CLASS 558, | ORGANIC COMPOUNDS -- PART OF THE CLASS 532-570 SERIES |
| Click here for a printable version of this file | |
SECTION I - CLASS DEFINITION
Class 558, Organic Compounds. In this series of classes, Class 558 is to be considered as an integral part of Class 260 (after class 556) and follows the schedule hierarchy, retaining all pertinent definitions and class lines of Class 260.
SUBCLASSES
1 | Thioimidate esters (i.e., compounds having the thioimidate group, HN=CH-S-, wherein substitution may be made for hydrogen only, bonded directly to carbon, which carbon may be single bonded to any atom but may be multiple bonded only to carbon) | ||||
This subclass is indented under subclass 1. Compounds under Class 532, ... wherein the thiomidate group,
HN=CH-S-, in which substitution may be made for hydrogen
only, is bonded direcctly to carbon, which carbon may be single
bonded to any atom but may be multiple bonded only to carbon.
SEE OR SEARCH CLASS:
| |||||
2 | Chalcogen bonded directly to the carbon of the thioimidate group (e.g., HN=C(OH)-S-, wherein substitution may be made for hydrogen only) | ||
This subclass is indented under subclass 1. Compounds wherin the carbon of the thioimidate group is
bonded directly to chalcogen (i.e., oxygen, sulfur, selenlum, or
tellurium).
| |||
3 | Oxygen attached directly to the nitrogen of the thioimidate group by nonionic bonding (i.e., HO-N=CH-S-, wherein substitution may be hydrogen only) | ||
This subclass is indented under subclass 1. Compounds wherein the nitrogen of the thioimidate group
is attached directly to oxygen by nonionic bonding.
| |||
4 | Nitrogen bonded directly to the carbon of the thioimidate group (i.e., pseudothioureas, HN=C(HNH)-S-, wherein substitution may be made for hydrogen only) | ||
Compounds under subclass wherein the carbon of the thiomidate
group is bonded directly to nitrogen.
| |||
5 | Chalcogen attached indirectly to the thioimidate group by acyclic nonionic bonding | ||
This subclass is indented under subclass 4. Compounds wherein the thioimidate group is attached indirectly
to chalcogen (i.e., oxygen, sulfur, selenium, or tellurium) by acyclic
nonionic bonding.
| |||
6 | Imidate esters (i.e., compounds having the imidate group, HN=CH-O-, wherein substitution may be made for hydrogen only, bonded directly to carbon, which carbon may be single bonded to any atom but may be multiple bonded only to carbon) | ||||
This subclass is indented under subclass 1. Compounds under Class 532, ... wherein the imidate group,
HN=CH-O, in which substitution may be made for hydrogen
only, is bonded directly to carbon, which carbon may be single bonded
to any atom but may be multiple bonded only to carbon.
SEE OR SEARCH CLASS:
| |||||
7 | Oxygen attached directly to the nitrogen of the imidate group by nonionic bonding (i.e., HO-N=CH-O-, wherein substitution may be made for hydrogen only) | ||
Compounds under subcclass 6 wherein the nitrogen of the
imidate group is attached directly to oxygen by nonionic bonding.
| |||
8 | Nitrogen bonded directly to the carbon of the imidate group (i.e., pseudoureas, HN=C(HNH)-O-, wherein substitution may be made for hydrogen only) | ||
This subclass is indented under subclass 6. Compounds wherein the carbon of the imidate group is bonded
directly to nitrogen.
| |||
9 | Carbon bonded directly to the nitrogen of the imidate group (e.g., N cyanoimidates, etc.) | ||
This subclass is indented under subclass 6. Compounds wherein the nitrogen of the imidate group is bonded
directly to carbon.
| |||
10 | Thiocyanate esters (i.e., compounds having the thiocyano group, -SCN, bonded directly to carbon, which carbon may be single bonded to any atom but may be multiple bonded only to carbon) | ||||
This subclass is indented under subclass 1. Compounds under Class 532, ... wherein the thiocyano group,
-S-C=N, is bonded directly to carbon, which carbon may
be single bonded to any atom but may be multiple bonded only to carbon.
SEE OR SEARCH CLASS:
| |||||
11 | Plural thiocyano groups attached to each other indirectly by nonionic bonding | ||
Compounds under 10 in which plural thiocyano groups are
attached indirectly to each other by nonionic bonding.
| |||
12 | Thiocyano and the carbonyl carbon of a -COO- group are attached to the same carbon or to a chain consisting of carbons, which chain may include ring members (e.g., terpene thiocyanoacyl compounds, etc.) | ||
This subclass is indented under subclass 10. Compounds wherein the carbonyl carbon of a -C(=0)0-
group and the thiocyano group are attached to the same carbon or
to a chain consisting off carbons, which chain may include ring
members.
| |||
13 | Thiocyano bonded directly to a benzene ring | ||
This subclass is indented under subclass 10. Compounds wherein a benzene ring is bonded directly to the
thiocyano group.
| |||
14 | Nitrogen or carbonyl attached indirectly to the thiocyano group by acyclic nonionic bonding | ||
This subclass is indented under subclass 10. Compounds wherein the thiocyano group is attached indirectly
to nitrogen or carbony1, -C(=0)-, by acyclic nonlonic
bonding.
| |||
15 | Sulfur or halogen attached indirectly to the thiocyano group by acyclic nonionic bonding | ||
This subclass is indented under subclass 10. Compounds wherein the thiocyano group is attached indirectly
to sulfur or halogen by acyclic nonionic bonding.
| |||
16 | Oxygen attached indirectly to the thiocyano group by acyclic nonionic bonding | ||
This subclass is indented under subclass 10. Compounds wherein the thiocyano group is attached indirectly
to oxygen by acyclic nonionic bonding.
| |||
17 | Isothiocyanate esters (i.e., compounds containing the isothiocyanate group, -N=C=S, bonded directly to carbon, which carbon may be single bonded to any atom but may be multiple bonded only to carbon) | ||
This subclass is indented under subclass 1. Compounds under Class 532, ... wherein the isothiocyanate
group, -N=C=S, is bonded directly to carbon, which
carbon may be single bonded to any atom but may be multiple bonded
only to carbon.
| |||
18 | Processes for forming the isothiocyanate group | ||
This subclass is indented under subclass 17. Processes wherein the isothioicyanate group is formed.
| |||
19 | Thiocyano, isocyanate, or isocyanide dihalide group containing compound utilized (i.e., -SCN, -N=C=O, or -N=CXX containing compound utilized wherein X is halogen) | ||
This subclass is indented under subclass 18. Processes underr ... in which there is utilized a thiocyano
(-S-C=N) compound, an isocyanate (-N=C=O)
compound, or an isocyanide dihalide (-N=CXX, wherein X
is halogen) compound.
| |||
20 | Sulfate esters ( i.e., compounds having the sulfate group, -O-S(=O)(=O)O-, bonded directly to at least one carbon, which carbon may be single bonded to any atom but may be multiple bonded only to carbon) | ||||
This subclass is indented under subclass 1. Compound under Class 532, ... which contain the sulfate
group, -0-S(=0)(=0)0- wherein at least one of
the single bonded oxygens is bonded directly to carbon, which carbon
may be single bonded to any atom, but may be multiple bonded only
to carbon.
SEE OR SEARCH CLASS:
| |||||
21 | With preservative or stabilizer |
| This subclass is indented under subclass 20. Products wherein the sulfate ester is mixed with a stabiliizing or preserving agent, whose sole function is to prevent physical or chemical change. | |
22 | Phosphorus attached directly or indirectly to the sulfate group by nonionic bonding | ||
This subclass is indented under subclass 20. Compounds in which the sulfate group is attached directly
or indirectly to phosphorus by nonionic bonding.
| |||
23 | Chalcogen bonded directly to the sulfate group | ||
This subclass is indented under subclass 20. Compounds in which the sulfate group is bonded directly
to chalcogen (i.e., oxygen, sulfur, selenium, or tellurium).
| |||
24 | Plural sulfate groups attached indirectly to each other by nonionic bonding | ||
This subclass is indented under subclass 20. Compounds in which plural sulfate groups are indirectly
attached to each other by nonionic bonding.
| |||
25 | Nitrogen attached indirectly to a sulfate group by acyclic nonionic bonding | ||
This subclass is indented under subclass 24. Compounds wherein a sulfate group is attached indirectly
to nitrogen by acyclic nonionic bonding.
| |||
26 | Additional chalcogen attached indirectly to a sulfate group by acyclic nonionic bonding | ||
This subclass is indented under subclass 24. Compounds wherein one of the sulfate groups is attached
indirectly to an additional chalcogen (i.e., oxygen, sulfur, selenium,
or tellurium) by acyclic nonionic bonding.
| |||
27 | Quaternary nitrogen containing | ||||
This subclass is indented under subclass 20. Compounds which contain a quaternary nitrogen.
| |||||
28 | Having -C(=X)-, wherein X is chalcogen, attached indirectly to the quaternary nitrogen | ||
This subclass is indented under subclass 27. Compounds wherein the quaternary nitrogen is attached indirectly
to -C(=X)-, wherein X is chalcogen (i.e., oxygen, sulfur,
selenium, or tellurium).
| |||
29 | Nitrogen attached indirectly to the sulfate group by acyclic nonionic bonding | ||
This subclass is indented under subclass 20. Compounds wherein the sulfate group is attached indirectly
to nitrogen by acyclic nonionic bonding.
| |||
30 | Having -C(=X)-, wherein X is chalcogen, bonded directly to the nitrogen |
| This subclass is indented under subclass 29. Compounds wherein the nitrogen is bonded directly to -C(=X)-,
wherein X is chalcogen (i.e., oxygen, sulfur, selenium, or tellurium).
| |
31 | Chalcogen attached indirectly to the sulfate group by acyclic nonionic bonding | ||
This subclass is indented under subclass 20. Compounds wherein the sulfate group is attached indirectly
to chalcogen (i.e., oxygen, sulfur, selenium or tellurium) by acyclic
nonionic bonding.
| |||
32 | The chalcogen, X, is part of a -C(=X)- group | ||
This subclass is indented under subclass 31. Compounds wherein the chalcogen X is in the following group:
-C(=X)-.
| |||
33 | The chalcogen is bonded directly to a ring | ||
This subclass is indented under subclass 31. Compounds wherein a ring is bonded directly to the chalcogen.
| |||
34 | Plural chalcogens attached indirectly to the sulfate group by acyclic nonionic bonding | ||
This subclass is indented under subclass 31. Compounds wherein the sulfate group is attached indirectly
to plural chalcogens by acyclic nonionic bonding.
| |||
35 | Halogen attached indirectly to the sulfate group by acyclic nonionic bonding | ||
This subclass is indented under subclass 20. Compounds wherein the sulfate group is attached indirectly
to halogen by acyclic nonionic bonding.
| |||
36 | Acyclic carbon chain containing carbon to carbon unsaturation attached directly to the sulfate group by nonionic bonding | ||
This subclass is indented under subclass 20. Compounds wherein the sulfate group is attached directly
to an acyclic carbon chain containing carbon to carbon unsaturation.
| |||
37 | Benzene ring attached directly or indirectly to the sulfate group by nonionic bonding | ||
This subclass is indented under subclass 20. Compounds wherein the sulfate group is attached directly
or indirectly to a benzene ring by nonionic bonding.
| |||
38 | Plural alkyl groups, or hydrogen and an alkyl group, bonded directly to the sulfate group, wherein the hydrogen may be replaced by substituted or unsubstituted ammonium, or by a Group IA or IIA light metal (e.g., ethyl hydrogen sulfate, methyl ammonium sulfate, diethyl sulfate, etc.) | ||
This subclass is indented under subclass 20. Compounds wherein the sulfate group is bonded directly to
plural alkyl groups, or to hydrogen and an alkyl group, wherein
the hydrogen may be replaced by a group 1A or 11A light metal or
by substituted or unsubstituted ammonium.
| |||
39 | Processes |
| This subclass is indented under subclass 38. Processes of preparing, purifying, recovering, or any treating of the compound. | |
40 | Heavy metal containing material utilized (e.g., as catalyst, promoter, etc.) | ||
This subclass is indented under subclass 39. Processes wherein heavy metal containing material is utilized.
| |||
41 | Reactant contains alcoholic -OH group (wherein H of -OH may be replaced by substituted or unsubstituted ammonium, or by a Group IA or IIA light metal) |
| This subclass is indented under subclass 39. Processes wherein there is employed as a reactant a compound having an alcoholic -OH group (wherein H of the -OH may be replaced by substituted or unsubstituted ammonium, or by a Group 1A or 11A light metal). | |
42 | Reactant contains acyclic or alicyclic carbon to carbon double bond |
| This subclass is indented under subclass 39. Processes wherein a reactant which contains an acyclic or alicyclic carbon to carbon double bond is employed. | |
43 | Purification or recovery |
| This subclass is indented under subclass 39. Processes which include separating the sulfate group containing compound from impurities or from the reaction mixture. | |
44 | Sulfonate esters (i.e., compounds having the sulfonate group, -O-S(=O)(=O) , wherein the single bonded oxygen is bonded directly to carbon, which carbon may be single bonded to any atom but may be multiple bonded only to carbon) | ||
This subclass is indented under subclass 1. Compounds under Class 532, ... which contain the sulfonate
group, -O-S (=O) (=O)-, wherein carbon is directly
bonded to the single bonded oxygen, which carbon may be single bonded
to any atom but may be multiple bonded only to carbon.
| |||
45 | Phosphorus attached directly or indirectly to the sulfonate group by nonionic bonding | ||
This subclass is indented under subclass 44. Compounds wherein the sulfonate group is attached directly
or indirectly to phosphorus by nonionic bonding.
| |||
46 | Plural sulfonate groups attached indirectly to each other by nonionic bonding | ||
Compounds under subclasses 44 wherein plural sulfonate groups
are attached indirectly to each other by nonionic bonding.
| |||
47 | Nitrogen attached directly or indirectly to a sulfonate group by nonionic bonding | ||
This subclass is indented under subclass 46. Compounds which a sulfonate group is attached directly or
indirectly to nitrogen by nonionic bonding.
| |||
48 | Nitrogen attached directly or indirectly to the sulfonate group by acyclic nonionic bonding | ||
This subclass is indented under subclass 44. Compounds wherein the sulfonate group is attached directly
or indirectly to nitrogen by acyclic nonionic bonding.
| |||
49 | The nitrogen is bonded directly to -C(=X)-, wherein X is chalcogen | ||
This subclass is indented under subclass 40. Compounds in which the nitrogen is bonded directly to -C(=X)-,
wherein X is chalcogen (i.e., oxygen, sulfur, selenium, or tellurium).
| |||
50 | Additional nitrogen attached directly or indirectly to the -C(=X)- group by acyclic nonionic bonding | ||
This subclass is indented under subclass 49. Compounds wherein the -C(=X)- group is attached
directly or indirectly to aditional nitrogen by acyclic nonionic
bonding.
| |||
51 | Chalcogen attached indirectly to the sulfonate group by acyclic nonionic bonding | ||
This subclass is indented under subclass 44. Compounds wherein the sulfonate group is attached indirectly
to chalcogen (i.e., oxygen, sulfur, selenium, or tellurium) by acyclic
nonionic bonding.
| |||
52 | The chalcogen, X, is in a -C(=X)- group | ||
This subclass is indented under subclass 51. Compounds wherein the chalcogen, X is in the following group:
| |||
53 | Halogen attached directly or indirectly to the sulfonate group by acyclic nonionic bonding | ||
This subclass is indented under subclass 44. Compounds wherein the sulfonate group is attached directly
or indirectly to halogen by acyclic nonionic bonding.
