CPC Definition - Subclass C12P
This place covers:
- Processes wherein the product (compound or composition) is synthesised by a biochemical transformation of matter performed by using enzymes or microorganisms.
- Processes of separating enantiomers (optical isomers) from a racemic mixture by using enzymes or microorganisms.
Explanatory Note:
This subclass covers both major and minor chemical modifications.
In subclasses C12M - C12Q, in the absence of an indication to the contrary, classification is made in the last appropriate subclass of subclasses C12M - C12Q. For example, a fermentation or enzyme-using process involving condition-responsive control is classified in subclass C12Q, but not in C12P.
Documents relating to chemical compounds per se, in particular patent documents having claims/examples directed to such compounds per se, are classified in the relevant class, e.g. C07 or C08, which encompasses also the chemical method of preparation thereof. For instance, compositions comprising macromolecular compounds are classified in C08L.
If a particular reaction is considered of interest, it may also be classified in the relevant chemical compound class, e.g. C07, C08.
It is desirable to add the indexing codes of subclass C12R for microorganisms which are considered to be of interest for search.
Microorganisms or products thereof added to foodstuff, medicinal, or cosmetic preparations are covered by A21, A23 and A61. Methods for biological treatment of waste are also covered by other classes, e.g. C02F (see below list).
Microorganisms (compositions containing them, processes of propagating, maintaining, preserving them, culture media therefore) are classified in C12N 1/00 - C12N 7/00 and subgroups. Sub-cellular parts of microorganisms, unless specifically provided for elsewhere, are classified with the whole cell, i.e. in groups C12N 1/00 - C12N 7/00 and subgroups.
Processes for producing specific peptides or proteins by recombinant microorganisms are normally not classified in C12P. Instead, such processes are classified together with the respective products in C07K, or, in case of enzymes, C12N 9/00 and subgroups. Expression vectors or methods using them are classified in C12N 15/63 and below. A classification in C12P 21/00 and below is only given for methods of general applicability not restricted to a specific protein (except expression vectors) or for methods indicating precise fermentation conditions (e.g. specific growth conditions) (C12P 21/00 and C12P 21/02), for glycosylation methods (C12P 21/005), or for methods wherein a protein is obtained by hydrolysis (C12P 21/06).
Measuring or testing processes involving enzymes or microorganisms , C12Q. Assays and products for analysing or detecting nucleic acids are covered in C12Q 1/68. C12Q 1/70 similarly relates to nucleic acid assays and products for analysing or detecting viruses or bacteriophages. Measuring or testing processes involving nucleic acid amplification reactions such as PCR are covered in C12Q 1/6844.
DNA or RNA concerning genetic engineering, vectors (plasmids), or their isolation, preparation or purification are classified in C12N 15/00 and subgroups.
Documents disclosing new isolates of microorganisms or mutant microorganisms where the mutated genes are unknown should additionally be classified in C12R, and, if appropriate, in a subgroup of C12N 1/00. If mutant microorganisms are described for which the mutated or introduced gene is specified, the C12N 9/00 subgroup corresponding to that gene should be given.
Documents relating to methods of pretreatment of cellulosic or lignocellulosic material are classified in C08B 1/00, C08H 8/00, D21B 1/00, D21C 1/00 or D21C 3/00. If such methods are intended to enhance the enzymatic digestibility (hydrolysis), e.g. for obtaining fermentable sugars and follow-up fermentation products, then the corresponding C12P group is given, e.g. C12P 7/10 (ethanol from cellulosic substrate) or C12P 19/02 (glucose) and C12P 19/14 (using a cellulase), and in addition the C12P Indexing Code C12P 2201/00 is given.
Documents relating to the preparation of fatty acids by hydrolysis of fats or oils using enzymes or microorganisms are classified in C12P 7/6418, and also in C11C 1/045. If the method of preparation involves the use of enzymes or microorganisms as a main feature then the document should always be classified in C12P 7/6418. However, if the choice of particular enzymes or microorganisms, or the specific conditions for conducting the enzymatic or fermentative step do not seem to be the inventive feature of the process, then the document should rather only be classified in C11C 1/045.
