CLASS 548, | ORGANIC COMPOUNDS -- PART OF THE CLASS 532-570 SERIES |
| Click here for a printable version of this file | |
SUBCLASSES
100 | Hetero ring is five-membered having two or more ring hetero atoms of which at least one is nitrogen (e.g., selenazoles, etc.) | ||
This subclass is indented under subclass 1. Compounds under Class 540 which contain a five-membered
hetero ring having two or more ring hetero atoms of which at least
one is nitrogen.
| |||
101 | Heavy metal or aluminum containing | ||||
This subclass is indented under subclass 100. Compounds which include aluminum or a metal having a specific
gravity greater than 4.
SEE OR SEARCH THIS CLASS, SUBCLASS:
| |||||
102 | Arsenic containing | ||
This subclass is indented under subclass 101. Compounds which contain arsenic.
| |||
103 | The metal is bonded directly to carbon, which carbon is a ring carbon of the five-membered hetero ring or which carbon is attached directly or indirectly to the five-membered hetero ring by nonionic bonding | ||||
This subclass is indented under subclass 101. Compounds wherein the metal is bonded directly (a) to a
ring carbon of the five-membered hetero ring or (b) to a carbon
atom which additionally is attached directly or indirectly to the
five-membered hetero ring by nonionic bonding.
| |||||
104 | The metal is bonded directly to chalcogen of a -C(=X)X- group, wherein the X's are the same or diverse chalcogens, which group is attached directly or indirectly to the five-membered hetero ring by nonionic bonding | ||||
This subclass is indented under subclass 101. Compounds wherein the metal is bonded directly to the singly
bonded chalcogen of a X group, wherein the X"s are the
same or diverse chalcogens (i.e., oxygen, sulfur, selenium, or tellurium),
which group is attached directly or indirectly to the five-membered
hetero ring by nonionic bonding.
| |||||
105 | The metal is bonded directly to chalcogen which chalcogen is attached directly to the five-membered hetero ring by nonionic bonding | ||
This subclass is indented under subclass 101. Compounds wherein the metal is bonded directly to a chalcogen
(i.e., oxygen, sulfur, selenium, or tellurium) which is attached directly
to a ring carbon of the five-membered hetero ring.
| |||
106 | The metal is bonded directly to chalcogen which chalcogen is attached indirectly to the five-membered hetero ring by nonionic bonding | ||
This subclass is indented under subclass 101. Compounds wherein the metal is bonded directly to chalcogen
(i.e., oxygen, sulfur, selenium, or tellurium) which is attached
additionally indirectly to the five-membered hetero ring by nonionic
bonding.
| |||
107 | The metal is in an anion and the five-membered hetero ring is in a cation | ||
This subclass is indented under subclass 101. Compounds wherein the metal is in an anion, i.e., a group
having a negative charge, and the five-membered hetero ring is in
a cation, i.e., a group having a positive charge.
| |||
108 | Polycyclo ring system having the five-membered hetero ring as one of the cyclos | ||
This subclass is indented under subclass 101. Compounds wherein the five-membered hetero ring is a cyclo
in a polycyclo ring system.
| |||
109 | Azide or acyclic nitrogen containing | ||||
This subclass is indented under subclass 101. Compounds which contain an acyclic nitrogen atom or the
azide group.
| |||||
110 | Boron or silicon containing |
| This subclass is indented under subclass 100. Compounds which contain boron or silicon. | |
111 | Phosphorus attached directly to the five-membered hetero ring by nonionic bonding | ||
This subclass is indented under subclass 100. Compounds wherein phosphorus is attached directly to the
five-membered hetero ring by nonionic bonding.
| |||
112 | Phosphorus attached indirectly to the five-membered hetero ring by nonionic bonding | ||
This subclass is indented under subclass 100. Compounds wherein phosphorus is attached indirectly to the
five-membered hetero ring by nonionic bonding.
| |||
113 | Polycyclo ring system having the five-membered hetero ring as one of the cyclos | ||||
This subclass is indented under subclass 112. Compounds wherein the five-membered hetero ring is one of
the cyclos of a polycyclo ring system.
| |||||
114 | The polycyclo ring system and phosphorus are both bonded directly to the same chalcogen | ||
This subclass is indented under subclass 113. Compounds wherein the polycyclo ring system and phosphorus
are both bonded directly to the same chalcogen (i.e., oxygen, sulfur,
selenium, or tellurium) atom.
| |||
115 | The five-membered hetero ring and phosphorus are both bonded directly to the same nitrogen | ||
This subclass is indented under subclass 112. Compounds in which the five-membered hetero ring and phosphorus
are both bonded directly to the same nitrogen atom.
| |||
116 | The five-membered hetero ring and phosphorus are both bonded directly to the same chalcogen | ||
This subclass is indented under subclass 112. Compounds in which the five-membered hetero ring and phosphorus
are both bonded directly to the same chalcogen (i.e., oxygen, sulfur,
selenium, or tellurium) atom.
| |||
117 | The five-membered hetero ring contains chalcogen as a ring hetero atom | ||
This subclass is indented under subclass 116. Compounds wherein the five-membered hetero ring contains
chalcogen (i.e., oxygen, sulfur, selenium, or tellurium) as a ring
hetero atom.
| |||
118 | The five-membered hetero ring contains at least three ring nitrogens | ||
This subclass is indented under subclass 116. Compounds wherein the five-membered hetero ring contains
three or more ring nitrogens.
| |||
119 | The phosphorus is part of a substituent which is attached directly to ring carbon of the five-membered hetero ring | ||
This subclass is indented under subclass 112. Compounds wherein the phosphorus is contained in a substituent
which is attached directly to ring carbon of the five-membered hetero
ring.
| |||
120 | The five-membered hetero ring contains ring selenium and is one of the cyclos in a polycyclo ring system | ||
This subclass is indented under subclass 100. Compounds wherein the five-membered hetero ring contains
ring selenium as an additional hetero atom and is one of the cylcos
in a polycyclo ring system.
| |||
121 | Bicyclo ring system having the five-membered hetero ring as one of the cyclos | ||
This subclass is indented under subclass 120. Compounds in which the polycyclo ring system consists of
exactly two rings, one of which is the five-membered hetero ring
containing nitrogen and selenium as hetero atoms.
| |||
122 | The five-membered hetero ring consists of sulfur, oxygen, nitrogen, and carbon | ||
This subclass is indented under subclass 100. Compounds wherein the five-membered hetero ring includes
at least one atom each of sulfur, oxygen, nitrogen, and carbon and
contains no other elements as ring members.
| |||
123 | Plural ring sulfurs in the five-membered hetero ring | ||
This subclass is indented under subclass 100. Compounds wherein the five-membered hetero ring contains
at least two ring sulfurs in addition to the ring nitrogen and ring
carbon.
| |||
124 | Plural ring oxygens in the five-membered hetero ring | ||
This subclass is indented under subclass 100. Compounds wherein the five-membered hetero ring contains
at least two ring oxygens in addition to the ring nitrogen and ring
carbon.
| |||
125 | The five-membered hetero ring consists of chalcogen, plural nitrogens, and carbon | ||
This subclass is indented under subclass 100. Compounds wherein the five-membered hetero ring includes
at least one atom each of chalcogen (i.e., oxygen, sulfur, selenium,
or tellurium) and carbon and at least two ring nitrogens, and contains
no other elements as ring members.
| |||
126 | Polycyclo ring system having the five-membered hetero ring as one of the cyclos | ||
This subclass is indented under subclass 125. Compounds wherein the five-membered hetero ring is one of
the cyclos of a polycyclo ring system.
| |||
127 | 1,2,3-thiadiazoles (including hydrogenated) | ||||
This subclass is indented under subclass 125. Compounds in which the five-membered hetero ring has sulfur
in the 1-position, nitrogens in the 2- and 3-positions, and carbons
in the remaining two positions.
| |||||
128 | 1,2,4-thiadiazoles (including hydrogenated) | ||
This subclass is indented under subclass 125. Compounds in which the five-membered hetero ring has sulfur
in the 1-position, nitrogens in the 2- and 4-positions, and carbons
in the remaining two positions.
| |||
129 | Chalcogen bonded directly to ring carbon of the thiadiazole ring |
| This subclass is indented under subclass 128. Compounds wherein chalcogen (i.e., oxygen, sulfur, selenium, or tellurium) is bonded directly to the ring carbon of the thiadiazole ring. | |
130 | Nitrogen or additional chalcogen bonded directly to ring carbon of the thiadiazole ring | ||
This subclass is indented under subclass 129. Compounds which contain nitrogen or additional chalcogen
bonded directly to ring carbon of the thiadiazole ring.
| |||
131 | 1,2,4-oxadiazoles (including hydrogenated) | ||
This subclass is indented under subclass 125. Compounds in which the five-membered hetero ring has oxygen
in the 1-position, nitrogens in the 2- and 4-positions, and carbons
in the remaining two positions.
| |||
132 | Chalcogen bonded directly to ring carbon of the oxadiazole ring |
| This subclass is indented under subclass 131. Compounds wherein chalcogen (i.e., oxygen, sulfur, selenium, or tellurium) is bonded directly to ring carbon of the oxadiazole ring. | |
133 | Nitrogen attached directly to the oxadiazole ring by nonionic bonding |
| This subclass is indented under subclass 131. Compounds wherein nitrogen is attached directly to the oxadiazole ring by nonionic bonding. | |
134 | 1,2,5-thiadiazoles (including hydrogenated) | ||
This subclass is indented under subclass 125. Compounds in which the five-membered hetero ring has sulfur
in the 1-position, nitrogens in the 2- and 5-positions, and carbons
in the remaining two positions.
| |||
135 | Chalcogen or nitrogen attached directly to ring carbon of the thiadiazole ring by nonionic bonding |
| This subclass is indented under subclass 134. Compounds wherein chalcogen (i.e., oxygen, sulfur, selenium, or tellurium) or nitrogen is attached directly to ring carbon of the thiadiazole ring by nonionic bonding. | |
136 | 1,3,4-thiadiazoles (including hydrogenated) | ||
This subclass is indented under subclass 125. Compounds in which the five-membered hetero ring has sulfur
in the 1-position, nitrogens in the 3- and 4-positions, and carbons
in the remaining two positions.
| |||
137 | Diazole ring attached directly to the thiadiazole ring by nonionic bonding | ||
This subclass is indented under subclass 136. Compounds wherein a five-membered hetero ring consisting
of two nitrogens and three carbons is attached directly to the thiadiazole
ring by nonionic bonding.
| |||
138 | Nitrogen attached directly to the thiadiazole ring by nonionic bonding | ||
This subclass is indented under subclass 136. Compounds wherein nitrogen is attached directly to the thiadiazole
ring by nonionic bonding.
| |||
139 | Having -C(=X)-, wherein X is chalcogen, attached directly to the nitrogen by nonionic bonding | ||
This subclass is indented under subclass 138. Compounds in which a group, wherein X is chalcogen (i.e.,
oxygen, sulfur, selenium, or tellurium), is attached directly to
the nitrogen by nonionic bonding.
| |||
140 | Additional nitrogen attached directly to the -C(=X)- group by nonionic bonding | ||
This subclass is indented under subclass 139. Compounds in which an additional nitrogen is attached directly
to the group by nonionic bonding.
| |||
141 | Chalcogen or additional nitrogen attached directly to ring carbon of the thiadiazole ring by nonionic bonding | ||
This subclass is indented under subclass 138. Compounds wherein chalcogen (i.e., oxygen, sulfur, selenium,
or tellurium) or additional nitrogen is attached directly to ring
carbon of the thiadiazole ring by nonionic bonding.
| |||
142 | Chalcogen bonded directly to the 2- and 5- positions of the thiadiazole ring | ||
This subclass is indented under subclass 136. Compounds wherein chalcogen (i.e., oxygen, sulfur selenium,
or tellurium) is bonded directly to each of the ring carbons of
the thiadiazole ring, i.e., the 2- and 5-positions.
| |||
143 | 1,3,4-oxadiazoles (including hydrogenated) | ||
This subclass is indented under subclass 125. Compounds in which the five-membered hetero ring has oxygen
in the 1-position, nitrogens in the 3- and 4-positions, and carbons
in the remaining two positions.
| |||
144 | Chalcogen bonded directly to ring carbon of the oxadiazole ring |
| This subclass is indented under subclass 143. Compounds wherein chalcogen (i.e., oxygen, sulfur, selenium, or tellurium) is bonded directly to ring carbon of the oxadiazole ring. | |
145 | Plural carbocyclic rings bonded directly to the oxadiazole ring | ||
This subclass is indented under subclass 143. Compounds wherein at least two carbocyclic rings are bonded
directly to the oxadiazole ring.
| |||
146 | 1,3-thiazoles (including hydrogenated) | ||
This subclass is indented under subclass 100. Compounds in which the five-membered hetero ring has sulfur
in the 1-position, nitrogen in the 3-position, and carbons in the
remaining three positions.
| |||
147 | Spiro | ||||
This subclass is indented under subclass 146. Compounds which contain a spiro ring system.
| |||||
148 | Polycyclo ring system having the thiazole ring as one of the cyclos | ||
This subclass is indented under subclass 146. Compounds wherein the thiazole ring is a cyclo in a polycyclo
ring system.
| |||
149 | Tetracyclo ring system having the thiazole ring as one of the cyclos |
| This subclass is indented under subclass 148. Compounds in which the polycyclo ring system consists of exactly four rings. | |
150 | Tricyclo ring system having the thiazole ring as one of the cyclos |
| This subclass is indented under subclass 148. Compounds in which the polycylco ring system consists of exactly three rings. | |
151 | At least three ring hetero atoms in the tricyclo ring system | ||
This subclass is indented under subclass 150. Compounds wherein the tricyclo ring system contains at least
one ring hetero atom in addition to the ring sulfur and ring nitrogen
of the thiazole ring.
| |||
152 | Bicyclo ring system having the thiazole ring as one of the cyclos |
| This subclass is indented under subclass 148. Compounds in which the polycyclo ring system consists of exactly two rings. | |
153 | At least three ring hetero atoms in the bicyclo ring system | ||
This subclass is indented under subclass 152. Compounds wherein the bicyclo ring system contains at least
one ring hetero atom in addition to the ring sulfur and ring nitrogen
of the thiazole ring.
| |||
154 | Ring nitrogen is shared by the two cyclos | ||
This subclass is indented under subclass 153. Compounds wherein the ring nitrogen is a member of both
of the cyclos in the bicyclo ring system.
| |||
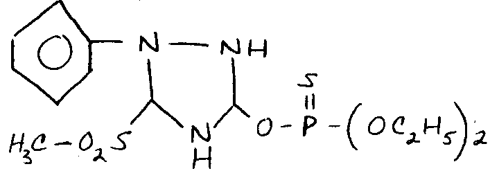
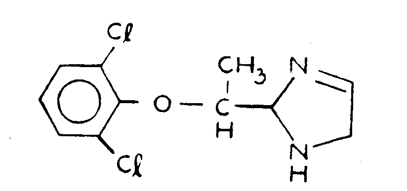
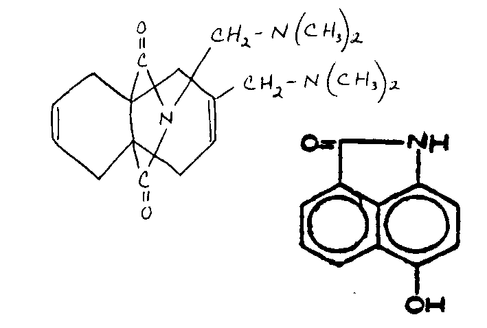
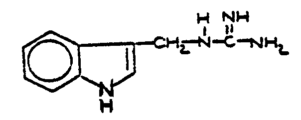
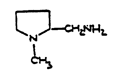
155 | Tetramisole per se or salt thereof (including hydrogenated) |
| This subclass is indented under subclass 154. Compounds which have the following structure, or salts thereof,
in which the bonds between the ring members may be single or double
bonds:
| |
156 | Plural benzothiazoles (including hydrogenated) |
| This subclass is indented under subclass 152. Compounds containing at least two of the bicyclo ring systems
having the following structure, which may contain double bonds between ring
members:
| |
157 | Chalcogen bonded directly to ring carbon of the thiazole ring | ||
This subclass is indented under subclass 156. Compounds wherein chalcogen (i.e., oxygen, sulfur, selenium,
or tellurium) is bonded directly to ring carbon of the thiazole
ring.
| |||
158 | Plural benzothiazole ring systems bonded directly to chain consisting of plural sulfurs | ||
This subclass is indented under subclass 157. Compounds which contain a polysulfide linkage between at
least two benzothiazole ring systems.
| |||
159 | Additional polycyclo heterocyclic ring system containing | ||
This subclass is indented under subclass 152. Compounds containing an additional hetero ring which is
one of the cyclos in a polycyclo ring system.
| |||
160 | Polycyclo-carbocyclic ring system having at least three cyclos | ||
This subclass is indented under subclass 152. Compounds which contain a polycyclo-carbocyclic ring system
having at least three cyclos.
| |||
161 | Nitrogen attached directly to the thiazole ring by nonionic bonding |
| This subclass is indented under subclass 152. Compounds wherein the nitrogen is attached directly to the thiazole ring by nonionic bonding. | |
162 | The nitrogen is a ring hetero atom | ||
This subclass is indented under subclass 161. Compounds wherein the nitrogen is a ring member of a hetero
ring.
| |||
163 | Carbonyl or thiocarbonyl bonded directly to the nitrogen | ||
This subclass is indented under subclass 161. Compounds wherein the nitrogen is bonded additionally directly
to a group, in which X is chalcogen (i.e., oxygen, sulfur, selenium,
or tellurium).
| |||
164 | The nitrogen bonded additionally only to hydrogen | ||
This subclass is indented under subclass 161. Compounds wherein the nitrogen is bonded additionally only
to hydrogen.
| |||
165 | Chalcogen bonded directly to ring carbon of the thiazole ring | ||
This subclass is indented under subclass 152. Compounds wherein chalcogen (i.e., oxygen, sulfur, selenium,
or tellurium) is bonded directly to a ring carbon of the thiazole
ring.
| |||
166 | Chalcogen bonded directly to the chalcogen | ||
This subclass is indented under subclass 165. Compounds wherein an additional chalcogen (i.e., oxygen,
sulfur, selenium, or tellurium) is bonded directly to the chalcogen.
| |||
167 | Nitrogen attached directly to the chalcogen by nonionic bonding | ||
This subclass is indented under subclass 165. Compounds wherein nitrogen is attached directly to the chalcogen
by nonionic bonding.
| |||
168 | The nitrogen is bonded additionally directly to two carbons | ||
This subclass is indented under subclass 167. Compounds wherein the nitrogen is bonded additionally directly
to two carbons.
| |||
169 | Chalcogen attached indirectly to the thiazole ring by nonionic bonding | ||
This subclass is indented under subclass 165. Compounds wherein chalcogen (i.e., oxygen, sulfur, selenium,
or tellurium) is attached indirectly to the thiazole ring by nonionic
bonding.
| |||
170 | The chalcogen, X, is in a -C(=X)- group | ||
This subclass is indented under subclass 169. Compounds wherein the chalcogen, X (i.e., oxygen, sulfur,
selenium, or tellurium), is in a group.
