which contain nitrogen.
| |||
149 | Salts of acyclic monocarboxylic acids (e.g., nickel formate, cobalt acetate, etc.) | ||||
This subclass is indented under subclass 147. Compounds which are salts of acyclic monocarboxylic acids.
SEE OR SEARCH THIS CLASS, SUBCLASS:
| |||||
150 | Carbocyclic ring bonded directly to the chalcogen |
| This subclass is indented under subclass 146. Compounds wherein a carbocyclic ring is bonded directly to the chalcogen. | |
170 | ALUMINUM CONTAINING | ||
| This subclass is indented under subclass 1. Compounds under Class 532, ... , which contain aluminum.
SEE OR SEARCH CLASS:
| |||
171 | With preservative or stabilizer |
| This subclass is indented under subclass 170. Products wherein the aluminum containing compound is mixed with a preserving or stabilizing agent whose sole function is to prevent physical or chemical change. | |
172 | Boron containing |
| This subclass is indented under subclass 170. Compounds which contain boron. | |
173 | Silicon containing |
| This subclass is indented under subclass 170. Compounds which contain silicon. | |
174 | Phosphorus containing |
| This subclass is indented under subclass 170. Compounds which contain phosphorus. | |
175 | Ring aluminum containing | ||
This subclass is indented under subclass 170. Compounds wherein the aluminum is a member of a ring.
| |||
176 | Nitrogen bonded directly to the aluminum | ||||
This subclass is indented under subclass 170. Compounds wherein nitrogen is bonded directly to the aluminum.
SEE OR SEARCH THIS CLASS, SUBCLASS:
| |||||
177 | Oxygen double bonded directly to sulfur | ||
This subclass is indented under subclass 170. Compounds which contain oxygen double bonded directly to
sulfur.
| |||
178 | Plural aluminums containing |
| This subclass is indented under subclass 170. Compounds which contain at least two aluminums. | |
179 | Chalcogen bonded directly to aluminum | ||
This subclass is indented under subclass 178. Compounds wherein chalcogen (i.e., oxygen, sulfur, selenium,
or tellurium) is bonded directly to at least one of the aluminums.
| |||
180 | Halogen bonded directly to aluminum (e.g., sesquihalides, etc.) | ||
This subclass is indented under subclass 178. Compounds wherein halogen is bonded directly to at least
one of the aluminums.
| |||
181 | Chalcogen bonded directly to aluminum |
| This subclass is indented under subclass 170. Compounds wherein chalcogen (i.e., oxygen, sulfur, selenium, or tellurium) is bonded directly to the aluminum. | |
182 | Plural chalcogens bonded directly to the same aluminum | ||||
This subclass is indented under subclass 181. Compounds wherein at least two chalcogens are bonded directly
to the same aluminum.
SEE OR SEARCH THIS CLASS, SUBCLASS:
| |||||
183 | At least one of the chalcogens is part of a -C(=X)X- group, wherein the X's are the same or diverse chalcogens | ||||||
This subclass is indented under subclass 182. Compounds in which at least one of the chalcogens is part
of a -C(=X)X- group, wherein the X"s are the same
or diverse chalcogens.
SEE OR SEARCH THIS CLASS, SUBCLASS:
| |||||||
184 | Ring bonded directly to the carbon of the -C(=X)X- group | ||||||
This subclass is indented under subclass 183. Compounds wherein a ring is bonded directly to the carbon
of the-C (=X) X- group.
SEE OR SEARCH THIS CLASS, SUBCLASS:
| |||||||
185 | Preparing by oxidation |
| This subclass is indented under subclass 182. Processes wherein the compound is prepared by an oxidation reaction. | |
186 | Halogen bonded directly to the aluminum | ||
| This subclass is indented under subclass 170. Compounds wherein halogen is bonded directly to the aluminum.