| |||
54 | Plural halogens attached indirectly to the sulfonate group by acyclic bonding | ||
This subclass is indented under subclass 53. Compounds wherein the sulfonate group is attached indirectly
to plural halogens by acyclic nonionic bonding.
| |||
55 | Acyclic carbon chain containing carbon to carbon unsaturation attached directly to the sulfonate group by nonionic bonding | ||
This subclass is indented under subclass 44. Compounds where the sulfonate group is attached directly
to an acyclic carbon chain containing carbon to carbon unsaturation.
| |||
56 | Benzene ring bonded directly to the sulfonate group | ||
This subclass is indented under subclass 44. Compounds wherein the sulfonate group is bonded directly
to a benzene ring.
| |||
57 | Alicyclic ring attached directly or indirectly to the sulfonate group by nonionic bonding | ||
This subclass is indented under subclass 56. Compounds wherein the sulfonate group is attached directly
or indirectly to an alicylic ring by nonionic bonding.
| |||
58 | Additional benzene ring containing | ||
This subclass is indented under subclass 56. Compounds which contain an additional benzene ring.
| |||
59 | Sulfite esters (i.e., compounds having the sulfite group, -O-S(=O)O-, bonded directly to at least one carbon, which carbon may be single bonded to any atom but may be multiple bonded only to carbon) | ||
This subclass is indented under subclass 1. Compounds under Class 532, ... which contain the sulfite
group, -O-S(=O)O-, wherein at least one of the single bonded
oxygens is bonded directly to carbon, which carbon may be single bonded
to any atom, but may be multiple bonded only to carbon.
| |||
60 | Chalcogen attached indirectly to the sulfite group by acyclic nonionic bonding | ||
This subclass is indented under subclass 59. Compounds in which the sulfite group is attached indirectly
to chalcogen (i.e., oxygen, sulfur, selenium, or tellurium) by acyclic
nonionic bonding.
| |||
61 | Sulfinate esters (i.e., compounds having the sulfinate group, -O-S(=O)-, wherein the single bonded oxygen is bonded directly to carbon, which carbon may be single bonded to any atom but may be multiple bonded only to carbon) | ||
This subclass is indented under subclass 1. Compounds under Class 532, ... which contain the sulfinate
group, -O-S(=O)-, wherein carbon is bonded directly to
the single bonded oxygen, which carbon may be single bonded to any atom,
but may be multiple bonded only to carbon.
| |||
62 | Sulfenate esters (i.e., compounds having the sulfenate group, -S-O-, wherein the oxygen is bonded directly to carbon, which carbon may be single bonded to any atom but may be multiple bonded only to carbon) | ||
This subclass is indented under subclass 1. Compounds under Class 532, ... which contain the sulfenate
group, -S-O-, wherein the oxygen is bonded directly to carbon, which
carbonmay be single bonded to any atom, but may be multiple bonded
only to carbon.
| |||
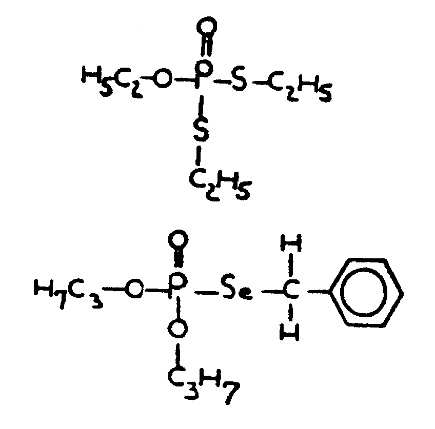
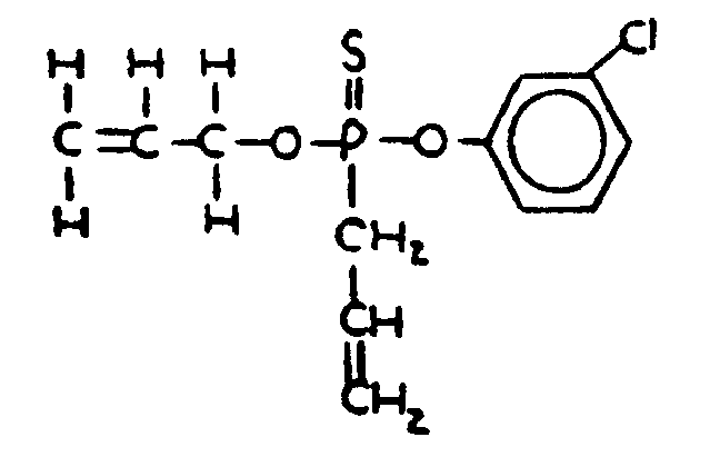
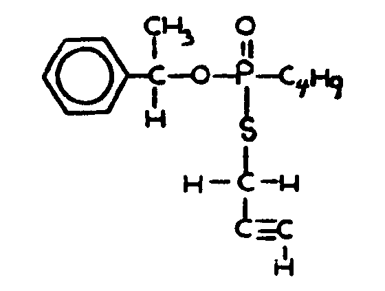
70 | Phosphorus esters (i.e., compounds having the phosphorus ester group, wherein trivalent or pentavalent phosphorus and carbon are bonded directly to the same divalent chalcogen, and wherein the carbon may be single bonded to any atom but may be multiple bonded only to carbon) | ||||
This subclass is indented under subclass 1. Compounds under Class 532, ... which contain a phosphorus
ester group, wherein trivalent or pentavalent phosphorus and carbon
are bonded directly to the same divalent chalcogen (i.e., oxygen,
sulfur, selenium, or tellurium), and wherein the carbon may be single
bonded to any element but may be multiple bonded only to carbon.
SEE OR SEARCH CLASS:
| |||||
71 | With preservative or stabilizer |
| This subclass is indented under subclass 70. Products which contain a phosphorus ester in admixture with a preservative or stabilizing agent whose sole function is to prevent physical or chemical change. | |
72 | Boron containing |
| This subclass is indented under subclass 70. Compounds which contain boron. | |
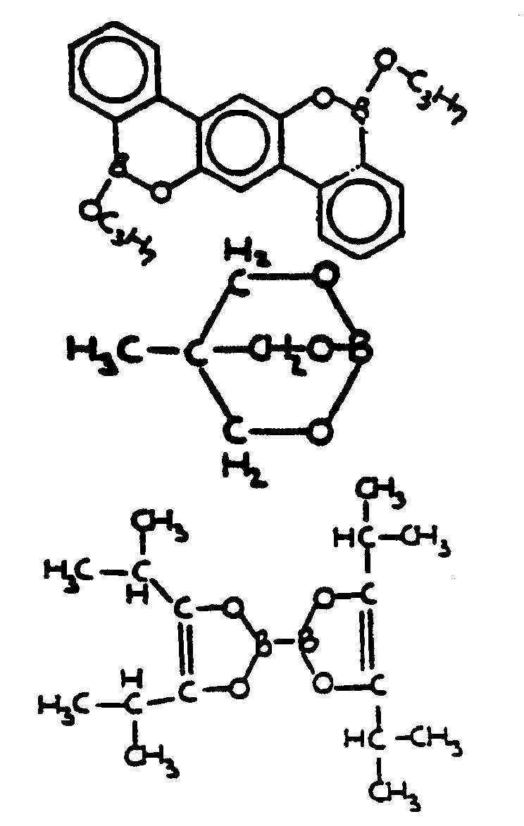
73 | The phosphorus is in a ring |
| This subclass is indented under subclass 70. Compounds wherein the phosphorus is part of a ring. | |
74 | Ring phosphorus is shared by two rings | ||
This subclass is indented under subclass 73. Compounds wherein the ring phosphorus is shared by two rings.
| |||
75 | Phosphorus and nitrogen in the same ring | ||
This subclass is indented under subclass 74. Compounds in which one of the rings contains phosphorus
and nitrogen.
| |||
76 | Additional phosphorus containing ring |
| This subclass is indented under subclass 73. Compounds which contain more than one phosphorus containing ring. | |
77 | Phosphorus, and two chalcogens bonded directly thereto, in the same ring (e.g., cyclic phosphonates, etc.) | ||
This subclass is indented under subclass 76. Compounds which contain a phosphorus atom with two chalcogens
(i.e., oxygen, sulfur, selenium, or tellurium) bonded directly thereto
in the same ring.
| |||
78 | Acyclic divalent chalcogen single bonded directly to the ring phosphorus (e.g., cyclic phosphites, etc.) | ||
This subclass is indented under subclass 77. Compounds wherein an acyclic divalent chalcogen (i.e., oxygen,
sulfur, selenium, or tellurium) is bonded directly to the ring phosphorus.
| |||
79 | And divalent chalogen double bonded directly to the ring phosphorus (e.g., cyclic phosphates, etc.) | ||
This subclass is indented under subclass 78. Compounds wherein a divalent chalcogen (i.e., oxygen, sulfur,
selenium, or tellurium) is double bonded directly to the ring phosphorus.
| |||
80 | And nitrogen in the ring | ||
This subclass is indented under subclass 73. Compounds wherein the phosphorus containing ring also contains
nitrogen as a ring member.
| |||
81 | And chalcogen or carbon in the ring | ||
This subclass is indented under subclass 80. Compounds wherein the phosphorus containing ring also contains
carbon or chalcogen (i.e., oxygen, sulfur, selenium, or tellurium)
as a ring member.
| |||
82 | And carbon and chalcogen in the ring | ||
This subclass is indented under subclass 73. Compounds wherein the phosphorus containing ring also contains
carbon and chalcogen (i.e., oxygen, sulfur, selenium, or tellurium)
as ring members.
| |||
83 | Plural chalcogens in the ring | ||
This subclass is indented under subclass 82. Compounds wherein the phosphorus containing ring contains
at least two ring chalcogens (i.e., oxygen, sulfur, selenium, or
tellurium).
| |||
84 | The ring phosphorus is attached directly to halogen or an acyclic nitrogen by nonionic bonding | ||
This subclass is indented under subclass 83. Compounds wherein the ring phosphorus is attached directly
to an acyclic nitrogen or to halogen by nonionic bonding.
| |||
85 | Acyclic divalent chalcogen single bonded directly to the ring phosphorus (e.g., cyclic phosphites, etc.) | ||
This subclass is indented under subclass 83. Compounds in which an acyclic divalent chalcogen (i.e.,
oxygen, sulfur, selenium, or tellurium) is single bonded directly
to the ring phosphorus.
| |||
86 | And divalent chalcogen double bonded directly to the ring phosphorus (e.g., cyclic phosphates, etc.) | ||
This subclass is indented under subclass 85. Compounds in which a divalent chalcogen (i.e., oxygen, sulfur,
selenium, or tellurium) is double bonded directly to the ring phosphorus.
| |||
87 | Processes | ||
| This subclass is indented under subclass 70. Processes for the preparation of phosphorus ester compounds
or for the treatment of these compounds.
SEE OR SEARCH THIS CLASS, SUBCLASS:
| |||
88 | Isomerization |
| This subclass is indented under subclass 87. Processes wherein there occurs transformation or rearrangement of the elements of a starting compound without the addition or removal of any elements. | |
89 | Forming the phosphorus ester group | ||
This subclass is indented under subclass 87. Processes in which a phosphorus ester group is formed.
| |||
90 | Reactant having halogen attached directly to phosphorus by nonionic bonding |
| This subclass is indented under subclass 89. Processes wherein a reactant contains halogen attached directly to phosphorus by nonionic bonding. | |
91 | And reactant having chalcogen-containing hetero ring |
| This subclass is indented under subclass 90. Processes wherein an additional reactant contains a chalcogen containing hetero ring, wherein chalcogen is oxygen, sulfur, selenium, or tellurium. | |
92 | And reactant having alcoholic or phenolic -XH group, wherein X is chalcogen (and wherein H of -XH may be replaced by substituted or unsubstituted ammonium, or by a Group IA or IIA light metal) |
| This subclass is indented under subclass 90. Processes wherein an additional reactant contains a chalcogen containing hetero ring, wherein chalcogen is oxygen, sulfur, selenium, or tellurium. | |
93 | And nitrogen bonded directly to the phosphorus in the phosphorus containing reactant |
| This subclass is indented under subclass 92. Processes in which the phosphorus in the phosphorus containing reactant is attached directly to four or five halagens by nonionic bonding. | |
94 | Four or five halogens attached directly to the phosphorus in the phosphorus containing reactant by nonionic bonding |
| This subclass is indented under subclass 92. Processes in which the phosphorus in the phosphorus containing reactant is trivalent. | |
95 | The phosphorus in the reactant is trivalent |
| This subclass is indented under subclass 92. Processes in which the phosphorus in the phosphorus containing reactant is trivalent. | |
96 | Nitrogen containing compound utilized (e.g., pyridine, carbamates, urea, etc., utilized as catalysts, proton acceptors, etc.) | ||
This subclass is indented under subclass 95. Processes in which a nitrogen containing compound is utilized.
| |||
97 | Trivalent phosphorus converted into pentavalent phosphorus | ||
This subclass is indented under subclass 95. Processes wherein the trivalent phosphorus in converted
into a pentavalent phosphorus.
| |||
98 | And carbon bonded directly to the phosphorus in the phosphorus containing reactant (e.g., methyl phosphonodichloride, etc.) |
| This subclass is indented under subclass 92. Processes in which the phosphorus in the posphorus containing reactant contains carbon bonded to phosphorus. | |
99 | And divalent chalcogen single bonded directly to the phosphorus in the phosphorus containing reactant (e.g., diethyl phosphorochloridate, etc.) |
| This subclass is indented under subclass 92. Processes in which the phosphorus in the phosphorus containing reactant containing divalent chalcogen (i.e., oxygen, sulfur, selenium, or telurium) single bonded directly to phosphorus. | |
100 | Nitrogen containing compound utilized (e.g., pyridine, carbamates, urea, etc., utilized as catalysts, proton acceptors, etc.) | ||
This subclass is indented under subclass 99. Processes wherein a nitrogen containing compound is utilized.
| |||
101 | Nitrogen containing compound utilized (e.g., pyridine, carbamates, urea, etc., utilized as catalysts, proton acceptors, etc.) | ||
This subclass is indented under subclass 92. Processes in which a nitrogen containing compound is utilized.