| |||
171 | Nitrogen bonded directly to the -C(=X)- group | ||
This subclass is indented under subclass 170. Compounds in which nitrogen is bonded directly to the group.
| |||
172 | Nitrogen attached directly to chalcogen by nonionic bonding | ||
This subclass is indented under subclass 169. Compounds in which nitrogen is attached directly to chalcogen
by nonionic bonding.
| |||
173 | Halogen attached directly or indirectly to the bicyclo ring system by nonionic bonding |
| This subclass is indented under subclass 165. Compounds wherein halogen is attached directly or indirectly to the bicyclo ring system by nonionic bonding. | |
174 | Sulfur double bonded or thiol bonded directly to ring carbon of the thiazole ring | ||
This subclass is indented under subclass 165. Compounds in which sulfur attached directly to a ring carbon
of the thiazole ring is either (a) attached by a double bond or
(b) in a -SH or -SM group, wherein M is a Group IA or Group IIA
light metal, i.e., a metal having a specific gravity less than 4.
| |||
175 | Process of forming the bicyclo ring system | ||
This subclass is indented under subclass 174. Processes in which the bicyclo ring system is formed.
| |||
176 | Aniline or alkyl derivative thereof utilized as starting material |
| This subclass is indented under subclass 175. Processes which utilize aniline or an alkylated derivative thereof as a starting material. | |
177 | Purification or recovery |
| This subclass is indented under subclass 174. Processes wherein the sulfur derivative of the bicyclo ring system is separated from impurities or from the reaction mixture. | |
178 | Chalcogen or nitrogen attached directly to the other cyclo of the bicyclo ring system by nonionic bonding | ||
This subclass is indented under subclass 152. Compounds wherein chalcogen (i.e., oxygen, sulfur, selenium,
or tellurium) or nitrogen is attached directly to the other cyclo
of the bicyclo ring system by nonionic bonding, i.e., the cyclo
other than the thiazole ring.
| |||
179 | Chalcogen attached indirectly to the bicyclo ring system by nonionic bonding | ||
This subclass is indented under subclass 152. Compounds wherein chalcogen (i.e., oxygen, sulfur, selenium,
or tellurium) is attached indirectly to the bicyclo ring system
by nonionic bonding.
| |||
180 | The chalcogen, X, is in a -C(=X)- group |
| This subclass is indented under subclass 179. Compounds wherein the chalcogen, X (i.e., oxygen, sulfur, selenium, or tellurium), is in a group. | |
181 | Polycyclo heterocyclic ring system containing ring nitrogen | ||
This subclass is indented under subclass 146. Compounds containing a polycyclo heterocyclic ring system
which has nitrogen as a ring hetero atom.
| |||
182 | Chalcogen bonded directly to ring carbon of the thiazole ring | ||
This subclass is indented under subclass 146. Compounds wherein chalcogen (i.e., oxygen, sulfur, selenium,
or tellurium) is bonded directly to ring carbon of the thiazole
ring.
| |||
183 | Plural chalcogens bonded directly to ring carbons of the thiazole ring | ||
This subclass is indented under subclass 182. Compounds wherein at least two chalcogens (i.e., oxygen,
sulfur, selenium, or tellurium) are bonded directly to ring carbons
of the thiazole ring.
| |||
184 | Nitrogen attached directly to the thiazole ring by nonionic bonding |
| This subclass is indented under subclass 182. Compounds wherein nitrogen is attached directly to the thiazole ring by nonionic bonding. | |
185 | Having -C(=X)-, wherein X is chalcogen, bonded directly to nitrogen | ||
This subclass is indented under subclass 184. Compounds in which nitrogen is bonded directly to a group,
wherein X is chalcogen (i.e., oxygen, sulfur, selenium, or tellurium).
| |||
186 | Chalcogen attached indirectly to the thiazole ring by nonionic bonding |
| This subclass is indented under subclass 182. Compounds wherein chalcogen (i.e., oxygen, sulfur, selenium, or tellurium) is attached indirectly to the thiazole ring by nonionic bonding. | |
187 | The chalcogen, X, is in a -C(=X)- group |
| This subclass is indented under subclass 186. Compounds wherein the chalcogen, X (i.e., oxygen, sulfur, selenium, or tellurium), is in a group. | |
188 | The -C(=X)- group is bonded directly to the thiazole ring | ||
This subclass is indented under subclass 187. Compounds in which the group is bonded directly to the thiazole
ring.
| |||
189 | Nitrogen attached indirectly to the thiazole ring by nonionic bonding | ||
This subclass is indented under subclass 182. Compounds wherein nitrogen is attached indirectly to the
thiazole ring by nonionic bonding.
| |||
190 | Nitrogen attached directly to the thiazole ring by nonionic bonding |
| This subclass is indented under subclass 146. Compounds in which nitrogen is attached directly to the thiazole ring by nonionic bonding. | |
191 | Plural nitrogens attached directly to the thiazole ring by nonionic bonding | ||
This subclass is indented under subclass 190. Compounds wherein at least two nitrogens are attached directly
to the thiazole ring by nonionic bonding.
| |||
192 | Nitrogen bonded directly to a -C(=X)- group, wherein X is chalcogen | ||
This subclass is indented under subclass 191. Compounds in which X nitrogen is bonded directly to a -C-
group, wherein X is chalcogen (i.e., oxygen, sulfur, selenium, or
tellurium).
| |||
193 | Chalcogen attached indirectly to the thiazole ring by nonionic bonding |
| This subclass is indented under subclass 190. Compounds wherein chalcogen (i.e., oxygen, sulfur, selenium, or tellurium) is attached indirectly to the thiazole ring by nonionic bonding. | |
194 | The chalcogen, X, is in a -C(=X)- group | ||
This subclass is indented under subclass 193. Compounds in which the chalcogen, X (i.e., oxygen, sulfur,
selenium, or tellurium), is in a group.
| |||
195 | The -C(=X)- group is bonded directly to the nitrogen | ||
This subclass is indented under subclass 194. Compounds in which the nitrogen is bonded directly to the
group.
| |||
196 | Chalcogen or additional nitrogen bonded directly to the -C(=X)- group |
| This subclass is indented under subclass 195. Compounds wherein chalcogen (i.e., oxygen, sulfur, selenium, or tellurium) or an additional nitrogen is bonded directly to the group. | |
197 | Nitrogen bonded directly to chalcogen | ||
This subclass is indented under subclass 193. Compounds wherein nitrogen is bonded directly to chalcogen
(i.e., oxygen, sulfur, selenium, or tellurium).
| |||
198 | Nitrogen attached indirectly to the thiazole ring by nonionic bonding |
| This subclass is indented under subclass 190. Compounds wherein nitrogen is attached indirectly to the thiazole ring by nonionic bonding. | |
199 | The nitrogen is bonded additionally only to hydrogen |
| This subclass is indented under subclass 190. Compounds wherein the nitrogen is bonded additionally to hydrogen. | |
200 | Having -C(=X)-, wherein X is chalcogen, bonded directly to the thiazole ring | ||
This subclass is indented under subclass 146. Compounds wherein a group, in which X is chalcogen, (i.e.,
oxygen, sulfur, selenium, or tellurium), is bonded directly to the
thiazole ring.
| |||
201 | The -C(=X)- is part of a -C(=X)X- group, wherein the X's are the same or diverse chalcogens | ||
This subclass is indented under subclass 200. Compounds in which the is part of a X group, wherein
the X"s are the same or diverse chalcogens (i.e., oxygen,
sulfur, selenium, or tellurium).
| |||
202 | Plural double bonds between ring members of thiazole ring | ||
This subclass is indented under subclass 146. Compounds in which there are two double bonds between the
ring members of the thiazole ring.
| |||
203 | Chalcogen attached indirectly to the thiazole ring by nonionic bonding |
| This subclass is indented under subclass 202. Compounds wherein chalcogen (i.e., oxygen, sulfur, selenium, or tellurium) is attached indirectly to the thiazole ring by nonionic bonding. | |
204 | The chalcogen, X, is in a -C(=X)- group |
| This subclass is indented under subclass 203. Compounds wherein the chalcogen, X (i.e., oxygen, sulfur, selenium, or tellurium), is in a group. | |
205 | Nitrogen attached indirectly to the thiazole ring by nonionic bonding | ||
This subclass is indented under subclass 203. Compounds in which nitrogen is attached indirectly to the
thiazole ring by nonionic bonding.
| |||
206 | 1,2-thiazoles (including hydrogenated) | ||
This subclass is indented under subclass 100. Compounds in which the five-membered hetero ring has sulfur
in the 1-position, nitrogen in the 2-position, and carbons in the
remaining three positions.
| |||
207 | Polycyclo ring system having the thiazole ring as one of the cyclos | ||||
This subclass is indented under subclass 206. Compounds wherein the thiazole ring is a cyclo in a polycyclo
ring system.
| |||||
208 | Ring carbon is shared by three of the cyclos of the polycyclo ring system | ||
This subclass is indented under subclass 207. Compounds wherein one ring carbon is a member of three of
the cyclos in the polycyclo ring system (i.e., peri-fusion).
| |||
209 | Acyclic chalcogen bonded directly to ring carbon of the thiazole ring |
| This subclass is indented under subclass 207. Compounds wherein acyclic chalcogen (i.e., oxygen, sulfur, selenium, or tellurium) is bonded directly to a ring carbon of the thiazole ring. | |
210 | At least three chalcogens bonded directly to the thiazole ring | ||
This subclass is indented under subclass 209. Compounds in which at least three chalcogens (i.e, oxygen,
sulfur, selenium, or tellurium) are bonded directly to the thiazole
ring.
| |||
211 | Saccharin per se or salt thereof |
| This subclass is indented under subclass 210. Compounds which have the following structure, or salts thereof:
| |
212 | Nitrogen attached directly to the thiazole ring by nonionic bonding |
| This subclass is indented under subclass 207. Compounds wherein nitrogen is attached directly to the thiazole ring of the polycyclo ring system by nonionic bonding. | |
213 | Chalcogen bonded directly to ring carbon of the thiazole ring | ||
This subclass is indented under subclass 206. Compounds wherein chalcogen (i.e., oxygen, sulfur, selenium,
or tellurium) is bonded directly to ring carbon of the thiazole
ring.
| |||
214 | Nitrogen or chalcogen attached indirectly to the thiazole ring by nonionic bonding | ||
This subclass is indented under subclass 206. Compounds wherein nitrogen or chalcogen (i.e., oxygen, sulfur,
selenium, or tellurium) is attached indirectly to the thiazole ring
by nonionic bonding.
| |||
215 | 1,3-oxazoles (including hydrogenated) | ||
This subclass is indented under subclass 100. Compounds in which the five-membered hetero ring has oxygen
in the 1-position, nitrogen in the 3-position, and carbons in the
remaining three positions.
| |||
216 | Spiro | ||||
This subclass is indented under subclass 215. Compounds which contain a spiro ring system.
| |||||
217 | Polycyclo ring system having the oxazole ring as one of the cyclos | ||
This subclass is indented under subclass 215. Compounds wherein the oxazole ring is cyclo in a polycyclo
ring system.
| |||
218 | At least three ring hetero atoms in the polycyclo ring system | ||
This subclass is indented under subclass 217. Compounds wherein the polycyclo ring system contains at
least one ring hetero atom in addition to the ring oxygen and ring
nitrogen of the oxazole ring.
| |||
219 | Plural polycyclo ring systems having the oxazole ring as one of the cyclos in each of the ring systems | ||
This subclass is indented under subclass 217. Compounds which contain at least two of the oxazole-containing
polycyclo ring systems.
| |||
220 | Plural oxazole-containing polycyclo ring systems each bonded directly to the same polycyclo ring system or the same hetero ring | ||
This subclass is indented under subclass 219. Compounds wherein the plural oxazole-containing polycyclo
ring systems are each bonded directly either (a) to the same polycyclo
ring system or (b) to the same hetero ring.
| |||
221 | Chalcogen bonded directly at the 2-position of the oxazole ring | ||
This subclass is indented under subclass 217. Compounds wherein chalcogen (i.e., oxygen, sulfur, selenium,
or tellurium) is bonded directly to the carbon in the 2-position
of the oxazole ring, i.e., the ring carbon between the ring oxygen
and the ring nitrogen.
| |||
222 | Nitrogen bonded directly at the 2-position of the oxazole ring | ||
This subclass is indented under subclass 217. Compounds wherein nitrogen is bonded directly to the carbon
in the 2-position of the oxazole ring, i.e., the ring carbon between
the ring oxygen and the ring nitrogen.
| |||
223 | At least four rings in the polycyclo ring system | ||
This subclass is indented under subclass 217. Compounds wherein the polycyclo ring system contains at
least four rings.
| |||
224 | Carbocyclic ring bonded directly at the 2-position of the oxazole ring | ||
This subclass is indented under subclass 217. Compounds wherein a carbocyclic ring is bonded directly
to the carbon atom in the 2-position of the oxazole ring, i.e.,
the ring carbon between the ring oxygen and the ring nitrogen.
| |||
225 | Chalcogen bonded directly to ring carbon of the oxazole ring |
| This subclass is indented under subclass 215. Compounds wherein chalcogen (i.e., oxygen, sulfur, selenium, or tellurium) is bonded directly to ring carbon of the oxazole ring. | |
226 | Plural chalcogens bonded directly to ring carbons of the oxazole ring | ||
This subclass is indented under subclass 225. Compounds wherein at least two chalcogens (i.e, oxygen,
sulfur, selenium, or tellurium) are bonded directly to ring carbons
of the oxazole ring.
| |||
227 | Chalcogens bonded directly at 2- and 5-positions of the oxazole ring | ||
This subclass is indented under subclass 226. Compounds wherein chalcogens (i.e., oxygen, sulfur, selenium,
or tellurium) are bonded directly to the carbons in the 2- and 5-positions of
the oxazole ring.
| |||
228 | Chalcogen bonded directly at 5-position of the oxazole ring |
| This subclass is indented under subclass 225. Compounds wherein chalcogen (i.e., oxygen, sulfur, selenium, or tellurium) is bonded directly to the carbon atom in the 5-position of the oxazole ring. | |
229 | Chalcogen bonded directly at 2-position of the oxazole ring |
| This subclass is indented under subclass 225. Compounds wherein chalcogen (i.e., oxygen, sulfur, selenium, or tellurium) is bonded directly to the carbon atom in the 2-position of the oxazole ring, i.e., the ring carbon between the ring oxygen and the ring nitrogen. | |
230 | Nitrogen, halogen, or -C(=X)-, wherein X is chalcogen, attached directly to the oxazole ring by nonionic bonding | ||
This subclass is indented under subclass 229. Compounds wherein nitrogen, halogen, or, in which X is chalcogen
(i.e., oxygen, sulfur, selenium, or tellurium), is attached directly
to the oxazole ring by nonionic bonding.
| |||
231 | 3-position substituent contains ethylenic or acetylenic unsaturation or nitrogen | ||
This subclass is indented under subclass 229. Compounds wherein the substituent on the ring nitrogen contains
nitrogen or ethylenic or acetylenic unsaturation, i.e., double or
triple bond between two adjacent carbons.
| |||
232 | 4- or 5-position substituent contains chalcogen | ||
This subclass is indented under subclass 229. Compounds wherein the substituent on the 4- or 5-position
of the oxazole ring contains chalcogen (i.e., oxygen, sulfur, selenium,
or tellurium).
| |||
233 | Nitrogen bonded directly to ring carbon of the oxazole ring |
| This subclass is indented under subclass 215. Compounds wherein nitro- is bonded directly to ring carbon of the oxazole ring. | |
234 | Additional ring attached directly to the nitrogen by nonionic bonding | ||
This subclass is indented under subclass 233. Compounds in which an additional ring is attached directly
to the nitrogen by nonionic bonding.
| |||
235 | Plural double bonds between the ring members of the oxazole ring |
| This subclass is indented under subclass 215. Compounds in which there are two double bonds between the ring members of the oxazole ring. | |
236 | Cyano or -C(=X)-, wherein X is chalcogen, attached directly or indirectly to the oxazole ring by nonionic bonding | ||
This subclass is indented under subclass 235. Compounds wherein -CN or, in which X is chalcogen (i.e.,
oxygen, sulfur, selenium, or tellurium), is attached directly or
indirectly to the oxazole ring by nonionic bonding.
| |||
237 | One double bond between the ring members of the oxazole ring | ||
This subclass is indented under subclass 215. Compounds in which there is only one double bond between
ring members of the oxazole ring.
| |||
238 | 2-position substituent contains nitrogen, other than as nitro or nitroso |
| This subclass is indented under subclass 237. Compounds wherein the substituent attached to the ring carbon in the 2-position, i.e., the ring carbon between the ring oxygen and the ring nitrogen, contains nitrogen, except as a member of the nitro (-NO2) or nitroso (-NO) group. | |
239 | 2-position is unsubstituted or hydrocarbyl substituted only | ||
This subclass is indented under subclass 237. Compounds wherein attached to the ring carbon in the 2-position
of the oxazole ring, i.e., the ring carbon between the ring oxygen
and the ring nitrogen, is either hydrogen or a hydrocarbon radical
only.
| |||
240 | 1,2-oxazoles (including hydrogenated) | ||
This subclass is indented under subclass 100. Compounds in which the five-membered hetero ring has oxygen
in the 1 position, nitrogen in the 2-position, and carbons in the
remaining three positions.
| |||
241 | Polycyclo ring system having the oxazole ring as one of the cyclos | ||
This subclass is indented under subclass 240. Compounds wherein the oxazole ring is a cyclo in a polycyclo
ring system.
| |||
242 | At least three ring hetero atoms in the polycyclo ring system | ||
This subclass is indented under subclass 241. Compounds wherein the polycyclo ring system contains at
least one ring hetero atom in addition to the ring oxygen and ring
nitrogen of the oxazole ring.
| |||
243 | Chalcogen bonded directly to ring carbon of the oxazole ring |
| This subclass is indented under subclass 240. Compounds wherein chalcogen (i.e., oxygen, sulfur, selenium, or tellurium) is bonded directly to ring carbon of the oxazole ring. | |
244 | Nitrogen bonded directly to ring carbon of the oxazole ring | ||
This subclass is indented under subclass 243. Compounds in which nitrogen is bonded directly to ring carbon
of the oxazole ring.
| |||
245 | Nitrogen bonded directly to ring carbon of the oxazole ring |
| This subclass is indented under subclass 240. Compounds in which nitrogen is bonded directly to ring carbon of the oxazole ring. | |
246 | Nitrogen bonded directly to the 3-position of the oxazole ring | ||
This subclass is indented under subclass 245. Compounds wherein nitrogen is bonded directly to the carbon
atom in the 3-position of the oxazole ring.
| |||
247 | Plural double bonds between ring members of the oxazole ring |
| This subclass is indented under subclass 240. Compounds in which there are two double bonds between the ring members of the oxazole ring. | |
248 | Having -C(=X)-, wherein X is chalcogen, bonded directly to ring carbon of the oxazole ring by nonionic bonding | ||
This subclass is indented under subclass 247. Compounds wherein a group, in which X is chalcogen (i.e.,
oxygen, sulfur, selenium, or tellurium), is bonded directly to a
ring carbon of the oxazole ring and additionally directly to a chalcogen
or nitrogen atom.