SEE OR SEARCH THIS CLASS, SUBCLASS:
| |||
187 | Processes of preparing, purifying or recovering compounds having plural carbons bonded directly to the same aluminum |
| This subclass is indented under subclass 170. Processes which are directed tot he preparation, purification, recovery, or treatment of a compound having at least two carbons bonded directly to the same aluminum. | |
188 | Aluminum containing alloy or elemental aluminum utilized |
| This subclass is indented under subclass 187. Processes wherein an aluminum containing alloy or elemental aluminum is utilized. | |
189 | And utilizing a material which contains a metal other than aluminum |
| This subclass is indented under subclass 188. Processes wherein a material which contains a metal other than aluminum is utilized. | |
190 | Reactants include unsaturated hydrocarbon and compound having carbon bonded directly to aluminum | ||
This subclass is indented under subclass 187. Processes wherein the compound is prepared by reacting an
unsaturated hydrocarbon with a compound having carbon bonded directly
to the aluminum.
| |||
400 | SILICON CONTAINING | ||
| This subclass is indented under subclass 1. Compounds under Class 532, ... , which contain silicon.
SEE OR SEARCH CLASS:
| |||
401 | With preservative or stabilizer |
| This subclass is indented under subclass 400. Products wherein the silicon-containing compound is mixed with a preserving or stabilizing agent whose sole function is to prevent physical or chemical change. | |
402 | Boron containing |
| This subclass is indented under subclass 400. Compounds which contain boron. | |
403 | Boron is ring member | ||
This subclass is indented under subclass 402. Compounds in which the boron is a member of a ring.
| |||
404 | Phosphorus attached directly or indirectly to silicon by nonionic bonding | ||
This subclass is indented under subclass 400. Compounds in which phosphorous is attached directly or indirectly
to silicon by nonionic bonding.
| |||
405 | Chalcogen bonded directly to silicon | ||
This subclass is indented under subclass 404. Compounds in which chalcogen (i.e., oxygen, sulfur, selenium,
or tellurium) is bonded directly to silicon.
| |||
406 | Ring consisting of carbon and silicon |
| This subclass is indented under subclass 400. Compounds containing a ring which includes at least one
atom each of carbon and silicon, and contains no other elements
as ring members. Note examples below:
| |
407 | Nitrogen is ring member | ||
This subclass is indented under subclass 400. Compounds which contain a ring having nitrogen as a ring
member.
| |||
408 | Chalcogen is member of the ring | ||
This subclass is indented under subclass 407. Compounds in which the ring additionally contains chalcogen
(i.e., oxygen, sulfur, selenium, or tellurium) as a ring member.
| |||
409 | Plural silicons in the ring | ||
This subclass is indented under subclass 407. Compounds in which the ring additionally contains at least
two silicons as ring members.
| |||
410 | Nitrogen attached directly to silicon by nonionic bonding | ||
This subclass is indented under subclass 400. Compounds in which nitrogen is attached directly to silicon
by nonionic bonding.
| |||
411 | Having -C(=X)-, wherein X is chalcogen, bonded directly to the nitrogen | ||
This subclass is indented under subclass 410. Compounds wherein the nitrogen is bonded directly to a group,
in which X is chalcogen (i.e., oxygen, sulfur, selenium, or tellurium).
| |||
412 | Plural silicons bonded directly to the nitrogen | ||
This subclass is indented under subclass 410. Compounds in which at least two silicons are bonded directly
to the nitrogen.
| |||
413 | Nitrogen attached indirectly to silicon by nonionic bonding | ||
This subclass is indented under subclass 400. Compounds in which nitrogen is attached indirectly to silicon
by nonionic bonding.
| |||
414 | The nitrogen is in an isocyanato or isothiocyanato group (i.e., -NCO or -NCS) | ||
This subclass is indented under subclass 413. Compounds wherein the nitrogen is a part of an isocyanato
or isothiocyanato group (i.e., -NCO or -NCS, respectively).
| |||
415 | The nitrogen is in a cyano group (i.e., -CN) | ||
This subclass is indented under subclass 413. Compounds in which the nitrogen is part of a -C=N
group.
| |||
416 | Chalcogen bonded directly to plural carbons or double-bonded directly to carbon | ||||
This subclass is indented under subclass 415. Compounds in which chalcogen (i.e., oxygen, sulfur, selenium,
or tellurium) is bonded directly to plural carbons or is double-bonded directly
to a single carbon.
| |||||
417 | Chalcogen bonded directly to silicon | ||
This subclass is indented under subclass 415. Compounds in which chalcogen (i.e., oxygen, sulfur, selenium,
or tellurium) is bonded directly to silicon.