| |||
102 | Metal containing material utilized (e.g., as catalysts, etc.) |
| This subclass is indented under subclass 92. Processes in which a metal containing material is utilized. | |
103 | And reactant having -C(=X)-, wherein X is chalcogen |
| This subclass is indented under subclass 90. Processes wherein an additional reactant contains a -C(=X)- group. wherein X is chalcocgen (i.e., oxygen, sulfur, selenium, or tellurium). | |
104 | Reactant has -XH, wherein X is chalcogen, bonded directly to phosphorus (wherein H of -XH may be replaced by substituted or unsubstituted ammonium, or by a Group IA or IIA light metal) |
| This subclass is indented under subclass 89. Processes in which phos- phorus in a phosphorus containing reactant is bonded directly to an -XH group, wherein X is chalcogen (i.e., oxygen, sulfur, selenium, or tellurium) and wherein H of the -XH group may be replaced by substituted or unsubstituted ammonium, or by a Group IA or Group IIA light metal. | |
105 | And reactant having three-membered hetero ring |
| This subclass is indented under subclass 104. Processes wherein an additional reactant includes a three-membered hetero ring. | |
106 | And reactant having halogen bonded directly to carbon, which carbon may be single bonded to any element but may be multiple bonded only to carbon |
| This subclass is indented under subclass 104. Processes wherein an additional reactant contains halogen bonded directly to carbon, which carbon may be single bonded to any element, but may be multiple bonded only to carbon. | |
107 | Having -C(=X)-, wherein X is chalcogen, or cyano attached indirectly to the halogen by acyclic nonionic bonding |
| This subclass is indented under subclass 106. Processes in which cyano or -C(=X)-, wherein X is chalcogen (i.e., oxygen, sulfur, selenium, or tellurium), is attached indurectly to the halogen by acyclic nonionic bonding. | |
108 | And -C(=X)- containing reactant, wherein X is chalcogen |
| This subclass is indented under subclass 104. Processes wherein an additional reactant contains -C(=X)-, wherein X is chalcogen (i.e., oxygen, sulfur, selenium, or tellurium). | |
109 | And unsaturated hydrocarbon reactant (e.g., pinene, allylene, etc.) |
| This subclass is indented under subclass 104. Processes in which an additional reactant is an unsatruated hydrocarbon. | |
110 | And reactant having alcoholic or phenolic -XH group, wherein X is chalcogen (and wherein H of -XH may be replaced by substituted or unsubstituted ammonium, or by a Group IA or IIA light metal) |
| This subclass is indented under subclass 104. Processes wherein an additional reactant includes an alcoholic or phenolic -XH group, wherein X is chalcogen (i.e., oxygen, sulfur, selenium, or tellurium) and wherein H of the -XH group may be replaced by substituted or unsubstituted ammonium, or by a Group 1A or Group 11A light metal. | |
111 | Additional diverse phosphorus containing reactant |
| This subclass is indented under subclass 104. Processes in which an additional reactant is a diverse phosphorus containing compound. | |
112 | Reactant consists of phosphorus and sulfur (e.g., phosphorus pentasulfide, etc.) |
| This subclass is indented under subclass 89. Processes in which a reactant contains only phosphorus and sulfur. | |
113 | Reactant consists of phosphorus and oxygen (e.g., phosphorus pentoxide, etc.) |
| This subclass is indented under subclass 89. Processes in which a reactant contains only phosphorus and oxygen. | |
114 | And reactant having alcoholic or phenolic -XH group, wherein X is chalcogen (and wherein H of -XH may be replaced by substituted or unsubstituted ammonium, or by a Group IA or IIA light metal) |
| This subclass is indented under subclass 113. Processes in which an additional reactant includes an alcoholic or phenolic -XH group, wherein X is chalcogen (i.e., oxygen, sulfur, selenium, or tellrium) and wherein H of the -XH group may be replaced by substituted or unsubstituted ammonium, or by a Group 1A or 11A light metal. | |
115 | Trivalent phosphorus converted into pentavalent phosphorus |
| This subclass is indented under subclass 89. Processes in which a trivalent phosphorus is converted into a pentavalent phosphorus. | |
116 | Reactant having halogen and -C(=X)-, wherein X is chalcogen, bonded directly to the same carbon (e.g., alpha halo carbonyl compounds, etc.) | ||||
This subclass is indented under subclass 115. Processes in which a reactant contains halogen and -C(=X)-,
wherein X is chalcogen (i.e., oxygen, sulfur, selenium, or tellurium),
bonded directly to the same carbon.
| |||||
117 | Reactant is a phosphorus ester (e.g., transesterification, etc.) | ||
This subclass is indented under subclass 89. Processes in which a phosphorus ester is a reactant.
| |||
118 | And reactant having alcoholic or phenolic -XH group, wherein X is chalcogen (and wherein X of -XH may be replaced by substituted or unsubstituted ammonium, or by a Group IA or IIA light metal) |
| This subclass is indented under subclass 117. Processes in which an additional reactant contains an alcoholic or a phenolic -XH group, wherein X is chalcogen (i.e., oxygen, sulfur, selenium, or tellurium) and wherein the H of the -XH group may be replaced by substituted or unsubstituted ammonium, or by a Group IA or Group IIA light metal. | |
119 | The -XH is bonded directly to alkyl |
| This subclass is indented under subclass 118. Processes in which an alkyl group is bonded directly to the -XH group. | |
120 | The phosphorus ester reactant has hydrogen or metal bonded directly to phosphorus |
| This subclass is indented under subclass 117. Processes in which hydrogen or metal is bonded directely to phosphorus in the phosphorus ester reactant. | |
121 | Elemental phosphorus reactant |
| This subclass is indented under subclass 89. Processes in which elemental phosphorus is a reactant. | |
122 | Trivalent phosphorus converted into pentavalent phosphorus |
| This subclass is indented under subclass 87. Processes in which a trivalent phosphorus is converted into a pentavalent phosphorus. | |
123 | Molecular oxygen or elemental sulfur reactant (e.g., air, etc.) | ||
This subclass is indented under subclass 122. Processes in which the reactant is molecular oxygen or elemental
sulfur.
| |||
124 | Reactant having halogen bonded directly to carbon (e.g., Arbuzov rearrangement, etc.) | ||||
This subclass is indented under subclass 122. Processes in which a reactant has halogen bonded directly
to carbon.
| |||||
125 | The reactant contains carbon to carbon unsaturation |
| This subclass is indented under subclass 124. Processes in which the reactant contains carbon multiple bonded to another carbon. | |
126 | Reactant having -C(=X)-, wherein X is chalcogen |
| This subclass is indented under subclass 122. Processes in which a reactant contains a -C(=X)-, group, wherein X is chalcogen (i.e., oxygen, sulfur, selenium, or tellurium). | |
127 | Forming a linkage wherein divalent chalcogen is bonded directly to two phosphori (e.g., forming the pyrophosphate linkage, etc.) |
| This subclass is indented under subclass 87. Processes which include joining a direct linkage between a divalent chalcogen (i.e., oxygen, sulfur, selenium, or tellurium) and each of two phosphori. | |
128 | Reactant having halogen attached directly to phosphorus by nonionic bonding |
| This subclass is indented under subclass 127. Processes in which a reactant contains halogen attached directly to phosphorus by nonionic bonding. | |
129 | Forming or utilizing an -O-O- or -S-S- group |
| This subclass is indented under subclass 87. Processes in which the -0-0- group or the -S-S- group is formed, or processes in which compounds which contain the -O-O- group or the -S-S- group are utilized. | |
130 | Forming P-X-C(=X)- group, wherein the X's may be the same or different chalcogens and the phosphorus may be trivalent or pentavalent |
| This subclass is indented under subclass 87. Processes which include forming the P-X-C(=X)- group, wherein the X"s are the same or diverse chalcogens (i.e., oxygen, sulfur, selenium, or tellurium), and the phosphorus may be trivalent or pentavalent. | |
131 | Converting a phosphorus ester group to a P-XH group, wherein H of -XH may be replaced by substituted or unsubstituted ammonium or by a Group IA or IIA light metal, and wherein X is chalogen and P may be trivalent or pentavalent |
| This subclass is indented under subclass 87. Processes wherein a P-XH group is formed from a phosphorus ester group, wherein X is chalcogen (i.e., oxygen, sulfur, selenium, or tellurium), P is trivalent or pentavalent, and H of -XH may be replaced by substituted or unsubstituted ammonium or by a Group IA or IIA light metal. | |
132 | Forming phosphorus to chalcogen bond | ||
This subclass is indented under subclass 87. Processes wherein a bond is formed between phosphorus and
chalcogen (i.e., oxygen, sulfur, selenium, or tellurium).
| |||
133 | Replacing H of P-XH with substituted or unsubstituted ammonium, or with a Group IA or IIA light metal, and wherein X is chalcogen and P is trivalent or pentavalent |
| This subclass is indented under subclass 87. Processes wherein ammounium, substituted ammonium, or a Group IA or IIA light metal replaces the H of a P-XH group, wherein X is chalcogen (i.e., oxygen, sulfur, selenium, or tellurium) and P is trivalent or pentavalent. | |
134 | Substituting carbon for halogen, hydrogen, or metal bonded directly to the phosphorus |
| This subclass is indented under subclass 87. Processes in which an aldehyde or a ketone is a reactant. | |
135 | Aldehyde or ketone reactant |
| This subclass is indented under subclass 134. Processes wherein a ketone or aldehyde (i.e., RCOR or RCHO) is employed as a reactant. | |
136 | Reactant having halogen bonded directly to carbon (e.g., ethyl bromide, benzoyl chloride, etc.) |
| This subclass is indented under subclass 134. Processes in which a reactant utilized contains halogen bonded directly to carbon. | |
137 | Reactant having acyclic or alicyclic carbon to carbon unsaturation |
| This subclass is indented under subclass 134. Processes in which a reactant contains acyclic or alicyclic carbon to carbon unsaturation. | |
138 | Forming phosphorus to nitrogen bond |
| This subclass is indented under subclass 87. Processes which include forming a phosphorus to nitrogen bond. | |
139 | Forming a -C(=X)NHH or -N=C=O group, wherein X is chalcogen and substitution may be made for hydrogen only |
| This subclass is indented under subclass 87. Processes which include forming the -C(=X)NHH or -N=C=O group, wherein X is chalcogen (i.e., oxygen, sulfur, selenium, or tellurium) and substitution may be made for hydrogen only. | |
140 | Forming nonionic phosphorus to halogen bond |
| This subclass is indented under subclass 87. Processes which include forming a nonionic phosphorus to halogen bond. | |
141 | Halogenation of carbon |
| This subclass is indented under subclass 87. Processes which include halogenation of carbon. | |
142 | Forming carbon to carbon multiple bond |
| This subclass is indented under subclass 87. Processes which include forming a carbon to carbon multiple bond. | |
143 | Utilizing oxirane ring containing compound |
| This subclass is indented under subclass 87. Processes in which an oxirane ring containing compound is utilized. | |
144 | Reactant having halogen or nitrogen attached directly to phosphorus by nonionic bonding |
| This subclass is indented under subclass 87. Processes in which a reactant contains halogen or nitrogen attached directly to phosphorus by nonionic bonding. | |
145 | Reactant having nitrogen attached indirectly to phosphorus by nonionic bonding |
| This subclass is indented under subclass 87. Processes in which a reactant contains nitrogen attached indirectly to phosphorus by nonionic bonding. | |
146 | Purification or recovery |
| This subclass is indented under subclass 87. Processes which include separating phosphorus esters from a reaction mixture or from impurities. | |
147 | Of compounds having plural phosphori |
| This subclass is indented under subclass 146. Process in which there are two or more phosphori in the compounds purified or recovered. | |
148 | Of compounds having halogen attached directly to phosphorus by nonionic bonding |
| This subclass is indented under subclass 146. Processes in which products having halogen attached directly to the phosphorus by nonionic bonding are purified or recovered. | |
149 | Oxidation employed to purify or recover |
| This subclass is indented under subclass 146. Processes which include an oxidation step as part of the purification or recovery process. | |
150 | Metal containing material utilized or separated |
| This subclass is indented under subclass 146. Preocesses in which a metal containing material is utilized or separated. | |
151 | Oxygen single bonded to oxygen, or sulfur single bonded to sulfur (e.g., peroxy compounds, etc.) |
| This subclass is indented under subclass 70. Compounds which contain oxygen single bonded to oxygen or sulfur single bonded to sulfur. | |
152 | Plural phosphori bonded to the same chalcogen (e.g., pyrophosphate esters, etc.) |
| This subclass is indented under subclass 70. Compounds wherein the same chalcogen (i.e., oxygen, sulfur, selenium, or tellurium) is bonded to more than one phosphorus. | |
153 | Phosphorus and a -C(=X)- group, wherein X is chalcogen, bonded directly to the same chalcogen |
| This subclass is indented under subclass 70. Compounds under which include the P-X-C(=X)- group wherein the X"s are the same or diverse chalcogens (i.e., oxygen, sulfur, selenium, or telluriurium), and the phosphorus is trivalent or pentavalent. | |
154 | Hydrazine, or substituted hydrazine, group attached directly or indirectly to the phosphorus by nonionic bonding (i.e., HHN-NH- group, wherein substitution may be made for hydrogen only) | ||||
This subclass is indented under subclass 70. Compounds wherein a hydrazine, or a substituted hydrazine,
group is attached directly or indirectly to the phosphorus by nonionic
bonding.
| |||||
155 | Plural phosphori attached directly or indirectly to each other by nonionic bonding | ||
This subclass is indented under subclass 70. Compounds which contain two or more phosphori attached indirectly
to each other by nonionic bonding.
| |||
156 | Plural phosphorus ester groups | ||
This subclass is indented under subclass 155. Compounds which contain at least two phosphorus atoms that
are part of hosphorus ester groups.
| |||
157 | Nitrogen bonded directly to phosphorus | ||
This subclass is indented under subclass 156. Compounds wherein nitrogen is bonded directly to phosphorus.
| |||
158 | Nitrogen attached indirectly to phosphorus by acyclic nonionic bonding |
| This subclass is indented under subclass 156. Compounds wherein phosphorus is attached indirectly to nitrogen by acyclic nonionic bonding. | |
159 | Having -C(=X)-, wherein X is chalcogen, bonded directly to the nitrogen | ||
This subclass is indented under subclass 158. Compounds which contain the -C(=X)- group, wherein
X is chalcogen (i.e., oxygen, sulfur, selenium, or tellurium), bonded
directly to the nitrogen.
| |||
160 | Having -C(=X)-, wherein X is chalcogen, attached indirectly to phosphorus by acyclic nonionic bonding |
| This subclass is indented under subclass 156. Compounds wherein a -C(=X)- group, wherein X is chalcogen (i.e., oxygen, sulfur, selenium, or tellurium), is attached indirectly to phosphorus by acyclic nonionic bonding. | |
161 | Divalent chalcogen double bonded directly to pentavalent phosphorus | ||
This subclass is indented under subclass 156. Compounds wherein a divalent chalcogen (i.e., oxygen, sulfur,
selenium, or tellurium) is double bonded directly to a pentavalent
phosphorus.
| |||
162 | Plural phosphori attached indirectly to each other by a benzene ring or by a chain which includes a benzene ring | ||
This subclass is indented under subclass 161. Compound in which plural phosphori are attached indirectly
to each other by a benzene ring or by a chain which includes a benzene ring.
| |||
163 | Plural phosphori attached indirectly to each other by an acyclic chalcogen containing chain | ||
This subclass is indented under subclass 161. Compounds in which plural phosphori are attached indirectly
to each other by an acyclic chain, which chain contains chalcogen
(i.e., oxygen, sulfur, selenium, or tellurium) as a chain member.
| |||
164 | Plural chalcogens in the acyclic chain | ||
This subclass is indented under subclass 163. Compounds in which there are two or more chalcogens (i.e.,
oxygen, sulfur, selenium, or tellurium) in the acyclic chain.
| |||
165 | Divalent chalcogen, bonded directly to two carbons or to carbon and hydrogen, attached indirectly to phosphorus by acyclic nonionic bonding (wherein the hydrogen may be replaced by substituted or unsubstituted ammonium, or by a Group IA or IIA light metal) | ||
This subclass is indented under subclass 164. Compounds wherein a divalent chalcogen (i.e., oxygen, sulfur,
selenium, or tellurium), which is bonded directly to two carbons
or to carbon and hydrogen, is attached indirectly to phosphorus
by acyclic nonionic bonding, wherein the hydrogen may be replaced
by substituted or unsubstituted ammounium, or by a Group IA or IIA
light metal.
| |||
166 | Nitrogen attached indirectly to the phosphorus by acyclic nonionic bonding | ||
This subclass is indented under subclass 70. Compounds wherein the phosphorus is attached indirectly
to nitrogen by acyclic nonionic bonding.