| |||
249 | 4-position substituent contains plural chalcogens, attached indirectly to the oxazole ring by nonionic bonding, none of which is bonded directly to phenyl | ||
This subclass is indented under subclass 247. Compounds wherein the substituent attached to the 4-position
of the oxazole ring contains at least two chalcogens (i.e., oxygen,
sulfur, selenium, or tellurium), each of which is attached indirectly
to the oxazole ring by nonionic bonding and not one of which is
bonded directly to a phenyl ring.
| |||
250 | Tetrazoles (including hydrogenated) | ||
This subclass is indented under subclass 100. Compounds in which the five-membered hetero ring consists
of four ring nitrogens and one ring carbon.
| |||
251 | Chalcogen or nitrogen attached directly to the tetrazole ring by nonionic bonding | ||
This subclass is indented under subclass 250. Compounds wherein chalcogen (i.e., oxygen, sulfur, selenium,
or tellurium) or nitrogen is attached directly to the tetrazole
ring by nonionic bonding.
| |||
252 | Chalcogen attached indirectly to the tetrazole ring by nonionic bonding | ||
This subclass is indented under subclass 250. Compounds wherein chalcogen (i.e., oxygen, sulfur, selenium,
or tellurium) is attached indirectly to the tetrazole ring by nonionic
bonding.
| |||
253 | The chalcogen, X, is in a -C(=X)- group |
| This subclass is indented under subclass 252. Compounds wherein the chalcogen, X (i.e., oxygen, sulfur, selenium, or tellurium) is in a group. | |
254 | Nitrogen attached indirectly to the tetrazole ring by nonionic bonding | ||
This subclass is indented under subclass 250. Compounds wherein nitrogen is attached indirectly to the
tetrazole ring by nonionic bonding.
| |||
255 | 1,2,3-triazoles (including hydrogenated) | ||
This subclass is indented under subclass 100. Compounds in which the five-membered hetero ring has nitrogens
in the 1-, 2-, and 3-positions and carbons in the remaining two positions.
| |||
256 | Polycyclo heterocyclic ring system containing ring oxygen | ||
This subclass is indented under subclass 255. Compounds containing a polycyclo heterocyclic ring system
which has oxygen as a ring hetero atom.
| |||
257 | Polycyclo ring system having the triazole ring as one of the cyclos | ||
This subclass is indented under subclass 255. Compounds wherein the triazole ring is a cyclo in a polycyclo
ring system.
| |||
258 | Ring nitrogen is shared by two of the cyclos | ||
This subclass is indented under subclass 257. Compounds wherein a ring nitrogen is a member of two of
the cyclos of the polycyclo ring system.
| |||
259 | Chalcogen attached directly to the polycyclo ring system by nonionic bonding |
| This subclass is indented under subclass 257. Compounds wherein chalcogen (i.e., oxygen, sulfur, selenium, or tellurium) is attached directly to the polycyclo ring system by nonionic bonding. | |
260 | Chalcogen attached indirectly to the polycyclo ring system by nonionic bonding | ||
This subclass is indented under subclass 257. Compounds wherein chalcogen (i.e., oxygen, sulfur, selenium,
or tellurium) is attached indirectly to the polycyclo ring system
by nonionic bonding.
| |||
261 | The chalcogen, X, is in a -C(=X)- group |
| This subclass is indented under subclass 260. Compounds wherein the chalcogen, X (i.e., oxygen, sulfur, selenium, or tellurium), is in a group. | |
262.2 | 1,2,4-triazoles (including hydrogenated) | ||
This subclass is indented under subclass 100. Compounds in which the five-membered hetero ring has nitrogens
in the 1-, 2-, and 4- positions and carbons in the remaining two positions.
| |||
262.4 | Polycyclo ring system having the triazole ring as one of the cyclos | ||
This subclass is indented under subclass 262.2. Compounds wherein the triazole ring is a cyclo in a polycyclo
ring system.
| |||
262.6 | Having -NH-C(=X)-NHH attached directly to the triazole ring by nonionic bonding (wherein X is chalcogen or =NH, and substitution may be made for hydrogen only) | ||
This subclass is indented under subclass 262.2. Compounds wherein the triazole ring is bonded directly to
a -NH-(C=X)-NHH group, wherein X is =NH or chalcogen
(i.e., oxygen, sulfur, selenium, or tellurium) and substitution
may be made for hydrogen only.
| |||
262.8 | Plural nitrogens attached to the triazole ring indirectly by acyclic nonionic bonding, two of which are bonded directly to the same acyclic carbon | ||
This subclass is indented under subclass 262.2. Compounds wherein the triazole ring is attached indirectly
by acyclic nonionic bonding to plural nitrogens, two of which are
bonded directly to the same acyclic carbon.
| |||
263.2 | Chalcogen bonded directly to ring carbon of the triazole ring |
| This subclass is indented under subclass 262.2. Compounds wherein ring carbon of the triazole ring is bonded directly to chalcogen (i.e., oxygen, sulfur, selenium, or tellurium). | |
263.4 | Plural chalcogen bonded directly to ring carbons of the triazole ring | ||
This subclass is indented under subclass 263.2. Compounds wherein at least two chalcogens are bonded directly
to ring carbons of the triazole ring.
| |||
263.6 | The 1- and 2- positions of the triazole ring are unsubstituted, or are alkyl or cycloalkyl substituted only | ||
This subclass is indented under subclass 263.4. Compounds wherein the ring nitrogens in the 1- and 2- positions
of the triazole ring are unsubstituted, or may be substituted by
alkyl or cycloalkyl only.
| |||
263.8 | Halogen or nitrogen attached directly to the triazole ring by nonionic bonding | ||
This subclass is indented under subclass 263.2. Compounds wherein the triazole ring is attached directly
to nitrogen or to halogen by nonionic bonding.
| |||
264.2 | Carbon bonded directly to the chalcogen | ||
This subclass is indented under subclass 263.2. Compounds wherein the chalcogen is bonded directly to an
additional carbon.
| |||
264.4 | Nitrogen or additional chalcogen attached indirectly to the chalcogen by acyclic nonionic bonding | ||
This subclass is indented under subclass 264.2. Compounds wherein the chalcogen is attached indirectly to
nitrogen or additional chalcogen by acyclic nonionic bonding.
| |||
264.6 | Benzene ring bonded directly to the 4-position of the triazole ring | ||
This subclass is indented under subclass 263.2. Compounds wherein the 4-position nitrogen of the triazole
ring is bonded directly to a benzene ring.
| |||
264.8 | Nitrogen attached directly to the triazole ring by nonionic bonding |
| This subclass is indented under subclass 262.2. Compounds wherein the triazole ring is attached directly to nitrogen by nonionic bonding. | |
265.2 | Plural nitrogens attached directly to the triazole ring by nonionic bonding | ||
This subclass is indented under subclass 264.8. Compounds wherein at least two nitrogens are attached directly
to the triazole ring by nonionic bonding.
| |||
265.4 | Having -C(=X)-, wherein X is chalcogen, bonded directly to the nitrogen | ||
This subclass is indented under subclass 264.8. Compounds wherein the nitrogen is bonded directly to a -C(=X)
group, wherein X is chalcogen (i.e., oxygen, sulfur, selenium, or
tellurium).0z
| |||
265.6 | The nitrogen is further bonded to hydrogen only | ||
This subclass is indented under subclass 264.8. Compounds wherein the nitrogen is bonded additionally only
to hydrogen.
| |||
265.8 | Benzene ring bonded directly to ring nitrogen of the triazole ring, and directly to the acyclic carbon of a benzoyl or benzyl group | ||
This subclass is indented under subclass 262.2. Compounds wherein ring nitrogen of the triazole ring is
bonded directly to a benzene ring, which benzene ring is further
bonded directly to the acyclic carbon of a substituted or unsubstituted
benzoyl or benzyl group.
| |||
266.2 | Additional unsaturated hetero ring attached directly or indirectly to the triazole ring by nonionic bonding | ||||
This subclass is indented under subclass 262.2. Compounds wherein the triazole ring is attached directly
or indirectly to an additional unsaturated hetero ring by nonionic
bonding.
| |||||
266.4 | The additional unsaturated hetero ring is one of the cyclos of a polycyclo ring system (except alkylenedioxyphenyl) | ||||
This subclass is indented under subclass 266.2. Compounds wherein a polycyclo ring system has the additional
unsaturated hetero ring as one of its cyclos, except alkylenedioxyphenyl.
| |||||
266.6 | The additional unsaturated hetero ring and the triazole ring are attached to the same acyclic atom or to the same acyclic chain | ||
This subclass is indented under subclass 266.2. Compounds wherein the triazole ring and the additional unsaturated
hetero ring are attached to the same acyclic atom or to the same
acyclic chain.
| |||
266.8 | Cyano or -C(=X)-, wherein X is chalcogen, bonded directly to the triazole ring | ||
This subclass is indented under subclass 262.2. Compounds wherein the triazole ring is bonded directly to
cyano or to -C(=X)-, wherein X is chalcogen (i.e., oxygen,
sulfur, selenium, or tellurium).
| |||
267.2 | Nitrogen attached indirectly to the triazole ring by acyclic nonionic bonding | ||
This subclass is indented under subclass 262.2. Compounds wherein the triazole ring is attached indirectly
to nitrogen by acyclic nonionic bonding.
| |||
267.4 | The nitrogen is double or triple bonded to carbon | ||
This subclass is indented under subclass 267.2. Compounds wherein carbon is double or triple bonded to the
nitrogen.
| |||
267.6 | Having -C(=X)-, wherein X is chalcogen, bonded directly to the nitrogen | ||
This subclass is indented under subclass 267.2. Compounds wherein the nitrogen is bonded directly to -C(=X)-,
wherein X is chalcogen (i.e., oxygen, sulfur, selenium, or tellurium).
| |||
267.8 | Chalcogen attached indirectly to the triaole ring by acyclic nonionic bonding | ||
This subclass is indented under subclass 262.2. Compounds wherein the triazole ring is attached indirectly
to chalcogen (i.e., oxygen, sulfur, selenium, or tellurium) by acyclic
nonionic bonding.
| |||
268.2 | The triazole ring and the chalcogen are bonded directly to the same acyclic carbon | ||
This subclass is indented under subclass 267.8. Compounds wherein the chalcogen and the triazole ring are
bonded directly to the same acyclic carbon.
| |||
268.4 | Acyclic carbon bonded directly to triazole ring nitrogen is multiple bonded to an additional carbon | ||
This subclass is indented under subclass 267.8. Compounds wherein the triazole ring is bonded directly to
an acyclic carbon which is multiple bonded to an additional carbon.
| |||
268.6 | Plural chalcogens attached indirectly to the triazole ring by acyclic nonionic bonding | ||
This subclass is indented under subclass 267.8. Compounds wherein the triazole ring is attached indirectly
to plural chalcogens by acyclic nonionic bonding.
| |||
268.8 | The triazole ring and a hetero ring whose ring members are carbon and chalcogen are bonded directly to the same acyclic carbon | ||
This subclass is indented under subclass 262.2. Compounds wherein the same acyclic carbon is bonded directly
to the triazole ring and to a hetero ring whose ring members are
carbon and chalcogen (i.e., oxygen, sulfur, selenium, and tellurium).
| |||
269.2 | Processes for forming the triazole ring |
| This subclass is indented under subclass 262.2. Process which involve the synthesis of the 1,2,4-triazole ring. | |
269.4 | Benzene ring bonded directly to the triazole ring | ||
This subclass is indented under subclass 262.2. Compounds wherein the triazole ring is bonded directly to
a benzene ring.
| |||
300.1 | 1,3-diazoles (including hydrogenated) | ||||
This subclass is indented under subclass 100. Compounds wherein nitrogen atoms occupy the 1 and 3 positions
and carbon atoms occupy the remaining three positions of the five-membered
hetero ring.
| |||||
300.4 | Polycyclo ring system containing anthracene configured ring system having at least one double bond between ring members and having oxygen single bonded or any atom double bonded directly at the 9- or 10- positions (e.g., anthrone, anthraquinone, etc.) | ||||
This subclass is indented under subclass 300.1. Compounds having a polycyclo ring system which is or contains
the anthracene ring configuration with at least one double bond
between ring members and having oxygen single bonded or any atom
double bonded directly to the ring system at the 9- and 10- positions
(e.g., anthraquinones, etc.) or at the 9- or 10- positions (e.g.,
anthrones, etc.).
| |||||
300.7 | Spiro | ||||||
This subclass is indented under subclass 300.1. Compounds which contain a spiro ring system.
| |||||||
301.1 | One of the two rings which form the spiro is part of a polycyclo ring system | ||
This subclass is indented under subclass 300.7. Compounds wherein one of the two rings that form the spiro
is a cyclo in a polycyclo ring system.
| |||
301.4 | Acyclic chalcogen bonded directly at the 2- and at the 4- or 5- positions of the 1,3-diazole ring [e.g., cyclohexanespiro-5-(3-hydroxymethyl) hydantoin, etc.] | ||
This subclass is indented under subclass 300.7. Compounds wherein the 1,3-diazole ring contains acyclic
chalcogen bonded directly at the 2- and at the 4- or 5- positions
thereof (e.g., 5- spirohydantoin, etc.).
| |||
301.7 | Polycyclo ring system having the diazole ring as one the cyclos | ||
This subclass is indented under subclass 300.1. Compounds wherein the 1,3-diazole ring is a cyclo in a polycyclo
ring system.
| |||
302.1 | Tricyclo ring system having the diazole ring as one the cyclos |
| This subclass is indented under subclass 301.7. Compounds in which the polycyclo ring system consists of exactly three rings. | |
302.4 | The 1,3-diazole shares ring nitrogen with a five-membered ring having no additional hetero atoms (e.g., imidazo [2,1-a] isoindole, etc.) | ||
This subclass is indented under subclass 302.1. Compounds in which the tricyclo ring system contains a five-membered
ring having one nitrogen and four carbons which nitrogen is shared
with the 1,3-diazole ring.
| |||
302.7 | Bicyclo ring system having the diazole ring as one of the cyclos | ||
This subclass is indented under subclass 301.7. Compounds in which the polycyclo ring system consists of
exactly two rings.
| |||
303.1 | At least three ring hetero atoms in the bicyclo ring system (e.g., furo- imidazole, (1,2-a) imidazole, pyrazo (1,2-a) imidazolidine, etc.) | ||
This subclass is indented under subclass 302.7. Compounds wherein the bicyclo ring system contains at least
one ring hetero atom in addition to the two ring nitrogens of the
diazole ring.
| |||
303.4 | Four ring nitrogens in the bicyclo ring system (e.g., glycolurile, etc.) | ||
This subclass is indented under subclass 303.1. Compounds in which the bicyclo ring system contains two
ring nitrogens in addition to the two ring nitrogens of the diazole
ring.
| |||
303.7 | The other cyclo is a five-membered hetero ring having one sulfur and four carbons (e.g., cis-tetrahydro-2-oxothieno [3,4-d]-imidazoline 4-valeric acid or biotin, etc.) | ||
This subclass is indented under subclass 303.1. Compounds in which the bicyclo ring system consists of a
five-membered ring having one sulfur and four carbons in addition
to the diazole ring.
| |||
304.1 | Having -C(=O)-HN-, wherein substitution may be made for H, attached directly or indirectly to the bicyclo ring system by acyclic nonionic bonding (e.g., biotin amide, biotinylglycine, etc.) | ||
This subclass is indented under subclass 303.7. Compounds wherein carboxamide (i.e.,--) is attached directly
or indirectly to the bicyclo ring system by acyclic nonionic bonding.
| |||
304.4 | The other ring is a benzene ring | ||||
This subclass is indented under subclass 302.7. Compounds in which the bicyclo ring system contains a benzene
ring in addition to the diazole ring.
SEE OR SEARCH THIS CLASS, SUBCLASS:
| |||||
304.7 | Additional hetero ring attached directly or indirectly to the diazole ring by nonionic bonding (e.g., methyl( 5-[2-(2-thienyl)-1,3-dioxolan -2-yl]-1H-benzimidazol-2-yl) carbamate, etc.) | ||
This subclass is indented under subclass 304.4. Compounds wherein an additional hetero ring is attached
directly or indirectly to the 1,3-diazole ring by nonionic bonding.
| |||
305.1 | The additional hetero ring is a cyclo in a polycyclo ring system (e.g., benzofuranyl-benzimidazole, etc.) | ||
This subclass is indented under subclass 304.7. Compounds wherein the additional hetero ring is one of the
cyclos in a polycyclo ring system.
| |||
305.4 | The additional polycyclo ring system contains a 1,3-diazole [e.g., bis (benzimidazol-2-yl) stilene, etc.] | ||
This subclass is indented under subclass 305.1. Compounds wherein the additional polycyclo ring system contains
a 1,3- diazole ring as one of the cyclos.
| |||
305.7 | The polycyclo ring systems are bonded to the same acyclic carbon atom or to the same acyclic carbon chain (e.g., di-[2-benzimidazolyl)-methane; di-[benzimidazyl-(2)]-monohydroxyethylene, etc.) | ||
This subclass is indented under subclass 305.4. Compounds containing an acyclic carbon atom or an acyclic
carbon chain linkage between the polycyclo ring systems.
| |||
306.1 | The additional hetero ring contains nitrogen as the only ring hetero atom [e.g., 2-(2-imidazolin-2-yl)-benzimidazole; 1-p-chlorophenyl-3- pyrrolidin-1- yl-propyl benzimidazolone, etc.] | ||
This subclass is indented under subclass 304.7. Compounds wherein nitrogen is the only ring hetero atom
in the additional hetero ring.
| |||
306.4 | Chalcogen bonded directly to ring carbon of the diazole ring | ||
This subclass is indented under subclass 304.4. Compounds wherein chalcogen (i.e., oxygen, sulfur, selenium,
or tellurium) is bonded directly to ring carbon of the diazole ring.
| |||
306.7 | Plural chalcogens attached directly to the diazole ring by nonionic bonding | ||
This subclass is indented under subclass 306.4. Compounds wherein at least two chalcogens (i.e., oxygen,
sulfur, selenium, or tellurium) are attached directly to carbon
only or to carbon and nitrogen of the diazole ring by nonionic bonding.
| |||
307.1 | The chalcogen is sulfur | ||
This subclass is indented under subclass 306.4. Compounds wherein sulfur is the chalcogen which is bonded
directly to ring carbon of the diazole ring.
| |||
307.4 | Nitrogen attached directly to the diazole ring by nonionic bonding | ||
This subclass is indented under subclass 304.4. Compounds wherein nitrogen is attached directly to the diazole
ring by nonionic bonding.
| |||
307.7 | Chalcogen attached directly to diazole ring nitrogen by nonionic bonding | ||
This subclass is indented under subclass 307.4. Compounds wherein chalcogen (i.e., oxygen, sulfur, selenium,
or tellurium) is attached directly to ring nitrogen of the diazole
ring by nonionic bonding.
| |||
308.1 | Having -C(=X)-, wherein X is chalcogen, bonded directly to the diazole ring | ||
This subclass is indented under subclass 307.4. Compounds having a - group, in which X is chalcogen (i.e.,
oxygen, sulfur, selenium, or tellurium), bonded directly to the
diazole ring by nonionic bonding.