Examples of places where the subject matter of this place is covered when specially adapted, used for a particular purpose, or incorporated in a larger system:
Treating dough with microorganisms or enzymes | |
Processes for treating foods or foodstuffs | |
Production of methane by anaerobic treatment of sludge | |
Preparation of fertilisers characterised by a composting step | |
Fermentation processes for beer production | |
Fermentation processes for wine making | |
Fermentation processes for preparing alcoholic beverages other than wine and beer | |
Pasteurisation, sterilisation, preservation, purification, clarification, ageing of alcoholic beverages involving enzymes | |
Preparation of alcohol from alcoholic beverages | |
Preparing vinegar by fermentation of starting materials | |
Enzymes | |
Mutation and genetic engineering isolation, preparation or purification of DNA, RNA |
Attention is drawn to the following places, which may be of interest for search:
Biocides of microbiological origin | |
Cosmetic preparations containing algae extracts | |
Cosmetic preparations containing MOs | |
Medicinal preparations containing undetermined materials from MOs | |
Medicinal preparations containing undetermined materials from algae | |
Medicinal preparations containing peptides | |
Medicinal preparations containing antigens | |
Elimination of harmful chemicals by enzymes or MOs | |
Distillation or rectification of fermented solutions | |
Separating processes involving the treatment of liquids with solid sorbents | |
Biological purification of waste gases | |
Catalysts comprising enzymes | |
Destroying solid waste or transforming solid waste | |
Bioremediation of contaminated soil | |
Methods of preparing compounds without using enzymes or microorganisms | |
Biological treatment of water, waste water or sewage | |
Biological treatment of sludge | |
Separation/ purification of alcohols (except phenols) e.g. ethanol | |
Separation/ purification of ketones | |
Separation/ purification of carboxylic acids | |
Separation/ purification of carboxylic acid esters | |
Peptides, proteins and antibodies | |
Preparatory treatment of cellulose for making derivatives thereof | |
Preparation of starch, degraded or non-chemically modified starch, amylose, or amylopectin | |
Preparation of polysaccharides other than starch and cellulose or their derivatives | |
Polyesters and preparation thereof | |
Macromolecular compounds derived from lignocellulosic materials | |
Recovery of waste polymers by chemically breaking down the polymer chain by treatment with enzymes | |
Compositions comprising polyesters | |
Methods for enhanced recovery of hydrocarbons using bacteria | |
Recovery of hydrocarbons, using a composition comprising bacteria | |
Refining of hydrocarbon oils by MOs | |
Lubricating compositions | |
Production of fats or fatty oils from raw materials | |
Pretreatment of raw materials for production of fats or fatty oils, using enzymes or MOs | |
Refining of fats or oils by enzymes or MOs | |
Production of fatty acids by hydrolysis of fats or oils using enzymes or MOs (see above limitation) | |
Fats, oils, fatty acids by esterification | |
Detergent compositions containing enzymes | |
Recovery of CO2 as by-product | |
Apparatus for enzymology, microbiology or cell culture | |
MOs (compositions containing them, processes of propagating, maintaining, preserving them, culture media) | |
Methods involving directed evolution of proteins, DNA or RNA | |
Measuring and testing involving enzymes or MOs | |
Measuring or testing processes involving nucleic acid amplification reactions (PCR) | |
Novel microorganisms | |
Production of sugar (saccharose) juice | |
Purification of sugar juices using MOs or enzymes | |
Glucose, maltose, lactose, fructose, invert sugar etc. | |
Extraction of metal compounds from ores or concentrates using MOs or enzymes | |
Bleaching fibres etc. using enzymes | |
Biochemical treatment of fibres, threads, yarns, fabrics or fibrous goods made from such materials, e.g. enzymatic | |
Pretreatment of the finely-divided cellulose-containing materials before digesting | |
Pulping cellulose-containing materials | |
Treatment of cellulose-containing material with MOs or enzymes | |
Methods for enhanced recovery of hydrocarbons using bacteria | |
Assays involving biological materials from specific organisms or of a specific nature | |
Immunoassays and enzyme assays | |
Bioinformatics | |
Biochemical fuel cell (production of electricity) | |
Biofuels, e.g. bio-diesel | |
Methane (biogas) by fermentation of organic byproducts |
In the absence of an indication to the contrary, classification is made in the last appropriate place.
Documents are primarily classified according to the compounds produced. In addition, if appropriate, classification according to the method or biocatalyst used to produce the compound is made.
This subclass covers both major and minor chemical modifications.
In this subclass:
- metal or ammonium salts of a compound are classified as that compound;
- compositions are classified in the relevant compound groups.
The following groups should only be given together with the corresponding product group: C12P 19/14 - C12P 19/24, C12P 39/00, C12P 41/00 - C12P 41/009.
Group C12P 1/00 covers general processes using microorganisms or enzymes for preparing compounds or compositions and processes using microorganisms or enzymes for producing compositions and compounds not sufficiently identified to be classified in groups C12P 3/00 - C12P 37/00. Compounds identified only by their empirical formulae are not considered to be sufficiently identified to be classified in groups C12P 3/00 - C12P 37/00.
In the case that a document relates to the production of "fermentation products" in general, or to the production of multiple fermentation products, then the document is classified only for the products experimentally exemplified (this may be more than 5 C12P groups), or, in case that no examples are given or not all claimed products are exemplified, for those products for which there exists a reasonable support (this should be no more than 5 different C12P groups, but it may also only be a single product in some cases), or for the first products listed in case of no preference at all (maximum 5 different C12P groups). However, documents relating to the production of fermentation products without indication of any preferable product should if possible not be classified in C12P 1/00 - C12P 1/06.