| |||
167 | The nitrogen is part of a cyano or isocyano group | ||
This subclass is indented under subclass 166. Compounds in which the nitrogen is part of a cyano or an
isocyano group.
| |||
168 | Chalcogen attached indirectly to the phosphorus by acyclic nonionic bonding | ||
This subclass is indented under subclass 167. Compounds wherein chalcogen (i.e., oxygen, sulfur, selenium,
or tellurium) is attached indirectly to the phosphorus by acyclic
nonionic bonding.
| |||
169 | Chalcogen attached indirectly to the phosphorus by acyclic nonionic bonding | ||
This subclass is indented under subclass 166. Compounds wherein chalcogen (i.e., oxygen, sulfur, selenium,
or tellurium) is attached indirectly to the phosphorus by acyclic
nonionic bonding.
| |||
170 | The chalcogen, X, is in a -C(=X)- group, which group is bonded directly to the nitrogen | ||
This subclass is indented under subclass 169. Compounds in which a -C(=X)- group, sulfur, selenium,
or tellurium), is bonded directly to the nitrogen.
| |||
171 | Nitrogen bonded directly to the phosphorus | ||
This subclass is indented under subclass 170. Compounds wherein the phosphorus is bonded directly to nitrogen.
| |||
172 | The -C(=X)- is part of a -C(=X)X- group, wherein the X's may be the same or diverse chalcogens | ||
This subclass is indented under subclass 170. Compounds in which the -C(=X)- is part of a
-C(=X)X- group, wherein the X"s may be the same
or diverse chalcogens.
| |||
173 | Chalcogen, or additional -C(=X), bonded directly to the nitrogen | ||
This subclass is indented under subclass 170. Compounds in which nitrogen is bonded directly to chalcogen
or to an additional -C(=X)- group.
| |||
174 | Two carbons bonded directly to the same chalcogen (e.g., sulfones, carboxylic acid esters, ethers, etc.) | ||
This subclass is indented under subclass 170. Compounds wherein the same chalcogen is bonded directly
to two carbons.
| |||
175 | Chalcogen bonded directly to the nitrogen by nonionic bonding | ||
This subclass is indented under subclass 169. Compounds in which the nitrogen is bonded directly to chalcogen
by nonionic bonding.
| |||
176 | Containing carbon double bonded to nitrogen | ||
This subclass is indented under subclass 166. Compounds which contain nitrogen double bonded to carbon.
| |||
177 | Chalcogen attached indirectly to the phosphorus by acyclic nonionic bonding |
| This subclass is indented under subclass 70. Compounds in which chalcogen (i.e., oxygen, sulfur, selenium, or tellurium) is attached indirectly to the phosphorus by acyclic nonionic bonding. | |
178 | The chalcogen, X, is in a -C(=X)- group | ||
This subclass is indented under subclass 177. Compounds wherein the chalcogen, X, is in a -C(=X)-
group.
| |||
179 | The -C(=X)- is part of a -C(=X)X- group, wherein the X's are the same or diverse chalcogens |
| This subclass is indented under subclass 178. Compounds in which the -C-(=X)- is part of a -C(=X)X- group, wherein the X"s are the same or diverse chalcogens. | |
180 | Plural -C(=X)X- groups attached indirectly to the phosphorus by acyclic nonionic bonding | ||
This subclass is indented under subclass 179. Compounds in which the phosphorus is attached indirectly
to two or more -C(=X)X- groups by acyclic nonionic bonding,
wherein the X"s are the same or diverse chalcogens.
| |||
181 | The carbon of the -C(=X)X- group is bonded directly to the phosphorus or to nitrogen which is bonded directly to the phosphorus | ||
This subclass is indented under subclass 179. Compounds in which the carbon of the -C(=X) (X)-
group is bonded directly to the phosphorus or to nitrogen, which
nitrogen is bonded directly to the phosphorus.
| |||
182 | Acyclic carbon chain containing carbon to carbon unsaturation attached directly or indirectly to the phosphorus by acyclic nonionic bonding | ||
This subclass is indented under subclass 179. Compounds wherein the phosphorus is attached directly or
indirectly by acyclic nonionic bonding to an acyclic carbon chain
containing carbon to carbon unsaturation.
| |||
183 | Plural carbons bonded directly to the same chalcogen which is attached indirectly to the phosphorus by acyclic nonionic bonding (e.g., ethers, etc.) |
| This subclass is indented under subclass 177. Compounds wherein plural carbons are bonded directly to the chalcogen, which chalcogen is attached indirectly to the phosphorus by acyclic nonionic bonding. | |
184 | The chalcogen is part of a -S(=O)- or a -S(=O)(=O)- group (e.g., sulfones, etc.) |
| This subclass is indented under subclass 183. Compounds wherein the chalcogen is sulfur and is part or a -S(O)- or of a -S(=O) (=O)- group. | |
185 | Nitrogen bonded directly to the phosphorus | ||
This subclass is indented under subclass 183. Compounds wherein the phosphorus is bonded directly to nitrogen.
| |||
186 | Plural ether oxygens or thioether sulfurs attached indirectly to the phosphorus by acyclic nonionic bonding |
| This subclass is indented under subclass 183. Compounds wherein the phosphorus is attached indirectly by acyclic nonionic bonding to plural ether oxygens or plural thioether sulfurs. | |
187 | The chalcogen is bonded directly to a benzene ring and to acyclic carbon | ||
This subclass is indented under subclass 183. Compounds wherein an acyclic carbon and a benzene ring are
bonded directly to the chalcogen.
| |||
188 | Halogen attached directly or indirectly to the phosphorus by acyclic nonionic bonding | ||
This subclass is indented under subclass 183. Compounds wherein the phosphorus is attached directly or
indirectly to halogen by acyclic nonionic bonding.
| |||
189 | Carbon bonded directly to the phosphorus | ||
This subclass is indented under subclass 183. Compounds wherein the phosphorus is bonded directly to carbon.
| |||
190 | Nitrogen attached indirectly to the phosphorus by nonionic bonding |
| This subclass is indented under subclass 70. Compounds wherein the phosphorus is attached indirectly
to nitrogen by nonionic bounding.
| |
191 | Nitrogen or halogen attached directly to the phosphorus by nonionic bonding | ||
This subclass is indented under subclass 190. Compounds wherein the phosphorus is attached directly to
nitrogen or halogen by nonionic bonding.
| |||
192 | Cyano or isocyano attached indirectly to the phosphorus by nonionic bonding | ||||
This subclass is indented under subclass 190. Compounds wherein the nitrogen is part of a cyano group
or of an isocyano group.
| |||||
193 | Nitro bonded directly to a benzene ring |
| This subclass is indented under subclass 190. Compounds in which a benzene ring is bonded directly to a nitro group. | |
194 | Chalcogen attached indirectly to the phosphorus by nonionic bonding | ||
This subclass is indented under subclass 70. Compounds wherein chalcogen (i.e., oxygen, sulfur, selenium,
or tellurium) is attached indirectly to the phosphorus by nonionic
bonding.
| |||
195 | Nitrogen or halogen attached directly to the phosphorus by nonionic bonding | ||
This subclass is indented under subclass 194. Compounds in which the phosphorus is attached directly to
nitrogen or halogen by nonionic bonding.
| |||
196 | The chalcogen is part of a -S(=O)- or a -S(=O)(=O)- group (e.g., sulfoxides, sulfonic acids, etc.) | ||||
This subclass is indented under subclass 194. Compounds in which the chalcogen is part of a -S(=O)-
or of a -S(=OO)- or of a -S(=O) (O=) group.
| |||||
197 | Ether oxygen or thioether sulfur bonded directly to a benzene ring | ||
This subclass is indented under subclass 194. Compounds wherein a benzene ring is bonded directly to ether
oxygen or thioether sulfur.
| |||
198 | The chalcogen, X, is in a -C(=X)- group | ||
This subclass is indented under subclass 194. Compounds wherein the chalcogen, X, is in a -C(=X)-
group.
| |||
199 | Nitrogen bonded directly to the phosphorus | ||
This subclass is indented under subclass 70. Compounds wherein the phosphorus is bonded directly to nitrogen.
| |||
200 | Benzene ring and the phosphorus bonded directly to the same chalcogen (i.e., the carbon of the phosphorus ester group is part of a benzene ring) | ||
This subclass is indented under subclass 199. Compounds in which the phosphorus and a benzene ring are
bonded directly to the same chalcogen (i.e., oxygen, sulfur, selenium,
or tellurium).
| |||
201 | Acyclic carbon chain containing carbon to carbon unsaturation attached indirectly to the phosphorus by acyclic nonionic bonding | ||
This subclass is indented under subclass 199. Compounds wherein the phosphorus is attached indirectly
by acyclic nonionic bonding to an acyclic carbon chain containing
carbon to carbon unsaturation.
| |||
202 | Halogen attached directly to the phosphorus by nonionic bonding | ||
This subclass is indented under subclass 70. Compounds in which the phosphorus is attached directly to
halogen by nonionic bonding.
| |||
203 | Halogen attached indirectly to the phosphorus by acyclic nonionic bonding | ||
This subclass is indented under subclass 70. Compounds wherein the phosphorus is attached indirectly
to halogen by acyclic nonionic bonding.
| |||
204 | Plural fluorines bonded to an acyclic carbon or to an acyclic carbon chain | ||
This subclass is indented under subclass 203. Compounds in which plural fluorines are bonded to an acyclic
carbon or to an acyclic carbon chain.
| |||
205 | Carbon to carbon unsaturation containing | ||
This subclass is indented under subclass 203. Compounds which contain carbon multiple bonded to another
carbon.
| |||
206 | The unsaturation is in a benzene ring | ||
This subclass is indented under subclass 205. Compounds wherein the carbon to carbon unsaturation is in
a benzene ring.
| |||
207 | Divalent chalcogen double bonded directly to the phosphorus | ||
This subclass is indented under subclass 70. Compounds in which a divalent chalcogen (i.e., oxygen, sulfur,
selenium, or tellurium) is double bonded directly to the phosphorus.
| |||
208 | And three divalent chalcogens single bonded directly to the phosphorus (e.g., trialkyl phosphates, etc.) | ||
This subclass is indented under subclass 207. Compounds wherein the phosphorus is single bonded directly
to each of three divalent chalcogens, which may be the same or diverse.
| |||
209 | Alicyclic ring bonded directly to one of the chalcogens | ||
This subclass is indented under subclass 208. Compounds in which one of the single bonded chalcogens is
bonded directly to an allcyclic ring.
| |||
210 | Benzene ring bonded directly to one of the chalcogens | ||
This subclass is indented under subclass 208. Compounds wherein one of the single bonded chalcogens is
bonded directly to a benzene ring.
| |||
211 | Benzene ring bonded directly to each of the three chalcogens | ||
This subclass is indented under subclass 210. Compounds wherein each of the three single bonded chalcogens
is bonded directly to a benzene ring.
| |||
212 | Three or more halogens bonded directly to the benzene ring | ||
This subclass is indented under subclass 210. Compounds in which the benzene ring is bonded directly the
three of more halogens.
| |||
213 | Multiple bond between two acyclic carbons | ||
This subclass is indented under subclass 208. Compounds which contain acyclic carbon multiple bonded directly
to acyclic carbon.
| |||
214 | And two divalent chalcogens single bonded directly to the phosphorus | ||
This subclass is indented under subclass 207. Compounds wherein the phosphorus is single bonded to each
of two divalent chalcogens, which may be the same or diverse.
| |||
215 | Benzene ring bonded directly to one of the chalcogens | ||
This subclass is indented under subclass 214. Compounds wherein one of the single bonded chalcogens is
bonded directly to a benzene ring.
| |||
216 | Benzene ring bonded directly to the phosphorus |
| This subclass is indented under subclass 214. Compounds wherein the phosphorus is bonded directly to a benzene ring. | |
217 | Multiple bond between two acyclic carbons | ||
This subclass is indented under subclass 214. Compounds which contain acyclic carbon multiple bonded directly
to acyclic carbon.
| |||
218 | Three divalent chalcogens single bonded directly to trivalent phosphorus (e.g., trialkyl phosphites, etc.) | ||
This subclass is indented under subclass 70. Compounds in which three divalent chalcogens (i.e., oxygen,
sulfor, selenium, or tellurium), which may be the same or diverse,
are single bonded directly to trivalent phosphorus.
| |||
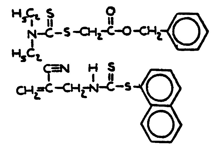
230 | Esters having the thiocarboxylate group, -C(=X)X-, wherein the X's are the same or diverse chalcogens, with at least one X being sulfur, and wherein the single bonded X is bonded directly to an additional carbon, which carbon may be single bonded to any atom, but may be multiple bonded only to carbon | ||||
This subclass is indented under subclass 1. Compounds under Class 532, ... which contain the thiocarboxylate
group, -C(=X)X-, wherein the X"s are the same
or diverse chalcogens (i.e., oxygen, sulfur, selenium, or tellurium)
with at least one X being sulfur and wherein the single bonded X
is bonded directly to an additional carbon, which carbon may be
single bonded to any atom, but may be multiple bonded only to carbon.
SEE OR SEARCH CLASS:
| |||||
231 | Phosphorus attached directly or indirectly to the thiocarboxylate group by nonionic bonding | ||
This subclass is indented under subclass 230. Compounds in which the thiocarboxylate group is attached
directly or indirectly to phosphorus by nonionic bonding.
| |||
232 | Nitrogen bonded directly to the carbon of the -C(=X)X- group (e.g., thiocarbamates, etc.) | ||
This subclass is indented under subclass 230. Compounds in which the carbon of the thiocarboxylate group
is bonded directly to nitrogen.
| |||
233 | Chalcogen, nitrogen, or additional -C(=X)- attached directly to the nitrogen by nonionic bonding (X is chalcogen) | ||
This subclass is indented under subclass 232. Compounds in which the nitrogen is further attached directly
to chalcogen (i.e., oxygen, sulfur, selenium, or tellurium), nitrogen
or additional -C(=X)-, wherein X is chalcogen, by nonionic
bonding.
| |||
234 | The -C(=X)X- is -C(=S)O- | ||
This subclass is indented under subclass 232. Compounds in which the thiocarboxylate group is a -C(=S)O-
group.
| |||
235 | The -C(=X)X- is -C(=S)S- | ||
This subclass is indented under subclass 232. Compounds in which the thiocarboxylate group is a -C(=S)S
group.
| |||
236 | Nitrogen or additional chalcogen attached indirectly to the nitrogen by acyclic nonionic bonding | ||
This subclass is indented under subclass 235. Compounds in which there is nitrogen or additional chalcogen
(i.e., oxygen, sulfur, selenium, or tellurium) attached indirectly
to the nitrogen by acyclic nonionic bonding.
| |||
237 | Plural HHN-C(=S)S- groups, wherein substitution may be made for hydrogen only | ||
This subclass is indented under subclass 236. Compounds in which there is more than one HHN-C(=S)S-
group, wherein substitution may be made for hydrogen only.
| |||
238 | Cyano or -C(=X)-, wherein X is chalcogen, attached indirectly to the nitrogen by acyclic nonionic bonding | ||
This subclass is indented under subclass 236. Compounds in which cyano or -C(=X)-, wherein X
is chalcogen (i.e., oxygen, sulfur, selenium, or tellurium), is
attached indirectly to the nitrogen by acyclic nonionic bonding.