| |||
308.4 | Acyclic nitrogen bonded directly to the -C(=X)- group | ||
This subclass is indented under subclass 308.1. Compounds wherein an acyclic nitrogen is bonded directly
to the - group.
| |||
308.7 | Having -C(=X)-X-, wherein the Xs are the same or diverse chalcogens, attached indirectly to the diazole ring by acyclic nonionic bonding | ||
This subclass is indented under subclass 307.4. Compounds containing a -X group attached indirectly to the
diazole ring by acyclic nonionic bonding, wherein X"s are
the same or diverse chalcogens (i.e., oxygen, sulfur, selenium,
or tellurium).
| |||
309.1 | Chalcogen bonded directly to the benzene ring of the bicyclo ring system | ||
This subclass is indented under subclass 308.7. Compounds wherein chalcogen (i.e., oxygen, sulfur, selenium,
or tellurium), is bonded directly to the benzene ring of the bicyclo
ring system.
| |||
309.4 | Having -C(=X)-, wherein X is chalcogen, bonded directly to the diazole ring | ||
This subclass is indented under subclass 304.4. Compounds wherein a - group, in which X is chalcogen (i.e.,
oxygen, sulfur, selenium, or tellurium), is bonded directly to the
diazole ring.
| |||
309.7 | Nitrogen attached indirectly to the diazole ring by acyclic nonionic bonding | ||
This subclass is indented under subclass 304.4. Compounds wherein nitrogen is attached indirectly to the
diazole ring by acyclic nonionic bonding.
| |||
310.1 | Chalcogen attached indirectly to the diazole ring by acyclic nonionic bonding | ||
This subclass is indented under subclass 304.4. Compounds wherein chalcogen (i.e., oxygen, sulfur, selenium,
or tellurium) is attached indirectly to the diazole ring by acyclic
nonionic bonding.
| |||
310.4 | Halogen attached directly or indirectly to the diazole ring by acyclic nonionic bonding | ||
This subclass is indented under subclass 304.4. Compounds wherein halogen (i.e., F, Cl, Br, I, or At) is
attached directly or indirectly to the diazole ring by acyclic
nonionic bonding.
| |||
310.7 | Benzene ring bonded directly at the 2- position of the diazole ring | ||
This subclass is indented under subclass 304.4. Compounds wherein a benzene ring is bonded directly to ring
carbon at the 2-position of the diazole ring.
| |||
311.1 | Additional hetero ring attached directly or indirectly to the diazole ring by nonionic bonding (e.g., 1,3-dioxolan-2-yl methyl-imidazole, etc.) | ||
This subclass is indented under subclass 300.1. Compounds wherein an additional hetero ring is attached
directly or indirectly to the diazole ring by nonionic bonding.
| |||
311.4 | The additional hetero ring is a cyclo in a polycyclo ring system [e.g., 2-(1-isothiochromanyl)-2-imidazoline hydrochloride, etc.] | ||
This subclass is indented under subclass 311.1. Compounds wherein the additional hetero ring is one of the
cyclos in a polycyclo ring system.
| |||
311.7 | At least two ring hetero atoms in the polycyclo ring system | ||
This subclass is indented under subclass 311.4. Compounds wherein the polycyclo ring system contains at
least two ring hetero atoms.
| |||
312.1 | The additional polycyclo ring system is a bicyclo ring system having nitrogen as the only ring hetero atom [e.g., 5-(indolyl-3-methylene)- hydantoin, etc.] | ||
This subclass is indented under subclass 311.4. Compounds wherein the additional polycyclo ring system
contains nitrogen as the only ring hetero atom and consists of exactly
two cyclos.
| |||
312.4 | The additional hetero ring is a diazole ring (including hydrogenated) | ||
This subclass is indented under subclass 311.1. Compounds wherein the additional hetero ring is also a five-membered
hetero ring having two ring nitrogens and the remaining
three positions are ring carbons.
| |||
312.7 | Plural 1,3-diazoles | ||
This subclass is indented under subclass 312.4. Compounds wherein the additional hetero ring is a diazole
ring with nitrogen atoms occupying the 1 and 3 positions (i.e.,
plural 1,3-diazoles, and hydrogenated forms thereof).
| |||
313.1 | Additional diverse hetero ring attached directly or indirectly to a diazole ring by nonionic bonding | ||
This subclass is indented under subclass 312.7. Compounds containing an additional hetero ring other than
a diazole ring which is attached directly or indirectly to a 1,3-
diazole ring by nonionic bonding.
| |||
313.4 | The diazole rings are bonded directly to each other | ||
This subclass is indented under subclass 312.7. Compounds wherein the 1,3-diazole rings are bonded directly
to each other.
| |||
313.7 | Ring nitrogens of two diazole rings attached directly to the same atom or chain, which chain may include a ring, by nonionic bonding | ||
This subclass is indented under subclass 312.7. Compounds wherein a ring nitrogen of each of the two 1,3-diazole
rings is attached directly to the same atom or chain, which chain
may include a ring, by nonionic bonding.
| |||
314.1 | Acyclic chalcogen bonded directly at the 2- and at the 4- or 5- positions of each of the two diazole rings (e.g., N, N methylene bis -hydantoin, etc.) | ||
This subclass is indented under subclass 313.7. Compounds wherein acyclic chalcogen (i.e., oxygen, sulfur,
selenium, or tellurium) is bonded directly at the 2- and at the
4- or 5- positions of each of the two diazole rings.
| |||
314.4 | Two diazole rings are bonded directly to the same carbon atom or carbon chain, which chain may include a ring | ||
This subclass is indented under subclass 312.7. Compounds wherein two 1,3-diazole rings are bonded directly
to the same carbon atom or to a carbon chain, which chain may include
a ring.
| |||
314.7 | The additional hetero ring contains nitrogen as the only ring hetero atom [e.g., N-(cyclopentylcarbonyl-L-histidyl)-pyrrolidine, etc.] | ||
This subclass is indented under subclass 311.1. Compounds wherein nitrogen is the only ring hetero atom
in the additional hetero ring.
| |||
315.1 | The additional hetero ring contains sulfur as the only ring hetero atom [e.g., 5-(2-thienyl) hydantoin, etc.] | ||
This subclass is indented under subclass 311.1. Compounds wherein sulfur is the only ring hetero atom in
the additional hetero ring.
| |||
315.4 | The additional hetero ring is a five-membered ring having oxygen and four carbons (e.g., pilocarpine; 2-[5-(3,4-dimethoxyphenyl)-2-furyl]imidazole hydrochloride, etc.) | ||
This subclass is indented under subclass 311.1. Compounds wherein a five- membered ring having one oxygen
and four carbons is the additional hetero ring.
| |||
315.7 | Acyclic chalcogen bonded directly to ring carbon of the 1,3-diazole ring | ||
This subclass is indented under subclass 315.4. Compounds wherein acyclic chalcogen (i.e., oxygen, sulfur,
selenium, or tellurium) is bonded directly to ring carbon of the
diazole ring.
| |||
316.1 | Plural acyclic chalcogens bonded directly at the 2- and at the 4- or 5- positions of the 1,3-diazole ring [e.g., N-(5-nitro-2-furfuryliden)-1- amino-hydantoin, etc.] | ||
This subclass is indented under subclass 315.7. Compounds wherein plural acyclic chalcogens (i.e., oxygen,
sulfur, selenium, or tellurium) are bonded directly at the 2- and
at the 4- or 5- positions of the diazole ring.
| |||
316.4 | Chalcogen bonded directly to ring carbon of the diazole ring (e.g., N-vinyl-N, Nethylene urea, etc.) | ||
This subclass is indented under subclass 300.1. Compounds wherein chalcogen, (i.e., oxygen, sulfur, selenium,
or tellurium) is bonded directly to ring carbon of the diazole ring.
| |||
316.7 | Additional chalcogen attached directly to ring nitrogen of the diazole ring by nonionic bonding | ||
This subclass is indented under subclass 316.4. Compounds containing an additional chalcogen (i.e., oxygen,
sulfur, selenium, or tellurium) which is attached directly to ring nitrogen
of the diazole ring by nonionic bonding.
| |||
317.1 | Plural chalcogens bonded directly to ring carbons of the diazole ring | ||||
This subclass is indented under subclass 316.4. Compounds wherein at least two chalcogens (i.e., oxygen,
sulfur, selenium, or tellurium) are bonded directly to ring carbons
of the diazole ring.
| |||||
317.5 | Three chalcogens bonded directly to ring carbons of the diazole ring | ||||
This subclass is indented under subclass 317.1. Compounds wherein three chalcogens (i.e., oxygen, sulfur,
selenium, or tellurium) are bonded directly to ring carbons of
the diazole ring.
| |||||
318.1 | Nitrogen attached directly to the diazole ring by nonionic bonding [e.g., (2,5-dioxo-4-imidazolidinyl)urea or allantoin, etc.] | ||
This subclass is indented under subclass 317.1. Compounds wherein nitrogen is attached directly to the diazole
ring by nonionic bonding.
| |||
318.5 | Having -C(=X)-, wherein X is chalcogen, bonded directly to the diazole ring | ||
This subclass is indented under subclass 317.1. Compounds wherein a group, in which X is chalcogen (i.e.,
oxygen, sulfur, selenium, or tellurium), is bonded directly to the
diazole ring.
| |||
319.1 | Chalcogen attached indirectly to the diazole ring by acyclic nonionic bonding | ||
This subclass is indented under subclass 317.1. Compounds wherein chalcogen (i.e., oxygen, sulfur, selenium,
or tellurium) is attached indirectly to the diazole ring by acyclic
nonionic bonding.
| |||
319.5 | The chalcogen, X, is in a -C(=X)- group | ||
This subclass is indented under subclass 319.1. Compounds wherein the chalcogen, X (i.e., oxygen, sulfur,
selenium, or tellurium), is in a group.
| |||
320.1 | Nitrogen attached indirectly to the diazole ring by acyclic nonionic bonding | ||
This subclass is indented under subclass 317.1. Compounds wherein nitrogen is attached indirectly to the
diazole ring by acyclic nonionic bonding.
| |||
320.5 | Halogen attached directly or indirectly to the diazole ring by acyclic nonionic bonding | ||
This subclass is indented under subclass 317.1. Compounds wherein halogen is attached directly or indirectly
to the diazole ring by acyclic nonionic bonding.
| |||
321.1 | Benzene ring bonded directly to the diazole ring | ||
This subclass is indented under subclass 317.1. Compounds wherein the diazole ring is bonded directly to
a benzene ring.
| |||
321.5 | Nitrogen attached directly to the diazole ring by nonionic bonding | ||
This subclass is indented under subclass 316.4. Compounds wherein nitrogen is attached directly to the diazole
ring by nonionic bonding.
| |||
322.1 | The nitrogen is attached directly to ring nitrogen of the diazole ring by nonionic bonding (e.g., dinitroethylene urea, etc.) | ||
This subclass is indented under subclass 321.5. Compounds wherein the nitrogen is attached directly to one
of the nitrogens of the diazole ring by nonionic bonding.
| |||
322.5 | Having -C(=X)-, wherein X is chalcogen, bonded directly to the diazole ring | ||
This subclass is indented under subclass 316.4. Compounds wherein a group, in which X is chalcogen (i.e.,
oxygen, sulfur, selenium, or tellurium), is bonded directly to the
diazole ring.
| |||
323.1 | Acyclic nitrogen bonded directly to the -C(=X)- group | ||
This subclass is indented under subclass 322.5. Compounds wherein the group which is bonded directly to
the diazole ring is additionally bonded directly to acyclic nitrogen.
| |||
323.5 | Chalcogen attached indirectly to the diazole ring by acyclic nonionic bonding | ||
This subclass is indented under subclass 316.4. Compounds wherein chalcogen (i.e., oxygen, sulfur, selenium,
or tellurium), is attached indirectly to the diazole ring by acyclic
nonionic bonding.
| |||
324.1 | The chalcogen, X, is in a -C(=X)- group | ||
This subclass is indented under subclass 323.5. Compounds wherein the chalcogen, X (i.e., oxygen, sulfur,
selenium, or tellurium), is in a group.
| |||
324.5 | Nitrogen attached indirectly to the diazole ring by acyclic nonionic bonding | ||
This subclass is indented under subclass 316.4. Compounds wherein nitrogen is attached indirectly to the
diazole ring by acyclic nonionic bonding.
| |||
325.1 | The chalcogen is sulfur or selenium (e.g., 2-mercaptoimidazoline, ethylenethiourea, etc.) | ||
This subclass is indented under subclass 316.4. Compounds wherein the chalcogen which is bonded directly
to diazole ring carbon is sulfur or selenium.
| |||
325.5 | Benzene ring bonded directly to the diazole ring | ||
This subclass is indented under subclass 316.4. Compounds wherein the diazole ring is bonded directly to
a benzene ring.
| |||
326.1 | The diazole ring is further unsubstituted (e.g., cyclic ethylene urea, etc.) | ||||
This subclass is indented under subclass 316.4. Compounds wherein the diazole ring is not substituted except
for the chalcogen (i.e., oxygen, sulfur, selenium, or tellurium).
SEE OR SEARCH THIS CLASS, SUBCLASS:
| |||||
326.5 | Nitrogen attached directly to the diazole ring by nonionic bonding | ||
This subclass is indented under subclass 300.1. Compounds wherein nitrogen is attached directly to the diazole
ring by nonionic bonding.
| |||
327.1 | The nitrogen is part of a nitro group (i.e., -NO ), (e.g., 5-nitroimidazole, etc.) | ||
This subclass is indented under subclass 326.5. Compounds wherein the nitrogen is part of a nitro group
(i.e., -NO2).
| |||
327.5 | The nitro group is bonded directly at the 2-position of the diazole ring | ||
This subclass is indented under subclass 327.1. Compounds wherein the nitro group (i.e., -NO2)
is bonded directly to the ring carbon in the 2- position of the
diazole ring, i.e., the ring carbon between the two ring nitrogens.
| |||
328.1 | Having -C(=X)-, wherein X is chalcogen, bonded directly to the diazole ring | ||
This subclass is indented under subclass 327.1. Compounds which contain a group, wherein X is chalcogen
(i.e., oxygen, sulfur, selenium, or tellurium), bonded directly
to the diazole ring.
| |||
328.5 | Nitrogen attached indirectly to the diazole ring by acyclic nonionic bonding | ||
This subclass is indented under subclass 327.1. Compounds which contain nitrogen attached indirectly to
the diazole ring by acyclic nonionic bonding.
| |||
329.1 | The nitrogen is multiply bonded to carbon | ||
This subclass is indented under subclass 328.5. Compounds wherein the nitrogen is multiply bonded to carbon.
| |||
329.5 | Benzene ring bonded directly at the 2-position of the diazole ring | ||
This subclass is indented under subclass 327.1. Compounds wherein a benzene ring is bonded directly to the
ring carbon in the 2- position of the diazole ring.
| |||
330.1 | Chalcogen, not part of a nitro group, attached indirectly to the diazole ring by acyclic nonionic bonding | ||
This subclass is indented under subclass 327.1. Compounds wherein an additional chalcogen (i.e., oxygen,
sulfur, selenium, or tellurium), which is not part of the nitro
group, is attached indirectly to the diazole ring by acyclic nonionic
bonding.
| |||
330.5 | The chalcogen is sulfur | ||
This subclass is indented under subclass 330.1. Compounds wherein sulfur is the chalcogen that is attached
indirectly to the diazole ring by acyclic nonionic bonding.
| |||
331.1 | Chalcogen or the nitrogen attached directly to diazole ring nitrogen by nonionic bonding | ||
This subclass is indented under subclass 326.5. Compounds wherein the nitrogen or chalcogen (i.e., oxygen,
sulfur, selenium, or tellurium) is attached directly to a diazole
ring nitrogen by nonionic bonding.
| |||
331.5 | The nitrogen is bonded directly at the 2-position of the diazole ring | ||
This subclass is indented under subclass 326.5. Compounds wherein the nitrogen is bonded directly to the
ring carbon in the 2- position of the diazole ring, i.e., the ring
carbon between the two ring nitrogens.
| |||
332.1 | Having -C(=X)-, wherein X is chalcogen, bonded directly to the diazole ring | ||
This subclass is indented under subclass 331.5. Compounds which contain a group, wherein X is chalcogen
(i.e., oxygen, sulfur, selenium, or tellurium), bonded directly
to the diazole ring.
| |||
332.5 | Chalcogen, additional nitrogen, or -C(=X)-, wherein X is chalcogen or nitrogen, attached directly to the nitrogen by nonionic bonding | ||
This subclass is indented under subclass 331.5. Compounds wherein the nitrogen is attached directly to chalcogen
(i.e., oxygen, sulfur, selenium, or tellurium), an additional nitrogen
or a group, in which X is chalcogen or nitrogen, by nonionic
bonding.
| |||
333.1 | Benzene ring bonded directly to the nitrogen | ||
This subclass is indented under subclass 331.5. Compounds wherein the nitrogen is bonded directly to a benzene
ring.
| |||
333.5 | Having -C(=X)-, wherein X is chalcogen, bonded directly to the diazole ring | ||
Compounds under 300.1 wherein a group, in which X is chalcogen
(i.e., oxygen, sulfur, selenium, or tellurium), is bonded directly
to the diazole ring.
| |||
334.1 | The -C(=X)- is bonded directly to ring nitrogen of the diazole ring | ||
This subclass is indented under subclass 333.5. Compounds in which the group is bonded directly to a diazole
ring nitrogen by nonionic bonding.
| |||
334.5 | The -C(=X)- is part of a -C(=X)X- group, wherein the Xs are the same or diverse chalcogens (e.g., imidazole- 4,5-dicarboxylic acid, etc.) | ||
This subclass is indented under subclass 333.5. Compounds in which the group is part of a X-group,
wherein the X"s are the same or diverse chalcogens (i.e.,
oxygen, sulfur, selenium, or tellurium).
| |||
335.1 | Two double bonds between ring members of the diazole ring (i.e., imidazole) | ||||
This subclass is indented under subclass 300.1. Compounds wherein the 1,3-diazole ring contains two double
bonds between its ring members.
| |||||
335.5 | Nitrogen attached indirectly to the diazole ring by acyclic nonionic bonding | ||
This subclass is indented under subclass 335.1. Compounds wherein nitrogen is attached indirectly to the
diazole ring by acyclic nonionic bonding.
| |||
336.1 | The nitrogen is multiply bonded to carbon | ||
This subclass is indented under subclass 335.5. Compounds wherein carbon is multiply bonded to the nitrogen.
| |||
336.5 | Having a -C=N group bonded directly to the nitrogen (e.g., N-cyano-N- methyl-N~-{2-(4-methyl-5-imidazolyl)-methylthio]-ethyl}guanidine, etc.) | ||
This subclass is indented under subclass 336.1. Compounds wherein the nitrogen is bonded directly to a -CN
group.
| |||
337.1 | The nitrogen is part of a -C=N group which is bonded directly to the diazole ring (e.g., 4,5-dicyanoimidazole, etc.) | ||
This subclass is indented under subclass 336.1. Compounds containing a -CN group bonded directly to the
diazole ring.
| |||
338.1 | Having -C(=X)-, wherein X is chalcogen, bonded directly to the nitrogen | ||
This subclass is indented under subclass 335.5. Compounds wherein the nitrogen is bonded directly to a
group, wherein X is chalcogen (i.e., oxygen, sulfur, selenium, or
tellurium).