| |||
418 | Having -C(=X)-, wherein X is chalcogen, attached indirectly to silicon by nonionic bonding | ||
This subclass is indented under subclass 413. Compounds in which a group, wherein X is chalcogen (i.e.,
oxygen, sulfur, selenium, or tellurium), is attached indirectly
to silicon by nonionic bonding.
| |||
419 | Nitrogen is bonded directly to the -C(=X)- group | ||
This subclass is indented under subclass 418. Compounds in which the group is bonded directly to the
nitrogen.
| |||
420 | The -C(=X)- is part of a -C(=X)X- group, wherein the X's are the same or diverse chalcogens | ||
This subclass is indented under subclass 419. Compounds in which the is part of aX- group, wherein the
X"s are the same or diverse chalcogens (i.e., oxygen, sulfur,
selenium, or tellurium).
| |||
421 | Additional nitrogen bonded directly to the -C(=X)- group | ||
This subclass is indented under subclass 419. Compounds in which the group is bonded directly to an
additional nitrogen.
| |||
422 | Chalcogen attached directly to the nitrogen by nonionic bonding | ||
This subclass is indented under subclass 413. Compounds in which the nitrogen is attached directly to
chalcogen (i.e., oxygen, sulfur, selenium, or tellurium) by nonionic
bonding.
| |||
423 | Plural carbons bonded directly to the same chalcogen | ||
This subclass is indented under subclass 413. Compounds wherein plural carbons are bonded directly to
the same chalcogen (i.e., oxygen, sulfur, selenium, or tellurium).
| |||
424 | Plural nitrogens bonded directly to the same carbon or attached by a chain consisting of carbons, which carbons may be part of a ring | ||
This subclass is indented under subclass 413. Compounds in which at least two nitrogens are bonded directly
to the same carbon or are attached to each other by a chain consisting
of carbons, which carbons may be part of a ring.
| |||
425 | Two silicons bonded directly to the same oxygen | ||
This subclass is indented under subclass 413. Compounds in which two silicons are bonded directly to the
same oxygen.
| |||
426 | Sulfur bonded directly to silicon | ||
This subclass is indented under subclass 400. Compound in which sulfur is bonded directly to silicon.
| |||
427 | Sulfur attached indirectly to silicon by nonionic bonding |
| This subclass is indented under subclass 400. Compounds in which sulfur is attached indirectly to silicon by nonionic bonding. | |
428 | Chalcogen bonded directly to sulfur | ||
This subclass is indented under subclass 427. Compounds in which chalcogen (i.e., oxygen, sulfur, selenium,
or tellurium) is bonded directly to sulfur.
| |||
429 | The sulfur is part of a -SH or -SC(=X)- group, wherein X is chalcogen (H of -SH may be replaced by a substituted or unsubstituted ammonium ion or a Group IA or IIA light metal) | ||
This subclass is indented under subclass 427. Compounds in which the sulfur is part of a -Sgroup, wherein
X is chalcogen (i.e., oxygen, sulfur, selenium, or tellurium), and
wherein H of the -SH may be replaced by a substituted, or unsubstituted
ammonium ion, or by a Group IA or IIA light metal.
| |||
430 | Plural silicons bonded directly to each other | ||
This subclass is indented under subclass 400. Compounds in which at least two silicons are bonded directly
to each other.
| |||
431 | Plural silicons bonded directly to the same carbon or attached by a chain consisting of carbons, which carbons may be part of a ring | ||
This subclass is indented under subclass 400. Compounds in which at least two silicons are bonded directly
to the same carbon or are attached by a chain consisting of carbons, which
carbons may be part of a ring.
| |||
432 | Plural silicons bonded directly to the same or different benzene rings that form all or part of the chain | ||
This subclass is indented under subclass 431. Compounds wherein the silicons are bonded directly to the
same benzene ring or to different benzene rings, which rings form
all or part of the chain.
| |||
433 | Two silicons bonded directly to the same oxygen | ||
This subclass is indented under subclass 432. Compounds in which two silicons are bonded directly to the
same oxygen.
| |||
434 | Two silicons bonded directly to the same oxygen | ||
This subclass is indented under subclass 431. Compounds in which two silicons are bonded directly to the
same oxygen.