| |||
239 | Nitrogen or additional chalcogen attached indirectly to the nitrogen by acyclic nonionic bonding | ||
This subclass is indented under subclass 232. Compounds in which nitrogen or additional chalcogen (i.e.,
oxygen, sulfur, selenium, or tellurium) is attached indirectly to
the nitrogen by acyclic nonionic bonding.
| |||
240 | The chalcogen, X, is in a -C(=X)- group | ||
This subclass is indented under subclass 239. Compounds wherein the chalcogen is in a -C(-X)- group, X
being the chalcogen.
| |||
241 | Benzene ring bonded directly to the nitrogen or to the sulfur of a -C(=O)S- group | ||
This subclass is indented under subclass 232. Compounds wherein the nitrogen or the sulfur of a -C(=O)S-
group is bonded directly to a benzene ring.
| |||
242 | Benzene ring attached indirectly to the nitrogen by nonionic bonding | ||
This subclass is indented under subclass 232. Compounds wherein the nitrogen is attached indirectly to
a benzene ring by nonionic bonding.
| |||
243 | Esters having the -X-C(=X)X- group, wherein the X's are the same or diverse chalcogens and at least one X is sulfur, and wherein one of the single bonded X's is bonded directly to carbon, which carbon may be single bonded to any atom, but may be multiple bonded only to carbon (e.g., thiocarbonates, etc.) | ||
This subclass is indented under subclass 230. Compounds which have the thiocarboxylate group as part
of an -X-C(=X)X- group, wherein the X"s are
the same or diverse chalcogens, (i.e., oxygen, sulfur, selenium,
or tellurium), at least one of the X"s is sulfur, and one of
the single bonded X"s is bonded directly to carbon, which
carbon may be single bonded to any atom but may be multiple bonded
only to carbon.
| |||
244 | Two -C(=X)- groups, wherein the X's are the same or diverse chalcogens, bonded directly to the same chalcogen or to a chain consisting of chalcogens (e.g., xanthic disulfides, etc.) | ||
This subclass is indented under subclass 243. Compounds in which two -C(=X)- groups, wherein
X is chalcogen (i.e., oxygen, sulfur, selenium, or tellurium) are
bonded directly to the same chalcogen or to a chain of chalcogens.
| |||
245 | The -X-C(=X)X- is -S-C(=S)O- (e.g., xanthates, etc.) | ||
This subclass is indented under subclass 243. Compounds wherein the -X-C(=X)X- group is a -S-C(=S)O-
group.
| |||
246 | Nitrogen or chalcogen attached indirectly to the -S-C(=S)O- group by acyclic nonionic bonding | ||
This subclass is indented under subclass 245. Compounds in which the -S-C(=S)O- group is indirectly
attached to nitrogen or chalcogen (e.e., oxygen, sulfur, selenium,
or tellurlum) by acyclic nonionic bonding.
| |||
247 | Alkyl and hydrogen bonded directly to the -S-C(=S)O- group, wherein the hydrogen may be replaced by substituted or unsubstituted ammonium or by a Group IA or IIA light metal (e.g., sodium ethyl xanthate, etc.) | ||
This subclass is indented under subclass 245. Compounds wherein the -S-C(=S)O- group is bonded
directly to one alkyl group and to hydrogen, which hydrogen may
be replaced by substituted or unsubstituted ammonium or by a Group
IA or IIA light metal.
| |||
248 | The -X-C(=X)X- is -S-C(=O)O- (e.g., thiolcarbonates, etc.) | ||
This subclass is indented under subclass 243. Compounds wherein the -X-C(=X)X- group is an -S-C(=O)O-
group.
| |||
249 | Halothiocarbonate esters (i.e., compounds wherein halogen is bonded directly to the carbon of the -C(=X)X- group) | ||
This subclass is indented under subclass 230. Compounds in which halogen is bonded to the carbon of the
thiocarboxylate group.
| |||
250 | The -C(=X)X- is -C(=O)S- | ||
This subclass is indented under subclass 230. Compounds wherein the -C(=X)X- grounp is -C(=O)S-.
| |||
251 | Plural -C(=O)S- groups containing | ||
This subclass is indented under subclass 250. Compounds which contain more than one -C(=O)S-
group.
| |||
252 | Chalcogen attached indirectly to the -C(=O)S- group by acyclic nonionic bonding | ||
This subclass is indented under subclass 250. Compounds wherein a chalcogen (i.e., oxygen, sulfur, selenium,
or tellurium) is indirectly attached to the-C(=OS- group
by acyclic nonionic bonding.
| |||
253 | The chalcogen, X, is in a -C(=X)- group | ||
This subclass is indented under subclass 252. Compounds wherein the chalcogen is in a -C(=X)-
group, X being chalcogen.
| |||
254 | Nitrogen bonded directly to the -C(=X)- group | ||
This subclass is indented under subclass 253. Compounds wherein the -C(=X)- group is bonded directly
to nitrogen.
| |||
255 | The -C(=X)- group is part of a -COO- group | ||
This subclass is indented under subclass 253. Compounds wherein the -C(=X)- is part of a -C(=O)O-
group.
| |||
256 | Nitrogen attached indirectly to the -C(=O)S- group by acyclic nonionic bonding | ||
This subclass is indented under subclass 250. Compounds wherein the -C(=O)S- group is attached
indirectly to nitrogen by acyclic nonionic bonding.
| |||
257 | Benzene ring attached directly or indirectly to the -C(=0)S- group by nonionic bonding | ||
This subclass is indented under subclass 250. Compounds wherein the -C(=O)S- group is atached
directly or indirectly to a benzene ring by nonionic bonding.
| |||
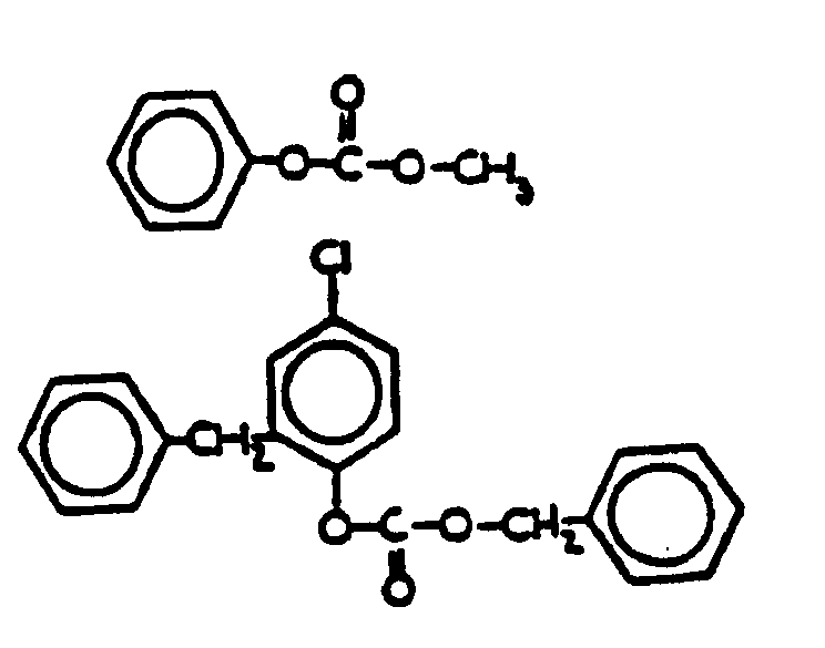
260 | Carbonate esters (i.e, compounds having the -O-C(=O)O- group bonded directly to at least one carbon, which carbon may be single bonded to any atom but may be multiple bonded only to carbon) | ||
This subclass is indented under subclass 1. Compounds under Class 532, ... which contain the -O-C(=O)O-
group bonded directly to at least one carbon, which carbon may be
single bonded to any atom but may be multiple bonded only to carbon.
| |||
261 | With preservative or stabilizer |
| This subclass is indented under subclass 260. Products wherein the carbonate ester is mixed with a preserving or stabilizing agent whose sole function is to prevent physical or chemical change. | |
262 | Nitrogen attached directly to the -O-C(=O)O- group by nonionic bonding (e.g., oxime carbonates, urea carbonates, etc.) | ||
This subclass is indented under subclass 260. Compounds wherein the -O-C(=O)O- group is attached
directly to nitrogen by nonionic bonding.
| |||
263 | Oxygen bonded directly to the -O-C(=O)O- group by nonionic bonding (e.g., monoperoxycarbonates, etc.) | ||
This subclass is indented under subclass 260. Compounds wherein the -O-C(=O)-O- group is attached
directly to an additional oxygen by nonionic bonding.
| |||
264 | Carbonyl bonded directly to the oxygen (i.e., compounds having the -O-C(=O) O-O-C(=O)- group; e.g., peroxydicarbonates, acyl peroxycarbonates, etc.) | ||
This subclass is indented under subclass 263. Compounds wherein carbonyl, -C(=O), is bonded directly
to the oxygen.
| |||
265 | Plural -O-C(=O)O- groups attached indirectly to each other by nonionic bonding | ||
This subclass is indented under subclass 260. Compounds which contain more than one -O-C(=O)O-
group, which -O- C(=)O- groups are indirectly attached
to each other by nonionic bonding.
| |||
266 | Additional chalcogen attached indirectly to one of the -O-C(=O)O- groups by acyclic nonionic bonding | ||
This subclass is indented under subclass 265. Compounds wherein an additional chalcogen (i.e., oxygen,
sulfur, selenium, or tellurium) is attached indirectly to one of
the -O-C(=O)O- groups by acyclic nonionic bonding.
| |||
267 | The additional chalcogen, X, is in a -C(=X)- group | ||
This subclass is indented under subclass 266. Compounds wherein the chalcogen is in a -C(=X)-
group, X bening the chalcogen.
| |||
268 | Benzene ring attached directly or indirectly to one of the -O-C(=O)O- groups by nonionic bonding | ||
This subclass is indented under subclass 265. Compounds wherein one of the -O-C(=O)O- groups
is attached directly or indirectly to a benzene ring by nonionic
bonding.
| |||
269 | Nitrogen attached directly or indirectly to the benzene ring by nonionic bonding | ||
This subclass is indented under subclass 268. Compounds in which the benzene ring is attached directly
or indirectly to nitrogen by nonionic bonding.
| |||
270 | Benzene ring bonded directly to the -O-C(=O)O- group | ||
This subclass is indented under subclass 260. Compounds wherein the -O-C(=O)O- group is bonded
directly to a benzene ring.
| |||
271 | Additional chalcogen bonded directly to the benzene ring | ||
This subclass is indented under subclass 270. Compounds wherein the benzene ring is bonded directly to
an additional chalcogen (i.e., oxygen, sulfur, selenium, or tellurium).
| |||
272 | Nitrogen bonded directly to the benzene ring | ||
This subclass is indented under subclass 270. Compounds wherein the benzene ring is bonded directly to
nitrogen.
| |||
273 | Nitrogen or additional chalcogen attached indirectly to the benzene ring by acyclic nonionic bonding | ||
This subclass is indented under subclass 270. Compounds wherein the benzene ring is attached indirectly
to nitrogen or to an additional chalcogen (i.e., oxygen, sulfur,
selenium, or tellurium) by acyclic nonionic bonding.
| |||
274 | Two benzene rings bonded directly to the -O-C(=O)O- group (i.e., diaryl carbonates) | ||
This subclass is indented under subclass 270. Compounds wherein the -O-C(=O)O- group is bonded
directly to two benzene rings.
| |||
275 | Benzene ring attached indirectly to the -O-C(=O)O- group by nonionic bonding | ||
This subclass is indented under subclass 260. Compounds wherein the -O-C(=O)O group is attached
indirectly to a benzene ring by nonionic bonding.
| |||
276 | Nitrogen or chalcogen attached indirectly to the -O-C(=O)O- group by acyclic nonionic bonding | ||
This subclass is indented under subclass 260. Compounds wherein the -O-C(=O)O- group is attached
indirectly to nitrogen or to chalcogen (i.e., oxygen, sulfur, selenium,
or tellurium) by acyclic nonionic bonding.
| |||
277 | Two identical or diverse alkyl groups bonded directly to the -O-C(=O)O- group (e.g., dimethyl carbonate, methyl ethyl carbonate, etc.) | ||
This subclass is indented under subclass 260. Compound which contain two alkyl groups, identical or diverse,
bonded directly to the -O-C(=O)O- group.
| |||
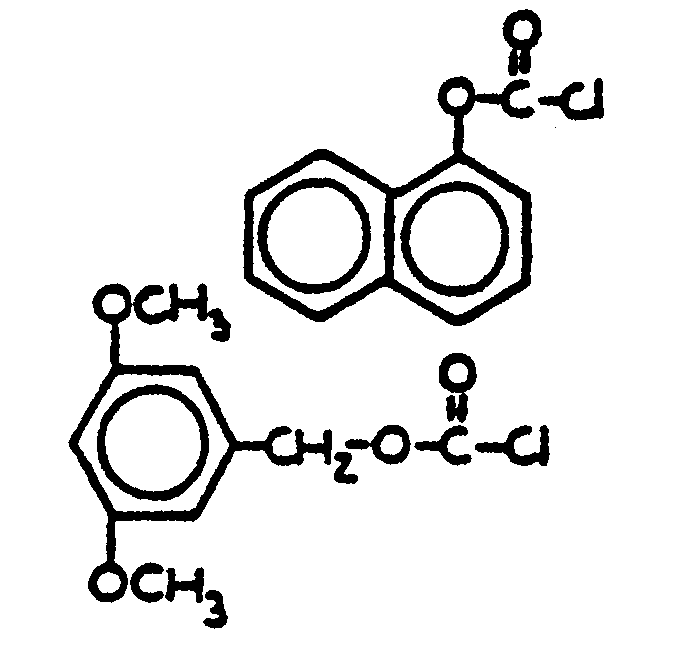
280 | Halocarbonate esters (i.e., compounds having the halo-C(=O)O- group bonded directly to carbon, which carbon may be single bonded to any atom but may be multiple bonded only to carbon) | ||||
This subclass is indented under subclass 1. Compounds un Class 532, ... wherein a halocarbonate group
(i.e., halo- C(=O)O-) is bonded directly to carbon, which
carbon may be single bonded to any atom, but may be multiple bonded
only to carbon.