The following illustrates the case of a document relating to the production of a general family of products: A document relating to the production of "an alcohol" without further specification is classified in C12P 7/02. However, if certain alcohols are further specified, then the document is also classified in the specific subgroup, e.g. C12P 7/16 for butanol. Opposed to this, if the chemical structure of the product is largely unknown, and it is only known that the product comprises an alcohol group, then the document should rather be classified in the appropriate C12P 1/00 subgroup. In case of Markush formulae, the same approach as for "fermentation products" (see above) should be used.
The following Indexing Codes should, where applicable, be given as additional information (compulsory):
Pretreatment of cellulosic or lignocellulosic material for subsequent enzymatic treatment or hydrolysis | |
Fermentation products obtained from optionally pretreated and/or hydrolyzed cellulosic or lignocellulosic material as the carbon source (ethanol C12P 7/10) |
In this place, the following terms or expressions are used with the meaning indicated:
Microorganism Microorganisms | Comprises single-celled organisms such as bacteria, actinomycetales or single-celled fungi, e.g. yeasts; for the purposes of classification, this term also includes viruses, undifferentiated human, animal or plant cells, protozoa, tissues and unicellular algae. |
Saccharide | polyhydroxy-aldehyde or -ketone, or derivative thereof; the exact definition is given under C12P 19/00 |
This place covers:
- General processes using microorganisms or enzymes for preparing compounds or compositions
- Processes using microorganisms or enzymes for producing compositions and compounds "not sufficiently identified" to be classified in groups C12P 3/00 - C12P 37/00.
Compounds "not sufficiently identified" are compounds not identified with a chemical structure, or complex mixtures of compounds with no principal chemical compound identified. Examples are compounds identified only by their empirical formulae, their activity, their method of preparation, and/or their physical or chemical properties. Examples of "complex mixtures" are compositions obtained by fermentation without further specification of the (principal) chemical product(s) contained therein. In all other cases, a composition is classified with the relevant compound groups (one or more of C12P 5/00-C12P 37/00).
Notable exceptions, which should NOT get a C12P 1/00 classification, are (see also below table):
- Methods for biological treatment of waste, covered by other classes, e.g. C02F.
An positive example of a document to be classified in C12P 1/00:
E.g., a document relating to an antibiotic produced by a certain bacterium, where the antibiotic is only defined by its activity and/or its preparation method. Such a document would have to be classified in C12P 1/04. "not sufficiently characterized" may e.g. mean that, although it is specified in the description that the antibiotic compound bears an alcohol group, it is not clear if it also bears other functional groups (e.g. amine) or a heterocycle, i.e. it could fall under C12P 7/02, C12P 13/00 or C12P 17/00. Note that in this case the document should also be classified in C07G 11/00.
Generally, C12P 1/00 should not simply be used if the product or composition obtained by fermentation or enzymatic reaction is not found in C12P 3/00-C12P 37/00. Reference is made to the list of fields not covered in C12P 1/00 (see below table).
Bacteria or bacterial products added to foodstuff, medicinal, or cosmetic preparations are covered by A23 and A61.
Methods for biological treatment of waste are also covered by other classes, e.g. C02F (see below list).
A composition comprising a microorganism is classified in C12N 1/00. Recombinant cells, viruses or microorganisms are classified in C12N 5/00, C12N 7/00, C12N 9/00, and/or C12N 15/00.
New microorganism strains or their use are classified in C12R.
In addition, documents which are classified in C12P 1/00 should preferably also be classified in C12R. E.g. a document relating to a method to produce a not further structurally defined antiobiotic using a Penicillium bacterium will be classified in C12P 1/00 and in C12R 2001/80. even if the particular Penicillium strain is a known strain (or if there are no claims to the strain per se in a patent document).
This place does not cover:
Baking; treatment of flour or dough | |
Foods or foodstuffs; their treatment | |
Cosmetic preparations containing MOs | |
Medicinal preparations containing undetermined materials from MOs | |
Elimination of harmful chemicals by enzymes or MOs | |
Biological purification of waste gases | |
Bioremediation of contaminated soil | |
Biological treatment of water, waste water or sewage | |
Biological treatment of sludge | |
Preparation of fertilisers characterized by a composting step | |
Antibiotics of unknown structure | |
Recovery of CO2 as by-product | |
MOs (compositions containing them, processes of propagating, maintaining, preserving them, culture media) | |
Microorganism recombinantly expressing an enzyme | |
Microorganism recombinantly expressing an enzyme cluster/ an enzymatic pathway | |
Biochemical fuel cell (product= electricity) |
Attention is drawn to the following places, which may be of interest for search:
Novel microorganisms |
Documents which have been classified in this group should also be classified in C12R, even if such compounds are produced by known strains. Note that this rule applies only to C12P 1/00 - C12P 1/06, and NOT to groups C12P 3/00 - C12P 41/00.
This place covers:
Production of inorganic compounds, i.e. all chemical compounds except organic compounds. Comprised within this group are inorganic gases (except carbon dioxide), fluids or solids including inorganic salts or inorganic polymers, minerals and metals.