| |||
435 | Two silicons bonded directly to the same acyclic saturated hydrocarbon | ||
This subclass is indented under subclass 431. Compounds in which two silicons are bonded directly to the
same acyclic saturated hydrocarbon.
| |||
436 | Carbonyl attached directly or indirectly to silicon by nonionic bonding | ||
This subclass is indented under subclass 400. Compounds in is attached directly or indirectly to silicon
by nonionic bonding.
| |||
437 | The carbonyl is part of a -COO- group | ||
This subclass is indented under subclass 436. Compounds in which the carbonyl is in a -COO- group.
| |||
438 | Silicon and the carbon of the -COO- group are bonded directly to the same hydrocarbon group | ||
This subclass is indented under subclass 437. Compounds in which silicon and the carbon of the -COO- group
are bonded directly to the same hydrocarbon group.
| |||
439 | Two silicons bonded directly to the same oxygen | ||
This subclass is indented under subclass 438. Compounds in which two silicons are bonded directly to the
same oxygen.
| |||
440 | Silicon and the oxy of the -COO- group are bonded directly to the same hydrocarbon group | ||
This subclass is indented under subclass 437. Compounds in which silicon and the oxy of the -COO- group
are bonded directly to the same hydrocarbon group.
| |||
441 | Carbocyclic ring having silicon as part of one substituent and the -COO- as part of another substituent | ||
This subclass is indented under subclass 437. Compounds containing a carbocyclic ring which has at least
two substituents, one of which contains silicon and another one
of which contains the -COO- group.
| |||
442 | Silicon is bonded directly to the oxy of the -COO- group | ||
This subclass is indented under subclass 437. Compounds in which silicon is bonded directly to the oxy
of the -COO- group.
| |||
443 | Plural silicons attached by a chain consisting of oxygen and carbon, which chain may be part of a ring | ||||
This subclass is indented under subclass 400. Compounds in which at least two silicons are attached to
each other by a chain consisting of oxygen and carbon, which chain
may be part of a ring.
SEE OR SEARCH CLASS:
| |||||
444 | Two carbons bonded directly to the same oxygen | ||
This subclass is indented under subclass 443. Compounds in which two carbons are bonded directly to the
same oxygen, i.e., compounds containing an ether linkage.
| |||
445 | Two carbons bonded directly to the same oxygen |
| This subclass is indented under subclass 400. Compounds in which two carbons are bonded directly to the
same oxygen, i.e., compounds containing an ether linkage.
| |
446 | Additional oxygen bonded directly to the silicon and to a group containing the oxygen and two carbons | ||
This subclass is indented under subclass 445. Compounds wherein an additional oxygen is bonded directly
both to the silicon and to the group which contains the oxygen and
two carbons.
| |||
447 | Two carbocyclic rings bonded directly to the oxygen | ||
This subclass is indented under subclass 445. Compounds in which the two carbons are ring members in carbocyclic
rings.
| |||
448 | One of the two carbons is part of a substituent on the oxygen, which substituent contains halogen and does not contain silicon or a benzene ring | ||
This subclass is indented under subclass 445. Compounds in which one of the carbons is part of a substituent
which contains halogen but does not contain either silicon or a
benzene ring.
| |||
449 | Hydroxy bonded directly to carbon or peroxy bonded directly to two carbons or to hydrogen and carbon (H of the hydroxy or the H bonded to the peroxy may be replaced by a substituted or unsubstituted ammonium ion or a Group IA or IIA light metal) | ||
This subclass is indented under subclass 400. Compounds in which an -OH group is bonded directly to carbon
or an -O-O group is bonded directly either to two carbons or to
hydrogen and carbon; wherein the H of the hydroxy or the H bonded
to the peroxy may be replaced by a substituted or unsubstituted
ammonium ion or a Group IA or IIA light metal.
| |||
450 | Two silicons bonded directly to the same oxygen |
| This subclass is indented under subclass 400. Compounds in which two silicons are bonded directly to the same oxygen. | |
451 | Hydrogen bonded directly to silicon | ||
This subclass is indented under subclass 450. Compounds in which hydrogen is bonded directly to silicon.
| |||
452 | Halogen bonded directly to silicon | ||
This subclass is indented under subclass 450. Compounds in which halogen is bonded directly to silicon.