SEE OR SEARCH CLASS:
| |||||
281 | Plural halo-C(=O)O- groups attached indirectly to each other by nonionic bonding | ||
This subclass is indented under subclass 280. Compounds which contain more than one halo-C(=O)O-
group attached indirectly to each other by nonionic bonding.
| |||
282 | Benzene ring attached directly or indirectly to the halo-C(=O)O- group by nonionic bonding | ||
This subclass is indented under subclass 280. Compounds wherein the halo-C(=O)O- group is attached
directly or indirectly to a benzene ring by nonionic bonding.
| |||
283 | Halogen attached indirectly to the halo-C(=O)O- group by nonionic bonding | ||
This subclass is indented under subclass 280. Compounds wherein the halo-C(=O)O- group is attached
indirectly to halogen by nonionic bonding.
| |||
285 | Thioborate esters (i.e., compounds having boron and carbon each single bonded to the same divalent sulfur, which carbon may be single bonded to any atom but may be multiple bonded only to carbon) | ||
This subclass is indented under subclass 1. Compounds under Class 532, ... wherein boron and carbon
are single bonded to the same divalent sulfur, which carbon may
be single bonded to any atom, but may be multiple bonded only to
carbon.
| |||
286 | Borate esters (i.e., compounds having boron and carbon each single bonded to the same oxygen, which carbon may be single bonded to any atom but may be multiple bonded only to carbon) | ||
This subclass is indented under subclass 1. Compounds under Class 532, ... wherein boron and carbon
are single bonded directly to the same oxygen, which carbon may
be single bonded to any atom, but may be multiple bonded only to
carbon.
| |||
287 | Boron and oxygen in the same ring | ||
This subclass is indented under subclass 286. Compounds which contain a ring having boron and oxygen as
ring members.
| |||
288 | Carbon in the ring | ||
This subclass is indented under subclass 287. Compounds which contain a ring having carbon, boron and
oxygen as ring members.
| |||
289 | Nitrogen in the ring | ||
This subclass is indented under subclass 288. Compounds which contain a ring having nitrogen, carbon,
boron and oxygen as ring members.
| |||
290 | Plural rings each having boron, carbon and oxygen as ring members | ||
This subclass is indented under subclass 288. Compounds which contain plural rings, each having boron,
carbon and oxygen as ring members.
| |||
291 | Three oxygens attached directly to the same boron by nonionic bonding | ||
This subclass is indented under subclass 288. Compounds wherein a boron is attached directly to three
oxygens by nonionic bonding.
| |||
292 | Plural acyclic borons attached directly or indirectly to each other by nonionic bonding | ||
This subclass is indented under subclass 286. Compounds wherein plural acyclic borons are attached directly
or indirectly to each other by nonionic bonding.
| |||
293 | Three oxygens attached directly to the same boron by nonionic bonding | ||
This subclass is indented under subclass 286. Compounds wherein a boron is attached directly to three
oxygens by nonionic bonding.
| |||
294 | Benzene ring attached indirectly to boron by nonionic bonding | ||
This subclass is indented under subclass 293. Compounds wherein boron is attached indirectly to a benzene
ring by nonionic bonding
| |||
295 | Nitrogen or chalcogen attached indirectly to boron by acyclic nonionic bonding | ||
This subclass is indented under subclass 293. Compounds wherein boron is attached indirectly to nitrogen
or chalcogen (i.e., oxygen, suldur, selenium, or tellirium) by acyclic
nonionic bonding.
| |||
296 | Trialkyl borates (i.e., compounds having the structure (RO)B(OR)(OR), wherein the R's represent the same or diverse alkyl groups | ||
This subclass is indented under subclass 293. Compounds wherein a boron is bonded directly to three oxygens,
each oxygen additionally bonded to an alkyl group.
| |||
297 | Processes utilizing boric oxide or an inorganic boric acid | ||
This subclass is indented under subclass 286. Processes which utilize boric oxide or an inorganic boric
acid for preparing trialkyl borates.
| |||
298 | Carbon bonded directly to the boron | ||
This subclass is indented under subclass 286. Compounds wherein boron is bonded directly to carbon.
| |||
299 | Nitrile oxides or nitrile imines (i.e., compounds having cyano bonded directly to carbon, which carbon may be single bonded to any atom but may be multiple bonded only to carbon, and wherein the nitrogen of the cyano group is bonded directly to oxygen or to nitrogen) | ||||
This subclass is indented under subclass 1. Compounds under Class 532, ... which are nitrile oxides
or nitrile imines, i.e., compounds wherein cyano, -C=N,
is bonded directly to carbon, which carbon may be single bonded
to any element but maybe multiple bonded only to carbon, and wherein
the nitrogen of the cyano group is bonded directly to oxygen or
to nitrogen.
SEE OR SEARCH CLASS:
| |||||
300 | Cyano single bonded and nitrogen or phosphorus double bonded to the same carbon atom (e.g., alpha-imino nitriles, etc.) | ||||
This subclass is indented under subclass 1. Compounds under Class 532, ... wherein nitrogen or phosphorus
is double bonded and cyano, -C=N, is single bonded to the
same carbon atom.
SEE OR SEARCH CLASS:
| |||||
301 | Oxygen bonded directly to the double bonded nitrogen (e.g., alpha-oximino nitriles, etc.) | ||
This subclass is indented under subclass 300. Compounds wherin the double bonded nitrogen is bonded directly
to oxygen.
| |||
302 | Isonitriles (i.e., compounds having an isonitrile group, usually represented as -N=C, bonded directly to carbon, which carbon may be single bonded to any atom but may be multiple bonded only to carbon) | ||||||||
This subclass is indented under subclass 1. Compounds under Class 532, ... wherein an isonitrile group,
usually represented as -N=C, is bonded directly to carbon,
which carbon may be single bonded to any atom but may be multiple
bonded only to carbon.
SEE OR SEARCH CLASS:
| |||||||||
303 | Nitriles (i.e., compounds having cyano bonded directly to carbon, which carbon may be single bonded to any atom but may be multiple bonded only to carbon) | ||||
This subclass is indented under subclass 1. Compounds under Class 532, ... which are nitriles, i.e.,
compounds wherein cyan, -C=N, is bonded directly to carbon,
which carbon may be single bonded to any atom but may be multiple
bonded only to carbon.
SEE OR SEARCH CLASS:
| |||||
304 | With preservative or stabilizer |
| This subclass is indented under subclass 303. Products which contain a nitrile in admixture with a preservative or stabilizing ageent whose sole function is to prevent physical or chemical change. | |
305 | Acyclic or alicyclic carbon to carbon unsaturation in the preserved or stabilized nitrile |
| This subclass is indented under subclass 304. Products wherein the preserved or stabilized nitrile contains acyclic or alicyclic carbon to carbon unsaturation. | |
306 | Organic compound, which contains nitrogen, utilized as preservative or stabilizer |
| This subclass is indented under subclass 305. Products wherein the preservative or stabilizing agent is an organic compound which contains nitrogen. | |
307 | Sulfur or phosphorus containing preservative or stabilizer |
| This subclass is indented under subclass 305. Products wherein the preservative or stabilizing agent contains sulfur or phosphorus. | |
308 | Processes for forming the cyano group | ||||
This subclass is indented under subclass 303. Processes which involve formation of the cyano (-C=N) group.
| |||||
309 | Hetero ring containing reactant | ||
This subclass is indented under subclass 308. Processes wherein there is utilized a hetero ring containing
reactant.
| |||
310 | Nitrogen, or oxygen, and carbonyl carbon are adjacent ring members of the hetero ring (e.g., lactams, lactones, etc.) | ||
This subclass is indented under subclass 309. Processes wherein oxygen, or nitrogen, and carbonyl carbon
are adjacent ring members of the hetero ring.
| |||
311 | Reactant is a carboxylic acid, or an amide, anhydride, ester, halide, or salt thereof | ||
This subclass is indented under subclass 308. Processes wherein a carboxylic acid, or an amide, anhydride,
ester, halide, or salt thereof is utilized as a reactant.
| |||
312 | Utilizing a formamide, heavy metal salt, aluminum halide, organosilicon compound, organophosphorus compound, or a compound containing nitrogen and sulfur |
| This subclass is indented under subclass 311. Processes wherein there is utilized a formamide, a heavy metal salt, an alumunum halide, an organophosphorus compound, an organosilicon compound, or a compound containing nitrogen and sulfur. | |
313 | Liquid phase reaction | ||
This subclass is indented under subclass 311. Processes wherein the reaction is conducted in liquid phase.
| |||
314 | Utilizing nitryl halide, nitrosyl halide, HCH=NO- or HHNO- (wherein substitution may be made for hydrogen only; e.g., oximes, oxime esters, hydroxylamine salts, olefin-nitrosyl chloride adducts, etc.) | ||||||||
This subclass is indented under subclass 308. Processes wherein there is utilized nitryl halide, nitrosyl
halide, or compounds containing one of the groups HCH=NO-
or HHNO- (wherein substitution may be made for hydrogen only.)
| |||||||||
315 | Reactant is an aldehyde or ketone, or a compound having carbon double bonded to nitrogen (e.g., ammoxidation of acrolein, etc.) | ||
This subclass is indented under subclass 308. Processes wherein there is employed as a reactant an aldehyde,
a ketone, or a compound having nitrogen double bonded to carbon.
| |||
316 | Reactant contains -OH bonded directly to acyclic or alicyclic carbon (wherein H of -OH may be replaced by substituted or unsubstituted ammonium, or by a Group IA or IIA light metal) | ||
This subclass is indented under subclass 308. Processes wherein there is employed as a reactant a compound
having acyclic or clicyclic carbon bonded directly to -OH (wherein
H of -OH may be replaced by substituted or unsubstituted ammonium,
or by a Group IA or IIA light metal).
| |||
317 | Utilizing a nitrogen oxide or an azide | ||
This subclass is indented under subclass 308. Processes wherein there is utilized and azide or a nitrogen
oxide.
| |||
318 | Ammonia utilized | ||
This subclass is indented under subclass 317. Processes wherein there is utilitzed ammonia.
| |||
319 | And molecular oxygen or a molecular oxygen containing gas | ||||||
This subclass is indented under subclass 318. Processes wherein there is also utilized molecular oxygen
of a molecular containing gas.
| |||||||
320 | Acting on a compound containing acyclic or alicyclic carbon to carbon unsaturation | ||
This subclass is indented under subclass 319. Processes wherein a reactant contains acyclic or alicyclic
carbon to carbon unsaturation.
| |||
321 | Niobium, tantalum, silver, sulfur, ruthenium, rhodium, palladium, osmium, iridium, or platinum containing material utilized | ||
Processes under 320 wherein there is utilized a material
that contains niobium, tantalum, silver, sulfur, ruthenium, rhodium,
palladium, osmium, iridium or platinum.
| |||
322 | Tellurium containing material utilized |
| Processes undersubclass 320 wherein there is utilized a material that contains tellurium. | |
323 | Molybdenum containing material utilized |
| This subclass is indented under subclass 320. Processes wherein there is utilized a material that contans molybdenum. | |
324 | Bismuth containing material utilized |
| This subclass is indented under subclass 323. Processes wherein there is utilized a material that contains bismuth. | |
325 | Antimony containing material utilized |
| This subclass is indented under subclass 320. Processes wherein there is utilized a material that contains antimony. | |
326 | Uranium or arsenic containing material utilized |
| This subclass is indented under subclass 319. Processes wherein there is utilized a reactant that contains a benzene ring. | |
327 | Acting on a benzene ring-containing compound | ||
This subclass is indented under subclass 319. Processes wherein there is utilized a reactant that contains
a benzene ring.
| |||
328 | Alkali metal containing material utilized | ||
This subclass is indented under subclass 327. Processes wherein there is utilized a material that contains
an alkali metal.
| |||
329 | Product contains cyano bonded directly to a benzene ring | ||
This subclass is indented under subclass 318. Processes wherein the product of the process contains a
denzene ring bonded directly to cyano.
| |||
330 | Reactant contains acyclic or alicyclic carbon to carbon double bond | ||
This subclass is indented under subclass 318. Processes wherein an acyclic or alicyclic carbon to carbon
double bond is present in a reactant.
| |||
331 | Homopolymerization of HCN (e.g., tetramerization of HCN to diaminomaleonitrile) |
| Processes under subclss 303 wherein the reaction that occurs is the condensation of plural molecules of HCN to produce diaminomaleonitrile. | |
332 | Processes of attaching cyano to carbon by reaction of an inorganic cyanide with an organic compound (e.g., using HCN, cyanogen, metal cyanide, ammonium cyanide, cyanogen chloride, etc.) | ||||
This subclass is indented under subclass 303. Processes wherein cyano is bonded to carbon by the reaction
of an organic compound with an inorganic cyanide, such as HCN, cyanogen, cyanogen
chioride, metal cyanide, ammonium cyanide, etc.
| |||||
333 | The organic compound contains a carbon to carbon triple bond (e.g., acrylonitrile from acetylene and HCN, etc.) | ||
This subclass is indented under subclass 332. Processes wherein a carbon to carbon triple bond is present
in the organic compound.
| |||
334 | Liquid phase reaction (e.g., using aqueous CuCl catalyst, etc.) |
| This subclass is indented under subclass 333. Processes unde ... conducted in liquid phase. | |
335 | The organic compound contains an acyclic or alicyclic carbon to carbon double bond | ||
This subclass is indented under subclass 332. Processes wherein an acyclic or clicyclic carbon to carbon
double bond is present in the organic compound.
| |||
336 | Cyanogen or cyanogen halide utilized | ||
This subclass is indented under subclass 335. Processes wherein there is utilized cyanogen halide or cyanogen.
| |||
337 | The organic compound contains halogen bonded directly to carbon | ||
This subclass is indented under subclass 335. Processes wherein the organic campound contains carbon bonded
directly to halogen.
| |||
338 | Organic material which contains phosphorus, arsenic, or antimony, in addition to nickel, utilized (e.g., zero-valent nickel complexes, etc.) | ||
This subclass is indented under subclass 335. Processes wherein there is utilized an organic material
that contains (1) nickel, and (2) phosphorus, arsenic, or antimony.
| |||
339 | Cobalt, copper, silver, or gold containing material utilized | ||
This subclass is indented under subclass 335. Processes wherein there is employed a material that contains
cobalt, copper, silver, or gold.
| |||
340 | Ruthenium, rhodium, palladium, osmium, iridium, or platinum containing material utilized | ||
This subclass is indented under subclass 335. Processes wherein there is employed a material that contains
ruthenium, rhodium, palladium, osmium, iridium or platinum.
| |||
341 | The organic compound contains a carbonyl (e.g., ketene, etc.) | ||
This subclass is indented under subclass 335. Processes wherein a carbonyl, -C(=O)-, is present
in the organic compound.
| |||
342 | Replacing halogen with cyano | ||
This subclass is indented under subclass 332. Processes wherein cyano replaces halogen bonded directly
to carbon.
| |||
343 | On benzene ring | ||
Processes under subcvlass 342 wherein cyano replaces halogen
bonded directly to a benzene ring.
| |||
344 | Organic compound of nitrogen, phosphorus, arsenic, antimony, or bismuth utilized other than as reactant (e.g., utilizing phase transfer agents, etc.) | ||
This subclass is indented under subclass 342. Processes wherein there is utiltized, other than as a reactant,
an organic compound of nitrogen, phosphorus, arsenic, antimony or
bismuth.
| |||
345 | Aldehyde, and carboxylic acid halide or carboxylic acid anhydride, reacted with the inorganic cyanide | ||
This subclass is indented under subclass 332. Processes wherein the inorganic cyanide is reacted with
(1) an aldehyde, and (2) a carboxylic acid halide or a carboxylic
acid anhydride.
| |||
346 | Aldehyde or ketone, and ammonia or substituted ammonia, reacted with the inorganic cyanide | ||
This subclass is indented under subclass 332. Precesses wherein the inorganic cyanide is reacted with
(1) an aldehyde or a ketone, and (2) ammonia or a substituted ammonia.
| |||
347 | Hetero ring containing compound reacted with the inorganic cyanide (e.g., reaction of epoxy compounds, etc.) | ||
This subclass is indented under subclass 332. Processes wherein the inorganic cyanide is reacted with
a hetero ring containing compound.
| |||
348 | Replacing hydrogen with cyano (e.g., malononitrile from acetonitrile, etc.) | ||
This subclass is indented under subclass 332. Processes wherein cyano replaces hydrogen bonded directly
to carbon.
| |||
349 | On benzene ring (e.g., benzonitrile from benzene, etc.) | ||
This subclass is indented under subclass 348. Processes wherein cyano replaces hydrogen bonded directly
to a benzene ring.
| |||
350 | Replacing oxygen or nitrogen, single bonded to carbon, by cyano | ||
This subclass is indented under subclass 332. Processes wherein cyano replace (1) oxygen single bonded
to carbon, or (2) nitrogen single bonded to carbon.
