CLASS 540, | ORGANIC COMPOUNDS -- PART OF THE CLASS 532-570 SERIES |
| Click here for a printable version of this file | |
SUBCLASSES
1 | HETEROCYCLIC CARBON COMPOUNDS CONTAINING A HETERO RING HAVING CHALCOGEN (I.E., OXYGEN, SULFUR, SELENIUM OR TELLURIUM) OR NITROGEN AS THE ONLY RING HETERO ATOMS | ||||||
This subclass is indented under subclass 1. Compounds under Class 532, ... which are heterocyclic carbon
compounds containing a hetero ring having chalcogen (i.e., oxygen,
sulfur, selenium or tellurium) or nitrogen as the only ring hetero
atoms.
SEE OR SEARCH CLASS:
| |||||||
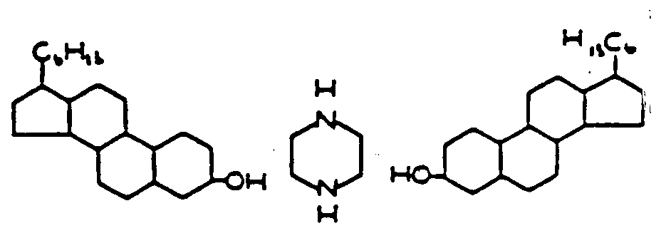
2 | Cyclopentanohydrophenanthrene ring system containing | ||||||||||||
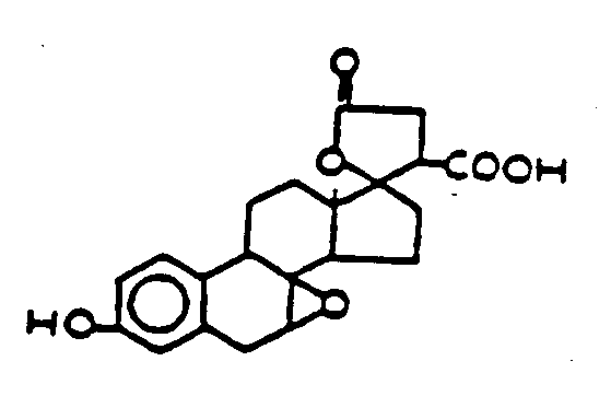
| This subclass is indented under subclass 1. Compounds which additionally contain the cyclopentanohydrophenanthrene
ring system, which may contain double bonds between its ring members;
i.e.,
SEE OR SEARCH CLASS:
| |||||||||||||
3 | Heavy metal or aluminum containing | ||||
This subclass is indented under subclass 2. Compounds which include aluminum or a metal having a specific
gravity greater than four.
| |||||
4 | Boron or silicon containing | ||
This subclass is indented under subclass 2. Compounds which contain boron or silicon.
| |||
5 | Phosphorus attached directly or indirectly to the cyclopentanohydrophenanthrene ring system by nonionic bonding | ||
This subclass is indented under subclass 2. Compounds wherein phosphorus is attached directly or indirectly
to the cyclopentanohydrophenanthrene ring system by nonionic bonding.
| |||
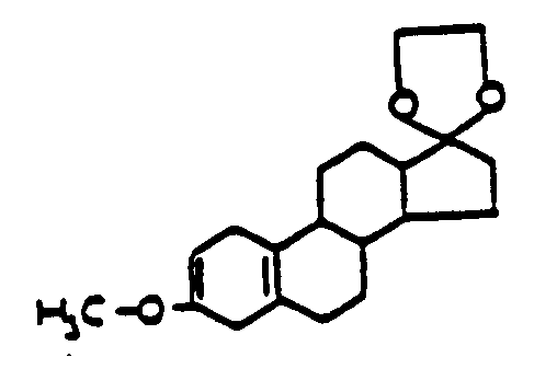
6 | Spiro | ||
This subclass is indented under subclass 2. Compounds which contain a spiro ring system.
| |||
7 | Plural spiro atoms | ||||
This subclass is indented under subclass 6. Compounds which contain at least two discrete spiro atoms.
| |||||
8 | The cyclopentanohydrophenanthrene ring system is part of a polycyclo ring system having at least five cyclos | ||
This subclass is indented under subclass 7. Compounds wherein the cyclopentanohydrophenanthrene ring
system is part of a polycyclo ring system having at least five cyclos.
| |||
9 | Nitrogen containing hetero ring as one of the cyclos of the polycyclo ring system | ||
This subclass is indented under subclass 8. Compounds which a nitrogen containing hetero ring is one
of the cyclos of the polycyclo ring system.
| |||
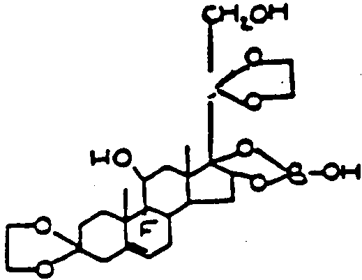
10 | The cyclopentanohydrophenanthrene ring system shares spiro atoms with two hetero rings, each of which contains two oxygens (e.g., 3,17-bis-ketals, etc.) | ||
This subclass is indented under subclass 7. Compounds in which the cyclopentanohydrophenanthrene ring
system shares spiro atoms with two hetero rings, each of which contains two
oxygens.
| |||
11 | The cyclopentanohydrophenanthrene ring system shares a spiro atom with a lactone ring (i.e., -C(=X)-O- is part of the ring, wherein X is chalcogen) | ||
This subclass is indented under subclass 7. Compounds in which the cyclopentanohydrophenanthrene ring
system shares a spiro atom with a lactone ring; i.e., - - O -, wherein
X is chalcogen (i.e., oxygen, sulfur, selenium or tellurium), and
is part of the ring.
| |||
12 | Plural oxygens in both rings which share a spiro atom (e.g., 17,20;20,21 bismethylenedioxy-pregnanes, etc.) | ||
This subclass is indented under subclass 7. Compounds wherein both rings which share a spiro atom contain
at least two oxygens.
| |||
13 | Nitrogen, sulfur, cyano or -C(=X)-, wherein X is chalcogen, bonded directly to the cyclopentanohydrophenanthrene ring system | ||
This subclass is indented under subclass 12. Compounds in which nitrogen, sulfur, cyano or -C(=X)-,
wherein X is chalcogen (i.e, oxygen, sulfur, selenium or tellurium),
is bonded directly to the cyclopentanohydrophenanthrene ring system.
| |||
14 | Halogen attached directly or indirectly to the cyclopentanohydrophenanthrene ring system by acyclic nonionic bonding | ||
This subclass is indented under subclass 12. Compounds in which halogen is attached directly or indirectly
to the cyclopentanohydrophenanthrene ring system by acyclic nonionic bonding.
| |||
15 | The cyclopentanohydrophenanthrene ring system is part of a polycyclo ring system having at least five cyclos | ||
This subclass is indented under subclass 6. Compounds wherein the cyclopentanohydrophenanthrene ring
system is part of a polycyclo ring system having at least five cyclos.
| |||
16 | Hetero ring is one of the cyclos of the polycyclo ring system | ||
This subclass is indented under subclass 15. Compounds in which a hetero ring is one of the cyclos of
the polycyclo ring system.
| |||
17 | The hetero ring is five-membered, consisting of one oxygen and four carbons, and shares the spiro atom with a six-membered oxygen containing hetero ring (e.g., sapogenins, etc.) | ||
This subclass is indented under subclass 16. Compounds wherein the hetero ring is five-membered, consisting
of one oxygen and four carbons, and shares the spiro atom with a
six-membered hetero ring which contains oxygen.
| |||
18 | Purification or recovery |
| This subclass is indented under subclass 17. Processes wherein the cyclopentanohydrophenanthrene containing compound is separated from impurities or from the reaction medium. | |
19 | Chalcogen bonded directly at the 12-position of the cyclopentanohydrophenanthrene ring system (e.g., hecogenin, etc.) | ||
This subclass is indented under subclass 17. Compounds wherein chalcogen (i.e., oxygen, sulfur, selenim
or tellurium) is bonded directly at the 12-position of the cyclopentanohydrophenanthrene
ring system.
| |||
20 | Chalcogen bonded directly at the 11-position of the cyclopentanohydrophenanthrene ring system | ||
This subclass is indented under subclass 17. Compounds wherein chalcogen (i.e., oxygen, sulfur, selenium
or tellurium) is bonded directly at the 11-position of the cyclopentanohydrophenanthrene
ring system.
| |||
21 | Chalcogen bonded directly at the 7-position of the cyclopentanohydrophenanthrene ring system | ||
This subclass is indented under subclass 20. Compounds wherein chalcogen (i.e, oxygen, sulfur, selenium
or tellurium) is bonded directly at the 7-position of the cyclopentanohydrophenanthrene
ring system.
| |||
22 | Halogen, cyano, nitrogen or sulfur bonded directly to the cyclopentanohydrophenanthrene ring system | ||
This subclass is indented under subclass 17. Compounds wherein halogen, cyano,nitrogen or sulfur is bonded
directly to the cyclopentanohydrophenanthrene ring system.
| |||
23 | The spiro atom is the 17-position carbon of the cyclopentanohydrophenanthrene ring system | ||
This subclass is indented under subclass 16. Compounds in which the 17-position carbon of the cyclopentanohydrophenanthrene
ring system is the spiro atom.
| |||
24 | The hetero ring shares the 11,12,13-positions of the cyclopentanohydrophenanthrene ring system (i.e., bridged; e.g., 11,18-oxido steroids, etc.) | ||
This subclass is indented under subclass 16. Compounds in which the hetero ring shares the 11, 12, 13-positions
of the cyclopentanohydrophenanthrene ring system (i.e., C-ring bridge).
| |||
25 | The hetero ring is three-membered consisting of one oxygen and two carbons (e.g., oxirane, etc.) | ||
This subclass is indented under subclass 16. Compounds in which the hetero ring is three-membered consisting
of one oxygen and two carbons.
| |||
26 | The hetero ring shares the 5,6-positions of the cyclopentanohydrophenanthrene ring system | ||
This subclass is indented under subclass 25. Compounds wherein the three-membered hetero ring shares
the 5, 6-position of the cyclopentanohydrophenanthrene ring system
(i.e, ortho-fused to the B-ring).
| |||
27 | The hetero ring contains two chalcogens which are bonded directly at the 16 and 17-positions of the cyclopentanohydrophenanthrene ring system | ||
This subclass is indented under subclass 16. Compounds wherein the hetero ring contains two chalcogens
(i.e., oxygen, sulfur, selenium or tellurium) which are bonded directly
at the 16- and 17-positions of the cyclopentanohydrophenanthrene
ring system (i.e., orth-fused to the D-ring).
| |||
28 | The spiro includes the cyclopentanohydrophenanthrene ring system and a hetero ring | ||
This subclass is indented under subclass 6. Compounds in which the cyclopentanohydrophenanthrene ring
system shares a spiro atom with a hetero ring.
| |||
29 | Nitrogen in the spiro hetero ring | ||
This subclass is indented under subclass 28. Compounds in which the spiro hetero ring contains nitrogen.
| |||
30 | Sulfur in the spiro hetero ring | ||||
This subclass is indented under subclass 28. Compounds in which the spiro hetero ring contains sulfur.
| |||||
31 | Plural oxygens in the spiro hetero ring | ||
This subclass is indented under subclass 28. Compounds in which the spiro hetero ring contains at least
two oxygens.
| |||
32 | The A ring is a benzene ring | ||
This subclass is indented under subclass 31. Compounds in which the A ring of the cyclopentanohydrophenanthrene
ring system contains three alternating double bonds (i.e., is a benzene
ring).
| |||
33 | Chalcogen bonded directly to the spiro hetero ring | ||
This subclass is indented under subclass 31. Compounds wherein chalcogen (i.e., oxygen, sulfur, selenium
or tellurium) is bonded directly to the spiro hetero ring.
| |||
34 | The spiro hetero ring shares the 3-position carbon of the cyclopentanohydrophenanthrene ring system | ||
This subclass is indented under subclass 31. Compounds in which the spiro atom is the 3-position of the
cyclopentanohydrophenanthrene ring system.
| |||
35 | Halogen bonded directly to the cyclopentanohydrophenanthrene ring system | ||
This subclass is indented under subclass 34. Compounds in which halogen is bonded directly to the cyclopentanohydrophenanthrene ring
system.
| |||
36 | Nitrogen attached directly or indirectly to the cyclopentanohydrophenanthrene ring system by nonionic bonding | ||
This subclass is indented under subclass 34. Compounds in which nitrogen is attached directly or indirectly
to the cyclopentanohydrophenanthrene ring system by nonionic bonding.
| |||
37 | Plural cyclic ketal rings containing (e.g., 3,20-bis-ketals, etc.) | ||
This subclass is indented under subclass 34. Compounds which contain at least two cyclic ketal rings.
| |||
38 | Chalcogen bonded directly at the 11-position of the cyclopentanohydrophenanthrene ring system | ||
This subclass is indented under subclass 34. Compounds in which chalogen (i.e., oxygen, sulfur, selenium
or tellurium) is bonded directly at the 11-position of the cyclopentanohydrophenanthrene
ring system.
| |||
39 | The cyclopentanohydrophenanthrene ring system is fully saturated | ||
This subclass is indented under subclass 34. Compounds wherein there are no double bonds between any
ring members of the cyclopentanohydrophenanthrene ring system.
| |||
40 | Carbon chain having carbon-to-carbon unsaturation bonded directly at the 17 position of the cyclopentanohydrophenanthrene ring system | ||
This subclass is indented under subclass 34. Compounds in which a carbon chain having carbon-to-carbon
unsaturation is bonded directly at the 17-position of the cyclopentanohydrophenanthrene
ring system.
| |||
41 | The spiro hetero ring contains -C(=X)-O-, wherein X is chalcogen, as part of the ring (e.g., spiro-lactones, etc.) | ||
This subclass is indented under subclass 28. Compounds in which-C-O-, wherein X is chalcogen (i.e., oxygen,
sulfur, selenium or tellurium), is part of the spiro hetero ring.