Salts of organic compounds are not classified in C12P 3/00, but are instead classified as that organic compound (C12P 5/00-C12P 37/00).
This place does not cover:
Extraction of metal compounds from ores or concentrates using MOs or enzymes |
Attention is drawn to the following places, which may be of interest for search:
Recovery of CO2 as by-product |
This place covers:
The preparation of hydrocarbons or halogenated hydrocarbons
Terpenes are classified in C12P 5/007 no matter if they are acyclic or cyclic (i.e. the last place rule does not apply in this case).
In this place, the following terms or expressions are used with the meaning indicated:
Attention is drawn to the fact that, depending on the definition given in an application, a "diesel", "biodiesel" (or a "fuel" or "biofuel" in general) may be meant to designate a hydrocarbon (C12P 5/00), in contrast to a fatty acid ester (C12P 7/649) or other "biofuels" such as bioethanol (C12P 7/06). Similarly, the term "biogas" may designate a methane containing gas (C12P 5/023) or a hydrogen-containing gas (C12P 3/00) or mixtures thereof (in this case, both classes would be given).
This place covers:
The preparation of terpenes, i.e. compounds containing and/or built from isoprene units
.
Terpenes are classified in C12P 5/007 no matter if they are acyclic or cyclic.
Note that terpenoids (isoprenoids), i.e. compounds derived from terpenes (methyl groups removed and/or oxygen atoms added) are classified elsewhere in C12P, e.g. in C12P 5/00, C12P 7/00, C12P 15/00, C12P 17/00, C12P 19/00, C12P 23/00 or C12P 33/00.
Methods to produce methane are classified, alternatively or in addition to C12P 5/023, in C02F 3/00 or C02F 11/00.
This place does not cover:
Bioreactors for gas production, e.g. biogas |
Attention is drawn to the following places, which may be of interest for search:
Biological treatment of water, waste water, or sewage | |
Anaerobic digestion processes | |
Treatment of sludge | |
Anaerobic treatment; Production of methane by such processes |
In the case of methods of producing methane in biological waste treatment systems, classification in C12P 5/023 is done if technical details of the fermentation step for forming methane are considered to be important features (in contrast to other features of the purification system or to apparatus features). Otherwise, classification in C02F 3/00, C02F 11/00 and/or C12M is sufficient.
In this place, the following terms or expressions are used with the meaning indicated:
Biogas | methane containing gas produced by fermentation; in some instances, the term is also used to designate other gases produced by fermentation, such as hydrogen |
This place does not cover:
Animal feeding stuffs from distillers' or brewers' waste | |
Distillation or rectification of fermented solutions | |
Refining of hydrocarbon oils by MOs |
Attention is drawn to the following places, which may be of interest for search:
Separation/ purification of alcohols (except phenols) e.g. ethanol | |
Separation/ purification of ketones | |
Separation/ purification of carboxylic acids | |
Separation/ purification of carboxylic acid esters | |
Production of fats or fatty oils from raw materials | |
Refining of fats or oils by enzymes or MOs | |
Production of fatty acids by hydrolysis of fats or oils using enzymes or MOs (see limitations indicated under C12P 7/64) | |
Fats, oils, fatty acids by esterification |
In this place, the following terms or expressions are used with the meaning indicated:
Aromatic | refers to compounds containing an aromatic group, wherein the hydroxy group need not be directly attached to the aromatic group, i.e. compounds such as phenylethanol are also comprised in this group. |
This place covers:
This place covers the production of carboxylic acid esters, except fatty acid esters.
Attention is drawn to the following places, which may be of interest for search:
Fatty acid esters |
This place covers:
Production of:
- Fatty acids, including saturated, unsaturated, hydroxylated or polycarboxylic fatty acids
- Fatty acid mono-, di- or triglycerides
- Phosphoglycerides containing at least one fatty acid moiety
- Fatty acid esters, including amides
Nitrogen- or saccharide-containing lipids and any lipids containing a residue falling under product classes C12P 11/00-C12P 33/00 should be classified both in C12P 7/64 and in the appropriate place in C12P 11/00-C12P 33/00.
Examples are (the appropriate classification is indicated in parentheses):
- Phosphatidylcholine and phosphatidylethanolamine, see below Figure (C12P 7/6481 and C12P 13/001)
- Sphingolipids, e.g. ceramides, see below Figure (C12P 7/6436 and C12P 13/02)
- Phosphatidylserine (C12P 7/6481 and C12P 13/06)
- Glycolipids, e.g. phosphatidylinositol (C12P 7/6481 and C12P 19/44)


Figure: (left) a ceramide, (right) phosphatidylcholine (R= fatty acid acyl)
Attention is drawn to the following places, which may be of interest for search:
Phosphoglycerides having carboxylic acids with less than seven carbon atoms |
Processes specially aimed at the production of biodiesel are classified in C12P 7/649. If other features independent of the biodiesel production are considered to be a contribution over the prior art, the document is additionally classified in other subgroups of C12P 7/64.