| |||
351 | Attaching cyano to the carbonyl carbon of an aldehyde or ketone (e.g., cyanohydrin formation, etc.) | ||||
This subclass is indented under subclass 332. Processes wherein cyano is attached directly to the carbonyl
carbon of an aldehyde or ketone.
| |||||
352 | Carboxylic acid, carboxylic acid halide, carboxylic acid anhydride, or compound containing carbon double bonded to nitrogen reacted with the inorganic cyanide | ||
This subclass is indented under subclass 332. Processes wherein th inorganic cyanide is reacted with a
carboxylic acid, a carboxylic acid halide, a carboxylic acid anhydride,
or a compound containing nitrogen double bonded to carbon.
| |||
353 | Processes utilizing carbon monoxide as a reactant | ||
This subclass is indented under subclass 303. Processes wherein carbon monoxide is untiltized as a reactant.
| |||
354 | Racemization, resolution, or inversion of configuration processes for optically active compounds |
| This subclass is indented under subclass 303. Processes wherein compounds having an asymmetric carbon are racemized or opticaly resolved, or wherein such compounds are made to undergo inversion of optical configuration. | |
355 | Isomerization processes (e.g., double bond shift, cis-trans isomerism, etc.) | ||
Processes under subclass wherein there occurs transformation
or rearrangement of the elements of a starting compound without
the addition or removal of any elements.
| |||
356 | Isomerization of reactants containing plural cyano groups | ||
This subclass is indented under subclass 355. Processes wherein the starting compound that is isomerized
contains plural cyano groups.
| |||
357 | Processes of forming carbon to carbon bond between carbons of two organic reactants | ||||
This subclass is indented under subclass 303. Processes wherein two organic reactants combine in such
a way that a carbon of one reactant bonds directly to a carbon of
the other reactant.
| |||||
358 | Reactions utilizing epoxy compounds, or free radical reactions (e.g., utilizing peroxy or azo promotors, etc.) | ||||
This subclass is indented under subclass 357. Processes wherein a free radical reaction occurs, or an
epoxy compound is utilized.
| |||||
359 | The carbons that form the bond each lose halogen in the process | ||
This subclass is indented under subclass 357. Processes wherein halogen is lost, during the reaction,
from each of the carbons that form the carbons that form the carbon
to carbon bond.
| |||
360 | The carbon to carbon bond forms between plural molecules of identical nitrile reactants (e.g., dimerization, etc.) | ||
This subclass is indented under subclass 357. Processes wherein the carbon to carbon bond forms between
carebons of plural molecules of identical nitrile reactants.
| |||
361 | The reactant is an acyclic nitrile containing carbon to carbon unsaturation (e.g., dimerization or oligomerization of acrylonitrile, etc.) | ||||
This subclass is indented under subclass 360. Processes wherein the nitrile reactant contains carbon to
carbon unsaturation and is acyclic.
| |||||
362 | Amalgam utilized | ||
Processes under subclasses 361, which employ an amalgam.
| |||
363 | Organic phosphorus compound utilized | ||
This subclass is indented under subclass 361. Processes wherein there is utilized an organic phosphorus
compound.
| |||
364 | Heavy metal or aluminum containing material utilized | ||||
This subclass is indented under subclass 361. Processes wherein there is utilized a material that contains
aluminum or a metal having a specitic gravity greater than four.
| |||||
365 | Formation of a carbocyclic ring | ||
This subclass is indented under subclass 357. Processes wherein a carbocyclic ring is formed.
| |||
366 | Three- or four-membered monocyclic ring formed | ||
This subclass is indented under subclass 365. Processes wherein the carbocyclic formed is monocyclic
and is three-membered or four-membered.
| |||
367 | Cyanoalkylation of an acyclic or alicyclic carbon, which is adjacent to a benzene ring or an atom double or triple bonded to a non-carbon atom, by means of acrylonitrile or hydrocarbyl-substituted acrylonitrile (e.g., cyanoethylation, etc.) | ||||
This subclass is indented under subclass 357. Processes wherein an acyclic or alicyclic carbon, which
is adjacent to a benzene ring or to an atom double or triple bonded
to a noncarbon atom, is cyanalkylated by means of reaction with
acrylonitrile or hydrocarbyl-substituted acrylonitrile.
| |||||
368 | The cyanoalkylated carbon is adjacent to a carbonyl carbon | ||
This subclass is indented under subclass 367. Processes wherein the acyclic or alicyclic carbon to be
cyanoalkylated is adjacent to a carbonyl, -C(=O), group.
| |||
369 | Alkylation of an acyclic or alicyclic carbon, which is adjacent to a benzene ring or an atom double or triple bonded to a non-carbon atom, by means of an alkyl halide, alkyl sulfate, substituted alkyl halide or substituted alkyl sulfate | ||||
This subclass is indented under subclass 357. Processes wherein an acyclic or alicyclic carbon, which
is adjacent to a benzene ring or to an atom double or triple bonded
to a noncarbon atom, is alkylated by means of an alkyl halide, alkyl
sulfate, substituted alkyl halide or substituted alkyl sulfate.
| |||||
370 | Reactant contains two cyano groups bonded directly to the same unsaturated carbon | ||
This subclass is indented under subclass 357. Processes wherein a reactant is employed having an unsaturated
carbon bonded directly to two cyano groups.
| |||
371 | Aldehyde or ketone reactant | ||
This subclass is indented under subclass 357. Processes wherein there is employed a reactant that is an
aldehyde or a ketone.
| |||
372 | Formaldehyde reactant | ||
This subclass is indented under subclass 371. Processes wherein formaldehyde is employed as a reactant.
| |||
373 | Carbonyl carbon of the aldehyde or ketone reacts to form a carbon to carbon double bond with carbon of a second reactant | ||
This subclass is indented under subclass 371. Processes wherein the carbonyl carbon of the ketone or aldehyde
reacts to form a carbon to carb on double bond with carbon of a
second reactant.
| |||
374 | The carbon of the second reactant is bonded directly to two atoms which are each double or triple bonded to noncarbon atoms | ||
This subclass is indented under subclass 373. Processes wherein the carbon of the second reactant is bonded
directly to two atoms, each of which is double or triple bonded
to noncarbon atoms.
| |||
375 | Carbon to carbon double bond is formed between a nitrile reactant having no acyclic or alicyclic carbon to carbon double bond and a second reactant | ||
This subclass is indented under subclass 357. Processes unnder ... wherein reaction between a nitrile
reactant having no cyclic or alicyclic carbon to carbon double bond
and a second reactant results in formation of a carbon to carbon
double bond between carbons of the two reactants.
| |||
376 | Hydrogen bonded to a benzene ring is replaced by carbon | ||
This subclass is indented under subclass 357. Processes wherein carbon replaces hydrogen bonded to a benzene
ring.
| |||
377 | A nitrile reactant and a second reactant each contain an acyclic or alicyclic carbon to carbon double bond | ||||
This subclass is indented under subclass 357. Processes wherein an acyclic or alicyclic carbon to carbon
double bond is part of a nitrile reactant and is part of a second
reactant.
| |||||
378 | A nitrile reactant contains no acyclic or alicyclic carbon to carbon unsaturation | ||||
This subclass is indented under subclass 357. Processes wherein a nitrile reactant contains no acyclic
or alicyclic carbon to carbon unsaturation.
| |||||
379 | Processes of forming an acyclic or alicyclic carbon to carbon double bond from an existing acyclic or alicyclic carbon to carbon single bond (e.g., by dehydroacylation, etc.) | ||
This subclass is indented under subclass 303. Processes wherein an exsting acyclic or alicyclic carbon
to carbon single bond is converted to an acyclic or alicyclic carbon
to carbon double bond.
| |||
380 | By dehydrohalogenation | ||
This subclass is indented under subclass 379. Processes wherein formation of the carbon to carbon double
bond is accomplished by removal of one hydrogen and one halogen
from adjacent single bonded acyclic or alicyclic carbons.
| |||
381 | By dehalogenation, dehydrocyanation, ring cleavage, or depolymerization | ||||||||
This subclass is indented under subclass 379. Processes wherein formation of the carbon to carbon double
bond is accomplished by dehalogenation, dehydrocyanation, ring cleavage
or depolymerization.
| |||||||||
382 | By dehydration (i.e., removal of water) | ||
This subclass is indented under subclass 379. Processes wherein formation of the carbon to carbon double
bond is accomplished by dehydration.
| |||
383 | By dehydrogenation | ||
This subclass is indented under subclass 379. Processes wherein formation of the carbon to carbon double
bond is accomplished by removal of hydrogen from adjacent single bonded
acyclic or alicyclic carbons.
| |||
384 | Boron or spiro containing | ||
This subclass is indented under subclass 303. Compounds which contain boron or a spiro ring system.
| |||
385 | Phosphorus attached indirectly to the cyano group by nonionic bonding | ||
This subclass is indented under subclass 303. Compounds wherein phosphorus is attached indirectly to the
cyano group by nonionic bonding.
| |||
386 | Chalcogen, nitrogen, or halogen bonded directly to the phosphorus by nonionic bonding | ||
This subclass is indented under subclass 385. Compounds wherein the phosphorus is attached directly to
nitrogen, halogen, or chalcogen (i.e., oxygen, sulfur, selenium,
or tellurium) by nonionic bonding.
| |||
387 | Oxygen single bonded to oxygen, or sulfur single bonded to sulfur (e.g., peroxy compounds, etc.) | ||
This subclass is indented under subclass 303. Compounds wherein sulfur is single bonded to sulur, or oxygen
is single bonded to oxygen.
| |||
388 | Benzene ring attached indirectly to the cyano group by acyclic nonionic bonding | ||
This subclass is indented under subclass 303. Compounds wherein the cyano group is attached indirectly
to a benzene ring by acyclic nonionic bonding.
| |||
389 | Non-carbon atom in acyclic chain between the benzene ring and the cyano group | ||
This subclass is indented under subclass 388. Compounds wherein the acyclic chain between the benzene
ring and the cyano group has a noncarbon atom as a chain member.
| |||
390 | Nitrogen in the acyclic chain | ||
This subclass is indented under subclass 389. Compounds wherein the acyclic chain has nitrogen as a chain
member.
| |||
391 | Carbon, also in the chain, double bonded to the nitrogen | ||
This subclass is indented under subclass 390. Compounds wherein the nitrogen is double bonded to carbon,
which is also a member of the chain.
| |||
392 | Having -C(=X)-, also in the chain, bonded directly to the nitrogen (wherein X is chalcogen) | ||
This subclass is indented under subclass 390. Compounds wherein the nitrogen is bonded directly to -C(=X-,
which is also in the chain, wherein X is chalcogen (i.e., oxygen,
sulfur, seleium, or tellurium).
| |||
393 | Carbon to carbon unsaturation, chalcogen, or additional nitrogen in the chain | ||
This subclass is indented under subclass 392. Compounds wherein the chain also has carbon to carbon unsaturation,
an additional nitrogen, or chalcogen (i.e., oxygen, sulfur, selenium,
or tellurium).
| |||
394 | The chain nitrogen bonded directly to the benzene ring | ||
This subclass is indented under subclass 390. Compounds wherein the benzene ring is bonded directly to
the chain nitrogen.
| |||
395 | Cyano or carbonyl bonded directly to an acyclic carbon which is double bonded to another carbon | ||
This subclass is indented under subclass 394. Compounds wherein an acyclic carbon which is double bonded
to another carbon is also bonded directly to cyano or to carbonyl.
| |||
396 | Sulfur in the chain | ||
This subclass is indented under subclass 389. Compounds wherein the acyclic chain has sulfur as a chain
member.
| |||
397 | Oxygen double bonded to the sulfur | ||
This subclass is indented under subclass 396. Compounds wherein the sulfur is double bonded to oxygen.
| |||
398 | Having -COO- in the chain | ||
This subclass is indented under subclass 389. Compounds wherein-C(=O)- is part of the acyclic
chain.
| |||
399 | The carbon of the -COO- group is bonded directly to the benzene ring | ||
This subclass is indented under subclass 398. Compounds wherein the benzene ring is bonded dircftly to
the carbon of the -C(=O)- group.
| |||
400 | Cyano or carbonyl bonded directly to an acyclic carbon which is double bonded to another carbon | ||
This subclass is indented under subclass 398. Compounds wherein an acyclic carbon which is double bonded
to another carbon is also bonded directly to cyano or to carbonyl.
| |||
401 | Benzene ring and cyano connected by a chain consisting of two carbons multiple bonded to each other | ||
This subclass is indented under subclass 388. Compounds wherein a chain consisting of two carbons multiple
bonded to each other connects the cyano group and the benzene ring.
| |||
402 | Additional benzene ring bonded directly to the chain | ||
This subclass is indented under subclass 401. Compounds wherein one of the carbons of the chain is bonded
directly to an additional benzene ring.
| |||
403 | Nitrogen, except as nitro or nitroso, bonded directly to the benzene ring | ||||
This subclass is indented under subclass 401. Compounds wherein the benzene ring is bonded directly to
nitrogen, except as nitro or nitrosos.
| |||||
404 | Having -C(=X)-, wherein X is chalcogen, attached indirectly to the cyano group by nonionic bonding | ||
This subclass is indented under subclass 388. Compounds wherein the cyano group is attached ndirectly
to -C(=X)- by nonionic bonding, wherein X is chalcogen
(i.e., oxygen, sulfur, selenium, or tellurium).
| |||
405 | Two carbons bonded directly to the carbon of the -C(=X)- group (e.g., ketones, etc.) | ||
This subclass is indented under subclass 404. Compounds wherein the carbon of the -C(=X)- group
is bonded directly to two carbons.
| |||
406 | Oxygen bonded directly to carbonyl (e.g., carboxylic acid esters, etc.) | ||
This subclass is indented under subclass 404. Compounds wherein a carbonyl group, -C(=O)-, is
bonded directly to oxygen.
| |||
407 | Three-membered carbocyclic ring containing | ||
This subclass is indented under subclass 406. Compounds which contain a three-membered carbocyclic ring.
| |||
408 | Nitrogen, except as nitro or nitroso, attached indirectly to the cyano group by nonionic bonding | ||||
This subclass is indented under subclass 388. Compounds wherein the cyano group is attached indirectly
to nitrogen, except as nitro or nitroso, by nonionic bonding.
| |||||
409 | Plural cyano groups containing | ||
This subclass is indented under subclass 408. Compounds wherein plural cyano groups are present.
| |||
410 | Oxygen attached indirectly to the cyano group by nonionic bonding (e.g., nitro group, etc.) | ||
This subclass is indented under subclass 388. Compounds wherein the cyano group is attached indirectly
to oxygen by nonionic bonding.
| |||
411 | Benzene ring bonded directly to the cyano group | ||
This subclass is indented under subclass 303. Compounds wherein the cycano group is bonded directly to
a benzene ring.
| |||
412 | Sulfur and hydroxy bonded directly to the same benzene ring, or containing a monocyclic unsaturated alicyclic ring or thiocarbonyl | ||
This subclass is indented under subclass 411. Compounds wherein sulfur and hydroxy are bonded to the same
benzene ring, or which contain a monocyclic unsaturated alicyclic
ring or a thiocarbonyl group, -C(S)-.
| |||
413 | Sulfur, double bonded to oxygen, attached indirectly to the cyano group by nonionic bonding | ||
This subclass is indented under subclass 411. Compounds wherein the cyano group is attached indirectly,
by nonionic bonding, to sulfur which is double bonded to oxygen.