| |||
338.5 | The chalcogen is sulfur or sulfur attached indirectly to the -C(=X)- group by acyclic nonionic bonding | ||
This subclass is indented under subclass 338.1. Compounds in which sulfur is attached indirectly to the
group by acyclic nonionic bonding or the chalcogen of the group
is sulfur.
| |||
339.1 | The nitrogen and -C(=X)X-, wherein Xs are the same or diverse chalcogens, are bonded directly to the same acyclic carbon atom (e.g., -amino-4(5)- imidazole propionic acid or histidine, etc.) | ||
This subclass is indented under subclass 335.5. Compounds wherein a X- group, in which the X"s
are the same or diverse chalcogens (i.e., oxygen, sulfur, selenium,
or tellurium), and the nitrogen are bonded directly to the same
acyclic carbon atom.
| |||
339.5 | Halogen attached indirectly to the diazole ring by acyclic nonionic bonding | ||
This subclass is indented under subclass 339.1. Compounds in which halogen (i.e., F, Cl, Br, I, or At) is
attached indirectly to the diazole ring by acyclic nonionic bonding.
| |||
340.1 | Chalcogen attached indirectly to the nitrogen by acyclic nonionic bonding | ||
This subclass is indented under subclass 335.5. Compounds wherein chalcogen (i.e., oxygen, sulfur, selenium,
or tellurium) is attached indirectly to the nitrogen by acyclic
nonionic bonding.
| |||
341.1 | Chalcogen attached indirectly to the diazole ring by acyclic nonionic bonding | ||
This subclass is indented under subclass 335.1. Compounds wherein chalcogen (i.e., oxygen, sulfur, selenium,
or tellurium) is attached indirectly to the diazole ring by acyclic
nonionic bonding.
| |||
341.5 | The chalcogen, X, is in a -C(=X)- group | ||
This subclass is indented under subclass 341.1. Compounds wherein the chalcogen, X (i.e., oxygen, sulfur,
selenium, or tellurium), is in a group.
| |||
342.1 | The chalcogen is sulfur | ||
This subclass is indented under subclass 341.1. Compounds wherein sulfur is the chalcogen.
| |||
342.5 | Benzene ring or halogen attached directly to the diazole ring by nonionic bonding (e.g., 1-hydroxyethyl-4,5-diphenyl-imidazole; 1-ethyloxymethyl-2, 4,5-trichloro-imidazole, etc.) | ||
This subclass is indented under subclass 341.1. Compounds wherein halogen (i.e., F, Cl, Br, I, or At) or
benzene ring is attached directly to the diazole ring by nonionic
bonding.
| |||
343.1 | Halogen attached directly or indirectly to the diazole ring by acyclic nonionic bonding | ||
This subclass is indented under subclass 335.1. Compounds wherein halogen (i.e., F, Cl, Br, I, or At) is
attached directly or indirectly to the diazole ring by acyclic nonionic
bonding.
| |||
343.5 | Benzene ring bonded directly to the diazole ring | ||
This subclass is indented under subclass 335.1. Compounds wherein the diazole ring is bonded directly to
a benzene ring.
| |||
344.1 | The diazole ring and two benzene rings are bonded directly to the same acyclic carbon | ||
This subclass is indented under subclass 335.1. Compounds wherein two benzene rings and the diazole ring
are bonded directly to the same acyclic carbon.
| |||
345.1 | Cycloaliphatic ring bonded directly to the diazole ring | ||
This subclass is indented under subclass 335.1. Compounds wherein the diazole ring is bonded directly to
a cycloaliphatic ring.
| |||
346.1 | Benzene ring attached indirectly to the diazole ring by acyclic nonionic bonding | ||
This subclass is indented under subclass 335.1. Compounds wherein a benzene ring is attached indirectly
to the diazole ring by acyclic nonionic bonding.
| |||
347.1 | One double bond between ring members of the diazole ring (i.e., imidazoline) | ||||
This subclass is indented under subclass 300.1. Compounds wherein the 1,3-diazole contains one double bond
between its ring members.
| |||||
348.1 | Nitrogen attached indirectly to the diazole ring by acyclic nonionic bonding | ||
This subclass is indented under subclass 347.1. Compounds wherein nitrogen is attached indirectly to the
diazole ring by acyclic nonionic bonding.
| |||
349.1 | Chalcogen attached indirectly to the diazole ring by acyclic nonionic bonding | ||
This subclass is indented under subclass 348.1. Compounds wherein chalcogen (i.e., oxygen, sulfur, selenium,
or tellurium) is attached indirectly to the diazole ring by acyclic
nonionic bonding.
| |||
350.1 | Chalcogen attached indirectly to the diazole ring by acyclic nonionic bonding (e.g., hydroxyalkyl glyoxalidine, etc.) | ||
This subclass is indented under subclass 347.1. Compounds wherein chalcogen (i.e., oxygen, sulfur, selenium,
or tellurium) is attached indirectly to the diazole ring by acyclic
nonionic bonding.
| |||
351.1 | The chalcogen is sulfur | ||
This subclass is indented under subclass 350.1. Compounds wherein sulfur is the chalcogen.
| |||
352.1 | The chalcogen, X, is in a -C(=X)X- group, wherein Xs are the same or diverse chalcogens | ||
This subclass is indented under subclass 350.1. Compounds in which the chalcogen, X, is in a X- group, wherein
X"s are the same or diverse chalcogens.
| |||
353.1 | Benzene ring bonded directly to the chalcogen [e.g., 2-(3- aminophenoxymethyl)imidazoline, etc.] | ||
This subclass is indented under subclass 350.1. Compounds in which the chalcogen is bonded directly to a
benzene ring.
| |||
354.1 | Benzene ring bonded directly to the diazole ring | ||
This subclass is indented under subclass 347.1. Compounds wherein the diazole ring is bonded directly to
a benzene ring.
| |||
355.1 | Benzene ring and the diazole ring are bonded to the same acyclic carbon atom or carbon chain | ||
This subclass is indented under subclass 347.1. Compounds wherein the diazole ring and a benzene ring are
bonded to the same acyclic carbon atom or carbon chain.
| |||
356.1 | 1,2-diazoles (including hydrogenated) | ||||||
This subclass is indented under subclass 100. Compounds wherein nitrogen atoms occupy the 1 and 2 positions
and carbon atoms occupy the remaining three positions of the five-membered
hetero ring.
| |||||||
356.5 | Polycyclo ring system containing anthracene configured ring system having at least one double bond between ring members and having oxygen single bonded or any atom double bonded directly at the 9- or 10- positions (e.g., anthrone, anthraquinone, etc.) | ||||
This subclass is indented under subclass 356.1. Compounds having a polycyclo ring system which is or contains
the anthracene ring configuration with at least one double bond
between ring members and having oxygen single bonded or any atom
double bonded directly to the ring system at the 9- and 10- positions
(e.g., anthraquinones, etc.) or at the 9- or 10- positions (e.g.,
anthrones, etc.).
| |||||
357.1 | Additional polycyclo ring system having at least three cyclos attached directly or indirectly to the anthrone or anthraquinone by nonionic bonding | ||
This subclass is indented under subclass 356.5. Compounds wherein the anthrone or the anthraquinone is attached
directly or indirectly to an additional polycyclo ring system having at
least three cyclos by nonionic bonding.
| |||
357.5 | Spiro | ||||
This subclass is indented under subclass 356.1. Compounds which are or contain a spiro ring system.
| |||||
358.1 | Polycyclo ring system having the diazole ring as one of the cyclos | ||
This subclass is indented under subclass 356.1. Compounds wherein the 1,2-diazole ring is a cyclo in a polycyclo
ring system.
| |||
358.5 | Tetracyclo ring system having the diazole ring as one of the cyclos | ||
This subclass is indented under subclass 358.1. Compounds in which the polycyclo ring system consists of
exactly four rings.
| |||
359.1 | Tricyclo ring system having the diazole ring as one of the cyclos | ||
This subclass is indented under subclass 358.1. Compounds in which the polycyclo ring system consists of
exactly three rings.
| |||
359.5 | At least three ring hetero atoms in the tricyclo ring system | ||
This subclass is indented under subclass 359.1. Compounds wherein the tricyclo ring system contains at least
one ring hetero atom in addition to the two ring nitrogens of the
diazole ring.
| |||
360.1 | Bicyclo ring system having the diazole ring as one of the cyclos (e.g., 2, 4-dichloro-5-nitrophenyl-4,5,6,7-tetrahydro-2H-indazole, etc.) | ||
This subclass is indented under subclass 358.1. Compounds in which the polycyclo ring system consists of
exactly two rings.
| |||
360.5 | At least three ring hetero atoms in the bicyclo ring system | ||
This subclass is indented under subclass 360.1. Compounds wherein the bicyclo ring system contains at least
one ring hetero atom in addition to the two ring nitrogens of the
diazole ring.
| |||
361.1 | The other ring is a benzene ring | ||||
This subclass is indented under subclass 360.1. Compounds in which the bicyclo ring system consists of a
benzene ring and the diazole ring.
SEE OR SEARCH THIS CLASS, SUBCLASS:
| |||||
361.5 | Chalcogen bonded directly to ring carbon of the diazole ring | ||
This subclass is indented under subclass 361.1. Compounds wherein chalcogen (i.e., oxygen, sulfur, selenium,
or tellurium) is bonded directly to ring carbon of the diazole ring.
| |||
362.1 | Nitrogen attached directly to the diazole ring by nonionic bonding | ||
This subclass is indented under subclass 361.1. Compounds wherein nitrogen is attached directly to the diazole
ring by nonionic bonding.
| |||
362.5 | Having chalcogen or nitrogen attached indirectly to the diazole ring by acyclic nonionic bonding | ||
This subclass is indented under subclass 361.1. Compounds wherein nitrogen or chalcogen (i.e., oxygen, sulfur,
selenium, or tellurium) is attached indirectly to the diazole ring
by acyclic nonionic bonding.
| |||
363.1 | Chalcogen bonded directly to ring carbon of the diazole ring | ||
This subclass is indented under subclass 360.1. Compounds wherein chalcogen (i.e., oxygen, sulfur, selenium,
or tellurium) is bonded directly to ring carbon of the diazole ring.
| |||
364.1 | Additional hetero ring attached directly or indirectly to the diazole ring by nonionic bonding | ||
This subclass is indented under subclass 356.1. Compounds containing an additional hetero ring which is
attached directly or indirectly to the five-membered hetero ring
by nonionic bonding.
| |||
364.4 | The additional hetero ring is a cyclo in a polycyclo ring system | ||
This subclass is indented under subclass 364.1. Compounds wherein the additional hetero ring is one of the
cyclos in a polycyclo ring system.
| |||
364.7 | The polycyclo ring system contains nitrogen as the only ring hetero atom | ||
This subclass is indented under subclass 364.4. Compounds containing nitrogen as the only ring hetero atom
in the polycyclo ring system.
| |||
365.1 | Plural 1,2-diazoles (including hydrogenated) | ||
This subclass is indented under subclass 364.1. Compounds wherein the additional hetero ring is a five membered
hetero ring having two ring nitrogens occupying the 1 and 2 positions
(i.e., plural 1,2-diazoles and hydrogenated forms thereof).
| |||
365.4 | Two diazole rings are bonded directly to each other, to the same acyclic carbon atom or to the same acyclic carbon chain | ||
This subclass is indented under subclass 365.1. Compounds wherein two diazole rings are bonded directly
to the same acyclic carbon atom, to the same acyclic carbon chain
or are bonded directly to each other.
| |||
365.7 | The additional hetero ring contains chalcogen as the only ring hetero atom | ||
This subclass is indented under subclass 364.1. Compounds containing chalcogen (i.e., oxygen, sulfur, selenium,
or tellurium) as the only ring hetero atom in the additional hetero
ring.
| |||
366.1 | Chalcogen bonded directly to ring carbon of the diazole ring | ||
This subclass is indented under subclass 356.1. Compounds wherein chalcogen (i.e., oxygen, sulfur, selenium,
or tellurium) is bonded directly to ring carbon of the diazole ring.
| |||
366.4 | Plural chalcogens bonded directly to diazole ring carbons | ||
This subclass is indented under subclass 366.1. Compounds wherein at least two chalcogens (i.e., oxygen,
sulfur, selenium, or tellurium) are bonded directly to ring carbons
of the diazole ring.
| |||
366.7 | Nitrogen attached indirectly to the diazole ring by acyclic nonionic bonding | ||
This subclass is indented under subclass 366.4. Compounds wherein nitrogen is attached indirectly to the
diazole ring by acyclic nonionic bonding.
| |||
367.1 | Chalcogen attached indirectly to the diazole ring by acyclic nonionic bonding | ||
This subclass is indented under subclass 366.4. Compounds wherein chalcogen (i.e., oxygen, sulfur, selenium,
or tellurium) is attached indirectly to the diazole ring by acyclic
nonionic bonding.
| |||
367.4 | Nitrogen attached directly to the diazole ring by nonionic bonding | ||
This subclass is indented under subclass 366.1. Compounds wherein nitrogen is attached directly to the diazole
ring by nonionic bonding.
| |||
367.7 | The nitrogen is multiply bonded to acyclic carbon or is bonded to nitrogen of the diazole ring | ||
This subclass is indented under subclass 367.4. Compounds wherein the nitrogen is bonded directly to diazole
ring nitrogen or acyclic carbon is multiply bonded to the nitrogen.
| |||
368.1 | Chalcogen attached directly to the nitrogen by nonionic bonding [e.g., 5- (2-carbethoxyphenoxy)-1,3-dimethyl-4-nitropyrazole, etc.] | ||
This subclass is indented under subclass 367.4. Compounds wherein the nitrogen is attached directly to chalcogen
(i.e., oxygen, sulfur, selenium, or tellurium) by nonionic bonding.
| |||
368.4 | Having -C(=X)-, wherein X is chalcogen, bonded directly to the nitrogen | ||
This subclass is indented under subclass 367.4. Compounds wherein the nitrogen is bonded directly to a
group, wherein X is chalcogen (i.e., oxygen, sulfur, selenium, or
tellurium).
| |||
368.7 | The nitrogen and the chalcogen are directly bonded to non-adjacent carbons of the diazole ring (e.g., pyrazolone imide or imino pyrazolone, etc.) | ||
This subclass is indented under subclass 367.4. Compounds wherein the chalcogen and the nitrogen are bonded
directly to diazole ring carbons which are nonadjacent to each other.
| |||
369.1 | Chalcogen attached indirectly to the nitrogen by acyclic nonionic bonding | ||
This subclass is indented under subclass 367.4. Compounds wherein the nitrogen is attached indirectly to
chalcogen (i.e., oxygen, sulfur, selenium, or tellurium) by acyclic
nonionic bonding.
| |||
369.4 | Having -C(=X)-, wherein X is chalcogen bonded directly to the diazole ring | ||
This subclass is indented under subclass 366.1. Compounds in which a group, wherein X is chalcogen (i.e.,
oxygen, sulfur, selenium, or tellurium), is bonded directly to the
diazole ring.
| |||
369.7 | Acyclic nitrogen or chalcogen bonded directly to the -C(=X)- group | ||
This subclass is indented under subclass 369.4. Compounds wherein the -C(=X)- group is bonded directly
to chalcogen (i.e., oxygen, sulfur, selenium, or tellurium) or acyclic
nitrogen.
| |||
370.1 | Nitrogen attached indirectly to the diazole ring by acyclic nonionic bonding | ||
This subclass is indented under subclass 366.1. Compounds wherein nitrogen is attached indirectly to the
diazole ring by acyclic nonionic bonding.
| |||
370.4 | Chalcogen attached indirectly to the diazole ring by acyclic nonionic bonding | ||
This subclass is indented under subclass 366.1. Compounds wherein chalcogen (i.e., oxygen, sulfur, selenium,
or tellurium) is attached indirectly to the diazole ring by acyclic
nonionic bonding.
| |||
370.7 | The chalcogen is bonded directly at the 4-position of the diazole ring | ||
This subclass is indented under subclass 366.1. Compounds wherein the chalcogen (i.e., oxygen, sulfur, selenium,
or tellurium) is bonded directly to ring carbon at the 4- position
of the diazole ring.
| |||
371.1 | Benzene ring is bonded directly to ring nitrogen of the diazole ring (e.g., 1-phenyl-3-methyl-5-pyrazolone; antipyrine, etc.) | ||
This subclass is indented under subclass 366.1. Compounds wherein benzene ring is bonded directly to ring
nitrogen of the diazole ring.
| |||
371.4 | Nitrogen attached directly to the diazole ring by nonionic bonding | ||
This subclass is indented under subclass 356.1. Compounds wherein nitrogen is attached directly to the ring
by nonionic bonding.
| |||
371.7 | Nitrogen attached indirectly to the diazole ring by acyclic nonionic bonding | ||
This subclass is indented under subclass 371.4. Compounds wherein nitrogen is attached indirectly to the
diazole ring by acyclic nonionic bonding.
| |||
372.1 | Chalcogen attached directly to the nitrogen by nonionic bonding [e.g., N-(2-hydroxyethyl)-4-nitropyrazole, etc.] | ||
This subclass is indented under subclass 371.4. Compounds wherein the nitrogen is attached directly to chalcogen
(i.e., oxygen, sulfur, selenium, or tellurium) by nonionic bonding.
| |||
372.5 | Chalcogen attached indirectly to the diazole ring by acyclic nonionic bonding [e.g., 1-(2-hydroxyethyl)-3-amino-4(para-chlorophenyl)-pyrazole, etc.] | ||
This subclass is indented under subclass 371.4. Compounds wherein chalcogen (i.e., oxygen, sulfur, selenium,
or tellurium) is attached indirectly to the diazole ring by acyclic
nonionic bonding.
| |||
373.1 | Two double bonds between ring members of the diazole ring (i.e., pyrazole) | ||
This subclass is indented under subclass 356.1. Compounds wherein the 1,2-diazole ring contains two double
bonds between ring members.
| |||
374.1 | Having -C(=X)-, wherein X is chalcogen bonded directly to the diazole ring | ||
This subclass is indented under subclass 373.1. Compounds wherein, wherein X is chalcogen (i.e., oxygen,
sulfur, selenium, or tellurium), is bonded directly to the diazole
ring.
| |||
375.1 | Nitrogen attached indirectly to the diazole ring by acyclic nonionic bonding | ||
This subclass is indented under subclass 373.1. Compounds wherein nitrogen is attached indirectly to the
diazole ring by acyclic nonionic bonding.
| |||
376.1 | Chalcogen attached indirectly to the diazole ring by acyclic nonionic bonding | ||
This subclass is indented under subclass 373.1. Compounds wherein chalcogen (i.e., oxygen, sulfur, selenium,
or tellurium) is attached indirectly to the diazole ring by acyclic
nonionic bonding.
| |||
377.1 | Benzene ring bonded directly to the diazole ring | ||
This subclass is indented under subclass 373.1. Compounds wherein the diazole ring is bonded directly to
a benzene ring.
| |||
379.1 | One double bond between ring memebers of the diazole ring (i.e., pyrazoline) | ||
This subclass is indented under subclass 356.1. Compounds wherein the 1,2-diazole ring contains one double
bond between ring members.