Documents relating to the preparation of fatty acids by hydrolysis of fats or oils using enzymes or microorganisms are classified in C12P 7/6418 and in C11C 1/045. If the method of preparation involves the use of enzymes or microorganisms as a main feature then the document should always be classified in C12P 7/6418. However, if the choice of particular enzymes or microorganisms, or the specific conditions for conducting the enzymatic or fermentative step do not seem to be the inventive feature of the process, then the document should rather only be classified in C11C 1/045.
A similar approach should be used for deciding whether to classify a document in C12P 7/6436 (or below) or only in any of the classes C11B 1/025 and C11B 3/003.
The term "fatty acids" has been defined as below to include only carboxylic acids having a chain length of at least 7 carbon atoms. Documents relating to the production of "volatile fatty acids" normally relate to the production of carboxylic acids having a shorter chain, such as C2-C5 carboxylic acids. These documents should be classified in the respective groups in C12P 7/40 and subgroups.
As an exception, documents relating to fatty acid glycerides, wherein the carbon chain of the carboxylic acid moieties is shorter than 7 carbons, but wherein the glyceride is evidently a fat or oil, such as tributyrin, should be classified in C12P 7/6445 or subgroups. Similarly, documents relating to alkyl esters wherein the carboxylic acid moiety has at least 4 carbon atoms, and wherein the alcohol moiety is a long chain alcohol, e.g. a fatty alcohol, should be classified in C12P 7/6436 if the number of carbon atoms in the alcohol chain is 6 carbon atoms or more.
In this place, the following terms or expressions are used with the meaning indicated:
Esterification | Formation of an ester by reaction of an acid with an alcohol |
Transesterification | Formation of an ester by the reaction of an ester with an alcohol (=alcoholysis), by reaction of an ester with an acid (=acidolysis) or by reaction of an ester with another ester (=interesterification, ester exchange) |
Biodiesel or (bio)fuel | Fatty acid alkyl esters used as biodiesel, generally C1-C3 alkyl (methyl, ethyl or propyl) esters or C4 and C5 alkyl esters of fatty acids |
Fatty acid | Carboxylic acid having at least seven carbon atoms in an unbroken linear or branched chain bound to a carboxyl group, i.e. n-heptanoic acid and higher carboxylic acids, as well as unsaturated, or oxidized derivatives thereof, wherein oxidized derivative means that the carboxylic acid may contain hydroxy-, keto-, epoxy-, carboxy, peroxy, groups attached to the carbon chain. |
This place covers:
Production of biodiesel, wherein "biodiesel" has the following definition:
- Fatty acid alkyl esters which are designated as "biodiesel" or "(bio)fuel" or the like in the claims or the description of the document,
- Fatty acid alkyl esters that are known to be used as biodiesel, i.e. these are generally C1-C3 alkyl (methyl, ethyl or propyl) esters of fatty acids, although there is no exact definition and in some cases also C4 and C5 alkyl esters are comprised in the definition.
Processes specially aimed at the production of biodiesel are classified in C12P 7/649. If other features independent of the biodiesel production are considered to be a contribution over the prior art, the document is additionally classified in one or more other subgroup(s) of C12P 7/64.
This place covers:
Production of:
- phosphor-containing compounds except phosphoglycerides and except compounds falling under the definition of product classes below C12P 9/00 (C12P 11/00-C12P 33/00),
- organic compounds containing heteroatoms other than H, N, O, S or halogen
Frequent examples are organic compounds (except lipids) containing a phosphate group (-PO4), organometallic compounds, or compounds containing a hetero atom like Se, Si, As.
Not included are salts of organic compounds, which are classified with the organic compound.
This place does not cover:
Phosphoglycerides having less than 7 carbon atoms | |
Phosphoglycerides having fatty acids with at least 7 carbon atoms |
Phosphor-containing compounds are classified in C12P 9/00 (except phosphoglycerides, C12P 7/62 or C12P 7/6481).
Note that in other cases, the last place rule always applies, e.g.: phosphatidylcholine
should be classified in C12P 13/001,
phosphatidylserine
should be classified in C12P 13/06,
and nucleotides should be classified in C12P 19/30 and below.
This place does not cover:
Peptides, proteins and antibodies |
This place covers:
Sugars (saccharides) prepared by enzymatic and/or fermentative methods.