| |||
42 | Sulfur bonded directly to the cyclopentanohydrophenanthrene ring system | ||
This subclass is indented under subclass 41. Compounds in which sulfur is bonded directly to the cyclopentanohydrophenanthrene
ring system.
| |||
43 | Chalcogen bonded directly at the 11-position of the cyclopentanohydrophenanthrene ring system | ||
This subclass is indented under subclass 41. Compounds in which chalcogen (i.e., oxygen, sulfur selenium
or tellurium) is bonded directly at the 11-position of the cyclopentanohydrophenanthrene
ring system.
| |||
44 | Chalcogen, halogen, or nitrogen attached indirectly to the cyclopentanohydrophenanthrene ring system by acyclic nonionic bonding | ||
This subclass is indented under subclass 41. Compounds in which chalcogen (i.e., oxygen, sulfur, selenium
or tellurium), halogen or nitrogen is attached indirectly to the
cyclopentanohydrophenanthrene ring system by acyclic nonionic bonding.
| |||
45 | The spiro hetero ring is four-membered consisting of one oxygen and three carbons | ||
This subclass is indented under subclass 28. Compounds in which the spiro hetero ring is four-membered
consisting of one oxygen and three carbons.
| |||
46 | The spiro hetero ring is three-membered consisting of one oxygen and two carbons (e.g., oxirane, etc.) | ||
This subclass is indented under subclass 28. Compounds wherein the spiro hetero ring is three-membered
consisting of one oxygen and two carbons.
| |||
47 | The cyclopentanohydrophenanthrene ring system is part of a polycyclo ring system having at least five cyclos | ||
This subclass is indented under subclass 2. Compounds in which the cylopentanohydrophenanthrene ring
system is part of a polycyclo ring system having at least five cyclos.
| |||
48 | Hetero ring is one of the cyclos of the polycyclo ring system | ||
This subclass is indented under subclass 47. Compounds wherein a hetero ring is one of the cyclos of
the polycyclo ring system.
| |||
49 | The hetero ring contains nitrogen | ||
This subclass is indented under subclass 48. Compounds in which the hetero ring contains nitrogen.
| |||
50 | Plural nitrogens in the hetero ring | ||
This subclass is indented under subclass 49. Compounds in which the hetero ring contains at least two
nitrogens.
| |||
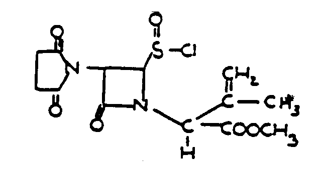
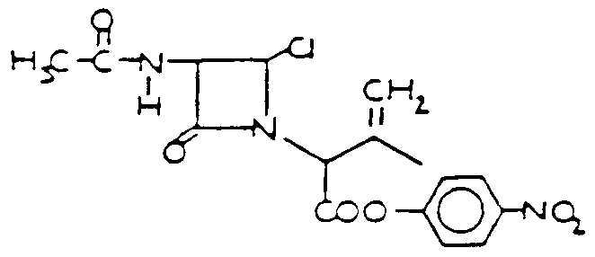
51 | The hetero ring is five-membered | ||
This subclass is indented under subclass 50. Compounds in which the hetero ring is five-membered.
| |||
52 | The hetero ring consists of two nitrogens and three carbons and is ortho fused to the A ring | ||
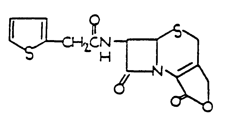
This subclass is indented under subclass 51. Compounds wherein the hetero ring consists of two nitrogens
and three carbons and is ortho-fused to the A ring.
| |||
53 | Having -C(=X)-, wherein X is chalcogen, bonded directly at the 17-position of the cyclopentanohydrophenanthrene ring system | ||
This subclass is indented under subclass 52. Compounds in which -C- wherein X is chalcogen (i.e., oxygen,
sulfur, selenium or tellurium) is bonded directly at the 17-position
of the cyclopentanohydrophenanthrene ring system.
| |||
54 | The hetero ring consists of two nitrogens and three carbons and is ortho fused to the D ring | ||
This subclass is indented under subclass 51. Compounds wherein the hetero ring consists of two nitrogens
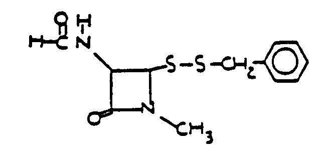
and three carbons and is ortho-fused to the D ring.
| |||
55 | Chalcogen in the hetero ring | ||
This subclass is indented under subclass 49. Compounds in which the hetero ring contains chalcogen (i.e.,
oxygen, sulfur, selenium or tellurium) in addition to the nitrogen.
| |||
56 | The hetero ring is five-membered | ||
This subclass is indented under subclass 55. Compounds in which the hetero ring is five-membered.
| |||
57 | The hetero ring is ortho-fused to the A ring | ||
This subclass is indented under subclass 56. Compounds in which the hetero ring is ortho-fused to the
A ring.
| |||
58 | The hetero ring is five-membered | ||
This subclass is indented under subclass 49. Compounds wherein the hetero ring is five-membered.
| |||
59 | The hetero ring contains sulfur | ||
This subclass is indented under subclass 48. Compounds wherein the hetero ring contains sulfur.
| |||
60 | The hetero ring is a cyclic anhydride (i.e., containing -C(=X)-O-C(=Y)- as part of the ring, wherein X and Y are chalcogen; e.g., 5,8-maleic anhydride adduct of 5,7,9(11)-pregnatrien-3,20-di-one, etc.) | ||
This subclass is indented under subclass 48. Compounds in which - - O - -, wherein X and Y may be the
same or diverse chalogens (i.e., oxygen, sulfur, selenium or tellurium),
is part of the hetero ring.
| |||
61 | The hetero ring contains plural oxygens | ||
This subclass is indented under subclass 48. Compounds wherein the hetero ring contains at least two
oxygens.
| |||
62 | Two of the cyclos share at least three ring members or a ring carbon is shared by three of the cyclos (e.g., bridged, peri-fused, etc.) | ||
This subclass is indented under subclass 61. Compounds wherein (a) at least three ring members of one
cyclo are ring members of an additional cyclo or (b) a ring carbon
is a member of three of the cyclos in the polycyclo ring system
(e.g., bridged or peri-fused, etc.).
| |||
63 | The hetero ring is ortho-fused to the D ring | ||
This subclass is indented under subclass 61. Compounds wherein the hetero ring is ortho-fused to the
D ring.
| |||
64 | At least six cyclos in the polycyclo ring system | ||
This subclass is indented under subclass 63. Compounds wherein the polycyclo ring system contains at
least six cyclos.
| |||
65 | Nitrogen or acyclic chalcogen bonded directly to the hetero ring (e.g., cyclic carbonates, etc.) | ||
This subclass is indented under subclass 63. Compounds wherein nitrogen or acyclic chalcogen (i.e., oxygen,
sulfur, selenium or tellurium) is bonded directly to the hetero
ring.
| |||
66 | The A ring is a benzene ring | ||
This subclass is indented under subclass 63. Compounds in which the A ring of the cyclopentanohydrophenanthrene
ring system contains three alternating double bonds (i.e., is a benzene
ring).
| |||
67 | Sulfur or nitrogen attached directly or indirectly to the cyclopentanohydrophenanthrene ring system by acyclic nonionic bonding | ||
This subclass is indented under subclass 63. Compounds in which sulfur or nitrogen is attached directly
or indirectly to the cyclopentanohydrophenanthrene ring system by
acyclic nonionic bonding.
| |||
68 | Halogen attached indirectly to the cyclopentanohydrophenanthrene ring system by acyclic nonionic bonding | ||
This subclass is indented under subclass 63. Compounds in which halogen is attached indirectly to cyclopentanohydrophenanthrene
ring system by acyclic nonionic bonding.
| |||
69 | Halogen bonded directly to the cyclopentanohydrophenanthrene ring system | ||
This subclass is indented under subclass 63. Compounds in which halogen is bonded directly to the cyclopentanohydrophenanthrene ring
system.
| |||
70 | Oxygen bonded directly at the 11-position of the cyclopentanohydrophenanthrene ring system | ||
This subclass is indented under subclass 69. Compounds in which oxygen is bonded directly at the 11-position
of the cyclopentanohydrophenanthrene ring system.
| |||
71 | Oxygen attached directly to the B ring or indirectly to the A or B ring by acyclic nonionic bonding | ||
This subclass is indented under subclass 63. Compounds in which oxygen is either (a) attached directly
to the B ring or (b) attached indirectly to the A or B ring by acyclic
nonionic bonding.
| |||
72 | The hetero ring is a lactone (i.e., containing -C(=X)-O- as part of the ring, wherein X is chalcogen) | ||
This subclass is indented under subclass 48. Compounds in which - - O -, wherein X is chalcogen (i.e.,
oxygen, sulfur, selenium or tellurium), is part of the hetero ring
(i.e., a lactone ring).
| |||
73 | The lactone ring shares at least three ring members with one other cyclo of the polycylo ring system (i.e., bridged) | ||
This subclass is indented under subclass 72. Compounds wherein the lactone ring shares at least three
ring members with an additional cyclo of the polycyclo ring system
(i.e., bridged).
| |||
74 | The lactone ring shares the 11,12,13-positions of the cyclopentanohydrophenanthrene ring system (e.g., 11, 18-lactones, etc.) | ||
This subclass is indented under subclass 73. Compounds wherein the lactone ring shares the 11, 12, 13-positions
of the cyclopentanohydrophenanthrene ring system (i.e., C ring bridge).
| |||
75 | The lactone ring shares a ring carbon with two other cyclos of the polycyclo ring system (e.g., peri-fused, etc.) | ||
This subclass is indented under subclass 72. Compounds wherein the lactone ring shares a ring carbon
with two other cyclos of the polycyclo ring system.
| |||
76 | The hetero ring is three-membered consisting of one oxygen and two carbons (e.g., oxirane, etc.) | ||
This subclass is indented under subclass 48. Compounds in which the hetero ring is three-membered consisting
of one oxygen and two carbons.
| |||
77 | The polycyclo ring system contains plural oxirane rings | ||
This subclass is indented under subclass 76. Compounds in which at least two oxirane rings are cyclos
of the polycyclo ring system.
| |||
78 | The hetero ring shares the 1,2-positions of the cyclopentanohydrophenanthrene ring system | ||||
This subclass is indented under subclass 76. Compounds in which the hetero ring is ortho-fused to the
A ring of the cyclopentanohydrophenanthrene ring system at the 1,2-positions.
| |||||
79 | The hetero ring shares the 4,5-positions of the cyclopentanohydrophenanthrene ring system | ||
This subclass is indented under subclass 76. Compounds in which the hetero ring is ortho-fused to the
A ring of the cyclopentanohydrophenanthrene ring system at the 4,5-positions.
| |||
80 | The hetero ring shares the 5,6-positions of the cyclopentanohydrophenanthrene ring system | ||
This subclass is indented under subclass 76. Compounds in which the hetero ring is ortho-fused to the
B ring of the cylopentanohydrophenanthrene ring system at the r6-positions.
| |||
81 | The hetero ring shares the 6,7-positions of the cyclopentanohydrophenanthrene ring system | ||
This subclass is indented under subclass 76. Compounds in which the hetero ring is ortho-fused to the
B ring of the cyclopentanohydrophenanthrene ring system at the 6,7-positions.
| |||
82 | The hetero ring shares the 11,12-positions of the cyclopentanohydrophenanthrene ring system | ||
This subclass is indented under subclass 76. Compounds in which the hetero ring is ortho-fused to the
C ring of the cyclopentanohydrophenanthrene ring system at the 11,
12-positions.
| |||
83 | The hetero ring shares the 14,15-positions of the cyclopentanohydrophenanthrene ring system | ||
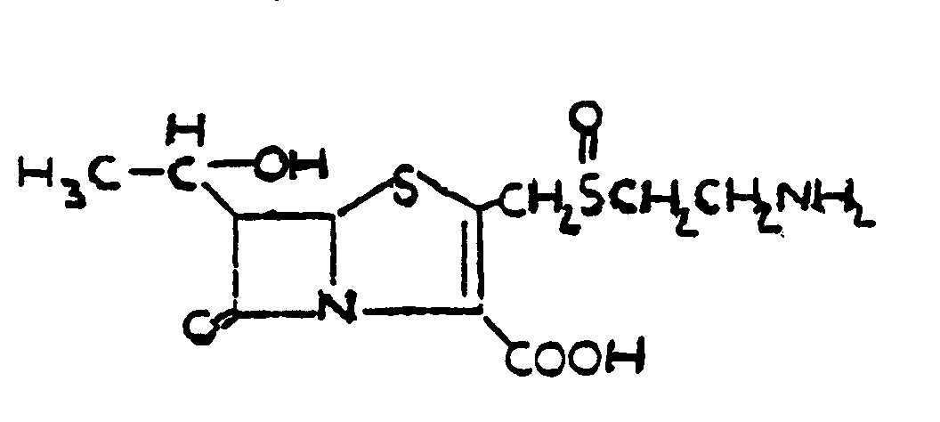
This subclass is indented under subclass 76. Compounds in which the hetero ring is ortho-fused to the
D ring of the cyclopentanohydrophenanthrene ring system at the 14,
15-positions.
| |||
84 | The hetero ring shares the 16,17-positions of the cyclopentanohydrophenanthrene ring system | ||
This subclass is indented under subclass 76. Compounds in which the hetero ring is ortho-fused to the
D ring of the cyclopentanohydrophenanthrene ring system at the 16,
17-positions.
| |||
85 | Halogen bonded directly to the cyclopentanohydrophenanthrene ring system | ||
Compounds under subclass in 84 which halogen is bonded directly
to the cyclopentanohydrophenanthrene ring system.
| |||
86 | Saturated A ring | ||
This subclass is indented under subclass 84. Compounds wherein the A ring is completely saturated; i.e.,
contains nor shares any double bonds between its ring members.