| |||
453 | Three carbons bonded directly to the same silicon | ||
This subclass is indented under subclass 450. Compounds in which three carbons are bonded directly to
the same silicon.
| |||
454 | Halogen attached indirectly to silicon by nonionic bonding | ||
This subclass is indented under subclass 453. Compounds in which halogen is attached indirectly to silicon
by nonionic bonding.
| |||
455 | Three oxygens bonded directly to the same silicon | ||
This subclass is indented under subclass 453. Compounds in which three oxygens are bonded directly to
the same silicon.
| |||
456 | Three identical hydrocarbon groups bonded directly to the same silicon | ||
This subclass is indented under subclass 453. Compounds in which the three carbons are members of identical
hydro-carbon groups.
| |||
457 | Silicon and carbon bonded directly to the same oxygen | ||
This subclass is indented under subclass 450. Compounds in which silicon and carbon are bonded directly
to the same oxygen.
| |||
458 | Three oxygens each bonded directly to the same silicon and to carbon | ||
This subclass is indented under subclass 457. Compounds in which three oxygens are each bonded directly
to the same silicon and to carbon.
| |||
459 | Hydroxy bonded directly to silicon (H of hydroxy may be replaced by a substituted or unsubstituted ammonium ion or a Group IA or IIA light metal) may be replaced by a substituted or unsubstituted ammonium ion or a Group | ||||
This subclass is indented under subclass 450. Compounds in which -OH is bonded directly to silicon; wherein
the -H of the hydroxy may be replaced by a substituted or unsubstituted ammonium
ion or a Group IA or IIA light metal.
| |||||
460 | Ring consisting of silicon and oxygen | ||
This subclass is indented under subclass 450. Compounds containing a ring which includes at least one
atom each of oxygen and silicon, and contains no other elements
as ring members.
| |||
461 | Benzene ring containing | ||
This subclass is indented under subclass 460. Compounds which contain a benzene ring.
| |||
462 | Preparing by utilizing a siloxane reactant |
| This subclass is indented under subclass 450. Processes of preparing a siloxance compound utilizing a siloxance reactant. | |
463 | Hydroxy or peroxy bonded directly to the silicon (H of hydroxy may be replaced by a substituted or unsubstituted ammonium ion or a Group IA or IIA light metal) | ||
This subclass is indented under subclass 400. Compounds in which -OH or -O-O- is bonded directly to the
silicon; wherein the -H of the hydroxy may be replaced by a substituted
or unsubstituted ammonium ion or a Group IA or IIA light metal.
| |||
464 | Ring consisting of silicon, oxygen, and carbon | ||
This subclass is indented under subclass 400. Compounds containing a ring which includes at least one
atom each of silicon, oxygen, and carbon, and contains no other
elements as ring members.
| |||
465 | Carbon attached directly or indirectly to the silicon by nonionic bonding (e.g., silanes, etc.) | ||
This subclass is indented under subclass 400. Compounds in which carbon is attached directly or indirectly
to the silicon by nonionic bonding.
| |||
466 | Processes |
| This subclass is indented under subclass 465. Processes for the preparation of the silicon-containing compounds or for the treatment of such compounds. | |
467 | Plural silicons in a reactant |
| This subclass is indented under subclass 466. Processes in which a compound containing at least two silicons is utilized as a reactant. | |
468 | Bonded directly to each other |
| This subclass is indented under subclass 467. Processes in which plural silicons are bonded directly to each other. | |
469 | Interchange of radicals between silicon atoms (e.g., redistribution, disproportionation, transesterification, etc.) | ||||
This subclass is indented under subclass 466. Processes in which there is an interchange of radicals between
silicon atom, i.e., a shift of a radical, unchanged, from one silicon
atom to another silicon atom.
| |||||
470 | Forming group containing silicon and carbon bonded directly to the same oxygen (e.g., esters, etc.) | ||
This subclass is indented under subclass 466. Processes by which a group containing silicon and carbon
bonded directly to the same oxygen is formed.