For the definition of the term "saccharide radical" the same criteria as in C07H apply, i.e.:
A "saccharide radical" is derived from acyclic polyhydroxy-aldehydes or acyclic polyhydroxy-ketones, or from their cyclic tautomers,
- by removing hydrogen atoms or
- by replacing hetero bonds to oxygen by the same number of hetero bonds to halogen, nitrogen, sulfur, selenium, or tellurium.
in accordance with either of the following definitions it:
a) consists of an uninterrupted carbon skeleton and oxygen atoms directly attached thereto, and;
b) is considered to be terminated by every bond to a carbon atom of a cyclic structure and by every bond to a carbon atom having three bonds to hetero atoms, e.g. ester or nitrile radicals, and;
c) contains within the carbon skeleton an unbranched sequence of at the most six carbon atoms in which at least three carbon atoms have one single bond to an oxygen atom as the only hetero bond (at least two in the case of a skeleton having only four carbon atoms, but at least three for compounds in which one or more carbon to oxygen bonds involved in a) or b) has been replaced by a carbon bond to a hetero atom other than oxygen), and
i) in a cyclic or acyclic sequence, at least one other carbon atom (that is not doubly bound to a carbon atom, e.g. glycals) has two single bonds to oxygen atoms as the only hetero bonds, or
ii) in an acyclic sequence, at least one other carbon atom (that is not doubly bound to a carbon atom) has one double bond to an oxygen atom as the only hetero bond;
d) has in the gamma or delta position in respect to the carbon atom bearing those two single bonds or this double bond to oxygen a carbon atom bearing one single bond to oxygen
e) is also a radical derived from a radical as defined in a) above by replacing at the most four of the specified hetero bonds to oxygen by the same number of hetero bonds to halogen, nitrogen, sulfur, selenium, or tellurium.
The terms "heterocyclic radical" or "hetero ring" are considered to exclude saccharide radicals as defined above.
Note: sorbitol and xylitol are NOT saccharide radicals, but they are polyhydric alcohols (classified in C12P 7/18)
Edible sugars obtained from natural sources or by chemical hydrolysis of naturally occurring di-, oligo- or polysaccharides are classified in C13, e.g. glucose obtained by saccharification of cellulosic materials, C13K 1/02. If the hydrolysis is done enzymatically (or using a microorganism), then the document should be classified in C13 and in C12P 19/00, e.g. a document relating to the production of glucose by hydrolysis of starch using amylase is classified in C12P 19/02 and C12P 19/14, and in C13K 1/06.
Novel sugars are classified in C07H. Polysaccharides, e.g. starch, derivatives thereof are classified in C08B. Production of malt is classified in C12C.
Documents relating to methods of pretreatment of cellulosic or lignocellulosic material are classified in C08B 1/00, D21B 1/00, D21C 1/00 or D21C 3/00. If such methods are intended to enhance the enzymatic digestibility (hydrolysis), e.g. for obtaining fermentable sugars and follow-up fermentation products, then the corresponding C12P group is given, e.g. C12P 7/10 (ethanol from cellulosic substrate) or C12P 19/02 (glucose) and C12P 19/14 (using a cellulase), and in addition the C12P Indexing Code C12P 2201/00 is given.
Methods for DNA/RNA amplification (e.g. PCR) are always classified in C12Q 1/68 and subgroups regardless of whether they are involved in measuring or testing processes. However, processes wherein a technical contribution to the prior art lies in the enzymatic amplification reaction itself are additionally classified in C12P 19/34. In other words, nucleic acid amplification reactions are additionally classified in C12P 19/34 if the invention lies in the enzymatic reaction itself (and not only in other aspects of the method, such as preparing the DNA/oligo's, annealing conditions, screening/detection methods etc).
This place does not cover:
Keto-aldonic acids | |
Measuring or testing processes involving enzymes or microorganisms: nucleic acid amplification reactions | |
Purification of sugar juices using MOs or enzymes | |
Biochemical treatment of fibres, threads, yarns, fabrics or fibrous goods made from such materials, e.g. enzymatic | |
Process for obtaining cellulose by treatment of cellulose-containing material with MOs or enzymes |
Attention is drawn to the following places, which may be of interest for search:
Tapping of tree-juices, e.g. caoutchouc, gum | |
Sugars, derivatives thereof | |
Polysaccharides, derivatives thereof | |
Preparatory treatment of cellulose for making derivatives thereof | |
Macromolecular compounds derived from lignocellulosic materials | |
Compositions of macromolecular compounds | |
Compositions of cellulose | |
Compositions of starch | |
Compositions of polysaccharides other than starch and cellulose | |
Compositions of natural rubber | |
Edible sugars obtained or derived from natural sources | |
Glucose obtained by saccharification of cellulosic material | |
Glucose obtained by saccharification of starch | |
Pretreatment of the finely-divided cellulose-containing materials before digesting | |
Pulping cellulose-containing materials |
Groups C12P 19/14-C12P 19/24 should not be given alone, but these groups should be given together with a corresponding product group (C12P 19/02-C12P 19/12, C12P 19/26-C12P 19/64). Hence, in such cases documents are classified in both groups, which is an exception to the last place rule.
Methods for nucleic acid amplification, e.g. PCR methods are classified in C12P 19/34 if the amplification method per se (and not the diagnostic and/or analytical methodology) constitutes a contribution over the prior art, as far as this can be assessed without substantial examination.