| |||
87 | The hetero ring shares the 9,11-positions of the cyclopentanohydrophenanthrene ring system | ||
This subclass is indented under subclass 76. Compounds in which the hetero ring is ortho-fused to the
C ring of the cyclopentanohydrophenanthrene ring system at the 9,11-positions.
| |||
88 | Halogen bonded directly to the cyclopentanohydrophenanthrene ring system | ||
Compounds under subclass in 87 which halgoen is bonded directly
to the cyclopentanohydrophenanthrene ring system.
| |||
89 | Having -C(=X)-, wherein X is chalcogen, bonded directly to the cyclopentanohydrophenanthrene ring system | ||
This subclass is indented under subclass 87. Compounds in which - C -, wherein X is chalcogen (i.e.,
oxygen, sulfur, selenium or tellurium), is bonded directly to the cyclopentanohydrophenanthrene
ring system.
| |||
90 | The hetero ring shares at least three ring members with one other cyclo of the polycyclo ring system (i.e., bridged) | ||
This subclass is indented under subclass 48. Compounds wherein the hetero ring shares at least three
ring members with one other cyclo of the polycyclo ring system (i.e.,
bridged).
| |||
91 | Bridge consisting of oxygen and carbon between the 6- and 10-positions of the cyclopentanohydrophenanthrene ring system (e.g., 6,19-oxido steroids, etc.) | ||
This subclass is indented under subclass 90. Compounds wherein the bridge consists of oxygen and carbon
and links the 6 - and 10-positions of the cyclopentanohydrophenanthrene
ring system.
| |||
92 | Bridge consisting of oxygen and carbon between the 11- and 13-positions of the cyclopentanohydrophenanthrene ring system (e.g., 11,18-oxido steroids, etc.) | ||
This subclass is indented under subclass 90. Compounds wherein the bridge consists of oxygen and carbon
links the 11- and 13-positions of the cyclopentanohydrophenanthrene ring
system.
| |||
93 | The hetero ring shares a ring carbon with two other cyclos of the polycyclo ring system (e.g., peri-fused, etc.) | ||
This subclass is indented under subclass 48. Compounds wherein the hetero ring shares a ring carbon with
two other cyclos of the polycyclo ring system.
| |||
94 | Hetero ring attached directly to the cyclopentanohydrophenanthrene ring system by nonionic bonding | ||
This subclass is indented under subclass 2. Compounds in which a hetero ring is attached directly to
the cyclopentanohydrophenanthrene ring system by nonionic bonding.
| |||
95 | The hetero ring contains nitrogen | ||
This subclass is indented under subclass 94. Compounds wherein the hetero ring contains nitrogen.
| |||
96 | Plural nitrogen containing hetero rings bonded directly to the cyclopentanohydrophenanthrene ring system | ||
This subclass is indented under subclass 95. Compounds wherein at least two nitrogens containing hetero
rings are bonded directly to the cyclopentanohydrophenanthrene ring
system.
| |||
97 | The hetero ring is bonded directly at the 3-position of the cyclopentanohydrophenanthrene ring system | ||
This subclass is indented under subclass 95. Compounds in which the hetero ring is bonded directly at
the 3-position of the cyclopentanohydrophenanthrene ring system.
| |||
98 | The A ring is a benzene ring | ||
This subclass is indented under subclass 97. Compounds in which the A ring of the cyclopentanohydrophenanthrene
ring system contains three alternating double bonds (i.e., is a benzene
ring).
| |||
99 | Halogen bonded directly to the cyclopentanohydrophenanthrene ring system | ||
This subclass is indented under subclass 97. Compounds in which halogen is bonded directly to the cyclopentanohydrophenanthrene ring
system.
| |||
100 | The hetero ring contains plural chalcogens | ||
This subclass is indented under subclass 94. Compounds in which the hetero ring contains at least two
chalogens (i.e., oxygen, sulfur, selenium or tellurium).
| |||
101 | The hetero ring and acyclic chalcogen are both bonded directly at the 17 position of the cyclopentanohydrophenanthrene ring system | ||
This subclass is indented under subclass 100. Compounds wherein both the hetero ring and acyclic chalcogen
(i.e., oxygen, sulfur, selenium or tellurium) are bonded directly
at the 17-position of the cyclopentanohydrophenanthrene ring system.
| |||
102 | The hetero ring contains -C(=X)-O-, wherein X is chalcogen, as part of the ring (e.g., lactones, etc.) | ||
This subclass is indented under subclass 94. Compounds in which - - O -, wherein is chalcogen (i.e.,
oxygen, sulfur, selenium or tellurium), is part of the hetero ring.
| |||
103 | Additional chalcogen, cyano, or -C(=X)-, wherein X is chalcogen, bonded directly to the hetero ring | ||
This subclass is indented under subclass 102. Compounds in which - CN, - -, wherein X is chalcogen (i.e.,
oxygen, sulfur, selenium or tellurium), or additional chalcogen
is bonded directly to the hetero ring.
| |||
104 | Nitrogen or sulfur attached directly or indirectly to the cyclopentanohydrophenanthrene ring system by nonionic bonding | ||
This subclass is indented under subclass 102. Compounds in which nitrogen or sulfur is attached directly
or indirectly to the cyclopentanohydrophenanthrene ring system
by nonionic bonding.
| |||
105 | Chalcogen bonded directly at the 14-position of the cyclopentanohydrophenanthrene ring system or double bond in the D ring (e.g., cardenolides, etc.) | ||
This subclass is indented under subclass 102. Compounds wherein chalcogen (i.e., oxygen, sulfur, selenium
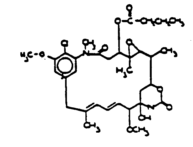
or tellurium) is bonded directly at the 14-position of the cyclopentanohydrophenanthrene
ring system or the D ring of the cyclopentanohydrophenanthrene ring
system contains a double bond.
| |||
106 | Nitrogen attached directly to the cyclopentanohydrophenanthrene ring system by nonionic bonding | ||
This subclass is indented under subclass 2. Compounds wherein nitrogen is attached directly to the cyclopentanohydrophenanthrene ring
system by nonionic bonding.
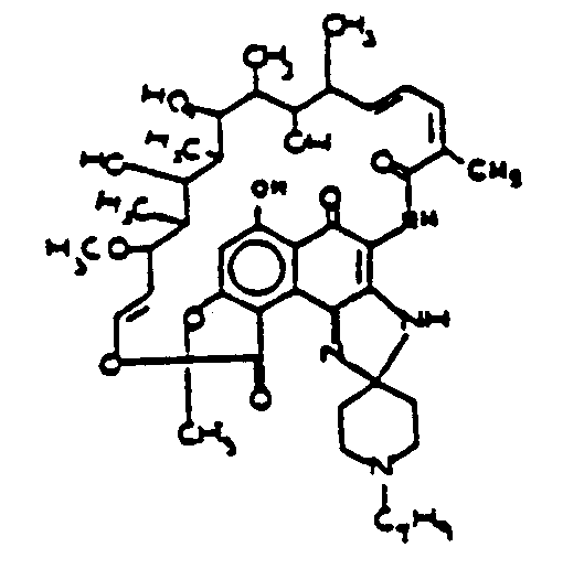
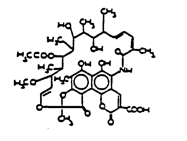
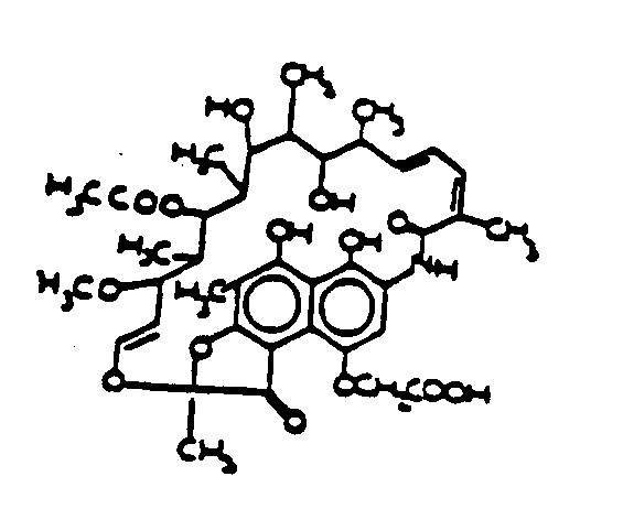
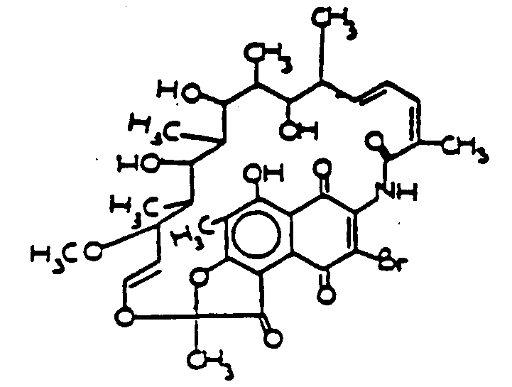
| |||
107 | Nitrogen containing hetero ring attached indirectly to the cyclopentanohydrophenanthrene ring system by nonionic bonding | ||
This subclass is indented under subclass 2. Compounds in which a nitrogen containing hetero ring is
attached indirectly to the cyclopentanohydrophenanthrene ring system
by nonionic bonding.
| |||
108 | The hetero ring is five-membered and has plural hetero atoms | ||
This subclass is indented under subclass 107. Compounds wherein the hetero ring is five-membered and contains
at least two hetero atoms.
| |||
109 | The hetero ring is in the 17-position substituent of the cyclopentanohydrophenanthrene ring system | ||
This subclass is indented under subclass 107. Compounds wherein the substituent at the 17-position of
the cyclopentanohydrophenanthrene ring system contains the hetero
ring.
| |||
110 | The hetero ring is bonded directly to a -C(=X)- group, wherein X is chalcogen | ||
This subclass is indented under subclass 108. Compounds in which thehetero ring is bonded directly to
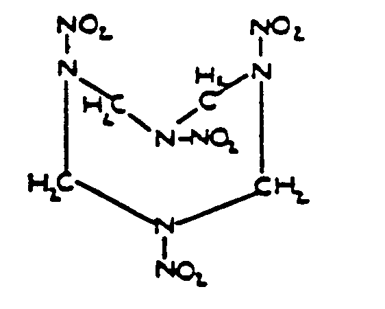
a - C - group, wherein X is chalcogen (i.e., oxygen, sulfur, selenium
or tellurium).
| |||
111 | Having -C(=X)-, wherein X is chalcogen, bonded directly at the 17-position of the cyclopentanohydrophenanthrene ring system | ||
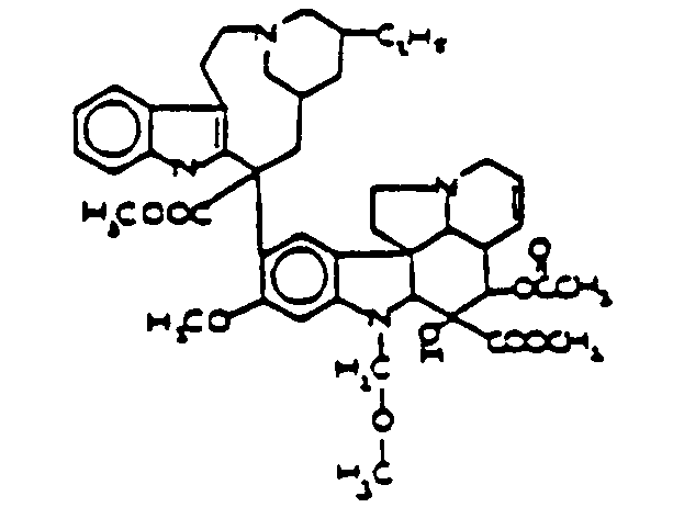
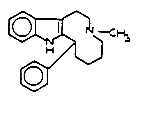
This subclass is indented under subclass 109. Compounds in which - C -, wherein X is chalcogen (i.e.,
oxygen, sulfur, selenium or tellurium), is bonded directly at the
17-position of the cyclopentanohydrophenanthrene ring system.
| |||
112 | Chalcogen or nitrogen in chain between the hetero ring and the cyclopentanohydrophenanthrene ring system | ||
This subclass is indented under subclass 109. Compounds wherein nitrogen or chalcogen (i.e, oxygen, sulfur,
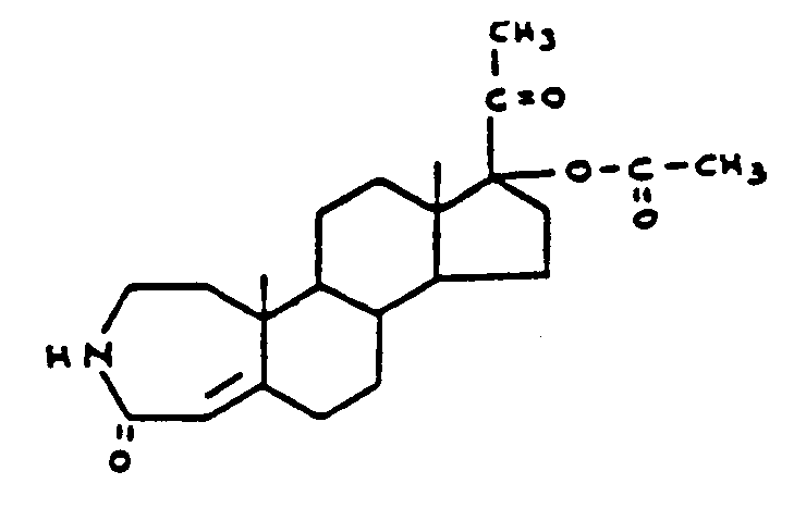
selenium or tellurium) is in the chain between the hetero ring and
cyclopentanohydrophenanthrene ring system.