| |||
379.4 | Chalcogen or nitrogen attached indirectly to the diazole ring by acyclic nonionic bonding | ||
This subclass is indented under subclass 379.1. Compounds wherein nitrogen or chalcogen (i.e., oxygen, sulfur,
selenium, or tellurium) is attached indirectly to the diazole ring
by acyclic nonionic bonding.
| |||
379.7 | Plural benzene rings bonded directly to the diazole ring | ||
This subclass is indented under subclass 379.1. Compounds containing at least two benzene rings bonded directly
to the diazole ring.
| |||
400 | Hetero ring is five-membered consisting of one nitrogen and four carbons (e.g., halopyrrolidines, etc.) | ||
This subclass is indented under subclass 1. Compounds under Class 540, which contain a five-membered
hetero ring consisting of one nitrogen atom and four carbon atoms.
| |||
401 | With preservative or stabilizer |
| This subclass is indented under subclass 400. Products which contain a compound having a hetero ring consisting of one nitrogen and four carbon atoms in admixture with a preserving or stabilizing agent whose sole function is to prevent physical or chemical change. | |
402 | Heavy metal or aluminum containing | ||||
This subclass is indented under subclass 400. Compounds which include aluminum or a metal having a specific
gravity greater than four.
| |||||
403 | The metal is bonded directly to chalcogen, which chalcogen is attached directly or indirectly to the five-membered hetero ring by nonionic bonding pyrazole ring carbon | ||
This subclass is indented under subclass 402. Compounds wherein the metal /is bonded directly
to chalcogen (i.e., oxygen, sulfur, selenium, or tellurium) which
is attached directly or indirectly to the five-membered hetero ring by
nonionic bonding.
| |||
404 | Plural chalcogens bonded directly to ring carbons of the five-membered hetero ring (e.g., cyclic imides, etc.) | ||
This subclass is indented under subclass 402. Compounds wherein at least two chalcogens (i.e., oxygen,
sulfur, selenium, or tellurium) are bonded to ring carbons of the
five-membered hetero ring.
| |||
405 | Boron containing |
| This subclass is indented under subclass 400. Compounds which contain boron. | |
406 | Silicon containing |
| This subclass is indented under subclass 400. Compounds which contain silicon. | |
407 | Spiro | ||
This subclass is indented under subclass 400. Compounds which contain a spiro ring system.
| |||
408 | The spiro includes the five-membered hetero ring | ||
This subclass is indented under subclass 407. Compounds wherein the five-membered hetero ring is one of
the rings in the spiro ring system.
| |||
409 | Both rings which form the spiro are hetero rings | ||
This subclass is indented under subclass 408. Compounds wherein both rings in the spiro ring system are
hetero rings.
| |||
410 | Acyclic chalcogen attached directly to the five-membered nitrogen containing spiro hetero ring by nonionic bonding | ||
This subclass is indented under subclass 409. Compounds wherein acyclic chalcogen (i.e., oxygen, sulfur,
selenium, or tellurium) is attached directly to the five-membered
nitrogen containing spiro hetero ring by nonionic bonding.
| |||
411 | Polycyclo ring system having one of the two rings which form the spiro as one of the cyclos | ||
This subclass is indented under subclass 408. Compounds wherein one of the two rings which form the spiro
ring system is additionally one of the cyclos of a polycyclo ring
system.
| |||
412 | Phosphorus attached directly to the five-membered hetero ring by nonionic bonding |
| This subclass is indented under subclass 400. Compounds wherein phosphorus is attached directly to the five-membered hetero ring by nonionic bonding. | |
413 | Phosphorus attached indirectly to the five-membered hetero ring by nonionic bonding | ||
This subclass is indented under subclass 400. Compounds wherein phosphorus is attached indirectly to the
five-membered hetero ring by nonionic bonding.
| |||
414 | Polycyclo ring system having the five-membered hetero ring as one of the cyclos | ||
This subclass is indented under subclass 413. Compounds wherein the five-membered hetero ring is a cyclo
in a polycyclo ring system.
| |||
415 | Plural chalcogens bonded directly to ring carbons of the five-membered hetero ring | ||
This subclass is indented under subclass 414. Compounds wherein at least two chalcogen (i.e., oxygen,
sulfur, selenium, or tellurium) atoms are bonded directly to ring
carbons of the five-membered hetero ring.
| |||
416 | Polycyclo ring system having the five-membered hetero ring as one of the cyclos |
| This subclass is indented under subclass 400. Compounds wherein the five-membered hetero ring is one of the cyclos of a polycyclo ring system. | |
417 | The polycyclo ring system has at least six cyclos, and has either a ring carbon that is shared by three of the cyclos or has a ring chalcogen | ||
This subclass is indented under subclass 416. Compounds wherein the polycyclo ring system contains at
least six cyclos and has either a ring carbon that is shared by
three of the cyclos of the polycyclo ring system, or has a ring
chalcogen.
| |||
418 | Pentacyclo ring system having the five-membered hetero ring as one of the cyclos |
| This subclass is indented under subclass 416. Compounds wherein the polycyclo ring system consists of exactly five cyclos. | |
419 | Two of the cyclos share at least three ring members, or a ring carbon is shared by three of the cyclos (e.g., bridged, peri-fused, etc.) | ||
This subclass is indented under subclass 418. Compounds wherein at least three ring members of one cyclo
are ring members of an additional cyclo in the pentacyclo ring system,
or wherein one ring carbon is a member of three of the cyclos in
the pentacyclo system.
| |||
420 | Tetracyclo ring system having the five-membered hetero ring as one of the cyclos |
| This subclass is indented under subclass 416. Compounds wherein the polycyclo ring system consists of exactly four cyclos. | |
421 | Plural ring hetero atoms in the tetracyclo ring system |
| This subclass is indented under subclass 420. Compounds wherein the tetracyclo ring system contains at least one ring hetero atom in addition to the ring nitrogen of the five-membered hetero ring. | |
422 | Three-membered nitrogen containing hetero ring is cyclo in the tetracyclo ring system (e.g., mitomycin C, etc.) | ||
This subclass is indented under subclass 421. Compounds wherein one of the cyclos of the tetracyclo ring
system is a three-membered hetero ring which contains ring nitrogen.
| |||
423 | Plural chalcogens bonded directly to ring carbons of the five-membered hetero ring (e.g., cyclic imides, etc.) | ||
This subclass is indented under subclass 421. Compounds wherein at least two chalcogen (i.e., oxygen,
sulfur, selenium, or tellurium) atoms are bonded directly to ring
carbons of the five-membered hetero ring.
| |||
424 | Two of the cyclos share at least three ring members, or a ring carbon is shared by three of the cyclos (e.g., bridged, peri-fused, etc.) | ||
This subclass is indented under subclass 420. Compounds wherein at least three ring members of one cyclo
are ring members of an additional cyclo in the tetracyclo ring system,
or wherein one ring carbon is a member of three of the cyclos in
the tetracyclo ring system.
| |||
425 | Benzene ring is cyclo in the tetracyclo ring system |
| This subclass is indented under subclass 424. Compounds wherein one of the cyclos of the tetracyclo ring system is a benzene ring. | |
426 | The five-membered hetero ring shares ring members with one other cyclo only | ||
This subclass is indented under subclass 420. Compounds wherein ring members of the five-membered hetero
ring are ring members of one additional cyclo only in the tetracyclo
ring system.
| |||
427 | Tricyclo ring system having the five-membered hetero ring as one of the cyclos |
| This subclass is indented under subclass 416. Compounds wherein the polycyclo ring system consists of exactly three cyclos. | |
428 | Ring nitrogen is shared by two of the cyclos | ||
This subclass is indented under subclass 427. Compounds wherein two of the cyclos in the tricyclo ring
system share a ring nitrogen.
| |||
429 | Plural ring hetero atoms in the tricyclo ring system |
| This subclass is indented under subclass 427. Compounds wherein the tricyclo ring system contains at least one ring hetero atom in addition to the ring nitrogen of the five-membered hetero ring. | |
430 | Ring chalcogen in the tricyclo ring system |
| This subclass is indented under subclass 429. Compounds wherein the tricyclo ring system contains ring chalcogen (i.e., oxygen, sulfur, selenium, or tellurium). | |
431 | Chalcogen bonded directly to ring carbon of the five-membered hetero ring (e.g., cyclic imides, etc.) | ||
This subclass is indented under subclass 430. Compounds wherein chalcogen (i.e., oxygen, sulfur, selenium,
or tellurium) is bonded directly to ring carbon of the five-membered hetero
ring.
| |||
432 | Pyrano(3,4-b)indoles or thiopyrano(3,4-b) indoles (including hydrogenated) |
| This subclass is indented under subclass 430. Compounds wherein the tricyclo ring system has the following
basic structure, which may contain double bonds between ring members and
wherein X is oxygen or sulfur:
| |
433 | The tricyclo ring system consists of a benzene ring which shares ring carbons with two nitrogen containing hetero rings (e.g., pyromellitic diimide, etc.) | ||
This subclass is indented under subclass 429. Compounds wherein the tricyclo ring system consists of a
benzene ring which shares ring carbons with two nitrogen containing
hetero rings.
| |||
434 | Two of the cyclos share at least three ring members (i.e., bridged) |
| This subclass is indented under subclass 427. Compounds wherein at least three ring members of one cyclo are ring members of an additional cyclo in the tricyclo ring system. | |
435 | Plural chalcogens bonded directly to ring carbons of the five-membered hetero ring (e.g., cyclic imides, etc.) | ||
This subclass is indented under subclass 434. Compounds wherein at least two chalcogen atoms (i.e., oxygen,
sulfur, selenium, or tellurium) are bonded directly to ring carbons
of the five-membered hetero ring.
| |||
436 | A ring carbon is shared by three of the cyclos (e.g., peri-fused, etc.) |
| This subclass is indented under subclass 427. Compounds wherein the same ring carbon is a member of each of the three cyclos of the tricyclo ring system. | |
437 | Chalcogen bonded directly to ring carbon of the five-membered hetero ring (e.g., naphthostyril, etc.) | ||
This subclass is indented under subclass 436. Compounds wherein chalcogen (i.e., oxygen, sulfur, selenium,
or tellurium) is bonded directly to ring carbon of the five-membered hetero
ring.
| |||
438 | Benzene ring, which is not a cyclo in the tricyclo ring system, bonded directly to ring carbon of the five-membered hetero ring | ||
This subclass is indented under subclass 436. Compounds wherein a benzene ring, which is not a cyclo in
the tricyclo ring system, is bonded directly to ring carbon of the
five-membered hetero ring.
| |||
439 | The five-membered hetero ring shares ring carbons with two carbocyclic rings (e.g., tetrahydrocarbazoles, etc.) | ||
This subclass is indented under subclass 427. Compounds wherein each of the two carbocyclic rings in the
tricyclo ring system share ring carbons with the five-membered hetero
ring.
| |||
440 | The five-membered hetero ring shares ring carbons with two benzene rings (i.e., carbazoles) | ||
This subclass is indented under subclass 439. Compounds wherein each of two benzene rings in the tricyclo
ring system shares ring carbons with the five-membered hetero ring.
| |||
441 | Having -C(=X)-, wherein X is chalcogen, bonded directly to the tricyclo ring system (e.g., carbazole-3-carboxylic acid, etc.) |
| This subclass is indented under subclass 440. Compounds wherein a group, in which X is chalcogen (i.e., oxygen, sulfur, selenium, or tellurium), is bonded directly to the tricyclo ring system. | |
442 | One of the benzene rings and an additional carbocyclic ring bonded directly to the same acyclic nitrogen | ||
This subclass is indented under subclass 440. Compounds wherein an additional carbocyclic ring and one
of the benzene rings of the tricyclo ring system are bonded directly
to the same acyclic nitrogen.
| |||
443 | Azido or sulfonyl attached directly to the tricyclo ring system by nonionic bonding (e.g., carbazole sulfonic acid, etc.) | ||
This subclass is indented under subclass 440. Compounds wherein -N3, or is attached directly
to the tricyclo ring system by nonionic bonding.
| |||
444 | Chalcogen or nitrogen attached indirectly to the tricyclo ring system by acyclic nonionic bonding | ||
This subclass is indented under subclass 440. Compounds wherein chalcogen (i.e., oxygen, sulfur, selenium,
or tellurium) or nitrogen is attached indirectly to the tricyclo
ring system by acyclic nonionic bonding.
| |||
445 | The tricyclo ring system is unsubstituted or is hydrocarbyl substituted only (e.g., N-vinyl carbazole, etc.) | ||
This subclass is indented under subclass 440. Compounds wherein the tricyclo ring system is either unsubstituted
or substituted by hydrocarbyl groups only.
| |||
446 | Carbazole per se or alkyl substituted only |
| This subclass is indented under subclass 445. Compounds which have the following structure, and which
may contain alkyl substitution only:
| |
447 | Processes of forming by cyclization or alkylation | ||
This subclass is indented under subclass 446. Processes of preparing unsubstituted carbazole or alkyl
substituted carbazoles only, by cyclization or by alkylation.
| |||
448 | Having -C(=X)-, wherein X is chalcogen, bonded directly to ring carbon of the tricyclo ring system (e.g., 1, 2, 3, 4-tetrahydrocarbazole -3 carboxylic acid, etc.) |
| This subclass is indented under subclass 439. Compounds wherein a group, in which X is chalcogen (i.e. oxygen, sulfur, selenium, or tellurium), is bonded directly to ring carbon of the tricyclo ring system. | |
449 | Chalcogen or nitrogen attached indirectly to ring nitrogen of the five membered hetero ring by acyclic nonionic bonding | ||
This subclass is indented under subclass 439. Compounds wherein chalcogen (i.e., oxygen, sulfur, selenium,
or tellurium) or nitrogen is attached indirectly to ring nitrogen
of the five-membered hetero ring by acyclic nonionic bonding.
| |||
450 | Chalcogen bonded directly to ring carbon of the five-membered hetero ring (e.g., indigoid dyes, etc.) | ||
This subclass is indented under subclass 427. Compounds wherein chalcogen (i.e., oxygen, sulfur, selenium,
or tellurium) is bonded directly to ring carbon of the five-membered hetero
ring.
| |||
451 | Plural chalcogens bonded directly to ring carbons of the five-membered hetero ring (e.g., cyclic imides, naphthisatins, etc.) | ||
This subclass is indented under subclass 450. Compounds wherein at least two chalcogens (i.e., oxygen,
sulfur, selenium, or tellurium) are bonded directly to ring carbons
of the five-membered hetero ring.
| |||
452 | Bicyclo ring system having the five-membered hetero ring as one of the cyclos (e.g., octahydroindoles, etc.) |
| This subclass is indented under subclass 416. Compounds wherein the polycyclo ring system consists of exactly two cyclos. | |
453 | Plural ring hetero atoms in the bicyclo ring system, or ring nitrogen is shared by the two cyclos of the bicyclo ring system | ||
This subclass is indented under subclass 452. Compounds wherein the bicyclo ring system contains at least
one ring hetero atom in addition to the ring nitrogen of the five-membered hetero
ring, or wherein the ring nitrogen is additionally a member of the
other cyclo of the bicyclo ring system.
| |||
454 | Additional polycyclo heterocyclic ring system attached directly or indirectly to the bicyclo ring system by nonionic bonding | ||
This subclass is indented under subclass 452. Compounds wherein an additional polycyclo heterocyclic ring
system is attached directly or indirectly to the bicyclo ring system
by nonionic bonding.
| |||
455 | The additional polycyclo ring system includes a five-membered nitrogen containing hetero ring | ||
This subclass is indented under subclass 454. Compounds wherein a five-membered nitrogen containing hetero
ring is a cyclo in the additional polycyclo ring system.
| |||
456 | Lactone ring containing (e.g., 3,3-bisindolyl phthalides, etc.) | ||
This subclass is indented under subclass 455. Compounds which contain a lactone ring, (i.e., a cyclic
inner ester wherein -C(=X)O- is part of the ring and X
represents chalcogen, i.e., oxygen, sulfur, selenium, tellurium).
| |||
457 | Ring carbon of one of the five-membered hetero rings is bonded directly to ring carbon of the other (e.g., indigo dyes, etc.) | ||
This subclass is indented under subclass 455. Compounds wherein a ring carbon of one of the five-membered
hetero rings is bonded directly to a ring carbon of the other five-membered
hetero ring.
| |||
458 | By a single bond (e.g., leuco indigo, etc.) | ||
This subclass is indented under subclass 457. Compounds wherein the ring carbons are bonded to each other
by a single bond.
| |||
459 | Halogen attached directly or indirectly to the bicyclo ring system by nonionic bonding (e.g., dibromoindigo, etc.) | ||
This subclass is indented under subclass 457. Compounds wherein halogen is attached directly or indirectly
to the bicyclo ring system ring by nonionic bonding.
| |||
460 | Ring carbon of each of the two five-membered hetero rings is bonded directly to chalcogen or nitrogen (e.g., both rings may be bonded to the same nitrogen atom or to different nitrogen atoms, etc.) | ||
This subclass is indented under subclass 455. Compounds wherein a ring carbon of each of the two five-membered
hetero rings is bonded directly to chalcogen (i.e., oxygen, sulfur,
selenium, or tellurium), or nitrogen.
| |||
461 | Plural chalcogens bonded directly to ring carbons of each of the two five membered hetero rings (e.g., bisphthalimides, etc.) | ||
This subclass is indented under subclass 460. Compounds wherein at least two chalcogens (i.e., oxygen,
sulfur, selenium, or tellurium) are bonded directly to ring carbons
of each of the two five-membered hetero rings.
| |||
462 | The ring nitrogen of each of the two five-membered hetero rings is bonded directly to the same atom or chain, which chain may include a ring (e.g., N,N'-ethylene-bisphthalimide, etc.) | ||
This subclass is indented under subclass 461. Compounds wherein the ring nitrogen of each of the two five-membered
hetero rings is bonded directly to the same atom or chain, which
chain may include a ring.
| |||
463 | The additional polycyclo heterocyclic ring system has a lactone ring as one of the cyclos | ||
This subclass is indented under subclass 454. Compounds wherein one of the cyclos of the additional polycyclo
heterocyclic ring system is a lactone ring, (i.e., a cyclic inner
ester wherein -C(+X)O- is part of the ring and X represents
chalcogen, i.e., oxygen, sulfur, selenium, or tellurium).
| |||
464 | Ring carbon of the five-membered hetero ring is bonded directly to a ring carbon of the hetero ring which is a cyclo in the additional polycyclo heterocyclic ring system (e.g., indigoid dyes, etc.) | ||
This subclass is indented under subclass 454. Compounds wherein a ring carbon of the hetero ring which
is a cyclo in the additional polycyclo heterocyclic ring system
is bonded directly to a ring carbon of the five-membered hetero
ring.
| |||
465 | Additional hetero ring, attached directly or indirectly to the bicyclo ring system by nonionic bonding | ||
This subclass is indented under subclass 452. Compounds wherein an additional hetero ring is attached
directly or indirectly to the bicyclo ring system by nonionic bonding.
| |||
466 | The additional hetero ring is bonded directly to a ring carbon of the bicyclo ring system | ||
This subclass is indented under subclass 465. Compounds wherein the additional hetero ring is bonded directly
to a ring carbon of the bicyclo ring system.