| |||
414 | Carbonyl attached indirectly to the cyano group by nonionic bonding | ||
This subclass is indented under subclass 411. Compounds wherein the cyano group is attached indirectly
to carbonyl, -C(=O)-, by nonionic bonding.
| |||
415 | Benzene ring bonded directly to the carbonyl | ||
This subclass is indented under subclass 414. Compounds wherein the carbonyl is bonded directly to a benzene
ring.
| |||
416 | Oxygen bonded directly to the carbonyl (e.g., benzoic acid esters, etc.) | ||
This subclass is indented under subclass 415. Compounds wherein the carbonyl is bonded directly to both
a benzene ring and to oxygen.
| |||
417 | The carbonyl is bonded directly to two non-carbon atoms, or to a non-carbon atom and an additional carbonyl (e.g., carbamates, oxamides, etc.) | ||
This subclass is indented under subclass 414. Compounds wherein two noncarbon atoms, or a noncarbon atom
and an additional carbonyl, are bonded directly to the carbonyl
group.
| |||
418 | Nitrogen, except as nitro or nitroso, attached indirectly to the cyano group by nonionic bonding | ||||
This subclass is indented under subclass 411. Compounds wherein the cyano group is attached indirectly
to nitrogen, except as notro on nitroso, by nonionic bonding.
| |||||
419 | Plural cyano groups containing | ||
This subclass is indented under subclass 418. Compounds wherein plural cyano groups are present.
| |||
420 | Plural benzene rings bonded directly to cyano groups | ||
This subclass is indented under subclass 419. Compounds wherein cyano groups are bonded directly to more
that one benzene ring.
| |||
421 | Plural cyano groups bonded directly to a benzene ring, which is further unsubstituted or hydrocarbyl substituted only | ||
This subclass is indented under subclass 419. Compounds wherein plural cyano groups are bonded directly
to a benzene ring, which is further unsubstituted or hydrocarbyl
substituted only.
| |||
422 | The nitrogen is attached indirectly to a benzene ring by acyclic nonionic bonding | ||
This subclass is indented under subclass 418. Compounds wherein a benzene ring is attached indirectly
to the nitrogen by acyclic nonionic bonding.
| |||
423 | Oxygen attached indirectly to the cyano group by nonionic bonding | ||
This subclass is indented under subclass 411. Compounds wherein the cyano group is attached indirectly
to oxygen by nonionic bonding.
| |||
424 | Two benzene rings bonded directly to the same oxygen, or nitrogen bonded directly to oxygen (e.g., nitro compounds, phenoxyphenyl compounds, etc.) | ||
Compounds under subclas 423 wherein the oxygen is bonded
directly to nitrogen, or two benzene rings are bonded directly to
the same oxygen.
| |||
425 | Halogen attached indirectly to the cyano group by nonionic bonding | ||
This subclass is indented under subclass 411. Compounds wherein the cyano group is attached indirectly
to halogen by nonionic bonding.
| |||
426 | Benzene ring attached indirectly to the cyano group by nonionic bonding (i.e., alicyclic ring between the benzene ring and the cyano group) | ||
This subclass is indented under subclass 303. Compounds wherein the cyano group is attached indirectly
to a benzene ring by nonionic bonding.
| |||
427 | Polycyclo ring system having at least three cyclos, at least one of which is a benzene ring | ||
This subclass is indented under subclass 426. Compounds which contain a polycyclo ring system having at
least three cyclos, and at least one of the cyclos of the system
is a benzene ring.
| |||
428 | Polycyclo alicyclic ring system containing | ||
This subclass is indented under subclass 303. Compounds which contain a polycyclo alicyclic ring system.
| |||
429 | The ring system contains at least three cyclos | ||
This subclass is indented under subclass 428. Compounds wherein at least three cyclos are in the polycyclo
alicyclic ring system.
| |||
430 | Six-membered alicyclic ring containing | ||
This subclass is indented under subclass 303. Compounds which contain a six-membered alicyclic ring.
| |||
431 | Cyano bonded directly to the ring | ||
This subclass is indented under subclass 430. Compounds wherein the six-membered alicyclic ring is bonded
directly to the cyano group.
| |||
432 | Five-membered alicyclic ring containing | ||||
This subclass is indented under subclass 303. Compounds which contain a five-membered alicyclic ring.
| |||||
433 | Four-membered alicyclic ring containing | ||
This subclass is indented under subclass 303. Compounds which contain a four-membered alicyclic ring.
| |||
434 | Three-membered alicyclic ring containing | ||
This subclass is indented under subclass 303. Compounds which contain a three-membered alicyclic ring.
| |||
435 | Acyclic (e.g., purification of saturated nitriles, etc.) |
| This subclass is indented under subclass 303. Compounds which are acyclic. | |
436 | Sulfur attached indirectly to the cyano group by nonionic bonding | ||
This subclass is indented under subclass 435. Compounds wherein the cyano group is attached in directly
to sulfur by nonionic bonding.
| |||
437 | The sulfur is double bonded to oxygen | ||
This subclass is indented under subclass 436. Compounds wherein oxygen is double bonded to the sulfur.
| |||
438 | Two carbons bonded directly to the same divalent sulfur | ||
This subclass is indented under subclass 436. Compounds wherein two carbons are bonded directly to the
same divalent sulfur.
| |||
439 | Additional cyano group | ||
This subclass is indented under subclass 438. Compounds wherein plural cyano groups are present.
| |||
440 | Carbonyl attached indirectly to the cyano group by nonionic bonding (e.g., aldehydes, ketones, etc.) | ||
This subclass is indented under subclass 435. Compounds wherein the cyano group is attached indirectly
to carbonyl, -C(=O)-, by nonionic bonding
| |||
441 | Oxygen bonded directly to the carbonyl group (e.g., carboxylic acid esters, etc.) | ||
This subclass is indented under subclass 440. Compounds wherein the carbonyl group is bonded directly
to oxygen.
| |||
442 | Additional carbonyl attached indirectly to the cyano group by nonionic bonding | ||
This subclass is indented under subclass 441. Compounds wherein plural carbonyl, -C(=O), groups
are attached indirectly to the cyano group by nonionic bonding.
| |||
443 | The cyano group is bonded directly to the carbon adjacent to the carbonyl carbon (e.g., alpha cyano acrylates, etc.) | ||
This subclass is indented under subclass 441. Compounds wherein the carbon adjacent to the carbonyl carbon
is bonded directly to the cyano group.
| |||
444 | The oxygen is between the carbonyl and the cyano group (e.g., cyano is in the alcohol portion of a carboxylic acid ester, etc.) | ||
This subclass is indented under subclass 441. Compounds wherein the oxygen is between the cyano group
and the carbonyl.
| |||
445 | Nitrogen bonded directly to the carbonyl (e.g., ureas, etc.) | ||
This subclass is indented under subclass 440. Compounds wherein the carbonyl is bonded directly to nitrogen.
| |||
446 | Nitrogen, double bonded to carbon, attached indirectly to the cyano group by nonionic bonding (e.g., imines, oximes, etc.) | ||
This subclass is indented under subclass 435. Compounds wherein the cyano group is attached indirectly,
by nonionic bonding, to nitrogen, which is double bonded to carbon.
| |||
447 | Plural carbons bonded directly to the same oxygen | ||
This subclass is indented under subclass 435. Compounds wherein the same oxygen is bonded directly to
plural carbons.
| |||
448 | Plurals oxygens bonded directly to the same carbon (e.g., acetals, etc.) | ||
This subclass is indented under subclass 447. Compounds wherein the same carbon is bonded directly to
plural oxygens.
| |||
449 | Cyano is attached directly or indirectly by nonionic bonding to carbon that is multiple bonded to another carbon | ||
This subclass is indented under subclass 447. Compounds wherein carbon, which is multiple bonded to another
carbon, is attached directly or indirectly to the cyano group by
nonionic bonding.
| |||
450 | Processes for formation of an ether group (e.g., cyanoethylation of alcohols, etc.) | ||
This subclass is indented under subclass 447. Processes wherein an ether group is formed.
| |||
451 | Having -OH bonded directly to carbon (wherein H of -OH may be replaced by substituted or unsubstituted ammonium, or by a Group IA or IIA light metal) by dehydroacylation, etc.) | ||
This subclass is indented under subclass 435. Compounds wherein carbon is bonded directly to -OH (wherein
H of -OH may be replaced by substituted or unsubstituted ammonium,
or by a Group IA or IIA light metal).
| |||
452 | Nitrogen attached indirectly to the cyano group by nonionic bonding | ||
This subclass is indented under subclass 435. Compounds wherein the cyano group is attached indirectly
to nitrogen by nonionic bonding.
| |||
453 | Plural cyano groups bonded directly to the same carbon (e.g., malononitrile, tetracyanoethylene, etc.) | ||
This subclass is indented under subclass 452. Compounds wherein plural cyano groups are bonded directly
to the same carbon.
| |||
454 | Plural cyano groups bonded directly to the same chain (e.g., adiponitrile, etc.) | ||
This subclass is indented under subclass 452. Compounds wherein plural cyano groups are bonded directtly
to the same chain.
| |||
455 | The chain contains nitrogen (e.g., iminodiacetonitrile, nitrilotriacetonitrile, etc.) | ||
This subclass is indented under subclass 454. Compounds wherein nitrogen is a member of the chain.
| |||
456 | Purification or recovery of saturated hydrocarbon dinitriles (e.g., from mixtures with cyanocyclopentanonimine, 2-cyanocyclopenten-1-ylamine, etc.) |
| This subclass is indented under subclass 454. Processes wherein saturated hydrocarbon dinitriles are separated from impurities, or from a reaction medium. | |
457 | A carbon in the chain is multiple bonded to carbon (e.g., 1,4 dicyanobutene, etc.) | ||
This subclass is indented under subclass 454. Compounds wherein carbon is multiple bonded to a carbon
in the chain.
| |||
458 | The nitrogen is attached directly to halogen by nonionic bonding, or is part of a nitro, nitroso, nitrate, or N-oxide group | ||
This subclass is indented under subclass 452. Compounds wherein the nitrogen is part of a nitro, nitroso
nitrate, or N-oxide group, or is attached directly to halogen by
nonionic bonding.
| |||
459 | Hydrogenation of dinitriles, or displacement of halo, hydroxy, or alkoxy by ammonia or substituted ammonia | ||
Processes under sublcass 452 wherein halo, hydroxy or alkoxy
is displace by ammonia or substituted ammonia, or wherein a dinitrile
is hydrogenated.
| |||
460 | Halogen attached indirectly to the cyano group by nonionic bonding | ||
This subclass is indented under subclass 435. Compounds wherein the cyano group is attached indirectly
to halogen by nonionic bonding.
| |||
461 | Plural halogens attached indirectly to the cyano group by nonionic bonding | ||
This subclass is indented under subclass 460. Compounds wherein the cyano group is attached indirectly
to plural halogens by nonionic bonding.
| |||
462 | Carbon to carbon unsaturation containing | ||
This subclass is indented under subclass 435. Compounds which contain carbon to carbon unsaturation.
| |||
463 | Purification or recovery |
| This subclass is indented under subclass 462. Processes wherein a nitrile containing carbon to carbon unsaturation is separated from impurities or from a reaction medium. | |
464 | Utilizing ion exchange resin, or a silicon, aluminum, or heavy metal containing material | ||
This subclass is indented under subclass 463. Processes which utiltze a material that contains silicon,
aluminum, or a metal having specific gravity greater than four,
or which utilize an ion exchange resin.
| |||
465 | Of nitriles prepared by hydrocyanation (e.g., by reaction of acetylene with hydrogen cyanide, etc.) |
| This subclass is indented under subclass 463. Processes unde ... wherein the nitrile to be separated from impurities or from a reaction medium is prepared by hydrocyanation. | |
466 | Of nitriles prepared by reaction of an organic compound, ammonia, and molecular oxygen or a molecular oxygen-containing gas (i.e., of nitriles prepared by ammoxidation) |
| This subclass is indented under subclass 463. Processes wherein the nitrile to be separated from impurities of from a reaction medium is prepared by reaction of an organic compounds ammonia, and molecular oxygen or a molecular oxygen-containing gas. | |
467 | Processes for preparation of saturated nitriles | ||
This subclass is indented under subclass 435. Processes wherein saturated nitriles are prepared.
| |||
480 | Nitrate esters or chalcogen analogues thereof (i.e., compounds having (X=)N(=X)-X- bonded directly to carbon, which carbon may be single bonded to any atom but may be multiple bonded only to carbon; the X's may be the same or diverse chalcogens) | ||||
| This subclass is indented under subclass 1. Compounds under Class 532, ... which contain the group,
(see illustration below) wherein the X"s are the same or
diverse chalcogens (i.e., oxygen, sulfur, selenium, or tellurium), bonded
directly to carbon, which carbon may be single bonded to any atom
but may be multiple bonded only to an additional carbon.
SEE OR SEARCH CLASS:
| |||||
481 | With preservative or stabilizer |
| This subclass is indented under subclass 480. Compounds in admixture with a preserving or stabilizing agent whose sole function is to prevent physical or chemical change. | |
482 | Benzene ring containing | ||
This subclass is indented under subclass 480. Compounds which contain a benzene ring.
| |||
483 | Additional nitrogen or chalcogen containing | ||
This subclass is indented under subclass 480. Compounds which contain additional nitrogen or additional
chalcogen (i.e., oxygen, sulfur, selenium, or tellurium).
| |||
484 | Plural (X=)N(=X)-X- groups containing | ||
| This subclass is indented under subclass 483. Compounds which contain more than one group:
| |||
485 | Four or more (X=)N(=X)-X- groups containing | ||
| This subclass is indented under subclass 484. Compounds which contain at least four groups.
| |||
486 | Glyceryl trinitrate per se (i.e., trinitroglycerin) | ||
| This subclass is indented under subclass 484. The compound, trinitroglycerine, which has the following
structure:
| |||
487 | Containing nitrogen bonded directly to carbon | ||
This subclass is indented under subclass 484. Compounds in which carbon is bonded directly to nitrogen.
| |||
488 | Nitrite esters or chalcogen analogues thereof (i.e., compounds having (X=)N X- bonded directly to carbon, which carbon may be single bonded to any atom but may be multiple bonded only to carbon; the X's may be the same or diverse chalcogens) | ||||||
This subclass is indented under subclass 1. Compounds under Class 532, ... which contain the X=N-X-
group, wherein the X"s are the same or diverse chalcogens
(i.e., oxygen, sulfur, selenium, or tellurium), bonded directly
to carbon, which carbon may be single bonded to any atom but may
be multiple bonded only to an additional carbon.
SEE OR SEARCH CLASS:
| |||||||
![[Search a list of Patent Appplications for class 558]](../as.gif)
![[List of Patents for class 558 subclass 1]](../ps.gif)


























































































































































































































































































