| |||
113 | Chalcogen in chain between the hetero ring and the cyclopentanohydrophenanthrene ring system | ||
This subclass is indented under subclass 107. Compounds in which chalogen (i.e., oxygen, sulfur, selenium
or tellurium) is in the chain between the hetero ring and the cyclopentanohydrophenanthrene
ring system.
| |||
114 | Oxygen containing hetero ring attached indirectly to the cyclopentanohydrophenanthrene ring system by nonionic bonding | ||
This subclass is indented under subclass 2. Compounds in which an oxygen containing hetero ring is attached
indirectly to the cyclopentanohydrophenanthrene ring system by nonionic
bonding.
| |||
115 | The hetero ring contains -C(=X)-O-, wherein X is chalcogen, as part of the ring (e.g., lactones, etc.) | ||
This subclass is indented under subclass 114. Compounds wherein - - O -, wherein X is chalcogen (i.e.,
oxygen, sulfur, selenium or tellurium), is part of the hetero ring.
| |||
116 | Additional hetero atom in the oxygen containing hetero ring | ||
This subclass is indented under subclass 114. Compounds wherein the oxygen containing hetero ring contains
an additional hetero atom.
| |||
117 | The A ring is a benzene ring | ||
This subclass is indented under subclass 114. Compounds in which the A ring of the cyclopentanohydrophenanthrene
ring system contains three alternating double bonds (i.e., is a benzene
ring).
| |||
118 | The hetero ring is bonded directly to chalcogen which is bonded directly to the cyclopentanohydrophenanthrene ring system | ||
This subclass is indented under subclass 114. Compounds wherein the hetero ring is bonded directly to
chalcogen (i.e., oxygen, sulfur, selenium or tellurium), which chalcogen
is also bonded directly to the cyclopentanohydrophenanthrene ring
system.
| |||
119 | The chalcogen is bonded directly at the 17-position of the cyclopentanohydrophenanthrene ring system | ||
This subclass is indented under subclass 118. Compounds in which the chalcogen is bonded directly at the
17-position of the cyclopentanohydrophenanthrene ring system.
| |||
120 | Chalcogen attached indirectly to the cyclopentanohydrophenanthrene ring system by nonionic bonding | ||
This subclass is indented under subclass 2. Compounds in which chalcogen (i.e., oxygen. sulfur, selenium
or tellurium) is attached indirectly to the cyclopentanohydrophenanthrene ring
system by nonionic bonding.
| |||
121 | Azaporphyrins | ||
| This subclass is indented under subclass 1. Compounds characterized by the following basic structure,
illustrated below, which may contain double bonds between ring members and
wherein X is nitrogen or carbon, at least one X is nitrogen.
| |||
122 | Phthalocyanines | ||
| This subclass is indented under subclass 121. Compounds which have the following basic structure (phthalocyanine
ring system) wherein substitution may be made for hydrogen only:
SEE OR SEARCH THIS CLASS, SUBCLASS:
| |||
123 | Hetero ring attached directly or indirectly to the phthalocyanine ring system by nonionic bonding | ||
This subclass is indented under subclass 122. Compounds wherein an additional hetero ring is attached
directly or indirectly to the phthalocyanine ring system by nonionic
bonding.
| |||
124 | The hetero ring is six-membered having nitrogen as a ring member | ||
This subclass is indented under subclass 123. Compounds in which the hetero ring is six-membered and contains
nitrogen as a ring member.
| |||
125 | Plural hetero atoms in the six-membered hetero ring | ||
This subclass is indented under subclass 124. Compounds wherein the hetero ring contains at least two
hetero atoms.
| |||
126 | Triazines (including hydrogenated) | ||
This subclass is indented under subclass 125. Compounds in which the hetero ring consists of three nitrogens
and three carbons.
| |||
127 | The hetero ring is five-membered having plural hetero atoms, at least one of which is nitrogen | ||
This subclass is indented under subclass 123. Compounds in which the hetero ring is five-membered and
has plural hetero atoms, at least one of which is nitrogen.
| |||
128 | Boron, germanium, phosphorus or silicon containing |
| This subclass is indented under subclass 122. Compounds which contain boron, germanium, phosphorus or silicon. | |
129 | Having -C(=X)-, wherein X is chalcogen, bonded directly to ring carbon of the phthalocyanine ring system (e.g., tetracarboxy copper phthalocyanine, etc.) | ||
This subclass is indented under subclass 122. Compounds wherein a - - group, in which X is chalcogen
(i.e., oxygen, sulfur, selenium, or tellurium), is bonded directly
to a ring carbon of the phthalocyanine ring system.
| |||
130 | Having -C(=X)-, wherein X is chalcogen, attached indirectly to ring carbon of the phthalocyanine ring system by nonionic bonding (e.g., phthalocyanine acetic acids, etc.) | ||
This subclass is indented under subclass 122. Compounds wherein a - - group, in which X is a chalcogen
(i.e., oxygen, sulfur, selenium, or tellurium), is attached indirectly
to a ring carbon of the phthalocyanine ring system by nonionic bonding.
| |||
131 | Sulfonyl bonded directly to ring carbon of the phthalocyanine ring system | ||
This subclass is indented under subclass 122. Compounds wherein- - is attached directly to a ring carbon
of the phthalocyanine ring system.
| |||
132 | Chalcogen bonded directly to the sulfonyl group | ||
This subclass is indented under subclass 131. Compounds wherein chalcogen (i.e., oxygen, sulfur, selenium,
or tellurium) is bonded directly to the - - group.
| |||
133 | Nitrogen bonded directly to the sulfonyl group | ||
This subclass is indented under subclass 131. Compounds where nitrogen is bonded directly to the - - group.
| |||
134 | Additional nitrogen in the sulfonyl containing substituent | ||
This subclass is indented under subclass 133. Compounds wherein the sulfonyl containing substituent contains
an additional nitrogen atom.
| |||
135 | Nitrogen attached indirectly to ring carbon of the phthalocyanine ring system by acyclic nonionic bonding | ||
This subclass is indented under subclass 122. Compounds wherein nitrogen is attached indirectly to ring
carbon of the phthalocyanine ring system by acyclic nonionic bonding.
| |||
136 | Halogen bonded directly to ring carbon of the phthalocyanine ring system |
| This subclass is indented under subclass 122. Compounds wherein halogen (i.e., fluorine, chlorine, bromine, iodine, or astatine) is bonded directly ring carbon of the phthalocyanine ring system. | |
137 | At least eight halogens bonded directly to ring carbons of the phthalocyanine ring system |
| This subclass is indented under subclass 136. Compounds wherein at least eight halogen (i.e., fluorine, chlorine, bromine, iodine, or astatine) atoms are bonded directly to ring carbons of the phthalocyanine ring system. | |
138 | Processes of halogenating the phthalocyanine ring system |
| This subclass is indented under subclass 136. Processes for halogenating a ring carbon of the phthalocyanine ring system. | |
139 | Metal containing | ||
This subclass is indented under subclass 122. Compounds wherein the phthalocyanine ring system is bonded
to a metal.
| |||
140 | Heavy metal or aluminum containing |
| This subclass is indented under subclass 139. Compounds wherein the metal is aluminum or a metal having a specific gravity greater than 4. | |
141 | Specified crystalline form or processes of milling (e.g., alpha crystalline form, ball milling, acid milling, etc.) | ||
This subclass is indented under subclass 140. Compounds which are in a specified crystalline form, or
processes for milling heavy metal or aluminum containing phthalocyanines.
| |||
142 | Processes of forming the phthalocyanine ring system |
| This subclass is indented under subclass 140. Processes which include the formation of the phthalocyanine ring system. | |
143 | From reactant which contains plural cyano groups (e.g., preparing from phthalonitrile, etc.) |
| This subclass is indented under subclass 142. Processes wherein the phthalocyanine ring system is prepared from a reactant which contains plural cyano groups. | |
144 | From reactant which contains plural carbonyl groups (e.g., preparing from phthalic anhydride, etc.) |
| This subclass is indented under subclass 142. Processes wherein the phthalocyanine ring system is prepared from a reactant which contains plural carbonyl groups. | |
145 | Porphyrins (including hydrogenated; e.g., chlorophyll, etc.) | ||
| This subclass is indented under subclass 1. Compounds which have the following basic structure, which
may contain double bonds between ring members:
| |||
200 | Hetero ring is four-membered containing nitrogen and having chalcogen double bonded directly to a ring carbon which is adjacent to the ring nitrogen | ||
This subclass is indented under subclass 1. Compounds in which the hetero ring is four-membered, contains
nitrogen and has chalcogen (i.e., oxygen, sulfur, selenium or tellurium) double
bonded directly to a ring carbon which is adjacent to the ring nitrogen.
| |||
201 | Heavy metal containing | ||||
This subclass is indented under subclass 200. Compounds which include a metal having a specific gravity
greater than four.
| |||||
202 | Plural hetero atoms in the hetero ring | ||
This subclass is indented under subclass 200. Compounds wherein the hetero ring contains at least two
hetero atoms.
| |||
203 | Polycyclo ring system containing the hetero ring as one of the cyclos | ||
This subclass is indented under subclass 200. Compounds wherein the hetero ring is one of the cyclos of
a polycyclo ring system.
| |||
204 | The ring nitrogen is shared by a ring containing at least seven members | ||
This subclass is indented under subclass 203. Compounds in which the ring nitrogen is shared by a ring
containing at least seven members.
| |||
205 | The ring nitrogen is shared by a six-membered ring | ||
This subclass is indented under subclass 203. Compounds wherein the ring nitrogen is shared by a six-membered
ring.
| |||
214 | The six-membered ring contains sulfur | ||
This subclass is indented under subclass 205. Compounds wherein the six-membered ring contains sulfur.
| |||
215 | 1-thia-5-aza-bicyclo(4.2.0)octane (including unsaturated; e.g., cepham, etc.) | ||
| This subclass is indented under subclass 214. Compounds in which the polycyclo ring system has the following
basic structure; which may contain double bonds between ring members:
| |||
216 | The 1-thia-5-aza-bicyclo(4.2.0)oct-ane is part of a polycyclo ring system having at least three cyclos | ||
This subclass is indented under subclass 215. Compounds having a polycyclo ring system which contains
at least three cyclos, two of which are the cepham or cephem ring
system.
| |||
217 | Double bond between the 2,3-positions of the bicyclo ring system (e.g., 2 cephem, etc.) |
| This subclass is indented under subclass 215. Compounds in which there is a double bond between the carbon
atoms in the 2 - and 3 - positions of the ring system; i.e.,
| |
218 | Ring expansion to produce the bicyclo ring system |
| This subclass is indented under subclass 215. Processes in which a cepham or cephem ring system is produced
by the enlargement of the corresponding thiazole containing ring
system: (i.e., the structure below) in which the rings may contain
double bonds.
| |
219 | 7-amino cephalosporanic acid per se or salt thereof (i.e., 7-ACA or salt thereof) |
| This subclass is indented under subclass 215. Compounds which have the following structure (Fig. 1) or
salts thereof.
FIGURE 1. | |
220 | Purification or recovery |
| This subclass is indented under subclass 215. Processes wherein the cepham or cephem containing compound is separated from impurities or from the reaction medium. | |
221 | 7,7-disubstituted | ||
This subclass is indented under subclass 215. Compounds wherein both hydrogen atoms bonded to the carbon
atom in the 7-position of the cepham or cephem ring system have
been replaced by substituents.
| |||
222 | Additional hetero ring containing | ||
| This subclass is indented under subclass 215. Compounds which contain an additional hetero ring.
SEE OR SEARCH THIS CLASS, SUBCLASS:
| |||
223 | 2- or 4-position substituent contains hetero ring | ||
This subclass is indented under subclass 222. Compounds in which a substituent on either the 2 - or 4
- carbon atom of the cepham or cephem ring system contains or consists
of a hetero ring.
| |||
224 | 3-position substituent contains a pyridine ring (e.g., quinoline, thienopyridine, lutidines, etc.) |
| This subclass is indented under subclass 222. Compounds in which a substituent on the 3-position substituent contains a pyridine ring (e.g., quinoline, thienopyridine, lutidines, etc.). | |
225 | 7-position substituent contains hetero ring | ||
This subclass is indented under subclass 224. Compounds in which a substituent on the 7-position of the
cepham or cephem ring system contains or consists of a hetero ring.
| |||
226 | 3-position substituent contains sulfur |
| This subclass is indented under subclass 22. Compounds which have sulfur or a sulfur containing group attached to the 3-position of the cepham or cephem ring system. | |
227 | 7-position substituent contains hetero ring |
| This subclass is indented under subclass 226. Compounds in which a sustituent on the 7-position of the cepham or cephem ring system contains or consists of a hetero ring. | |
228 | Alkyl, hydroxyalkyl, alkoxyalkyl or alkanoyloxyalkyl bonded directly to 3 position | ||
This subclass is indented under subclass 22. Compounds in which have -alkyl, -alkyl-OH, -alkyl-O-alkyl,
or -alkyl-O--alkyl bonded directly at the 3-position of the cepham
or cephem ring system.
| |||
229 | Sulfur containing substituent | ||||
This subclass is indented under subclass 215. Compounds in which include sulfur bonded directly or indirectly
to the cepham or cephem ring system.