| |||
467 | Substituent on ring carbon of the bicyclo ring system contains the additional hetero ring | ||
This subclass is indented under subclass 465. Compounds wherein the additional hetero ring is in a substituent
on a ring carbon of the bicyclo ring system.
| |||
468 | The additional hetero ring and the bicyclo ring system are attached directly to the same acyclic carbon or acyclic carbon chain | ||
This subclass is indented under subclass 467. Compounds wherein the bicyclo ring system and the additional
hetero ring are attached directly to the same acyclic carbon or
acyclic carbon chain.
| |||
469 | The bicyclo ring system consists of the five-membered hetero ring and a benzene ring (e.g., indole, etc.) | ||
This subclass is indented under subclass 452. Compounds wherein the five-membered hetero ring and a benzene
ring are the cyclos of the bicyclo ring system.
| |||
470 | The ring nitrogen is bonded directly to two ring carbons of the same cyclo which carbons are members of one cyclo only (i.e., isoindoles or isoindolenines) | ||||
This subclass is indented under subclass 469. Compounds wherein the ring nitrogen is bonded directly to
two ring carbons of the same cyclo, which carbons are members of
one cyclo only.
| |||||
471 | Nitrogen bonded directly to ring carbon of the five-membered hetero ring | ||
This subclass is indented under subclass 470. Compounds wherein nitrogen is bonded directly to ring carbon
of the five-membered hetero ring.
| |||
472 | Chalcogen bonded directly to ring carbon of the five-membered hetero ring (e.g., phthalimidines, etc.) | ||
This subclass is indented under subclass 470. Compounds wherein chalcogen (oxygen, sulfur, selenium, or
tellurium) is bonded directly to ring carbon of the five-membered
hetero ring.
| |||
473 | Plural chalcogens bonded directly to ring carbons of the five-membered hetero ring (e.g., phthalimides, etc.) | ||
This subclass is indented under subclass 472. Compounds wherein at least two chalcogens (i.e., oxygen,
sulfur, selenium, or tellurium) are bonded directly to ring carbons
of the five-membered hetero ring.
| |||
474 | Polycyclo carbocyclic ring system having at least three cyclos | ||
This subclass is indented under subclass 473. Compounds which contain a polycyclo carbocyclic ring system
having at least three cyclos.
| |||
475 | Chalcogen or nitrogen attached directly to the ring nitrogen of the five membered hetero ring by nonionic bonding | ||
This subclass is indented under subclass 473. Compounds wherein the ring nitrogen of the five-membered
hetero ring is bonded directly to chalcogen (i.e., oxygen, sulfur,
selenium, or tellurium) or nitrogen by nonionic bonding.
| |||
476 | Benzene ring bonded directly to the ring nitrogen of the five-membered hetero | ||
This subclass is indented under subclass 473. Compounds wherein the ring nitrogen of the five-membered
hetero ring is bonded directly to a benzene ring.
| |||
477 | Nitrogen attached indirectly to the ring nitrogen of the five-membered hetero ring by acyclic nonionic bonding | ||
This subclass is indented under subclass 473. Compounds wherein nitrogen is attached indirectly to the
ring nitrogen of the five-membered hetero ring by acyclic nonionic
bonding.
| |||
478 | Chalcogen attached indirectly to the ring nitrogen of the five-membered hetero ring by acyclic nonionic bonding | ||
This subclass is indented under subclass 473. Compounds wherein chalcogen (i.e., oxygen, sulfur, selenium,
or tellurium) is attached indirectly to the ring nitrogen of the
five-membered hetero ring by acyclic nonionic bonding.
| |||
479 | The chalcogen, X, is in a -C(=X)- group (e.g., beta - phthalimidopropionaldehyde, etc.) | ||
This subclass is indented under subclass 478. Compounds wherein the chalcogen, X (i.e., oxygen, sulfur,
selenium, or tellurium), is in a group.
| |||
480 | The ring nitrogen of the five-membered hetero ring is unsubstituted or hydrocarbyl substituted only | ||
This subclass is indented under subclass 473. Compounds wherein the substituent on the ring nitrogen of
the five-membered hetero ring is hydrogen or hydrocarbyl only.
| |||
481 | Chalcogen or nitrogen attached indirectly to ring carbon of the bicyclo ring system by acyclic nonionic bonding | ||
This subclass is indented under subclass 480. Compounds wherein chalcogen (i.e., oxygen, sulfur, selenium,
or tellurium) or nitrogen is attached indirectly to ring carbon
of the bicyclo ring system by acyclic nonionic bonding.
| |||
482 | The five-membered hetero ring contains one double bond only (i.e., isoindolines) | ||
This subclass is indented under subclass 470. Compounds wherein there is only one double bond between
ring members of the five-membered hetero ring.
| |||
483 | Nitrogen attached directly to the five-membered hetero ring by nonionic bonding (e.g., 2-amino indoles, etc.) | ||
This subclass is indented under subclass 469. Compounds wherein nitrogen is attached directly to the five-membered
hetero ring by nonionic bonding.
| |||
484 | Chalcogen bonded directly to ring carbon of the five-membered hetero ring (e.g., 3-indolols, etc.) | ||
This subclass is indented under subclass 469. Compounds wherein chalcogen (i.e., oxygen, sulfur, selenium,
or tellurium) is bonded directly to ring carbon of the five-membered hetero
ring.
| |||
485 | Plural chalcogens bonded directly to ring carbons of the five-membered hetero ring (e.g., isatins, etc.) | ||
This subclass is indented under subclass 484. Compounds wherein at least two chalcogens (i.e., oxygen,
sulfur, selenium, or tellurium) are bonded directly to ring carbons
of the five-membered hetero ring.
| |||
486 | The chalcogen is bonded directly to a ring carbon of the five-membered hetero ring which is adjacent to the ring nitrogen (e.g., 2-indolinones, etc.) | ||
This subclass is indented under subclass 484. Compounds wherein the chalcogen (i.e., oxygen, sulfur, selenium,
or tellurium) is bonded directly to ring carbon of the five-membered hetero
ring which is adjacent to the ring nitrogen.
| |||
487 | Two benzene rings bonded directly to the same ring carbon of the five membered hetero ring | ||
This subclass is indented under subclass 486. Compounds wherein a ring carbon of the five-membered hetero
ring is bonded directly to two benzene rings.
| |||
488 | Polycyclo carbocyclic ring system bonded direcly to a ring carbon of the five-membered hetero ring (e.g., indol-alpha-naphtholindigo, etc.) | ||
This subclass is indented under subclass 484. Compounds wherein a ring carbon of the five-membered hetero
ring is bonded directly to a polycyclo carbocyclic ring system.
| |||
489 | Process of forming the bicyclo ring system directly from reactant which contains acyclic nitrogen bonded directly to a benzene ring (e.g., indoxyl from phenylglycine, etc.) | ||
This subclass is indented under subclass 484. Processes wherein the bicyclo ring system is formed directly
from a reactant which contains a benzene ring bonded directly to
an acyclic nitrogen.
| |||
490 | The five-membered hetero ring contains one double bond only (i.e., indolines) | ||
This subclass is indented under subclass 469. Compounds wherein there is only one double bond between
ring members of the five-membered hetero ring.
| |||
491 | Chalcogen or nitrogen attached indirectly to the five-membered hetero ring by acyclic nonionic bonding | ||
This subclass is indented under subclass 490. Compounds wherein chalcogen (i.e., oxygen, sulfur, selenium,
or tellurium) or nitrogen is attached indirectly to the five-membered
hetero ring by acyclic nonionic bonding.
| |||
492 | Having -C(=X)-, wherein X is chalcogen, bonded directly to ring carbon of the five-membered hetero ring (e.g., indole-2-carboxylic acids, etc.) | ||
This subclass is indented under subclass 469. Compounds wherein a ring carbon of the five-membered hetero
ring is bonded directly to a group, in which X is chalcogen (i.e.,
oxygen, sulfur, selenium, or tellurium).
| |||
493 | Hydrogen or additional carbon bonded directly to the -C(=X)- group (e.g., aldehydes,ketones, etc.) | ||
This subclass is indented under subclass 492. Compounds wherein the group is bonded directly to hydrogen,
or to an additional carbon.
| |||
494 | Having -C(=X)-, wherein X is chalcogen, attached indirectly to ring carbon of the five-membered hetero ring by an acyclic carbon or acyclic carbon chain (e.g., indole-3-acetic acid, etc.) | ||
This subclass is indented under subclass 469. Compounds wherein a group, in which X is chalcogen (i.e.,
oxygen, sulfur, selenium, or tellurium), is attached indirectly
to a ring carbon of the five-membered hetero ring by an acyclic
carbon or an acyclic carbon chain.
| |||
495 | Acyclic nitrogen bonded directly to the acyclic carbon or acyclic carbon chain | ||
This subclass is indented under subclass 494. Compounds wherein an acyclic nitrogen is bonded directly
to the acyclic carbon or acyclic carbon chain.
| |||
496 | The acyclic carbon or acyclic carbon chain is further unsubstituted or alkyl substituted only (e.g., tryptophane, etc.) | ||
This subclass is indented under subclass 495. Compounds wherein the acyclic carbon or acyclic carbon chain
is further unsubstituted or alkyl substituted only.
| |||
497 | Processes |
| This subclass is indented under subclass 496. Processes for preparing the compound, or for separating the compound from impurities or from the reaction mixture. | |
498 | Racemization or optical resolution |
| This subclass is indented under subclass 497. Processes for (a) the formation of a racemic mixture from an enantiomer (optical isomer), or (b) for the resolution (separation) of optical isomers, which may be diastereomers or enantiomers. | |
499 | Preparing from hydantoins or proteins |
| This subclass is indented under subclass 497. Processes wherein hydantoins or proteins are utilized as reactants in processes of preparation. | |
500 | Having -C(=X)-, wherein X is chalcogen, bonded directly to ring nitrogen of the five-membered hetero ring (e.g., indomethacin, etc.) | ||
This subclass is indented under subclass 494. Compounds wherein a group, in which X is chalcogen (i.e.
oxygen, sulfur, selenium, or tellurium), is bonded directly to ring
nitrogen of the five-membered hetero ring.
| |||
501 | Processes |
| This subclass is indented under subclass 500. Processes for preparing the compound, or for separating the compound from impurities or from the reaction mixture. | |
502 | Processes |
| This subclass is indented under subclass 494. Processes for preparing the compound, or for separating the compound from impurities, or from the reaction mixture. | |
503 | Nitrogen attached indirectly to ring carbon of the bicyclo ring system by acyclic nonionic bonding | ||
This subclass is indented under subclass 469. Compounds wherein nitrogen is attached indirectly to ring
carbon of the bicyclo ring system by acyclic nonionic bonding.
| |||
504 | Nitrogen attached indirectly to ring carbon of the five-membered hetero ring by acyclic nonionic bonding (e.g., tryptamine, etc.) | ||
This subclass is indented under subclass 503. Compounds wherein nitrogen is attached indirectly to a ring
carbon of the five-membered hetero ring by acyclic nonionic bonding.
| |||
505 | The nitrogen is double or triple bonded directly to carbon | ||
This subclass is indented under subclass 504. Compounds wherein the nitrogen is double or triple bonded
directly to carbon.
| |||
506 | Benzene ring bonded directly or attached indirectly by an acyclic carbon or an acyclic carbon chain to ring carbon of the five-membered hetero ring | ||||
This subclass is indented under subclass 504. Compounds wherein a benzene ring is bonded directly to a
ring carbon of the five-membered hetero ring, or a benzene ring
is attached indirectly to a ring carbon of the five-membered hetero
ring by an acyclic carbon atom or acyclic carbon chain.
| |||||
507 | Chalcogen or additional nitrogen attached indirectly to ring carbon of the five-membered hetero ring by acyclic nonionic bonding | ||
This subclass is indented under subclass 504. Compounds wherein chalcogen (i.e., oxygen, sulfur, selenium,
or tellurium) or an additional nitrogen is attached indirectly to
ring carbon of the five-membered hetero ring by nonionic bonding.
| |||
508 | Processes of forming the bicyclo ring system by cyclization (e.g., forming indole from o-ethyl aniline, etc.) | ||
This subclass is indented under subclass 469. Processes wherein the bicyclo ring system is formed by ring
closure.
| |||
509 | Chalcogen attached indirectly to the bicyclo ring system by acyclic nonionic bonding | ||
This subclass is indented under subclass 469. Compounds wherein chalcogen (i.e., oxygen, sulfur, selenium,
or tellurium) is attached indirectly to the bicyclo ring system
by acyclic nonionic bonding.
| |||
510 | The chalcogen, X, is in a -C(=X)- group | ||
This subclass is indented under subclass 509. Compounds wherein the chalcogen, X (i.e., oxygen, sulfur,
selenium, or tellurium), is in a group.
| |||
511 | Benzene ring bonded directly or attached indirectly by an acyclic carbon or an acyclic carbon chain to ring carbon of the five-membered hetero ring | ||
This subclass is indented under subclass 469. Compounds wherein a benzene ring is bonded directly to a
ring carbon of the five-membered hetero ring, or a benzene ring
is attached indirectly to a ring carbon of the five-membered hetero
ring by an acylic carbon atom or acyclic carbon chain.
| |||
512 | Chalcogen bonded directly to ring carbon of the five-membered hetero ring (e.g., adrenochrome, etc.) | ||
This subclass is indented under subclass 452. Compounds wherein chalcogen (i.e., oxygen, sulfur, selenium,
or tellurium) is bonded directly to ring carbon of the five-membered hetero
ring.
| |||
513 | Plural chalcogens bonded directly to ring carbons of the five-membered hetero ring (e.g., imides, etc.) | ||
This subclass is indented under subclass 512. Compounds wherein at least two chalcogen (i.e., oxygen,
sulfur, selenium, or tellurium) atoms are bonded directly to ring
carbons of the five-membered hetero ring.
| |||
514 | Chalcogen or nitrogen attached directly to ring nitrogen of the five membered hetero ring by nonionic bonding | ||
This subclass is indented under subclass 513. Compounds wherein chalcogen (i.e., oxygen, sulfur, selenium,
or tellurium) or nitrogen is attached directly to ring nitrogen
of the five-membered hetero ring by nonionic bonding
| |||
515 | The ring nitrogen is bonded directly to two ring carbons of the same cyclo which carbons are members of one cyclo only (e.g., cyclopenta(c)pyrroles, etc.) | ||
This subclass is indented under subclass 452. Compounds wherein the ring nitrogen is bonded to two ring
carbons of the same cyclo, which carbons are members of one cyclo
only.
| |||
516 | Two double bonds between ring members of the five-membered hetero ring (e.g., 4,5,6,7-tetrahydroindoles, etc.) | ||
This subclass is indented under subclass 452. Compounds wherein there are two double bonds between ring
members of the five-membered hetero ring.
| |||
517 | Additional hetero ring, which is attached directly or indirectly to the five-membered hetero ring by nonionic bonding | ||
This subclass is indented under subclass 400. Compounds wherein an additional hetero ring is attached
directly or indirectly to the five-membered hetero ring by nonionic
bonding.
| |||
518 | The additional hetero ring also contains nitrogen | ||
This subclass is indented under subclass 517. Compounds wherein nitrogen is a ring member of the additional
hetero ring.
| |||
519 | Ring carbon of each of the two nitrogen containing hetero rings is bonded directly to chalcogen (e.g., both rings may be bonded to the same oxygen atom or to different oxygen atoms, etc.) | ||
This subclass is indented under subclass 518. Compounds wherein a ring carbon of each of the two nitrogen
containing hetero rings is bonded directly to chalcogen (i.e., oxygen,
sulfur, selenium, or tellurium).
| |||
520 | Plural chalcogens bonded directly to ring carbons of each of the two nitrogen containing hetero rings (e.g., bis-succinimides, etc.) | ||
This subclass is indented under subclass 519. Compounds wherein at least two chalcogens (i.e., oxygen,
sulfur, selenium, or tellurium) are bonded directly to ring carbons
of each of the two nitrogen containing hetero ring.
| |||
521 | Double bond between ring carbons in each of the two nitrogen containing hetero rings (e.g., bis-maleimides, etc.) | ||
This subclass is indented under subclass 520. Compounds wherein there is a double bond between ring carbons
in each of the two nitrogen containing hetero rings.
| |||
522 | Processes |
| This subclass is indented under subclass 521. Processes for preparing the compound, or for separating the compound from impurities or from the reaction mixture. | |
523 | Ring nitrogens of the two nitrogen containing hetero rings are bonded directly to the same atom or chain, which chain may include a ring | ||
This subclass is indented under subclass 518. Compounds wherein the ring nitrogen of each of the two nitrogen
containing hetero rings is bonded to the same atom or chain, which
chain may include a ring.
| |||
524 | The atom is carbon or the chain consists of carbons | ||
This subclass is indented under subclass 523. Compounds wherein the atom is carbon, or the chain consists
of carbon atoms.
| |||
525 | Polycyclo ring system which includes ring chalcogen | ||
This subclass is indented under subclass 517. Compounds which contain a polycyclo ring system which has
a ring chalcogen (i.e., oxygen, sulfur, selenium, or tellurium).
| |||
526 | Plural ring chalcogens in the polycyclo ring sytem (e.g., methylenedioxyphenyl containing, etc.) | ||
This subclass is indented under subclass 525. Compounds wherein at least two ring chalcogens (i.e., oxygen,
sulfur, selenium, or tellurium) are in the polycyclo ring system.
| |||
527 | Sulfur containing hetero ring | ||
This subclass is indented under subclass 517. Compounds which contain a hetero ring having ring sulfur.
| |||
528 | Polycyclo carbocyclic ring system having at least three cyclos | ||
This subclass is indented under subclass 400. Compounds which contain a polycyclo carbocyclic ring system
having at least three cyclos.
| |||
529 | Attached directly to the five-membered hetero ring | ||
This subclass is indented under subclass 528. Compounds wherein the polycyclo carbocyclic ring system
is attached directly to the five-membered hetero ring.
| |||
530 | Having -C(=X)-, wherein X is chalcogen, bonded directly to the five membered hetero ring (e.g., pyrrole carbonyl halides, pyrrole carboxaldehyde, etc.) | ||
This subclass is indented under subclass 400. Compounds wherein a group, in which X is chalcogen (i.e.,
oxygen, sulfur, selenium, or tellurium), is bonded directly to the
five-membered hetero ring.
| |||
531 | The -C(=X)- is part of a -C(=X)X- group, wherein the X's are the same or diverse chalcogens (e.g., pyrrole-3-carboxylic acid, etc.) | ||
This subclass is indented under subclass 530. Compounds wherein the is part of a X group, in which the
X"s are the same or diverse chalcogens (i.e., oxygen, sulfur,
selenium, or tellurium).
| |||
532 | And is bonded directly to a ring carbon which is adjacent to the ring nitrogen of the five-membered hetero ring (e.g., 4-hydroxy proline, etc.) | ||
This subclass is indented under subclass 531. Compounds wherein the X group is bonded directly to a ring
carbon of the five-membered hetero ring which is adjacent to the
ring nitrogen.
| |||
533 | Additional -C(=X) bonded directly to the five-membered hetero ring (e.g., N n-butyryl-L-proline, etc.) | ||
This subclass is indented under subclass 532. Compounds wherein an additional group is bonded directly
to the five-membered hetero ring.