This place covers:
General enzymatic and/or fermentative methods to produce peptides or proteins. This comprises methods of general applicability not restricted to a specific protein (except expression vectors), such as in vitro translation systems, or methods indicating precise fermentation conditions (e.g. specific growth conditions) for the production of a peptide or protein (C12P 21/00 and C12P 21/02), for glycosylation methods (C12P 21/005), or methods wherein a protein is obtained by hydrolysis (C12P 21/06).
Documents disclosing the preparation of specific peptides or proteins by culturing recombinant microorganisms which have been transformed with the corresponding genes encoding these peptides/proteins, i.e. straight forward gene expression, are not classified in C12P. Instead such documents are classified in the appropriate place in C07K (antibodies: C07K 16/00 and subgroups; a bacterial protein: C07K 14/195), or, if the produced protein is an enzyme, in the appropriate subgroup of C12N 9/00.
E.g. production of a protein or peptide which is not an enzyme, such as a surface antigen, wherein the protein orginates from Brucella, is classified in C07K 14/23. Unless details on the production method
However, if the special (inventive) feature of a method is an aspect of the fermentation process, e.g. special conditions of how to conduct the fermentation, then the document is classified in the corresponding C12P 21/00 subgroup along with the C07K or C12N 9/00 subgroup.
Methods involving the introduction of foreign genetic material using vectors (e.g. expression vectors) are classified in C12N 15/63 and subgroups.
General chemical methods to produce or derivatize proteins/peptides (i.e. non-enzymatic/fermentative methods) are classified in C07K 1/00-C07K 1/13. Protein purification methods are classified in C07K 1/14-C07K 1/36.
Methods to produce single cell protein, i.e. mixed protein extracted from pure or mixed cultures of algae, yeasts, fungi or bacteria are classified in C12N 1/00.
This place does not cover:
Attention is drawn to the following places, which may be of interest for search:
Protein compositions for foodstuffs | |
Animal feeding stuffs | |
Animal feeding supplemented with enzymes | |
Preservation of feed with MOs/enzymes (ensilage) | |
Peptides or proteins as additives in food | |
Medicinal preparations containing peptides or proteins | |
Medicinal preparations containing antigens | |
Peptides or proteins (except enzymes) and recombinant expression thereof | |
Proteins (peptides having >20 amino acids) and recombinant expression thereof | |
Antibodies and recombinant expression thereof | |
Enzymes and recombinant expression thereof | |
Introduction of foreign genetic material using vectors |
IPC groups C12P21/04 (cyclic peptides) and C12P21/08 (antibodies) are not used in CPC; documents classified in these groups under the IPC are instead classified in C07K 7/50 and C07K 16/00, respectively.
This place covers:
Methods to produce glycosylated peptides/proteins. "Glycosylated" means covalent attachment of one or more sugar molecules to the protein or peptide, wherein a "sugar" is defined as above (C12P 19/00). This includes methods to specifically glycosylate proteins, to modify the glycosylation pattern, and/or to deglycosylate glycoproteins (wherein the produced protein still contains at least one glycosyl group).
This subgroup takes precedence to C12P 21/02 (i.e. the rule to classify in the last appropriate place does not apply in this case).
This place covers:
Methods which produce peptides or proteins having a known sequence, wherein details of the fermentation conditions are indicated. This comprises methods indicating specific growth conditions such as medium ingredients, pH, temperature, aeration, time intervals etc.) for the production of a peptide or protein of known sequence (this may be a native peptide or protein or a recombinantly expressed peptide or protein).
Also comprised are methods of general applicability not restricted to a specific peptide or protein, such as in vitro translation methods which methods intrinsically produce proteins having a known sequence. Excepted from this are methods defined only by the use of expression vectors (these are classified in C12N 15/63).
Recombinant gene expression methods without the indication of further details about the fermentation conditions are not classified in C12P, but instead in C07K and/or C12N (see above under C12P 21/00).
This place covers:
Methods to produce hydrolysed proteins, i.e. wherein a peptide bond of a peptide or protein has been cleaved. Examples are methods to produce a protein hydrolysate using a peptidase or a protease, or methods to produce a specific protein involving the hydrolysis of a precursor protein.
This place does not cover:
Compounds containing heterocyclic rings |
This place covers:
The preparation of compounds containing the


alloxazine or isoalloxazine nucleus
This place covers:
The preparation of compounds containing the gibbane ring system:

This place covers:
The preparation of compounds containing the naphthacene ring system:
![]()
This place does not cover:
Saccharide-containing compounds |
This place covers:
The preparation of prostaglandin-related compounds as defined in the title, for example
(prostaglandin E1).