SEE OR SEARCH THIS CLASS, SUBCLASS:
| |||||
230 | Alkyl, hydroxyalkyl, alkoxyalkyl or alkanoyloxyalkyl bonded directly to 3 position |
| This subclass is indented under subclass 215. Compounds which have -alkyl, -alkyl-OH, -alkyl-O-alkyl, or -alkyl-O--alkyl bonded directly to the 3-position of the cepham or cephem ring system. | |
300 | The six-membered ring contains oxygen |
| This subclass is indented under subclass 205. Compounds wherein the six-membered ring contains oxygen. | |
301 | 1-oxa-5-aza-bicyclo(4.2.0)octane (including unsaturated) | ||
| This subclass is indented under subclass 300. Compounds in which the polycyclo ring system has the following
basic structure, which may contain double bonds between ring members:
| |||
302 | The ring nitrogen is shared by a five-membered ring | ||
This subclass is indented under subclass 203. Compounds wherein the ring nitrogen is shared by a five-membered
ring.
| |||
303 | The five-membered ring contains an additional hetero atom | ||
This subclass is indented under subclass 302. Compounds wherein the five-membered ring contains an additional
hetero atom.
| |||
304 | 1-thia-4-aza-bicyclo(3.2.0)hep-tane (including unsaturated; e.g., penam, etc.) | ||||||||||||
| This subclass is indented under subclass 303. Compounds in which the polycylo ring system has the following
basic structure, which may contain double bonds between ring members:
SEE OR SEARCH CLASS:
| |||||||||||||
305 | The 1-thia-4-aza-bicyclo(3.2.0)hep-tane is part of a polycyclo ring system having at least three cyclos | ||
This subclass is indented under subclass 304. Compounds in which the bicyclo ring system is part of a
polycyclo ring system containing at least three cyclos.
| |||
306 | Plural 1-thia-4-aza-bicyclo(3.2.0)hep-tane ring systems attached directly or indirectly to each other by nonionic bonding | ||
This subclass is indented under subclass 304. Compound in which at least two of the bicyclo ring systems
are attached directly or indirectly to each other by nonionic bonding.
| |||
307 | Spiro | ||
This subclass is indented under subclass 304. Compounds which contain a spiro ring system.
| |||
308 | The 6-position substituent contains phosphorus attached directly or indirectly to the bicyclo ring system by nonionic bonding | ||
This subclass is indented under subclass 304. Compounds wherein the substituent at the 6-position of the
bicyclo ring system contains phosphorus which is attached directly
or indirectly to the ring system by nonionic bonding.
| |||
309 | Nitrogen containing hetero ring attached directly at the 3-position of the bicyclo ring system | ||
This subclass is indented under subclass 304. Compounds in which nitrogen containing hetero ring is attached
directly at the 3-position of the bicyclo ring system.
| |||
310 | Having -C(=X)-, wherein X is chalcogen, bonded directly at the 3-position of the bicyclo ring system | ||
This subclass is indented under subclass 304. Compounds in which - C -, wherein X is chalogen (i.e., oxygen,
sulfur, selenium or tellurium), is bonded directly at the 3-position
of the bicyclo ring system.
| |||
311 | Nitrogen or hydrogen bonded directly to the -C(=X)- group | ||
| This subclass is indented under subclass 310. Compounds in which nitrogen or hydrogen is bonded directly
to
| |||
312 | Nitrogen bonded directly at the 6-position of the bicyclo ring system | ||||
This subclass is indented under subclass 310. Compounds in which nitrogen is bonded directly at the 6-position
of the bicyclo ring system.
| |||||
313 | The 2-position substituent contains chalcogen, nitrogen or halogen | ||
This subclass is indented under subclass 312. Compounds wherein the substituent at the 2-position of the
bicyclo ring system contains chalcogen, nitrogen or halogen.
| |||
314 | Having -C(=X)-, wherein X is chalcogen, single bonded directly to the nitrogen (e.g., penicillin F, etc.) | ||||
This subclass is indented under subclass 312. Compounds in which - -, wherein X is chalcogen (i.e, oxygen,
sulfur, selenium or tellurium), is single bonded directly to the
nitrogen at the 6-position; i.e., - - N
| |||||
315 | Processes utilizing penam containing compound |
| This subclass is indented under subclass 314. Processes which utilize penam containing compounds. | |
316 | Introduction of -C(=X)- group, wherein X is chalcogen, onto nitrogen (e.g., carboxamide formation, etc.) |
| This subclass is indented under subclass 315. Processes for the formation of - - N, group, wherein X is chalcogen (i.e., oxygen, sulfur, selenium or tellurium). | |
317 | Boron, silicon or phosphorus containing reactant |
| This subclass is indented under subclass 316. Processes utilizing a boron, silicon or phosphorus containing reactant. | |
318 | Esterification of the 3-position -C(=X)X- group, wherein the X's may be the same or diverse chalcogens |
| This subclass is indented under subclass 315. Processes whereby the 3-position - - X - group, wherein the X"s may be the same or diverse chalcogens, is esterified. | |
319 | Sulfur-oxidation, epimerization, 6-alkoxylation, de-esterification or reduction |
| This subclass is indented under subclass 315. Processes whereby the penam compound undergoes oxidation of sulfur, epimerization, de-esterification, reduction or alkoxyation at the 6-position. | |
320 | Formation of solvate or anhydrous forms, or special crystalline forms | ||
This subclass is indented under subclass 315. Processes for the formation of solvate or anhydrous forms,
or the formation of special crystalline forms.
| |||
321 | Conversion of amine salts to metal salts |
| This subclass is indented under subclass 315. Processes whereby amine salts or penam compounds are converted into metal salts. | |
322 | Purification utilizing solid adsorbent |
| This subclass is indented under subclass 315. Process whereby the penam compound is separated from impurities or from the reaction mixture in an atmosphere which utilizes a solid adsorbant. | |
323 | Base salt formation of 3-position -COOH group | ||
This subclass is indented under subclass 315. Process whereby a base salt of penam compound is formed.
| |||
324 | Extracting solid from solution | ||
This subclass is indented under subclass 315. Processes wherein a solids extracted from solution.
| |||
325 | The nitrogen is part of a hetero ring | ||||
This subclass is indented under subclass 314. Compounds in which the nitrogen at the 6-position is part
of a hetero ring.
| |||||
326 | Chalcogen, -C(=X)-, wherein X is chalcogen, or additional nitrogen bonded directly to the -C(=X)- group | ||
| This subclass is indented under subclass 314. Compounds wherein chalcogen (i.e., oxygen, sulfur, selenium
or tellurium), - - , wherein X is chalcogen, or additional nitrogen
is bonded directly to the - - group which is bonded directly to
the 6-position nitrogen; i.e.,
| |||
327 | Hetero ring or ring system bonded directly to the -C(=X)- group | ||||
This subclass is indented under subclass 314. Compounds wherein a hetero ring or a polycylo ring system
which contains a hetero ring as one of the cyclos is bonded directly
to the - - group.
| |||||
328 | Nitrogen containing ring or ring system attached by carbon or acyclic carbon chain to the -C(=X)- group | ||
This subclass is indented under subclass 314. Compounds wherein a nitrogen containing hetero ring or a
polycyclo ring system having a nitrogen containing ring as one of
the cyclos is attached by carbon or an acyclic carbon chain to the
- - group.
| |||
329 | Polycyclo heterocyclic ring system in 6-position substituent | ||||
This subclass is indented under subclass 314. Compounds in which a polycyclo heterocyclic ring system
is in the 6-position substituent.
| |||||
330 | The polycyclo ring system is attached directly to a -C(=X)-NH- group, wherein X is chalcogen and substitution may be made for hydrogen only, which group is between the polycyclo ring system and the 1-thia-4-aza bicyclo(3.2.0)hep-tane | ||||
This subclass is indented under subclass 329. Compounds wherein the polycyclo ring system is attached
directly to a - - NH - group, which group is between the polycyclo
ring system and the penam ring system; X is chalcogen (i.e., oxygen,
sulfur, selenium or tellurium) and substitution may be made for
hydrogen only.
SEE OR SEARCH THIS CLASS, SUBCLASS:
| |||||
331 | Acyclic nitrogen or azide attached indirectly to the -C(=X)- group by acyclic nonionic bonding | ||||
This subclass is indented under subclass 314. Compounds in which acyclic nitrogen or azide is in the 6-position
substituent attached indirectly the the - - group by acyclic nonionic bonding.
| |||||
332 | Having -C(=X)-, wherein X is chalcogen, bonded directly to the nitrogen | ||
This subclass is indented under subclass 331. Compounds in which- C - wherein X is chalcogen (i.e., oxygen,
sulfur, selenium or tellurium), is in the 6-position substituent
bonded directly to the nitrogen.
| |||
333 | Hetero ring bonded directly to the -C(=X)- group | ||||
This subclass is indented under subclass 332. Compounds in which a hetero ring is in the 6-position substituent
bonded directly to the - - group.
SEE OR SEARCH THIS CLASS, SUBCLASS:
| |||||
334 | Chalcogen, additional nitrogen or additional -C(=X)- bonded directly to the -C(=X)- group | ||
This subclass is indented under subclass 332. Compounds in which chalcogen (i.e., oxygen, sulfur, selenium
or tellurium), additional nitrogen or an additional - - , wherein
X is chalcogen, is in the 6-position substituent bonded (i.e., -
X - - - , - - - or - - - - indirect the to - - - which
is bonded directly at the 6- position.)
| |||
335 | Additional acyclic nitrogen or acyclic chalcogen in the 6-position substituent | ||||
This subclass is indented under subclass 331. Compounds wherein an additional acyclic nitrogen or acyclic
chalcogen (i.e., oxygen, sulfur, selenium or tellurium) is in the
6-position substituent attached indirectly to the - - group by
nonionic bonding.
| |||||
336 | The -C(=X)- group, an unsubstituted benzene ring and -NHH bonded directly to the same carbon atom (e.g., ampicillin, etc.) | ||||
This subclass is indented under subclass 331. Compounds wherein the - C - group, an unsubstituted benzene
ring and the acyclic nitrogen, as a - NH2 group, are all bonded
directly to the same carbon atom.
| |||||
337 | Cycloaliphatic ring in 6-position substituent | ||
This subclass is indented under subclass 314. Compounds which contain a cycloaliphatic ring in the 6-position
substituent.
| |||
338 | Benzene or hetero ring in 6-position substituent | ||||
This subclass is indented under subclass 314. Compounds which contain a benzene ring or a hetero ring
in the 6-position substituent.
| |||||
339 | The ring is bonded directly to the -C(=X)- group | ||||
This subclass is indented under subclass 338. Compounds wherein the ring is bonded directly to the -
- group.
| |||||
340 | Having -C(=X)X-, wherein the X's may be the same or diverse chalcogens, in chain between the ring and the -C(=X)- group | ||
This subclass is indented under subclass 338. Compounds wherein the chain between the ring and the -
- group is a - - X - group, wherein the X"s may be the
same or diverse chalcogens, (i.e., oxygen, sulfur, selenium or tellurium).
| |||
341 | Chalcogen in the chain between the ring and the -C(=X)- group | ||||
This subclass is indented under subclass 338. Compounds wherein chalcogen (i.e., oxygen, sulfur, selenium
or tellurium) is in the chain between the ring and the - - group.
| |||||
342 | Unsubstituted hydrocarbyl chain between the ring and the -C(=X)- group | ||||
This subclass is indented under subclass 338. Compounds wherein the ring is bonded directly to a hydrocarbyl
chain which chain is bonded directly to the -- group.
| |||||
343 | Amine addition salts of 3-position -COOH group | ||
This subclass is indented under subclass 342. Compounds which are amine addition salts of the 3-position-COOH
group.
| |||
344 | Nitrogen containing hetero ring in the cation (i.e., amine moiety) | ||
This subclass is indented under subclass 343. Compounds wherein a nitrogen containing hetero ring is in
the cation; i.e., the penam compound is in the acid moiety, and
the nitrogen containing hetero ring is in the amine moiety.
| |||
345 | Plural nitrogens in the cation (i.e., amine moiety) | ||
This subclass is indented under subclass 343. Compounds wherein at least two nitrogens are in the cation;
the penam compound is in the anion.
| |||
346 | Processes |
| This subclass is indented under subclass 312. Processes for producing, purifying or recovering a compound which contains the 1-thia-4aza-bicyclo[3.2.0]-heptane ring system (penam) having - - bonded directly at the 3-position and nitrogen bonded directly at the 6-position. | |
347 | Bicyclo ring system which is 1-oxa-4-aza-bicyclo(3.2.0)hep-tane (including unsaturated) | ||||
| This subclass is indented under subclass 303. Compounds containing a bicyclo ring system having the following
basic structure, which may contain double bonds between ring members:
| |||||
348 | Acyclic carbon double bonded directly at the 2-position of the bicyclo ring system | ||
This subclass is indented under subclass 347. Compounds in which acyclic carbon is double bonded directly
at the 2-position of the bicyclo ring system.
| |||
349 | Chalcogen attached directly by a single bond to the carbon or to an acyclic carbon chain which contains the carbon | ||
This subclass is indented under subclass 348. Compounds in which chalcogen (i.e., oxygen, sulfur, selenium
or tellurium) is attached directly by a single bond to the carbon
or to an acyclic carbon chain which contains the carbon.
| |||
350 | The ring system is 4-aza-bicyclo(3.2.0)heptane (including unsaturated) and has sulfur bonded directly at the 2-position | ||||
| This subclass is indented under subclass 302. Compounds in which the ring system has the following basic
structure, which may contain double bonds between ring members,
and has sulfur bonded directly at the 2-position:
| |||||
351 | Thienamycin per se or salt thereof |
| This subclass is indented under subclass 350. Compounds which have the following structure, or salts thereof:
| |
352 | Five-membered hetero ring consisting of one nitrogen, one sulfur and three carbons as one of the cyclos of the polycyclo ring system | ||
This subclass is indented under subclass 203. Compounds wherein one of the cyclos of the polycyclo ring
system is a five-membered hetero ring consisting of one nitrogen,
one sulfur and three carbons.
| |||
353 | Double bond between ring members of the five-membered hetero ring | ||
This subclass is indented under subclass 352. Compounds which contain a double bond between ring members
of the five-membered hetero ring.
| |||
354 | Additional chalcogen bonded directly to the hetero ring | ||
This subclass is indented under subclass 200. Compounds wherein additional chalcogen (i.e., oxygen, sulfur,
selenium or tellurium) is bonded directly to the hetero ring.
| |||
355 | The additional chalcogen is bonded directly to the ring nitrogen | ||
This subclass is indented under subclass 354. Compounds wherein the additional chalcogen is bonded directly
to the ring nitrogen.