| |||
534 | Chalcogen bonded directly to the other ring carbon which is adjacent to the ring nitrogen of the five-membered hetero ring (e.g., 2-pyrrolidone-5 carboxylic acid, etc.) | ||
This subclass is indented under subclass 532. Compounds wherein chalcogen (i.e., oxygen, sulfur, selenium,
or tellurium) is bonded directly to the other ring carbon of the
five-membered hetero ring which is adjacent to the ring nitrogen.
| |||
535 | The five-membered hetero ring is further unsubstituted or alkyl substituted only (e.g., proline, etc.) | ||
This subclass is indented under subclass 532. Compounds wherein the five-membered hetero ring is further
unsubstituted, or alkyl substituted only.
| |||
536 | Additional -C(=X)- bonded directly to the five-membered hetero ring (e.g., pyrrole-3,4-dicarboxylic acid esters, etc.) | ||
This subclass is indented under subclass 531. Compounds wherein an additional group is bonded directly
to the five-membered hetero ring.
| |||
537 | Acyclic nitrogen bonded directly to the -C(=X)- (e.g., 4,5-dihalopyrrole -2 carboxamides, etc.) | ||
This subclass is indented under subclass 530. Compounds wherein the group is bonded directly to acyclic
nitrogen.
| |||
538 | The -C(=X)- is bonded directly to the ring nitrogen of the five-membered hetero ring (e.g., 1-pyrrolidine carboxanilides, etc.) | ||
This subclass is indented under subclass 537. Compounds wherein the group is bonded directly to the ring
nitrogen of the five-membered hetero ring.
| |||
539 | Carbocyclic ring bonded directly to the -C(=X)- (e.g., 3-benzoyl pyrrolidine, etc.) | ||
This subclass is indented under subclass 530. Compounds wherein the group is bonded directly to a carbocyclic
ring.
| |||
540 | Acyclic carbon bonded directly to the -C(=X)- (e.g., N-oleoylpyrrolidine, etc.) | ||
This subclass is indented under subclass 530. Compounds wherein the group is bonded directly to an acyclic
carbon.
| |||
541 | Chalcogen attached directly to the five-membered hetero ring by nonionic bonding (e.g., 3-pyrrolidinols, etc.) | ||
This subclass is indented under subclass 400. Compounds wherein chalcogen (i.e., oxygen, sulfur, selenium,
or tellurium) is attached directly to the five-membered hetero ring
by nonionic bonding.
| |||
542 | Chalcogen attached directly to ring nitrogen of the five-membered hetero ring by nonionic bonding (e.g., pyrrolidine-N-oxides, etc.) | ||||
This subclass is indented under subclass 541. Compounds wherein chalcogen (i.e., oxygen, sulfur, selenium,
or tellurium) is attached directly to ring nitrogen of the five-membered hetero
ring by nonionic bonding.
| |||||
543 | Chalcogen bonded directly to a ring carbon of the five-membered hetero ring which is adjacent to the ring nitrogen (e.g., 2-pyrrolidones, etc.) | ||
This subclass is indented under subclass 541. Compounds wherein chalcogen (i.e., oxygen, sulfur, selenium,
or tellurium) is bonded directly to a ring carbon of the five-membered hetero
ring which is adjacent to the ring nitrogen.
| |||
544 | And chalcogen bonded directly to a ring carbon of the five membered hetero ring which is not adjacent to the ring nitrogen (e.g., 2,4 pyrrolidinediones, etc.) | ||
This subclass is indented under subclass 543. Compounds wherein chalcogen (i.e., oxygen, sulfur, selenium,
or tellurium) is also bonded to a ring carbon of the five-membered
hetero ring which is not adjacent to the ring nitrogen.
| |||
545 | And chalcogen bonded directly to the other ring carbon of the five-membered hetero ring which is adjacent to the ring nitrogen (e.g., succinimide, etc.) | ||
This subclass is indented under subclass 543. Compounds wherein chalcogen (i.e., oxygen, sulfur, selenium,
or tellurium) is also bonded to the other ring carbon of the five-membered
hetero ring which is adjacent to the ring nitrogen.
| |||
546 | Nitrogen attached directly or indirectly to the five-membered hetero ring by acyclic nonionic bonding | ||
This subclass is indented under subclass 545. Compounds wherein nitrogen is attached to the five-membered
hetero ring directly or indirectly by acyclic nonionic bonding.
| |||
547 | Chalcogen attached indirectly to the five-membered hetero ring by acyclic nonionic bonding | ||
This subclass is indented under subclass 545. Compounds wherein chalcogen (i.e., oxygen, sulfur, selenium,
or tellurium) is attached indirectly to the five-membered hetero
ring by acyclic nonionic bonding.
| |||
548 | Carbon to carbon unsaturation between ring members of the five-membered hetero ring (e.g., maleimide, etc.) | ||
This subclass is indented under subclass 545. Compounds wherein there is a double bond between ring carbons
of the five-membered hetero ring.
| |||
549 | Benzene ring bonded directly to ring nitrogen of the five-membered hetero ring (e.g., N-phenylmaleimide, etc.) | ||
This subclass is indented under subclass 548. Compounds wherein a benzene ring is bonded directly to ring
nitrogen of the five-membered hetero ring.
| |||
550 | Nitrogen attached directly or indirectly to the five-membered hetero ring by acyclic nonionic bonding | ||
This subclass is indented under subclass 543. Compounds wherein nitrogen is attached to the five-membered
hetero ring directly, or indirectly by acyclic nonionic bonding.
| |||
551 | Chalcogen attached indirectly to the five-membered hetero ring by acyclic nonionic bonding | ||
This subclass is indented under subclass 543. Compounds wherein chalcogen (i.e., oxygen, sulfur, selenium,
or tellurium) is attached indirectly to the five-membered hetero
ring by acyclic nonionic bonding.
| |||
552 | Processes of forming 2-pyrrolidone which is unsubstituted or alkyl or alkenyl substituted only |
| This subclass is indented under subclass 543. Processes for forming 2-pyrrolidone, which has the following
formula, or its alkyl or alkenyl substitution products:
| |
553 | Directly from a cyano containing compound (e.g., from succinonitrile, etc.) |
| This subclass is indented under subclass 552. Processes wherein the 2-pyrrolidone compound is prepared directly from a compound which contains the cyano group, -C-N. | |
554 | Directly from a -COO- containing compound (e.g., from methyl acrylate, etc.) |
| This subclass is indented under subclass 552. Processes wherein the 2-pyrrolidone compound is prepared directly from a compound which contains the -COO- group. | |
555 | Purification or recovery of 2-pyrrolidone which is unsubstituted or alkyl substituted only |
| This subclass is indented under subclass 543. Processes wherein 2-pyrrolidone, which is unsubstituted or alkyl substituted only, is separated from impurities, or from the reaction medium. | |
556 | Chalcogen attached indirectly to the five-membered hetero ring by acyclic nonionic bonding (e.g., 4-hydroxy -3-pyrrolidinemethanol, etc.) | ||
This subclass is indented under subclass 541. Compounds wherein chalcogen (i.e., oxygen, sulfur, selenium,
or tellurium) is attached indirectly to the five-membered hetero
ring by acyclic nonionic bonding.
| |||
557 | Nitrogen attached directly to the five-membered hetero ring by nonionic bonding | ||
This subclass is indented under subclass 400. Compounds wherein nitrogen is attached directly to the five-membered
hetero ring by nonionic bonding.
| |||
558 | The nitrogen is bonded directly to a ring carbon which is adjacent to the ring nitrogen of the five-membered hetero ring | ||
This subclass is indented under subclass 557. Compounds wherein the nitrogen is bonded directly to a ring
carbon of the five-membered hetero ring which is adjacent to the
ring nitrogen.
| |||
559 | Carbocyclic ring bonded directly to the nitrogen | ||
This subclass is indented under subclass 558. Compounds wherein a carbocyclic ring is bonded directly
to the nitrogen which is bonded directly to the ring carbon.
| |||
560 | Two double bonds between ring members of the five-membered hetero ring | ||
This subclass is indented under subclass 400. Compounds wherein there are two double bonds between ring
members of the five-membered hetero ring.
| |||
561 | Nitrogen attached indirectly to the five-membered hetero ring by acyclic nonionic bonding | ||
This subclass is indented under subclass 560. Compounds wherein nitrogen is attached indirectly to the
five-membered hetero ring by acyclic nonionic bonding.
| |||
562 | Chalcogen attached indirectly to the five-membered hetero ring by acyclic nonionic bonding | ||
This subclass is indented under subclass 560. Compounds wherein chalcogen (i.e., oxygen, sulfur, selenium,
or tellurium) is attached indirectly to the five-membered hetero
ring by acyclic nonionic bonding.
| |||
563 | Benzene ring bonded directly to ring nitrogen of the five -membered hetero ring | ||
This subclass is indented under subclass 560. Compounds wherein a benzene ring is bonded directly to the
ring nitrogen of the five-membered hetero ring.
| |||
564 | The five-membered hetero ring is unsubstituted or alkyl substituted only (e.g., pyrrole, etc.) | ||
This subclass is indented under subclass 560. Compounds wherein the five-membered hetero ring is unsubstituted,
or alkyl substituted only.
| |||
565 | One double bond between ring members of the five-membered hetero ring (i.e., pyrrolines) |
| This subclass is indented under subclass 400. Compounds wherein there is one double bond only between ring members of the five-membered hetero ring. | |
566 | Nitrogen attached indirectly to the five-membered hetero ring by acyclic nonionic bonding | ||
This subclass is indented under subclass 400. Compounds wherein nitrogen is attached indirectly to the
five-membered hetero ring by acyclic nonionic bonding.
| |||
567 | The nitrogen is bonded directly to -C(=X)-, wherein X is chalcogen (e.g., 2 benzamidomethyl - pyrrolidines, etc.) | ||
This subclass is indented under subclass 566. Compounds wherein a group, in which X is chalcogen
(i.e. oxygen, sulfur, selenium, or tellurium), is bonded directly
to the nitrogen.
| |||
568 | Hydrogen or acyclic carbon bonded directly to the -C(=X)- (e.g., 2 pyrrolidine acrylamide, etc.) | ||
This subclass is indented under subclass 567. Compounds wherein the group is additionally bonded to hydrogen,
or to acyclic carbon.
| |||
569 | The nitrogen is in a substituent attached to the ring nitrogen of the five membered hetero ring | ||
This subclass is indented under subclass 566. Compounds wherein the nitrogen is part of a substituent
that is attached to the ring nitrogen of the five-membered hetero
ring.
| |||
570 | Chalcogen attached indirectly to the five-membered hetero ring by acyclic nonionic bonding | ||
This subclass is indented under subclass 400. Compounds wherein chalcogen (i.e. oxygen, sulfur, selenium,
or tellurium) is attached indirectly to the five-membered hetero
ring by acyclic nonionic bonding.
| |||
571 | The chalcogen, X, is in a -C(=X)- group (e.g., 1-phenyl -2-pyrrolidino hexanone-1, etc.) | ||
This subclass is indented under subclass 570. Compounds wherein the chalcogen, X (i.e. oxygen, sulfur,
selenium, or tellurium), is in a group.
| |||
572 | The -C(=X)- is part of a -C(=X)X- group wherein the X's are the same or diverse chalcogens (e.g., 3-pyrrolidinemethanol propionates, etc.) | ||
This subclass is indented under subclass 571. Compounds wherein is part of a X group, in which the X"s
are the same, or diverse chalcogens (i.e. oxygen, sulfur, selenium,
or tellurium).
| |||
573 | The -C(=X)X- group is in a substituent attached to the ring nitrogen of the five-membered hetero ring (e.g., beta-pyrrolidyl ethyl ester of benzoic acid, etc.) | ||
This subclass is indented under subclass 572. Compounds wherein the X group is part of a substituent attached
to the ring nitrogen of the five-membered hetero ring.
| |||
574 | The chalcogen is in a substituent attached to the ring nitrogen of the five membered hetero ring | ||
This subclass is indented under subclass 570. Compounds wherein the chalcogen (i.e. oxygen, sulfur, selenium,
or tellurium) is part of a substituent which is attached to the
ring nitrogen of the five-membered hetero ring.
| |||
575 | Carbocyclic ring bonded directly to the chalcogen | ||
This subclass is indented under subclass 574. Compounds wherein the chalcogen (i.e. oxygen, sulfur, selenium,
or tellurium) is bonded directly to a carbocyclic ring.
| |||
576 | The substituent on the ring nitrogen of the five-membered hetero ring contains a bicyclo carbocyclic ring system |
| This subclass is indented under subclass 575. Compounds wherein a bicyclo carbocyclic ring system is part of the substituent on the ring nitrogen of the five-membered hetero ring. | |
577 | Benzene ring bonded directly to the five-membered hetero ring | ||
This subclass is indented under subclass 400. Compounds wherein a benzene ring is bonded directly to the
five-membered hetero ring.
| |||
578 | Benzene ring in a substituent attached to the ring nitrogen of the five membered hetero ring by nonionic bonding | ||
This subclass is indented under subclass 400. Compounds wherein a benzene ring is part of a substituent
attached to the ring nitrogen of the five-membered hetero ring by
nonionic bonding.
| |||
579 | The five-membered hetero ring is unsubstituted or is alkyl substituted only (e.g., pyrrolidine, etc.) | ||
This subclass is indented under subclass 400. Compounds wherein the five-membered hetero ring is unsubstituted,
or is alkyl substituted only.
| |||
950 | The hetero ring contains four members including nitrogen and carbon |
| This subclass is indented under subclass 1. Compounds under Class 540, wherein the hetero ring contains four members and has nitrogen and carbon as ring members. | |
951 | Plural hetero atoms in the hetero ring | ||
This subclass is indented under subclass 950. Compounds in which the hetero ring contains at least two
hetero atoms
| |||
952 | Chalcogen bonded directly to ring carbon of the hetero ring | ||
This subclass is indented under subclass 950. Compounds wherein chalcogen (i.e., oxygen, sulfur, selenium
or tellurium) is bonded directly to ring carbon of the hetero ring.
| |||
953 | Nitrogen or -C(=X)-, wherein X is chalcogen, bonded directly to the hetero ring | ||
This subclass is indented under subclass 950. Compounds in which nitrogen or -C(=X)-, wherein
X is chalcogen (i.e., oxygen, sulfur, selenium or tellurium) is
bonded directly to the hetero ring.
| |||
954 | Hetero ring is three-membered including nitrogen and carbon | ||
This subclass is indented under subclass 1. Compounds under Class 540, wherein the hetero ring contains
three members and has nitrogen and carbon as ring members.
| |||
955 | Heavy metal, boron or silicon containing | ||||
This subclass is indented under subclass 954. Compounds which contain boron, silicon or a metal having
a specific gravity greater then four.
| |||||
956 | Phosphorus attached directly or indirectly to the hetero ring by nonionic bonding | ||
This subclass is indented under subclass 954. Compounds in which phosphorus is attached directly or indirectly
to the hetero ring by nonionic bonding.
| |||
957 | Plural phosphori | ||
This subclass is indented under subclass 956. Compounds which contain at least two phosphorus atoms.
| |||
958 | Spiro |
| This subclass is indented under subclass 954. Compounds which contain a spiro ring system. | |
959 | Plural hetero atoms in the hetero ring | ||
This subclass is indented under subclass 954. Compounds wherein the hereto ring contains two hetero atoms.
| |||
960 | Plural nitrogens in the hetero ring | ||
Compounds under subclass 959 wherein the hetero ring consists
of two nitrogens and one carbon.
| |||
961 | Polycyclo ring system having the hetero ring as one of the cyclos | ||
This subclass is indented under subclass 954. Compounds wherein the hetero ring is one of the cyclos of
a polycyclo ring system.
| |||
962 | Additional hetero ring containing | ||
This subclass is indented under subclass 954. Compounds which contain an additional hetero ring.
| |||
963 | Plural three-membered nitrogen containing hetero rings bonded directly to the same ring | ||
This subclass is indented under subclass 962. Compounds wherein at least two three-membered nitrogen containing
hetero rings are bonded directly to the same ring.
| |||
964 | Having -C(=X)-, wherein X is chalcogen, in chain between the hetero rings | ||
This subclass is indented under subclass 962. Compounds in which a group, wherein X is chalcogen (i.e.,
oxygen, sulfur, selenium or tellurium) is in a chain between the
hetero rings.
| |||
965 | Chalcogen, nitrogen or halogen attached directly to the hetero ring by nonionic bonding | ||
This subclass is indented under subclass 954. Compounds wherein nitrogen, halogen or chalcogen (i.e.,
oxygen, sulfur, selenium or tellurium) is attached directly to the
hetero ring by nonionic bonding.
| |||
966 | Having -C(=X)-, wherein X is chalcogen, bonded directly to the hetero ring | ||
This subclass is indented under subclass 954. Compounds in which, wherein X is chalcogen (i.e., oxygen,
sulfur, selenium or tellurium) is bonded directly to the hetero
ring.
| |||
967 | Nitrogen, other than as nitro or nitroso, attached indirectly to the hetero ring by nonionic bonding | ||
This subclass is indented under subclass 954. Compounds wherein nitrogen, other than as nitro (-NO2)
for nitroso (-NO), is attached indirectly to the hetero ring by
nonionic bonding.
| |||
968 | Chalcogen attached indirectly to the hetero ring by nonionic bonding | ||
This subclass is indented under subclass 954. Compounds in which chalcogen (i.e., oxygen, sulfur, selenium
or tellurium) is attached indirectly to the hetero ring by nonionic
bonding.
| |||
969 | The three-membered hetero ring is unsubstituted or alkyl substituted only | ||
This subclass is indented under subclass 954. Compounds wherein the hetero ring is either unsubstituted
or alkyl substituted only.
| |||
![[Search a list of Patent Appplications for class 548]](../as.gif)
![[List of Patents for class 548 subclass 100]](../ps.gif)













































































































































































































































































































































































































































































































































































