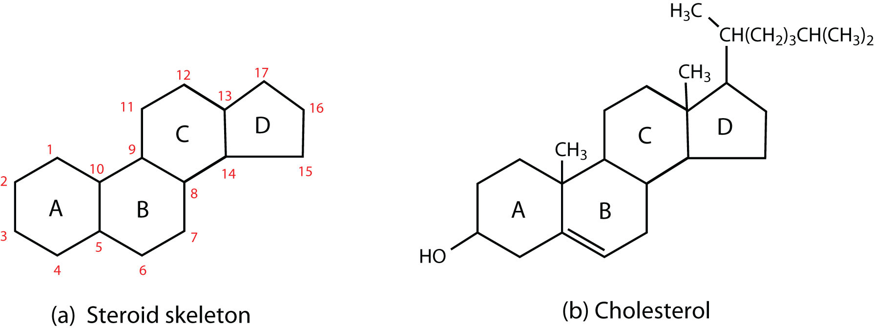
This place covers:
Preparation of compounds having the steroid skeleton, e.g. cholesterol:

This place covers:
Preparation of compounds containing the 5-thia-1-azabicyclo [4.2.0] octane ring system, e.g. cephalosporin:

This place covers:
Preparation of compounds having a 4-thia-1-azabicyclo [3.2.0] heptane ring system, e.g. penicillin:

This place covers:
Processes wherein two or more species of microorganisms of different genera are used together to produce a product.
The microorganisms may be in direct contact with each other like in a consortium. Alternatively, the microorganisms may also be separated by a physical barrier (e.g. a permeable membrane), but still are indirectly in contact via a medium (e.g. aqueous buffer).
Such processes may involve the co-transformation of a substrate, or a stepwise transformation wherein a first microorganism produces an intermediate that is transformed by a second microorganism. Alternatively, the microorganisms are not each involved in product formation but act together as a consortium, e.g. as symbionts, wherein one type of microorganism supports growth of another.
This group should be given as supplementary information i.e. like an Indexing Code. The appropriate product group(s) should always be given in addition. Since the production of methane (biogas) by bacterial consortia is long known, it is deemed unnecessary to generally classify biogas processes in C12P 39/00, unless if the use of a specific consortium or the addition of certain species of microorganisms is indicated in the method.
This place covers:
Methods to obtain an optical isomer (=enantiomer) of a compound from the racemic mixture of that compound or of a precursor substrate that is not optically active, using an enzyme or a microorganism.
Such methods may comprise:
- Enantioselective derivatisation of one of the two enantiomers of a racemic substrate, the product(s) of interest being either the unreacted enantiomer of the substrate or the newly formed enantiomeric product, or both. The reaction may take place at the stereogenic centre or at a group different therefrom.
- Stereoselective derivatisation of a prochiral compound, e.g. enantioselective reduction of a prochiral ketone
- Metabolization of one of the enantiomers of a racemic compound
This group should be given as supplementary information i.e. like an Indexing Code. The appropriate product group(s) should always be given in addition.
This place covers:
Methods for the pretreatment of the cellulosic or lignocellulosic material to facilitate enzymatic decomposition or to enhance digestibility e.g. by cellulases, wherein the pretreatment method is an essential part of the method and constitutes the technical contribution to the field.
This Indexing Code provides an additional information for documents relating to enzyme-using or fermentation processes. It should not replace the classification in the relevant place foreseen for documents relating to the (pre)treatment of (ligno)cellulosic materials (irrespective of their after-use), such as C08B 1/00, C08H 8/00, D21B 1/00, D21C 1/00, D21C 3/00 (see below Table).
Attention is drawn to the following places, which may be of interest for search:
Preparatory treatment of cellulose for making derivatives thereof | |
Macromolecular compounds derived from lignocellulosic materials | |
Fibrous raw materials or their mechanical treatment | |
Pretreatment of the finely-divided cellulose-containing materials before digesting | |
Pulping cellulose-containing materials |
Classification in this group is compulsory when it is esteemed that the pretreatment method is an important feature which may have significant impact on the enzymatic step following the pretreatment.
This place covers:
Methods for producing fermentation products other than ethanol from (ligno)cellulosic material, wherein the carbon source for growth of the microorganism or the substrate to be converted by the microorganism or by the enzyme comprises (ligno)cellulosic material or material immediately derived therefrom.
Examples are methods wherein in a first step, sugars are obtained by hydrolysis of lignocellulose, which are then fermented to produce a product of interest.
Methods that only pertain to the production of sugars from (ligno)cellulose using hydrolases, with no follow-up fermentation product specified, are sufficiently described by the symbol C12P 19/14 and should therefore normally not be additionally classified in C12P 2203/00. Exceptions may be methods wherein a specific sugar or sugar derivative is produced.
Attention is drawn to the following places, which may be of interest for search:
Production of ethanol from a cellulosic substrate | |
Production of sugars, e.g. by hydrolysis of (ligno)cellulosic materials | |
Glucose obtained by saccharification of cellulosic materials |
This Indexing Code provides an additional information for documents classified in C12P according to the product produced. E.g. a method for producing propionic acid by fermentation of a lignocellulosic hydrolysate is classified in C12P 7/52 and in C12P 2203/00. It is compulsory to give this classification symbol where appropriate.