| |||
356 | The additional chalcogen is double bonded directly to the hetero ring | ||
This subclass is indented under subclass 354. Compounds wherein the additional chalcogen is double bonded
directly to the hetero ring.
| |||
357 | Having -C(=X)-, wherein X is chalcogen, bonded directly to the additional chalcogen | ||
This subclass is indented under subclass 354. Compounds in which- - wherein X is chalcogen (i.e., oxygen,
sulfur, selenium or tellurium) is bonded directly to the additional
chalcogem; i.e., -X-- bonded directly to the four-membered hetero
ring.
| |||
358 | The additional chalcogen is sulfur which is bonded directly to chalcogen | ||
This subclass is indented under subclass 354. Compounds wherein the additional chalcogen is sulfur which
also is bonded directly to chalcogen (i.e., oxygen, sulfur, selenium
or tellurium).
| |||
359 | The sulfur is double bonded directly to the chalcogen | ||
This subclass is indented under subclass 358. Compounds in which the sulfur is double bonded directly
to the additional chalcogen.
| |||
360 | Additional carbon bonded directly to the additional chalcogen | ||
This subclass is indented under subclass 354. Compounds wherein an additional carbon is bonded directly
to the addition chalcogen.
| |||
361 | Halogen attached directly at the 4-position of the hetero ring by nonionic bonding | ||
This subclass is indented under subclass 200. Compounds wherein halogen is attached directly at the 4-position
of the hetero ring by nonionic boinding.
| |||
362 | The 4-position of the hetero ring is unsubstituted or alkyl substituted only | ||
This subclass is indented under subclass 200. Compounds in which the 4-position of the hetero ring is
either unsubstituted or substituted by alkyl only.
| |||
363 | Nitrogen bonded directly at the 3-position of the hetero ring | ||
This subclass is indented under subclass 362. Compounds in which nitrogen is bonded directly at the 3-position
of the hetero ring.
| |||
364 | Nitrogen bonded directly at the 3-position of the hetero ring | ||
This subclass is indented under subclass 200. Compounds in which nitrogen is bonded directly at the 3-position
of the hetero ring.
| |||
450 | The hetero ring contains at least eight members including nitrogen and carbon | ||
This subclass is indented under subclass 1. Compounds wherein the hetero ring contains at least eight
members and has nitrogen and carbon as ring members.
| |||
451 | Chalcogen double bonded directly to a ring carbon of the hetero ring which is adjacent to the ring nitrogen (e.g., laurolactam, etc.) | ||
This subclass is indented under subclass 450. Compounds wherein chalcogen (i.e., oxygen, sulfur, selenium
or tellurium) is double bonded directly to a carbon of the hetero
ring which is adjacent to the nitrogen.
| |||
452 | Heavy metal, aluminum, boron or silicon containing | ||
This subclass is indented under subclass 451. Compounds which include a metal having a specific gravity
greater than four, aluminum, boron or silicon.
| |||
453 | Spiro | ||
This subclass is indented under subclass 451. Compounds which include a spiro ring system.
| |||
454 | Chalcogen in the hetero ring | ||
This subclass is indented under subclass 451. Compounds wherein the hetero ring contains chalcogen (i.e.,
oxygen, sulfur, selenium or tellurium).
| |||
455 | Polycyclo ring system which contains the hetero ring as one of the cyclos | ||
This subclass is indented under subclass 454. Compounds in which the hetero ring is one of the cyclos
of a polycyclo ring system.
| |||
456 | Two of the cyclos share at least three ring members or a ring member is shared by three of the cyclos (e.g., bridged, peri-fused, etc.) | ||
This subclass is indented under subclass 455. Compounds wherein (a) at least three members of one cyclo
are members of an additional cyclo in the polycyclo ring system,
or (b) one ring member is a member of three of the cyclos in the
polycyclo ring system (e.g., bridged, peri-fused, etc.).
| |||
457 | A five-membered cyclo of the polycyclo ring system consists of four ring carbons and one ring oxygen (e.g., fused rifamycins, etc.) | ||
This subclass is indented under subclass 456. Compounds wherein the polycyclo ring system contains a five-membered
cyclo which consists of four carbons and one oxygen.
| |||
458 | Tetracyclo ring system which contains the hetero ring as one of the cyclos (e.g., rifamycin S, etc.) | ||
This subclass is indented under subclass 457. Compounds in which the polycyclo ring system consists of
exactly four rings.
| |||
459 | Nitrogen, sulfur or halogen attached directly to the tetracyclo ring system by nonionic bonding | ||
This subclass is indented under subclass 458. Compounds in which nitrogen, sulfur or halogen is attached
directly to the tetracyclo ring system by nonionic bonding.
| |||
460 | Plural nitrogens in the hetero ring | ||
This subclass is indented under subclass 451. Compounds in which the hetero ring contains at least two
nitrogens.
| |||
461 | Polycyclo ring system which contains the hetero ring as one of the cyclos | ||
This subclass is indented under subclass 451. Compounds wherein the hetero ring is one of the cyclos of
a polycyclo ring system.
| |||
462 | Oxirane ring is one of the cyclos in the polycyclo ring system (e.g., maytansinol, etc.) | ||
This subclass is indented under subclass 461. Compounds wherein one of the cyclos of the polycyclo ring
system is three-membered consisting of one oxygen and two carbons.
| |||
463 | Nitrogen or additional chalcogen attached directly to the hetero ring by nonionic bonding | ||
This subclass is indented under subclass 451. Compounds wherein nitrogen or additional chalcogen is attached
directly to the hetero ring by nonionic bonding.
| |||
464 | Utilizing oximes, oxime salts, hydroxylamines, hydroxylamine salts or nitrosating agents to form the hetero ring (i.e., formation of the lactam ring) |
| This subclass is indented under subclass 451. Processes which utilize oximes (=NOH), oxime salts (=NO-cation), hedroxylamines (-N-OH), hydroxylamine salts (-N-O-cation) or nitrosating agents to form the lactam ring. | |
465 | Heavy metal or aluminum containing | ||||
This subclass is indented under subclass 450. Compounds which include aluminum or a metal having a specific
gravity greater that four.
| |||||
466 | Spiro | ||
This subclass is indented under subclass 450. Compounds which include a spiro ring system.
| |||
467 | The hetero ring contains chalcogen | ||
This subclass is indented under subclass 450. Compounds in which the hetero ring contains chalcogen (i.e.,
oxygen, sulfur, selenium or tellurium).
| |||
468 | Polycyclo ring system which contains the hetero ring as one of the cyclos | ||
This subclass is indented under subclass 467. Compounds in which the hetero ring is one of the cyclos
of a polycyclo ring system.
| |||
469 | Plural nitrogens in the hetero ring | ||
This subclass is indented under subclass 468. Compounds in which the hetero ring contains at least two
nitrogens.
| |||
470 | The hetero ring contains plural nitrogens | ||
This subclass is indented under subclass 450. Compounds in which the hetero ring contains at least two
nitrogens.
| |||
471 | Polycyclo ring system which contains the hetero ring as one of the cyclos | ||
This subclass is indented under subclass 470. Compounds in which the hetero ring is one of the cyclos
of a polycyclo ring system.
| |||
472 | Two of the cyclos share at least three ring members or a ring member is shared by three of the cyclos (e.g., bridged, peri-fused, etc., toxiferin) | ||
This subclass is indented under subclass 471. Compounds wherein (a) at least three members of one cycol
in the polycyclo ring system, or (b) one ring member is a member
of three of the cyclos in the polycyclo ring system (e.g., bridged,
perl-fused, etc.).
| |||
473 | Bicyclo ring system which contains the hetero ring as one of the cyclos | ||
This subclass is indented under subclass 471. Compounds in which the polycyclo ring system consists of
exactly two rings.
| |||
474 | The hetero ring contains at least three nitrogens | ||
This subclass is indented under subclass 470. Compounds in which the hetero ring contains at least three
nitrogens.
| |||
475 | Nitro bonded directly to ring nitrogen of the hetero ring (e.g., HMX, etc.) | ||
This subclass is indented under subclass 474. Compounds in which nitro (i.e., -NO2) is bonded directly
to a ring nitrogen of the hetero ring.
| |||
476 | Polycyclo ring system which contains the hetero ring as one of the cyclos | ||
This subclass is indented under subclass 450. Compounds in which the hetero ring is one of the cyclos
of a polycyclo ring system.
| |||
477 | Two of the cyclos share at least three ring members or a ring member is shared by three of the cyclos (e.g., bridged, peri-fused, etc.) | ||
This subclass is indented under subclass 476. Compounds wherein (a) at least three members of one cyclo
are members of an additional cyclo in the polycyclo ring system,
or (b) one ring member is a member of three of the cyclos in the
polycycol ring system (e.g., bridged, peri-fused, etc.).
| |||
478 | Containing additional heterocyclic polycyclo ring system having plural ring nitrogens (e.g., vinblastine, vincristine, etc.) | ||
This subclass is indented under subclass 477. Compounds which contain an additional polycyclo ring system
having at least two nitrogens.
| |||
479 | Tricyclo ring system which contains the hetero ring as one of the cyclos | ||
This subclass is indented under subclass 476. Compounds in which the polycyclo ring system consists of
exactly three rings.
| |||
480 | Additional hetero ring attached directly or indirectly to the hetero ring by nonionic bonding | ||
This subclass is indented under subclass 450. Compounds wherein an additional hetero ring is attached
directly or indirectly to the hetero ring by nonionic bonding.
| |||
481 | The additional hetero ring is six-membered and contains nitrogen | ||
This subclass is indented under subclass 480. Compounds in which the additional hetero ring is six-membered
and contains nitrogen.
| |||
482 | Chalcogen or nitrogen attached directly to the hetero ring by nonionic bonding | ||
This subclass is indented under subclass 450. Compounds in which nitrogen or chalcogen (i.e., oxygen,
sulfur, selenium or tellurium) is attached directly to the hetero
ring by nonionic bonding.
| |||
483 | Plural nitrogens attached indirectly to the hetero ring by acyclic nonionic bonding | ||
This subclass is indented under subclass 450. Compounds in which at least two nitrogens are attached indirectly
to the hetero ring by acyclic nonionic bonding.
| |||
484 | The hetero ring contains seven members including nitrogen and carbon |
| This subclass is indented under subclass 1. Compounds wherein the hetero ring contains seven members and has nitrogen and carbon as ring members. | |
485 | Chalcogen double bonded directly to a ring carbon adjacent to the ring nitrogen (e.g., caprolactam, etc.) | ||
This subclass is indented under subclass 484. Compounds wherein chalcogen (i.e., oxygen, sulfur, selenium
or tellurium) is double bonded directly to one of the ring carbons
of the hetero ring which is adjacent to the ring nitrogen.
| |||
486 | Heavy metal or aluminum containing | ||
This subclass is indented under subclass 485. Compounds which contain aluminum or a metal having a specific
gravity greater than four.
| |||
487 | Silicon or phosphorus attached directly or indirectly to the hetero ring by nonionic bonding | ||
This subclass is indented under subclass 485. Compounds in which phosphorus or silicon is attached directly
or indirectly to the hetero ring by nonionic bonding.
| |||
488 | Chalcogen in the hetero ring | ||
This subclass is indented under subclass 485. Compounds in which the hetero ring contains chalcogen (i.e.,
oxygen, sulfur, selenium or telluriun).
| |||
489 | Plural nitrogens in the hetero ring | ||
This subclass is indented under subclass 488. Compounds in which the hetero ring contains at least two
nitrogens.
| |||
490 | Bicyclo ring system having the hetero ring as one of the cyclos | ||
This subclass is indented under subclass 488. Compounds wherein the hetero ring is in a polycyclo ring
system which contains exactly two cyclos.
| |||
491 | The chalcogen and the nitrogen are in the 1,5-positions of the bicyclo ring system (e.g., 1,5-benzothiazepinone, etc.) | ||
| This subclass is indented under subclass 490. Compounds wherein the chalcogen and the nitrogen are in
the 1,5-positions of the bicyclo ring system; i.e.,
| |||
492 | Plural nitrogens in the hetero ring | ||
This subclass is indented under subclass 485. Compounds in which the hetero ring contains at least two
nitrogens.
| |||
493 | Tetracyclo ring system having the hetero ring as one of the cyclos | ||
This subclass is indented under subclass 492. Compounds wherein the hetero ring is in a polycyclo ring
system which contains exactly four cyclos.
| |||
494 | Nitrogen of the hetero ring is shared by an additional cyclo of the tetracyclo ring system | ||
This subclass is indented under subclass 493. Compounds wherein a nitrogen of the hetero ring is a member
of two of the cyclos in the tetracyclo ring system.
| |||
495 | Tricyclo ring system having the hetero ring as one of the cyclos | ||
This subclass is indented under subclass 492. Compounds wherein the hetero ring is in a polycyco ring
system which contains exactly three cyclos.
| |||
496 | Nitrogen of the hetero ring is shared by an additional cyclo of the tricyclo ring system | ||
This subclass is indented under subclass 495. Compounds wherein a nitrogen of the hetero ring is a member
of an additional cyclo the the tricyclo ring system.
| |||
497 | Additional hetero atom in the additional cyclo of the tricyclo ring system | ||
This subclass is indented under subclass 496. Compounds in which the additional cyclo of the tricyclo
ring system contains an additional hetero atom.
| |||
498 | The additional cyclo is five-membered consisting of nitrogen and carbon (e.g., imidazobenzodiazepinones, etc.) | ||
This subclass is indented under subclass 497. Compounds in which the additional cyclo is five-membered
and consists of nitrogen and carbon.
| |||
499 | The additional cyclo consists of three nitrogens and two carbons (e.g., triazolobenzodiazepinones, etc.) | ||
This subclass is indented under subclass 498. Compounds wherein the additional hetero ring consists of
three nitrogens and two carbons.
| |||
500 | Bicyclo ring system having the hetero ring as one of the cyclos | ||
This subclass is indented under subclass 492. Compounds wherein the hetero ring is in a polycylo ring
system which contains exactly two cyclos.