| |||
471 | A silicon halide reacted with a hydroxy or oxirane-containing compound (H of hydroxy may be replaced by a substituted or unsubstituted ammonium ion or a Group IA or IIA light metal) |
| This subclass is indented under subclass 470. Processes in which a silicon halide is reacted with a hydroxy or oxirane-containing compound; wherein the -H of the hydroxy may be replaced by a substituted or unsubstituted ammonium ion or a Group IA or IIA light metal. | |
472 | Elemental silicon, silicon-containing alloy or metal silicide reactant |
| This subclass is indented under subclass 466. Processes in which elemental silicon, a silicon-containing alloy or a metal silicide reactant is utilized. | |
473 | Halogen, hydrogen halide, or a silicon halide utilized |
| This subclass is indented under subclass 472. Processes which additionally utilize halogen, hydrogen halide, or a silicon halide. | |
474 | Silicon to hydrogen bond formed |
| This subclass is indented under subclass 466. Processes whereby a silicon to hydrogen bond is formed. | |
475 | Dehydrohalogenation to produce carbon to carbon unsaturation |
| This subclass is indented under subclass 466. Processes in which carbon to carbon unsaturation is produced by dehydrohalogenation; i.e., the creation of a double or triple bond between adjacent carbon atoms by the removal of hydrogen and halogen. | |
476 | Halogenation of silicon-containing compound |
| This subclass is indented under subclass 466. Processes wherein a silicon-containing compound is halogenated. | |
477 | Silicon to halogen bond formed | ||
This subclass is indented under subclass 476. Processes whereby a silicon to halogen bond is formed.
| |||
478 | Silicon to carbon bond formed | ||
This subclass is indented under subclass 466. Processes whereby a silicon to carbon bond is formed.
| |||
479 | Carbon to carbon unsaturation reduced by addition of a silicon hydride |
| This subclass is indented under subclass 478. Processes in which carbon to carbon unsaturation is reduced by the addition of a silicon hydride to the adjacent carbon atoms with the subsequent formation of a silicon to carbon bond. | |
480 | Magnesium-containing reactant |
| This subclass is indented under subclass 478. Progress wherein a magnesium-containing reactant is utilized. | |
481 | By substitution of silicon bonded hydrogen |
| This subclass is indented under subclass 478. Processes whereby the silicon to carbon bond which is formed takes the place of a silicon to hydrogen bond. | |
482 | Silicon and carbon bonded directly to the same oxygen | ||||
This subclass is indented under subclass 465. Compounds in which both silicon and carbon are bonded directly
to the same oxygen.
SEE OR SEARCH CLASS:
| |||||
483 | Four oxygens bonded directly to the silicon | ||
This subclass is indented under subclass 482. Compounds in which four oxygens are bonded directly to the
silicon.
| |||
484 | Halogen bonded directly to the silicon | ||
This subclass is indented under subclass 482. Compounds in which halogen is bonded directly to the silicon.
| |||
485 | Halogen bonded directly to acyclic carbon | ||
This subclass is indented under subclass 482. Compounds in which halogen is bonded directly to an acyclic
carbon.
| |||
486 | Silicon and benzene ring bonded directly to the same oxygen | ||
This subclass is indented under subclass 482. Compounds in which oxygen is bonded directly to benzene
and silicon.
| |||
487 | Hydrogen bonded directly to the silicon | ||
This subclass is indented under subclass 465. Compounds in which hydrogen is bonded directly to the silicon.
| |||
488 | Halogen bonded directly to acyclic carbon | ||
This subclass is indented under subclass 465. Compounds in which halogen is bonded directly to an acyclic
carbon.
| |||
489 | Unsaturated carbocyclic ring containing | ||
This subclass is indented under subclass 465. Compounds which contain an unsaturated carbocyclic ring.
| |||
![[Search a list of Patent Appplications for class 556]](../as.gif)
![[List of Patents for class 556 subclass 1]](../ps.gif)


















































































































































































































