| |||
501 | At least three nitrogens in the hetero ring | ||
This subclass is indented under subclass 500. Compounds in which the hetero ring contains at least three
nitrogen atoms.
| |||
502 | At least three hetero atoms in the bicyclo ring system | ||
This subclass is indented under subclass 500. Compounds wherein the other cyclo of the bicyclo ring system
contains a hetero atom.
| |||
503 | Chalcogen in the bicyclo ring system | ||
This subclass is indented under subclass 502. Compounds wherein the other cyclo of the bicyclo ring system
contains chalcogen (i.e., oxygen, sulfur, selenium or tellurium).
| |||
504 | The bicyclo ring system is 1,4-benzodiazepine (including hydrogenated) | ||
| This subclass is indented under subclass 500. Compounds wherein the bicyclo ring system has the following
structure, which may contain double bonds between its members
| |||
505 | The chalcogen double bonded directly to the hetero ring is sulfur | ||
This subclass is indented under subclass 504. Compounds wherein the chalcogen double bonded directly to
the hetero ring is sulfur.
| |||
506 | Additional chalcogen bonded directly to ring carbon of the hetero ring | ||
This subclass is indented under subclass 504. Compounds wherein an additional chalcogen (i.e., oxygen,
sulfur, selenium or tellurium) is bonded directly to a ring carbon
of the hetero ring.
| |||
507 | The additional chalcogen is bonded directly at the 3-position of the bicyclo ring system | ||||
This subclass is indented under subclass 506. Compounds wherein the additional chalcogen is bonded directly
at the 3-position of the bicyclo ring system.
| |||||
508 | Nitrogen or -C(=X)-, wherein X is chalcogen, attached indirectly to the chalcogen by acyclic nonionic bonding | ||
This subclass is indented under subclass 507. Compounds in which nitrogen or - -, wherein X is chalcogen
(i.e., oxygen, sulfur selenium or tellurium), is in the 3-position
substituent and attached indirectly to the hetero ring by acyclic nonionic
bonding.
| |||
509 | Acyclic nitrogen bonded directly to the hetero ring | ||
This subclass is indented under subclass 504. Compounds in which acyclic nitrogen is bonded directly to
the hetero ring.
| |||
510 | Having -C(=X)-, wherein X is chalcogen, bonded directly to the hetero ring | ||
This subclass is indented under subclass 504. Compounds in which- C - wherein X is chalcogen (i.e., oxygen,
sulfur, selenium or tellurium), is bonded directly to the hetero
ring.
| |||
511 | Halogen bonded directly to the hetero ring | ||
This subclass is indented under subclass 504. Compounds in which halogen is bonded directly to the hetero
ring.
| |||
512 | Chalcogen attached indirectly to nitrogen of the hetero ring by acyclic nonionic bonding | ||
This subclass is indented under subclass 504. Compounds wherein chalcogen (i.e., oxygen, sulfur, selenium
or tellurium) is attached indirectly to a nitrogen of the hetero
ring by acyclic nonionic bonding.
| |||
513 | Sulfur, -C(=X)-, wherein X is chalcogen, or nitrogen, other than as nitro or nitroso, bonded directly to the carbocyclic ring of the bicyclo ring system | ||
This subclass is indented under subclass 504. Compounds in which sulfur, - - , wherein X is chalcogen
(i.e., oxygen, sulfur, selenium or tellurium), or nitrogen, other
than as nitro or nitroso (-NO2 or -NO) is bonded directly to the carbocyclic
ring of the bicyclo ring system.
| |||
514 | Nitrogen in the 1-position substituent of the bicyclo ring system | ||
This subclass is indented under subclass 504. Compounds wherein the 1-position substituent of the bicyclo
ring system contains nitrogen.
| |||
515 | Preparation by cyclizing benzophenones or imine derivatives thereof |
| This subclass is indented under subclass 504. Processes whereby benzophenones or imine derivative thereof are cyclized to form the bicyclo ring system. | |
516 | Preparation from a compound containing a different hetero ring |
| This subclass is indented under subclass 504. Processes whereby the compound containing the bicyclo ring system is prepared from a compound containing a different hetero ring. | |
517 | The bicyclo ring system is 1,5-benzodiazepine (including hydrogenated) | ||
| This subclass is indented under subclass 500. Compounds wherein the bicyclo ring system has the following
structure, which may contain double bonds between its members:
| |||
518 | Additional chalcogen double bonded directly to ring carbon of the hetero ring | ||
This subclass is indented under subclass 517. Compounds wherein an additional chalcogen (i.e., oxygen,
sulfur, selenium or tellurium) is double donded directly to a ring
carbon of the hetero ring.
| |||
519 | Polycyclo ring system which contains the hetero ring as one of the cyclos | ||
This subclass is indented under subclass 485. Compounds wherein the hetero ring is one of the cyclos of
a polycyclo ring system.
| |||
520 | Two of the cyclos share at least three ring members or a ring member is shared by three of the cyclos (e.g., bridged, peri-fused, etc.) | ||
This subclass is indented under subclass 519. Compounds wherein (a) at least three members of one cyclone
are members of an additional cyclone in the polycyclo ring system
or (b) one ring member is a member of three of the cyclos in the
polycyclo ring system (e.g., bridged, peri-fused, etc.).
| |||
521 | Plural hetero atoms in the polycyclo ring system | ||
This subclass is indented under subclass 519. Compounds wherein the polycyclo ring system contains at
least two hetero atoms.
| |||
522 | Tricyclo ring system which contains the hetero ring as one of the cyclos | ||
This subclass is indented under subclass 519. Compounds in which the polycyclo ring system consists of
exactly three rings.
| |||
523 | Bicyclo ring system which contains the hetero ring as one of the cyclos | ||
This subclass is indented under subclass 519. Compounds in which the polycyclo ring system consists of
exactly two rings.
| |||
524 | Additional hetero ring containing | ||
This subclass is indented under subclass 485. Compounds which contain at least two hetero rings.
| |||
525 | Plural seven-membered hetero rings | ||
This subclass is indented under subclass 524. Compounds which contains at least two seven-membered hetero
rings.
| |||
526 | Additional chalcogen bonded directly to the hetero ring | ||
This subclass is indented under subclass 485. Compounds wherein additional chalcogen (i.e., oxygen, sulfur,
selenium or tellurium) is bonded directly to the hetero ring.
| |||
527 | Nitrogen bonded directly to the hetero ring | ||
This subclass is indented under subclass 485. Compounds in which nitrogen is bonded directly to the hetero
ring.
| |||
528 | The nitrogen is bonded additionally only to hydrogen | ||
This subclass is indented under subclass 527. Compounds wherein the nitrogen is bonded additionally only
to hydrogen, i.e., -NH2.
| |||
529 | Having -C(=X)-, wherein X is chalcogen, bonded directly to the hetero ring | ||
This subclass is indented under subclass 485. Compounds in which- C - where X is chalcogen (i.e., oxygen,
sulfur, selenium or tellurium), is bonded directly to the hetero
ring.
| |||
530 | Halogen bonded directly to the hetero ring | ||
This subclass is indented under subclass 485. Compounds wherein halogen is bonded directly to the hetero
ring.
| |||
531 | Chalcogen or nitrogen attached indirectly to the hetero ring by nonionic bonding | ||
This subclass is indented under subclass 485. Compounds in which nitrogen or chalcogen (i.e., oxygen,
sulfur, selenium or tellurium) is attached indirectly to the hetero
ring by nonionic bonding.
| |||
532 | Preparing from a compound containing a hetero ring |
| This subclass is indented under subclass 485. Processes whereby the compound containing the seven-membered hetero ring is prepared from a heterocyclic compounds. | |
533 | The hetero ring is a lactam (i.e., -C(=X)-NH- is part of the ring, wherein X is chalcogen and substitution may be made for the hydrogen only) |
| This subclass is indented under subclass 532. Processes wherein the hetero ring in the heterocyclic reactant is a lactam; i.e., contains - - NH - as part of the ring, wherein X is chalcogen (i.e., oxygen, selenium or telluriun) and substitution may be made for the hydrogen only. | |
534 | Preparing from a compound containing a cycloaliphatic ring |
| This subclass is indented under subclass 485. Processes whereby the compound containing the seven-membered hetero ring is prepared from a compound containing a cycloaliphatic ring. | |
535 | The reactant is a cyclic oxime |
| This subclass is indented under subclass 534. Processes wherein the reactant is a cyclic oxime. | |
536 | Gas phase rearrangement |
| This subclass is indented under subclass 535. Processes wherein the reaction involves a rearrangement which occurs in a gaseous phase. | |
537 | Acyclic -C(=X)X-, wherein the X's are the same or diverse chalcogens, attached directly to the cycloaliphatic ring by nonionic bonding |
| Processes under 534 wherein acyclic - - X - , wherein the X"s are the same or diverse chalcogens (i.e., oxygen, sulfur, selenium or tellurium), is attached directly to the cycloaliphatic ring of the reactant by nonionic bonding. | |
538 | Cyclization to form the hetero ring |
| This subclass is indented under subclass 485. Processes whereby the hetero ring is formed by cyclization. | |
539 | Reactant contains a cyano group |
| This subclass is indented under subclass 538. Processes wherein a reactant contains a cyano group (i.e., -CN). | |
540 | Purification or recovery |
| This subclass is indented under subclass 485. Processes wherein the lactam is separated from impurities or from the reaction medium. | |
541 | Heavy metal or boron containing | ||||
This subclass is indented under subclass 484. Compounds which contain boron or a metal having a specific
gravity greater than four.
| |||||
542 | Phosphorus attached directly or indirectly to the hetero ring by nonionic bonding | ||
This subclass is indented under subclass 484. Compounds wherein phosphorus is attached directly or indirectly
to the hetero ring by nonionic bonding.
| |||
543 | Spiro | ||
This subclass is indented under subclass 484. Compounds which contain a spiro ring system.
| |||
544 | The hetero ring contains chalcogen | ||
This subclass is indented under subclass 484. Compounds in which the hetero ring contains chalcogen (i.e.,
oxygen, sulfur, selenium or tellurium).
| |||
545 | Plural nitrogens in the heterocyclic ring | ||
This subclass is indented under subclass 544. Compounds wherein the hetero ring contains at least two
nitrogens.
| |||
546 | Polycyclo ring system which contains the hetero ring as one of the cyclos | ||
This subclass is indented under subclass 544. Compounds wherein the hetero ring is one of the cyclos of
a polycyclo ring system.
| |||
547 | Tricyclo ring system which contains the hetero ring as one of the cyclos | ||
This subclass is indented under subclass 546. Compounds in which the polycyclo ring system consists of
exactly three rings.
| |||
548 | At least three ring hetero atoms in the tricyclo ring system | ||
This subclass is indented under subclass 547. Compounds wherein the tricyclo ring system contains at least
three hetero atoms.
| |||
549 | Sulfur and nitrogen are bonded directly to each other in the hetero ring | ||
This subclass is indented under subclass 547. Compounds wherin sulfur and nitrogen are bonded directly
to each other in the hetero ring.
| |||
550 | The nitrogen of the hetero ring is bonded directly to both remaining rings of the tricyclo ring system (e.g., dibenzo(b,e)(1,4)thiazepine, etc.) | ||
This subclass is indented under subclass 547. Compounds wherein the nitrogen of the hetero ring is bonded
directly to both carbocyclic rings of the tricyclo ring system.
| |||
551 | Nitrogen bonded directly to ring carbon of the hetero ring | ||
This subclass is indented under subclass 547. Compounds in which nitrogen is bonded directly to a ring
carbon of the seven-membered hetero ring.
| |||
552 | Bicyclo ring system which contains the hetero ring as one of the cyclos | ||
This subclass is indented under subclass 546. Compounds wherein the polycyclo ring system consists of
exactly two rings.
| |||
553 | The hetero ring contains plural nitrogens (e.g., 1,3-diazepines, etc.) | ||
This subclass is indented under subclass 484. Compounds in which the hetero ring contains at least two
nitrogens.
| |||
554 | The hetero ring contains at least three nitrogens | ||
This subclass is indented under subclass 553. Compounds in which the hetero ring contains three or more
nitrogens.
| |||
555 | Polycyclo ring system which contains the hetero ring as one of the cyclos | ||||
This subclass is indented under subclass 553. Compounds wherein the hetero ring is one of the cyclos of
a polycyclo ring system.
| |||||
556 | Two of the cyclos share at least three ring members or a ring member is shared by three of the cyclos (e.g., bridged, peri-fused, etc.) | ||
This subclass is indented under subclass 555. Compounds wherein (a) at least three members of one cyclo
are members of an additional cyclo in the polycyclo ring system,
or (b) one ring member is a member of three of the cyclos in the
polycyclo ring system (e.g., bridged, peri-fused, etc.).
| |||
557 | Tricyclo ring system which contains the hetero ring as one of the cyclos | ||
This subclass is indented under subclass 555. Compounds wherein the polycyclo ring system consists of
exactly three rings.
| |||
558 | Nitrogen of the hetero ring is shared by an additional cyclo of the tricyclo ring system | ||
This subclass is indented under subclass 557. Compounds wherein a nitrogen of the hetero ring is a member
of an additional cyclo in the tricyclo ring system.
| |||
559 | The additional cyclo has at least six ring members | ||
This subclass is indented under subclass 558. Compounds in which the additional cyclo has at least six
ring members.
| |||
560 | Chalcogen in the tricyclo ring system | ||
This subclass is indented under subclass 558. Compounds wherein one of the remaining cyclos of the tricyclo
ring system contains chalcogen (i.e., oxygen, sulfur, selenium or tellurium).
| |||
561 | The additional cyclo consists of one nitrogen and four carbons (e.g., diazepinoindoles, etc.) | ||
This subclass is indented under subclass 558. Compounds wherein the additional cyclo is five-membered
consisting of one nitrogen and four carbons.
| |||
562 | The additional cyclo consists of two nitrogens and three carbons (e.g., imidazobenzodiazepines, etc.) | ||
This subclass is indented under subclass 558. Compounds wherein the additional cyclo is five-membered
consisting of two nitrogens and three carbons.
| |||
563 | s-Triazolo(4,3-a)(1,4)-benzodi-azepines (including hydrogenated) | ||
| This subclass is indented under subclass 558. Compounds wherein the tricyclo ring system has the following
structure, which may contain double bonds between its members:
| |||
564 | Chalcogen, nitrogen, cyano or halogen bonded directly to ring carbon of the triazolo ring | ||
This subclass is indented under subclass 563. Compounds wherein nitrogen, halogen, cyano (i.e., -CN) or
chalcogen (i.e., oxygen, sulfur, selenium or tellurium) is bonded
directly to a ring carbon of the triazolo ring.
| |||
565 | Nitrogen attached indirectly to ring carbon of the triazolo ring by acyclic nonionic bonding | ||
This subclass is indented under subclass 563. Compounds wherein nitrogen is attached indirectly to ring
carbon of the triazolo ring by acyclic nonionic bonding.
| |||
566 | The unshared ring carbon of the triazolo ring is unsubstituted or alkyl substituted only | ||
This subclass is indented under subclass 563. Compounds in which the unshared ring carbon of the triazolo
ring is unsubstituted or substituted by alkyl only.
| |||
567 | Bicyclo ring system which contains the hetero ring as one of the cyclos | ||
This subclass is indented under subclass 555. Compounds wherein the polycyclo ring system consists of
exactly two rings.
| |||
568 | At least three ring hetero atoms in the bicyclo ring system | ||
This subclass is indented under subclass 567. Compounds wherein the other cyclo of the bicyclo ring system
contains a hetero atom.
| |||
569 | 1,4-benzodiazepines (including hydrogenated) | ||
| This subclass is indented under subclass 567. Compounds wherein the bicyclo ring system has the following
structure, which may contain double bonds between its members:
| |||
570 | Chalcogen bonded directly to ring carbon of the hetero ring | ||
This subclass is indented under subclass 569. Compounds in which chalcogen (i.e., oxygen, sulfur, selenium
or tellurium) is bonded directly to ring carbon of the hetero ring.
| |||
571 | Nitrogen bonded directly to ring carbon of the hetero ring | ||
This subclass is indented under subclass 569. Compounds wherein nitrogen is bonded directly to ring carbon
of the hetero ring.
| |||
572 | Chalcogen or nitrogen attached indirectly to ring carbon of the hetero ring by acyclic nonionic bonding | ||
This subclass is indented under subclass 571. Compounds wherein nitrogen or chalcogen (i.e., oxygen, sulfur,
selenium or tellurium) is attached indirectly to ring carbon of
the hetero ring by acyclic nonionic bonding.
| |||
573 | Chalcogen or nitrogen attached indirectly to ring carbon of the hetero ring by acyclic nonionic bonding | ||
This subclass is indented under subclass 569. Compounds wherein nitrogen or chalcogen (i.e., oxygen, sulfur,
selenium or tellurium) is attached indirectly to ring carbon of
the hetero ring by acyclic nonionic bonding.
| |||
574 | Formation of the 1,4-benzodiazepine ring system |
| This subclass is indented under subclass 569. Processes for the formation of the 1,4-benzodiazepine ring system, or hydrogenated forms thereof. | |
575 | The nitrogens are in the 1,4-positions of the hetero ring | ||
| This subclass is indented under subclass 553. Compounds wherein the hetero ring has the following structure,
which may contain double bonds between its members:
| |||
576 | Polycyclo ring system which contains the hetero ring as one of the cyclos | ||
This subclass is indented under subclass 484. Compounds wherein the hetero ring is one of the cyclos of
a polycyclo ring system.
| |||
577 | Plural nitrogens in the polycyclo ring system | ||
This subclass is indented under subclass 576. Compounds wherein an additional cyclo of the polycyclo ring
system contains nitrogen.
| |||
578 | Three or more hetero atoms in the polycyclo ring system | ||
This subclass is indented under subclass 577. Compounds wherein the polycyclo ring system contains at
least three hetero atoms.
| |||
579 | Nitrogen of the hetero ring is shared by an additional cyclo of the polycyclo ring system | ||
This subclass is indented under subclass 578. Compounds wherein the nitrogen of the hetero ring is a member
of an additional cyclo of the polycyclo ring system.
| |||
580 | The seven-membered hetero ring shares ring members with one other cyclo only | ||
This subclass is indented under subclass 577. Compounds wherein the seven-membered hetero ring shares
ring members with one other cyclo only.
| |||
581 | Two of the cyclos share at least three ring members or a ring carbon is shared by three of the cyclos (e.g., bridged, peri-fused, etc.) | ||
This subclass is indented under subclass 576. Compounds wherein (a) at least three members of one cyclo
are members of an additional cyclo in the polycyclo ring system,
or (b) one ring carbon is a member of three of the cyclos in the
polycyclo ring system (e.g., bridged, peri-fused, etc.).
| |||
582 | Bicyclo ring system which contains the hetero ring as one of the cyclos (e.g., 3-azabicyclo-(3.2.2)nonanes, etc.) | ||
This subclass is indented under subclass 581. Compounds wherein the polycylo ring system consists of exactly
two rings.
| |||
583 | Having -C(=X)-, wherein X is chalcogen, bonded directly to ring nitrogen of the bicyclo ring system | ||
This subclass is indented under subclass 582. Compounds in which- - wherein X is chalcogen (i.e., oxygen,
sulfur, selenium or tellurium), is bonded directly to the ring nitrogen
of the bicyclo ring system.
| |||
584 | Chalcogen or nitrogen attached directly to ring nitrogen of the bicyclo ring system by nonionic bonding | ||
This subclass is indented under subclass 582. Compounds wherein nitrogen of chalcogen (i.e., oxygen, sulfur,
selenium or tellurium) is attached directly to the ring nitrogen
of the bicyclo ring system by nonionic bonding.
| |||
585 | Chalcogen or nitrogen attached indirectly to ring nitrogen of the bicyclo ring system by acyclic nonionic bonding | ||
This subclass is indented under subclass 582. Compounds wherein nitrogen or chalcogen (i.e., oxygen, sulfur,
selenium or tellurium) is attached indirectly to the ring nitrogen
of the bicyclo ring system by acyclic nonionic bonding.
| |||
586 | Tricyclo ring system which contains the hetero ring as one of the cyclos | ||
This subclass is indented under subclass 576. Compounds wherein the polycylo ring system consists of exactly
three rings.
| |||
587 | The hetero ring shares ring members with each of two benzene rings in the tricyclo ring system (e.g., morphanthridines, etc.) | ||
This subclass is indented under subclass 586. Compounds wherein the hetero ring shares ring members with
each of two benzene rings in the tricyclo ring system.
| |||
588 | The nitrogen of the hetero ring is bonded directly to each of the two benzene rings (e.g., iminodibenzyl, etc.) | ||
This subclass is indented under subclass 587. Compounds wherein the nitrogen of the hetero ring is bonded
directly to each of the two benzene rings.
| |||
589 | Having -C(=X)-, wherein X is chalcogen, bonded directly to ring nitrogen of the tricyclo ring system | ||
This subclass is indented under subclass 588. Compounds in which- C - wherein X is chalcogen (i.e., oxygen,
sulfur, selenium or tellurium), is bonded directly to the ring nitrogen
of the tricyclo ring system.
| |||
590 | Nitrogen attached directly or indirectly to ring carbon of the hetero ring by acyclic nonionic bonding | ||
This subclass is indented under subclass 588. Compounds wherein nitrogen is attached directly or indirectly
to carbon of the hetero ring by acyclic nonionic bonding.
| |||
591 | Chalcogen attached directly or indirectly to the hetero ring by acyclic nonionic bonding | ||
This subclass is indented under subclass 588. Compounds wherein chalcogen (i.e., oxygen, sulfur, selenium
or tellurium) is attached directly or indirectly to the hetero ring
by acyclic nonionic bonding.
| |||
592 | Nitrogen attached indirectly to ring nitrogen of the hetero ring by acyclic nonionic bonding | ||
This subclass is indented under subclass 588. Compounds wherein nitrogen is attached indirectly to the
nitrogen of the hetero ring by acyclic nonionic bonding.
| |||
593 | Bicyclo ring system which contains the hetero ring as one of the cyclos | ||
This subclass is indented under subclass 576. Compounds wherein the polycyclo ring system consists of
exactly two rings.
| |||
594 | 3-Benzazepines (including hydrogenated) | ||
| This subclass is indented under subclass 593. Compounds wherein the cicyclo ring system has the following
structure, which may contain double bonds between its members:
| |||
595 | Benzene ring bonded directly to ring carbon of the hetero ring | ||
This subclass is indented under subclass 594. Compounds in which a benzene ring is bonded directly to
a ring carbon of the hetero ring.
| |||
596 | Additional hetero ring attached directly or indirectly to the hetero ring by nonionic bonding | ||
This subclass is indented under subclass 484. Compounds wherein an additional hetero ring is attached
directly or indirectly to the hetero ring by nonionic bonding.
| |||
597 | The additional hetero ring is six-membered and contains nitrogen | ||
This subclass is indented under subclass 596. Compounds wherein the additional hetero ring is six-membered
and contains nitrogen.
| |||
598 | Plural hetero atoms in the additional hetero ring | ||
This subclass is indented under subclass 597. Compounds wherein the additional hetero rings contains at
least two hetero atoms.
| |||
599 | Polycyclo ring system having the additional hetero ring as one of the cyclos | ||
This subclass is indented under subclass 598. Compounds wherein the additional hetero ring is one of the
cyclos of a polycyclo ring system.
| |||
600 | The additional hetero ring is 1,3-diazine (including hydrogenated) | ||
| This subclass is indented under subclass 599. Compounds wherein the additional hetero ring has the following
structure, which may contain double bonds between its members:
| |||
601 | The additional hetero ring is 1,3-diazine (including hydrogenated) | ||
| This subclass is indented under subclass 598. Compounds wherein the additional hetero ring has the following
structure, which may contain double bonds between its members:
| |||
602 | The additional hetero ring is five-membered and contains nitrogen | ||
This subclass is indented under subclass 596. Compounds wherein the additional hetero ring is five-membered
and contains nitrogen.
| |||
603 | Plural hetero atoms in the additional hetero ring | ||
This subclass is indented under subclass 602. Compounds wherein the additional hetero atoms.
| |||
604 | Chalcogen attached directly to the hetero ring by nonionic bonding | ||
This subclass is indented under subclass 484. Compounds in which chalcogen (i.e., oxygen, sulfur, selenium
or tellurium) is attached directly to the hetero ring by nonionic
bonding.
| |||
605 | Nitrogen attached directly to the hetero ring by nonionic bonding | ||
This subclass is indented under subclass 484. Compounds in which nitrogen is attached directly to the
hetero ring by nonionic bonding.
| |||
606 | Chalcogen, additional nitrogen, or -C(=X)-, wherein X is chalcogen, attached directly to the nitrogen by nonionic bonding | ||
This subclass is indented under subclass 605. Compounds wherein chalcogen (i.e., oxygen, sulfur, selenium
or tellurium), - - , wherein X is chalcogen, or additional nitrogen
is attached directly to the nitrogen by nonionic bonding.
| |||
607 | Having -C(=X)-, wherein X is chalcogen, bonded directly to nitrogen of the hetero ring | ||
This subclass is indented under subclass 484. Compounds in which- - wherein X is chalcogen (i.e., oxygen,
sulfur, selenium or tellurium) is bonded directly to the hetero
ring nitrogen.
| |||
608 | Chalcogen bonded directly to the -C(=X)- group | ||
This subclass is indented under subclass 607. Compounds wherein chalcogen (i.e., oxygen, sulfur, selenium
or tellurium) is bonded directly to the - - group.
| |||
609 | Chalcogen or nitrogen attached indirectly to the hetero ring by acyclic nonionic bonding | ||
This subclass is indented under subclass 484. Compounds wherein nitrogen or chalcogen (i.e., oxygen, sulfur,selenium
or tellurium) is attached indirectly to the hetero ring by acyclic nonionic
bonding.
| |||
610 | The chalcogen or nitrogen is multiple bonded to a carbon (e.g., cyano or carbonyl groups, etc.) | ||
This subclass is indented under subclass 609. Compounds in which the chalcogen or nitrogen is attached
directly to carbon by a multiple bond (i.e., double or triple bond).
| |||
611 | Benzene ring bonded directly to the hetero ring | ||
This subclass is indented under subclass 484. Compounds in which a benzene ring is bonded directly to
the hetero ring.
| |||
612 | The hetero ring is unsubstituted or alkyl substituted only | ||
This subclass is indented under subclass 484. Compounds wherein the hetero ring is either unsubstituted
or alkyl substituted only.
| |||
![[Search a list of Patent Appplications for class 540]](../as.gif)
![[List of Patents for class 540 subclass 1]](../ps.gif)


















































































































































































































































































































































































